Abstract
Microorganisms are the dominating source of food and nutrition for sponges and play an important role in sponge structure, chemical defense, excretion and evolution. In recent years, plentiful secondary metabolites with novel structures and specific activities have been identified from sponge-associated microorganisms. Additionally, as the phenomenon of the drug resistance of pathogenic bacteria is becoming more and more common, it is urgent to discover new antimicrobial agents. In this paper, we reviewed 270 secondary metabolites with potential antimicrobial activity against a variety of pathogenic strains reported in the literature from 2012 to 2022. Among them, 68.5% were derived from fungi, 23.3% originated from actinomycetes, 3.7% were obtained from other bacteria and 4.4% were discovered using the co-culture method. The structures of these compounds include terpenoids (13%), polyketides (51.9%), alkaloids (17.4%), peptides (11.5%), glucosides (3.3%), etc. Significantly, there are 124 new compounds and 146 known compounds, 55 of which have antifungal activity in addition to antipathogenic bacteria. This review will provide a theoretical basis for the further development of antimicrobial drugs.
1. Introduction
Marine sponges, the most primitive multicellular metazoan animals, are sessile organisms that efficiently filter feed organisms from the surrounding water [1]. They live in a high-salinity, high-pressure, light-avoiding, anoxic and oligotrophic environment. As natural microbial fermenters, sponges harbor a large community of diverse microorganisms that represent up to 50–60% of the sponge biomass [2]. In addition, these microorganisms are rich in silent genes due to the special living environment, which can produce structurally novel and diverse secondary metabolites [3,4,5], including polyketides, peptides, alkaloids, etc., numerous examples of which possess attractive cytotoxic, antitumor, antimicrobial, antifungal and anti-infective properties [6].
Remarkably, antibiotic resistance has emerged as an important global threat in recent years, reducing the possibility of curing diseases caused by various pathogens [7]. Therefore, the discovery of new compounds is encouraged in the fight against the threat posed by the increasing number of drug-resistant infectious diseases and upcoming disorders [8]. Due to the simple structure of sponges and the lack of an effective physical defense system, the metabolites with antibacterial activity produced by these associated microorganisms can help sponges to constitute a strong defense mechanism against competitors, predators and infectious microorganisms, which provide source molecules or innovative inspiration for the human development of new antibiotics.
Furthermore, many studies have paid more and more attention to whether the secondary metabolites of sponge-associated microorganisms have antibacterial activity in order to find lead compounds against multi-drug-resistant (MDR) strains. For example, Skariyachan et al. isolated many strains of symbiotic bacteria from Indian sponges in 2013 and 2015, respectively, and found that these strains could produce several types of secondary metabolites by screening methods and that these compounds were resistant to a variety of pathogenic bacteria, such as methicillin-resistant Staphylococcus aureus (MRSA), Salmonella typhi, Klebsiella pneumoniae, Pseudomonas aeruginosa and so on [9,10].
Although the secondary metabolites of sponge-associated microorganisms have been reviewed by many people, the number of compounds with antibacterial activity is very small and they have a single source. For example, Mayer et al. reviewed 19 compounds with antimicrobial activity derived from Phylum Porifera sponge-associated fungi [11]. Mehbub et al. reviewed 7 compounds with antimicrobial activity purified from Porifera sponge-associated fungi [12]. Jin et al. reviewed secondary metabolites of sponge-associated fungi, of which only 14 had antibacterial activity [13].
In this paper, we summarized 270 secondary metabolites isolated from sponge-associated microorganisms from 2012 to 2022, including terpenoids, polyketides, alkaloids, peptides, glucosides and so on. These compounds were obtained from different sources, which exhibited antimicrobial activities against Staphylococcus aureus, Escherichia coli, Bacillus subtilis, Enterococcus faecalis, Vibrio parahaemolyticus, Mycobacterium tuberculosis, etc. (Table 1). We hope that this review will shed light on the discovery of valuable secondary metabolites, with potential antibacterial activities from the sponge-associated microorganisms.
Table 1.
Sponge origin and antimicrobial activity of all compounds.
2. Metabolite Sources, Structures and Activities
2.1. Marine Natural Products with Antimicrobial Activity from Sponge-Associated Fungi
Nowadays, marine-derived fungi are gaining increasing attention as a source of novel bioactive secondary metabolites [14] due to their high yield and relatively small molecular structure. Moreover, marine fungi associated with sponges are the center of attention of researchers and are known to produce an array of structurally varied secondary metabolites possessing potential biological properties [2].
