UVA Photoirradiation of Nitro-Polycyclic Aromatic Hydrocarbons—Induction of Reactive Oxygen Species and Formation of Lipid Peroxides †
Abstract
:1. Introduction
2. Materials and Methods
2.1. Materials and Instrumentation
2.2. Synthesis of 1-, 3-, and 6-Nitrobenzo[a]pyrene (Scheme 1)
- 1-Nitro-10-keto-7,8,9,10-tetrahydro-BaP (1): 26% yield, m.p. 237–238°; mass spectrum, m/z 315 (M+); UV-Vis spectrum, 389 (e = 1,300), 335 (4,000) and 320 nm (5,400);
- 3-Nitro-10-keto-7,8,9,10‑tetrahydro-BaP (2): 23% yield, m.p. 250–251.5°; mass spectrum, m/z 315 (M+); UV-Vis spectrum, 384 (11,000), 290 (1,500) and 280 (1,500);
- 6-Nitro-10-keto-7,8,9,10-tetrahydro-BaP (3): 45% yield, m.p. 212–213°; mass spectrum, m/z 315 (M+); UV-Vis spectrum, 396 (1,000), 377 (14,000), 366 (1,400), 209 (1,900), 233 (3,100) and 203 (2,400).

2.3. Synthesis of 1- and 3-Nitrobenzo[e]pyrene (Scheme 2)

2.4. Light Sources
2.5. Peroxidation of Methyl Linoleate by UVA Photoirradiation of Nitro-PAHs
2.6. Peroxidation of Methyl Linoleate Initiated by Photoirradiation of Nitro-PAHs in the Presence of a Free Radical Scavenger or Enhancer
2.7. Detection of Reactive Oxygen Species and Free Radicals by Photoirradiation of Nitro-PAHs Using ESR with Spin Trapping
2.8. Quantum Chemical Calculation of LUMO/HOMO Energy Gap
3. Results
3.1. Synthesis of Nitro-BaPs and Nitro-BePs
3.2. UVA Photoirradiation of Nitro-PAHs and Their Parent PAHs in the Presence of Methyl Linoleate

| Number of rings | Compound Name | Methyl linoleate hydroperoxide (peak area with a maximum at 235 nm) UVA 7 J/cm2 UVA 21 J/cm2 | |
|---|---|---|---|
| Negative Control (ML only) | 289 ± 34 | 479 ± 30 | |
| 3 rings | Anthracene | 1,690 ± 84 | 3,390 ± 125 |
| 9-Nitroanthracene | 1,557 ± 55 | 3,106 ± 50 | |
| Phenanthrene | 323 ± 52 | 603 ± 78 | |
| 9-Nitrophenanthrene | 799 ± 54 | 1,412 ± 52 | |
| 4-rings | Pyrene | 1,044 ± 81 | 2,601 ± 129 |
| 1-Nitropyrene | 1,612 ± 158 | 2,256 ± 54 | |
| 2-Nitropyene | 492 ± 16 | 1,400 ± 51 | |
| 4-Nitropyene | 610 ± 19 | 1,438 ± 91 | |
| Chrysene | 1,082 ± 192 | 2,002 ± 175 | |
| 6-Nitrochrysene | 1,192 ± 69 | 2,144 ± 215 | |
| Benz[a]anthracene | 2,785 ± 125 | 4,390 ± 273 | |
| 7-Nitrobenz[ a]anthracene | 996 ± 39 | 2,096 ± 233 | |
| Fluoranthene | 1,413 ± 147 | 3,522 ± 442 | |
| 2-Nitrofluoranthene | 1,581 ± 109 | 2,908 ± 249 | |
| 3-Nitrofluoranthene | 924 ± 74 | 1,788 ± 187 | |
| 5-rings | Benzo[a]pyrene | 2,972 ± 257 | 6,153 ± 462 |
| 1-Nitrobenzo[ a]pyrene | 753 ± 88 | 2,319 ± 241 | |
| 2-Nitrobenzo[ a]pyrene | 346 ± 8 | 858 ± 78 | |
| 3-Nitrobenzo[ a]pyrene | 1,205 ± 198 | 2,937 ± 142 | |
| 6-Nitrobenzo[ a]pyrene | 1,003 ± 143 | 2,387 ± 136 | |
| Benzo[e]pyrene | 1,341 ± 155 | 2,155 ± 169 | |
| 1-Nitrobenzo[ e]pyrene | 171 ± 15 | 163 ± 2 | |
| 3-Nitrobenzo[ e]pyrene | 169 ± 6 | 179 ± 13 | |
| 4-Nitrobenzo[ e]pyrene | 724 ± 13 | 1,372 ± 85 | |
| Dibenz[a,h]anthracene | 1,446 ± 107 | 2,835 ± 257 | |
| 7-Nitrodibenz[ a,h]anthracene | 904 ± 22 | 2,365 ± 54 | |
| Dibenz[a,c]anthracene | 2,091 ± 190 | 3,935 ± 315 | |
| 9-Nitrodibenz[ a,c]anthracene | 1,025 ± 97 | 2,410 ± 174 | |



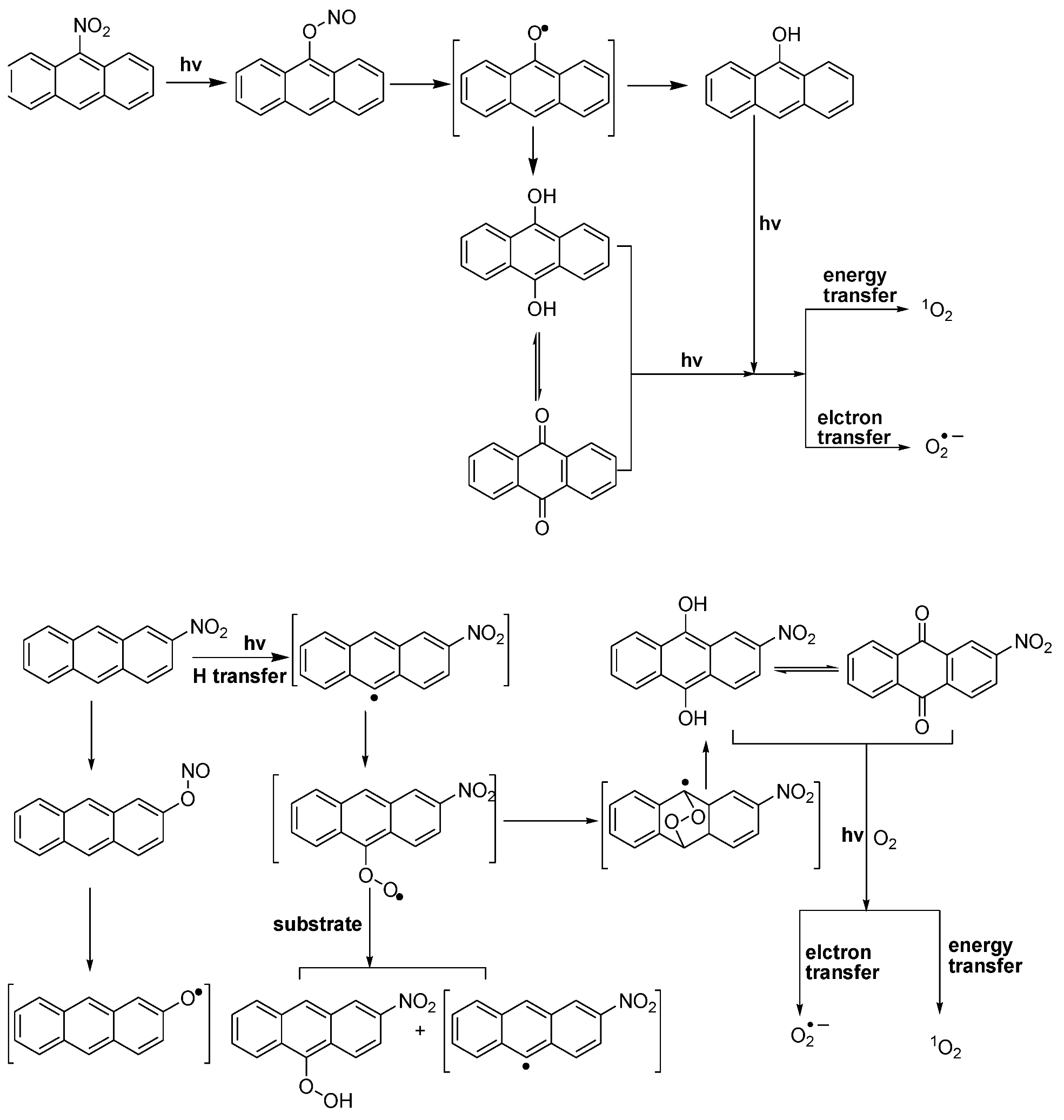
3.3. Mechanism of UVA Light-Induced Lipid Peroxidation by Nitro-PAHs

3.4. Detection of Reactive Oxygen Species (ROS) and Free Radicals Using ESR



3.5. Computational Calculation of HOMO and LUMO Gaps
| Compounds | HOMO (eV) | LUMO (eV) | HOMO/LUMO Energy gap (eV) | ML hydroperoxides (mM) at 7 J/cm2 | |
|---|---|---|---|---|---|
| BaP series | |||||
| 1-Nitro-BaP | −5.6129 | −2.8589 | 2.754 | 753 ± 88 | |