2.1.1. Terpenoids
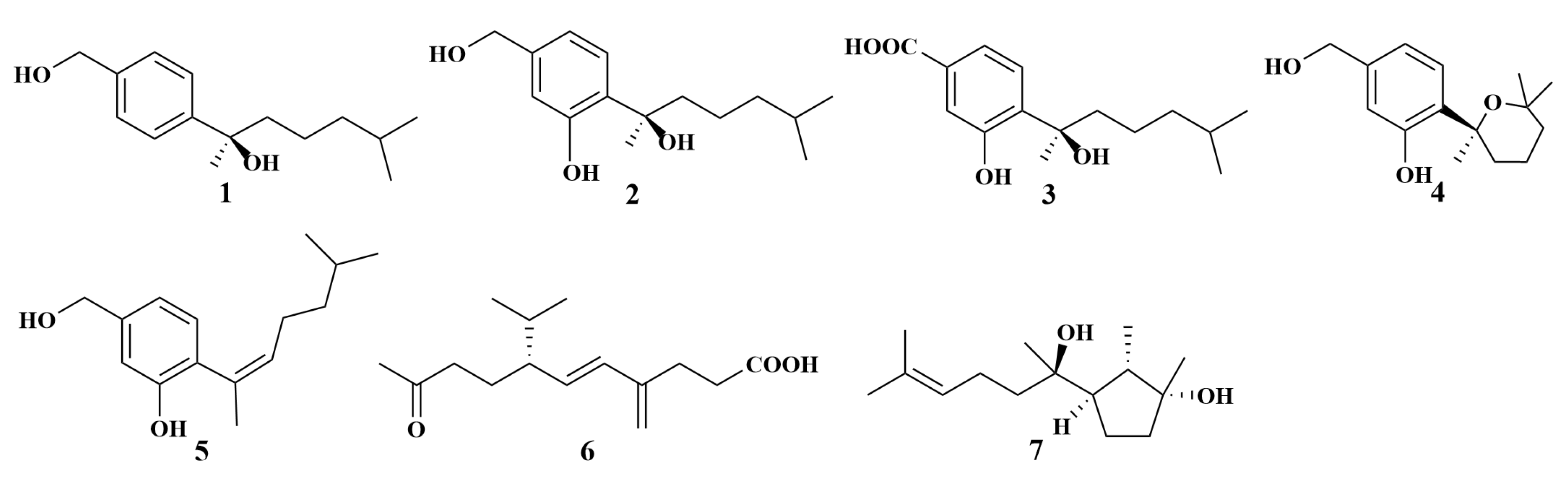
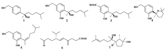
Aspergillus sp. ZJ-2008004, derived from the Xestospongia testudinaria (South China Sea), produced four novel bisabolane-type sesquiterpenoids, aspergiterpenoid A (1), (−)-sydonol (2), (−)-sydonic acid (3) and (−)-5-(hydroxymethyl)-2-(2′,6′,6′-trimethyltetrahydro-2H-pyran-2-yl)phenol (4), as well as a known fungal metabolite (5). All compounds showed selective antibacterial activities against eight bacterial strains with minimum inhibitory concentration (MIC) values between 1.25 and 20.0 µg/mL [15]. Fusarium sp. KJMT. FP. 4. 3, isolated from the same genus sponge (Indonesian) as Aspergillus sp. ZJ-2008004, yielded two known compounds, tricinonoic acid (6) and cyclonerodiol (7) (Figure 1), which showed weakly antibacterial activities against multidrug-resistant Salmonella enterica ser. Typhi, with MIC values of 125 µg/mL for each [16].
Figure 1.
Structures of 1–7.
Chevalone E (8), a novel chevalone derivative separated from Aspergillus similanensis KUFA0013 associated with Rhabdermia sp., showed moderate activity against MRSA [17]. A known compound, dankasterone A (9) from Neosartorya fennelliae KUFA0811, was associated with the sponge Clathria reinwardtii and displayed active activities against S. aureus and Enterococcus faecalis, with MIC values of 16, 32 µg/mL [18]. Diaporthalasin (10) (Figure 2), a new pentacyclic cytochalasin derivative, was collected from the Phomopsis sp. sponge-associated fungus Diaporthaceae sp. PSU-SP2/4. Bioassay results showed that 10 exhibited significant antibacterial activities against both S. aureus and MRSA, with equal MIC values of 2 µg/mL [19].