| 2-Nitro-BaP | −5.5044 | −2.6452 | 2.8592 | 346 ± 8 | |
| 3-Nitro-BaP | −5.6004 | −2.8469 | 2.7535 | 1,205 ± 198 | |
| 6-Nitro-BaP | −5.6252 | −2.6553 | 2.9699 | 1,003 ± 143 | |
| BeP series | |||||
| 1-Nitro-BeP | −5.8815 | −2.6104 | 3.2711 | 171 ±15 | |
| 3-Nitro-BeP | −5.9286 | −2.7867 | 3.1419 | 169 ± 6 | |
| 4-Nitro-BeP | −5.9106 | −2.7579 | 3.1527 | 724 ± 13 | |
| Pyrene series | |||||
| 1-Nitropyrene | −5.8957 | −2.8085 | 3.0872 | 1,612 ± 158 | |
| 2-Nitropyrene | −5.7732 | −2.6093 | 3.1339 | 492 ± 16 | |
| 4-Nitropyrene | −5.8189 | −2.7677 | 3.0512 | 610 ± 19 | |
4. Discussion

Acknowledgments
References
- Pitts, J.N., Jr.; Van Cauwenberghe, K.A.; Grosjean, D.; Schmid, J.P.; Fitz, D.R.; Belser, W.L.; Knudson, G.P.; Hynds, P.M. Atmospheric reactions of polycyclic aromatic hydrocarbons: Facile formation of mutagenic nitro derivatives. Science 1978, 202, 515–519. [Google Scholar]
- Arey, J. Atmospheric Reactions of PAHs Including Formation of Nitroarenes. In The Handbook of Environmental Chemistry; Neilson, A.H., Ed.; Springer-Verlag: Berlin: Germany, 1998; Volume 3, pp. 347–385, Part I. [Google Scholar]
- Arey, J.; Zielinska, B.; Atkinson, R.; Winer, A.M.; Ramdahl, T.; Pitts, J.N., Jr. The formation of nitro-PAH from the gas-phase reactions of fluoranthene and pyrene with the OH radical in the presence of NOx. Atmos. Environ. 1986, 20, 2339–2345. [Google Scholar] [CrossRef]
- IARC Diesel and Gasoline Engine Exhausts and Some Nitroarenes: IARC Monographs on the Evaluation of the Carcinogenic Risks to Humans; International Agency for Research on Cancer: Lyon, France, 1989; p. 359.
- WHO Environmental Health Criteria for Selected Nitro- and Nitro-Oxy-Polycyclic Aromatic Hydrocarbons. In Environmental Health Criteria 229; World Health Organization: Geneva, Switzerland, 2003.
- Fu, P.P.; Herreno-Saenz, D. Nitro-polycyclic aromatic hydrocarbons: A class of genotoxic environmental pollutants. J. Environ. Sci. Health C Environ. Carcinog. Ecotoxicol. Rev. 1999, 17, 1–43. [Google Scholar]
- Beland, F.A.; Marques, M.M. DNA Adducts of Nitropolycyclic Aromatic Hydrocarbons. In DNA Adducts: Identification and Biological Significance; Hemmininki, K., Dipple, A., Shuker, D.E.G., Kadlubar, F.F., Segerbäck D. Bartsch, H., Eds.; International Agency for Research on Cancer: Lyon, France, 1994; pp. 229–244. [Google Scholar]
- Delclos, K.B.; el-Bayoumy, K.; Hecht, S.S.; Walker, R.P.; Kadlubar, F.F. Metabolism of the carcinogen [3H]6-nitrochrysene in the preweanling mouse: Identification of 6-aminochrysene-1,2-dihydrodiol as the probable proximate carcinogenic metabolite. Carcinogenesis 1988, 9, 1875–1884. [Google Scholar] [CrossRef]
- el-Bayoumy, K.; Rivenson, A.; Johnson, B.; DiBello, J.; Little, P.; Hecht, S.S. Comparative tumorigenicity of 1-nitropyrene, 1-nitrosopyrene, and 1-aminopyrene administered by gavage to Sprague-Dawley rats. Cancer. Res. 1988, 48, 4256–4260. [Google Scholar]
- Upadhyaya, P.; Roy, A.K.; Fu, P.P.; el-Bayoumy, K. Metabolism and DNA binding of 2-nitropyrene in the rat. Cancer Res. 1992, 52, 1176–1181. [Google Scholar]
- Fu, P.P. Metabolism of nitro-polycyclic aromatic hydrocarbons. Drug. Metab. Rev. 1990, 22, 209–268. [Google Scholar] [CrossRef]
- Fu, P.P.; Chou, M.W.; Miller, D.W.; White, G.L.; Helflich, R.H.; Beland, F.A. The orientation of the nitro substituent predicts the direct-acting bacterial mutagenicity of nitrated polycyclic aromatic hydrocarbons. Mutat. Res. 1985, 143, 173–181. [Google Scholar] [CrossRef]
- Fu, P.P.; Heflich, R.H.; Von Tungeln, L.S.; Yang, D.T.; Fifer, E.K.; Beland, F.A. Effect of the nitro group conformation on the rat liver microsomal metabolism and bacterial mutagenicity of 2- and 9-nitroanthracene. Carcinogenesis 1986, 7, 1819–1827. [Google Scholar] [CrossRef]
- Fu, P.P.; Chou, M.W.; Beland, F.A. Effects of Nitro Substitution on the in vitro Metabolic Activation of Polycyclic Aromatic Hydrocarbons. In Polycyclic Aromatic Hydrocarbon Carcinogenesis: Structure-Activity Relationships; Yang, S.K., Silverman, B.D., Eds.; CRC Press: Boca Raton, FL, USA, 1988; pp. 37–65. [Google Scholar]
- Fu, P.P.; Heflich, R.H.; Unruh, L.E.; Shaikh, A.U.; Wu, Y.S.; Lai, C.C.; Lai, S. Relationships among direct-acting mutagenicity, nitro group orientation and polarographic reduction potential of 6-nitrobenzo[a]pyrene, 7-nitrobenz[a] anthracene and their derivatives. Mutat. Res. 1988, 209, 115–122. [Google Scholar] [CrossRef]
- Fu, P.P.; Ni, Y.C.; Zhang, Y.M.; Heflich, R.H.; Wang, Y.K.; Lai, J.S. Effect of the orientation of nitro substituent on the bacterial mutagenicity of dinitrobenzo[e] pyrenes. Mutat. Res. 1989, 225, 121–125. [Google Scholar] [CrossRef]
- Yu, S.; Herreno-Saenz, D.; Miller, D.W.; Kadlubar, F.F.; Fu, P.P. Mutagenicity of nitro-polycyclic aromatic hydrocarbons with the nitro substituent situated at the longest molecular axis. Mutat. Res. 1992, 283, 45–52. [Google Scholar] [CrossRef]
- Jung, H.; Shaikh, A.U.; Heflich, R.H.; Fu, P.P. Nitro group orientation, reduction potential, and direct-acting mutagenicity of nitro-polycyclic aromatic hydrocarbons. Environ. Mol. Mutagen. 1991, 17, 169–180. [Google Scholar] [CrossRef]
- White, G.L.; Fu, P.P.; Heflich, R.H. Effect of nitro substitution on the light-mediated mutagenicity of polycyclic aromatic hydrocarbons in Salmonella typhimurium TA98. Mutat. Res. 1985, 144, 1–7. [Google Scholar] [CrossRef]
- Yu, H. Environmental carcinogenic polycyclic aromatic hydrocarbons: Photochemistry and phototoxicity. J. Environ. Sci. Health C Environ. Carcinog. Ecotoxicol. Rev. 2002, 20, 149–183. [Google Scholar] [CrossRef]
- Miller, D.W.; Herreno-Saenz, D.; Huang, K.H.; Heinze, T.M.; Fu, P.P. Synthesis of nitropolycyclic aromatic hydrocarbons with the substituent at the longest axis. J. Org. Chem. 1992, 57, 3746–3748. [Google Scholar] [CrossRef]
- Fu, P.P.; Clark, J.D.; Huang, A.Y. Synthesis of l0-oxo-7,8,9,l0-tetrahydrobenzo[a]pyrene. J. Chem. Res. 1982, 5, 121. [Google Scholar]
- Cherng, S.-H.; Xia, Q.; Blankenship, L.R.; Freeman, J.P.; Wamer, W.G.; Howard, P.C.; Fu, P.P. Photodecomposition of retinyl palmitate in ethanol by UVA light-formation of photodecomposition products, reactive oxygen species, and lipid peroxides. Chem. Res. Toxicol. 2005, 18, 129–138. [Google Scholar] [CrossRef]
- Arimoto-Kobayashi, S.; Anma, N.; Yoshinaga, Y.; Douki, T.; Cadet, J.; Hayatsu, H. Oxidative damage and induced mutations in M13mp2 phage DNA exposed to N-nitrosopyrrolidine with UVA radiation. Mutagenesis 2000, 15, 473–477. [Google Scholar] [CrossRef]
- Yu, H.B.; Jin, W.; Ho, H.L.; Chan, K.C.; Chan, C.C.; Demokan, M.S.; Stewart, G.; Culshaw, B.; Liao, Y.B. Multiplexing of optical fiber gas sensors with a frequency-modulated continuous-wave technique. Appl. Opt. 2001, 40, 1011–1020. [Google Scholar] [CrossRef]
- Jeanmougin, M.; Civatte, J. Dosimetry of solar ultraviolet radiation. Daily and monthly changes in Paris. Ann. Dermatol. Venereol. 1987, 114, 671–676. [Google Scholar]
- Balasaraswathy, P.; Kumar, U.; Srinivas, C.R.; Nair, S. UVA and UVB in sunlight, optimal utilization of UV rays in sunlight for phototherapy. Indian J. Dermatol. Venereol. Leprol. 2002, 68, 198–201. [Google Scholar]
- Tokita, M.; Morita, M. Identification of new geometric isomers of methyl linoleate hydroperoxide and their chromatographic behavior. Biosci. Biotechnol. Biochem. 2000, 64, 1044–1046. [Google Scholar]
- Gibian, M.J.; Vandenberg, P. Product yield in oxygenation of linoleate by soybean lipoxygenase: The value of the molar extinction coefficient in the spectrophotometric assay. Anal. Biochem. 1987, 163, 343–349. [Google Scholar] [CrossRef]
- Ogilby, P.R.; Foote, C.S. Chemistry of singlet oxygen. 42. Effect of solvent, solvent isotopic substitution, and temperature on the lifetime of singlet molecular oxygen (1.DELTA.g). J. Am. Chem. Soc. 1983, 105, 3423–3430. [Google Scholar] [CrossRef]
- Yin, J.J.; Fu, P.P. Application of Electron Spin Resonance to Study Food Antioxidative and Prooxidative Activities. In Magnetic Resonance in Food Science, Challenges in a Changing World; Gudjonsdottir, M., Belton, P., Webb, G., Eds.; Royal Society of Chemistry: Cambridge, UK, 2009; pp. 213–221. [Google Scholar]
- Zhao, H.; Joseph, J.; Zhang, H.; Karoui, H.; Kalyanaraman, B. Synthesis and biochemical applications of a solid cyclic nitrone spin trap: A relatively superior trap for detecting superoxide anions and glutathiyl radicals. Free Radic. Biol. Med. 2001, 31, 599–606. [Google Scholar] [CrossRef]
- Frisch, M.J.; Trucks, G.W.; Schlegel, H.B.; Scuseria, G.E.; Robb, M.A.; Cheeseman, J.R.; Scalmani, G.; Barone, V.; Mennucci, B.; Petersson, G.A.; et al. Gaussian 09 Package; Gaussian, Inc.: Wallingford, CT, USA, 2009. [Google Scholar]
- Chiang, H.-M.; Yin, J.J.; Xia, Q.; Zhao, Y.; Fu, P.P.; Wen, K.C.; Yu, H. Photoirradiation of azulene and guaiazulene—Formation of reactive oxygen species and induction of lipid peroxidation. J. Photochem. Photobiol. A 2010, 211, 123–128. [Google Scholar] [CrossRef]
- Xia, Q.; Yin, J.J.; Cherng, S.-H.; Wamer, W.G.; Boudreau, M.; Howard, P.C.; Fu, P.P. UVA photoirradiation of retinyl palmitate—Formation of singlet oxygen and superoxide, and their role in induction of lipid peroxidation. Toxicol. Lett. 2006, 163, 30–43. [Google Scholar] [CrossRef]
- Lion, Y.; Gandin, E.; Van de Vorst, A. On the production of nitroxide radicals by singlet oxygen reaction: An EPR study. Photochem. Photobiol. 1980, 31, 305–309. [Google Scholar] [CrossRef]
- Rinalducci, S.; Pedersen, J.Z.; Zolla, L. Formation of radicals from singlet oxygen produced during photoinhibition of isolated light-harvesting proteins of photosystem II. Biochim. Biophys. Acta 2004, 1608, 63–73. [Google Scholar] [CrossRef]
- Noda, Y.; Kohno, M.; Mori, A.; Packer, L. Automated electron spin resonance free radical detector assays for antioxidant activity in natural extracts. Methods Enzymol. 1999, 299, 28–34. [Google Scholar]
- Dong, S.; Fu, P.P.; Shirsat, R.N.; Hwang, H.M.; Leszczynski, J.; Yu, H. UVA light-induced DNA cleavage by isomeric methylbenz[a]anthracenes. Chem. Res. Toxicol. 2002, 15, 400–407. [Google Scholar] [CrossRef]
- Arce, R.; Pino, E.F.; Valle, C.; Negron-Encarnacion, I.; Morel, M. A comparative photophysical and photochemical study of nitropyrene isomers occurring in the environment. J. Phys. Chem. A 2010, 115, 152–160. [Google Scholar]
- Crespo-Hernandez, C.E.; Burdzinski, G.; Arce, R. Environmental photochemistry of nitro-PAHs: Direct observation of ultrafast intersystem crossing in 1-nitropyrene. J. Phys. Chem. A 2008, 112, 6313–6319. [Google Scholar] [CrossRef]
- Morales-Cueto, R.; Esquivelzeta-Rabell, M.; Saucedo-Zugazagoitia, J.; Peon, J. Singlet excited-state dynamics of nitropolycyclic aromatic hydrocarbons: Direct measurements by femtosecond fluorescence up-conversion. J. Phys. Chem. A 2007, 111, 552–557. [Google Scholar]
- Reichardt, C.; Vogt, R.A.; Crespo-Hernandez, C.E. On the origin of ultrafast nonradiative transitions in nitro-polycyclic aromatic hydrocarbons: Excited-state dynamics in 1-nitronaphthalene. J. Chem. Phys. 2009, 131, 224518. [Google Scholar] [CrossRef]
- Stewart, G.; Jiao, Y.; Valente, E.J.; Fu, P.P.; Li, T.; Hu, Z.; Yu, H. Photochemical reaction of 9-nitro-substituted anthracene-like molecules 9-methyl-10-nitroanthracene and 12-methyl-7-nitrobenz[a]anthracene. J. Photochem. Photobiol. A 2009, 201, 39–44. [Google Scholar] [CrossRef]
- Chapman, O.L.; Heckert, D.C.; Reasoner, J.W.; Thackaberry, S.P. Photochemical Studies on 9-Nitroanthracene1. J. Am. Chem. Soc. 1966, 88, 5550–5554. [Google Scholar] [CrossRef]
- Chung, F.L.; Chen, H.J.C.; Guttenplan, J.B.; Nishikawa, A.; Hard, G.C. 2,3-Epoxy-4-hydroxynonanal as a potential tumor-initiating agent of lipid peroxidation. Carcinogenesis 1993, 14, 2073–2077. [Google Scholar] [CrossRef]
- Esterbauer, H.; Zollner, H.; Schaur, R.J. Aldehydes Formed by Lipid Peroxidation: Mechanisms of Formation, Occurrence, and Determination. In Membrane Lipid Oxidation; Vigo-Pelfrey, C., Ed.; CRC Press: Boca Raton, FL, USA, 1990; pp. 239–268. [Google Scholar]
- Xia, Q.; Boudreau, M.; Zhou, Y.-T.; Yin, J.J.; Fu, P.P. UVB photoirradiation of Aloe vera—Formation of free radicals, singlet oxygen, superoxide, and induction of lipid peroxidation. J. Food Drug Anal. 2011, 19, 396–402. [Google Scholar]
- Fu, P.P.; Xia, Q.; Sun, X.; Yu, H. Phototoxicity and environmental transformation of polycyclic aromatic hydrocarbons—Light-induced reactive oxygen species, lipid peroxidation, and DNA damage. J. Environ. Sci. Health C 2012, 30, 1–41. [Google Scholar]
- Xia, Q.; Chiang, H.M.; Zhou, Y.-T.; Yin, J.J.; Liu, F.; Wang, C.; Guo, L.; Fu, P.P. Phototoxicity of Kava—Formation of reactive oxygen species leading to lipid peroxidation and DNA damage. Am. J. Chinese Med. 2012, 40, 1271–1288. [Google Scholar] [CrossRef]
- Stadtman, E.R.; Berlett, B.S. Reactive oxygen-mediated protein oxidation in aging and disease. Chem. Res. Toxicol. 1997, 10, 485–494. [Google Scholar] [CrossRef]
© 2013 by the authors; licensee MDPI, Basel, Switzerland. This article is an open access article distributed under the terms and conditions of the Creative Commons Attribution license (http://creativecommons.org/licenses/by/3.0/).
Share and Cite
Xia, Q.; Yin, J.-J.; Zhao, Y.; Wu, Y.-S.; Wang, Y.-Q.; Ma, L.; Chen, S.; Sun, X.; Fu, P.P.; Yu, H. UVA Photoirradiation of Nitro-Polycyclic Aromatic Hydrocarbons—Induction of Reactive Oxygen Species and Formation of Lipid Peroxides †. Int. J. Environ. Res. Public Health 2013, 10, 1062-1084. https://doi.org/10.3390/ijerph10031062
Xia Q, Yin J-J, Zhao Y, Wu Y-S, Wang Y-Q, Ma L, Chen S, Sun X, Fu PP, Yu H. UVA Photoirradiation of Nitro-Polycyclic Aromatic Hydrocarbons—Induction of Reactive Oxygen Species and Formation of Lipid Peroxides †. International Journal of Environmental Research and Public Health. 2013; 10(3):1062-1084. https://doi.org/10.3390/ijerph10031062
Chicago/Turabian StyleXia, Qingsu, Jun-Jie Yin, Yuewei Zhao, Yuh-Sen Wu, Yu-Qui Wang, Liang Ma, Shoujun Chen, Xin Sun, Peter P. Fu, and Hongtao Yu. 2013. "UVA Photoirradiation of Nitro-Polycyclic Aromatic Hydrocarbons—Induction of Reactive Oxygen Species and Formation of Lipid Peroxides †" International Journal of Environmental Research and Public Health 10, no. 3: 1062-1084. https://doi.org/10.3390/ijerph10031062
APA StyleXia, Q., Yin, J.-J., Zhao, Y., Wu, Y.-S., Wang, Y.-Q., Ma, L., Chen, S., Sun, X., Fu, P. P., & Yu, H. (2013). UVA Photoirradiation of Nitro-Polycyclic Aromatic Hydrocarbons—Induction of Reactive Oxygen Species and Formation of Lipid Peroxides †. International Journal of Environmental Research and Public Health, 10(3), 1062-1084. https://doi.org/10.3390/ijerph10031062