Figure 2.
Structures of 8–10.
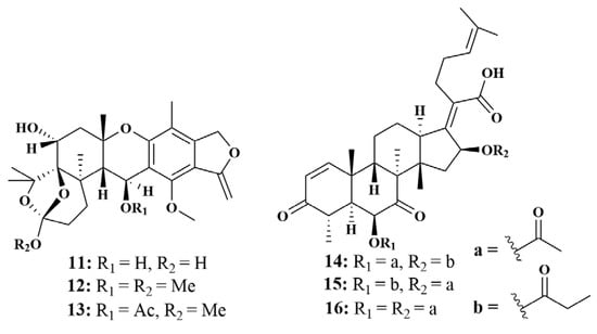
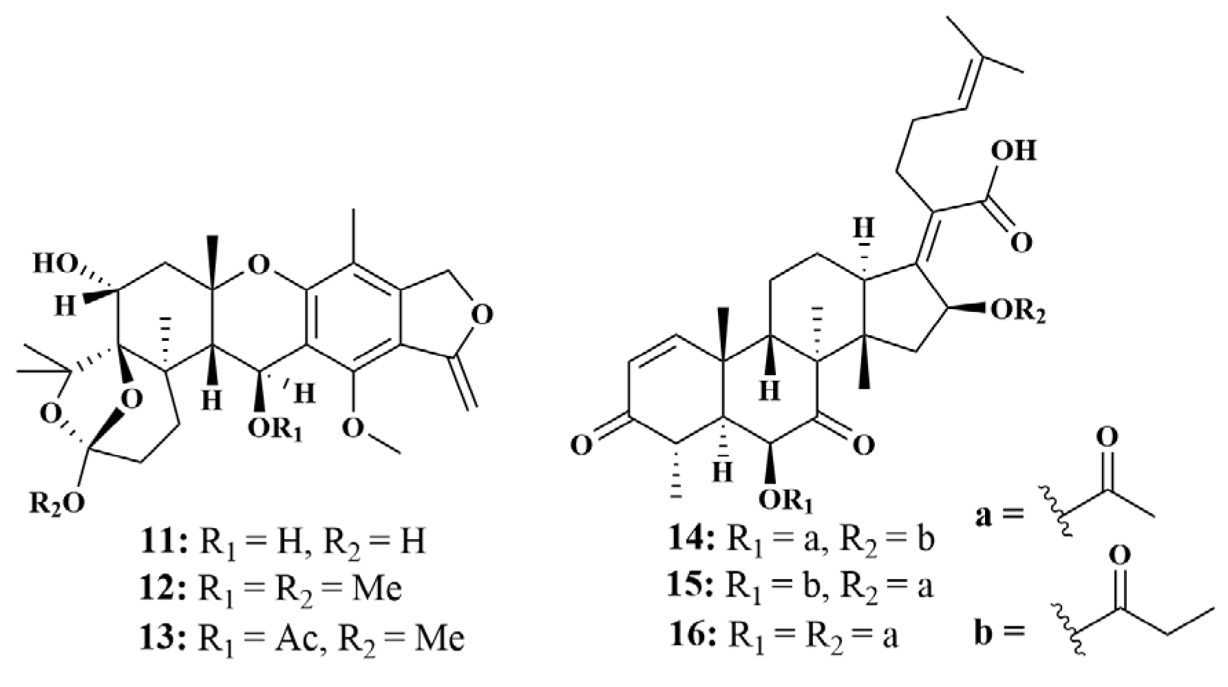
A new meroterpenoid, austalide R (11), together with two known compounds, austalide M (12) and austalide N (13), were obtained from Aspergillus sp. from the Mediterranean sponge Tethya aurantium. Compounds 11 and 12 possessed broad-spectrum antibacterial activities against Halomonas aquamarina, Polaribacter irgensii, Pseudoalteromonas elyakovii, Roseobacter litoralis, Shewanella putrefaciens, Vibrio harvey, V. natriegens, V. proteolyticus and Vibrio carchariae, with MIC values of 0.001-10 µg/mL, while compound 13 can inhibit H. aquamarine and V. natriegens, with MIC values of 0.01 µg/mL, respectively [20]. Meanwhile, two novel helvolic acid derivatives, 16-O-propionyl-16-O-deacetylhelvolic acid (14) and 6-O-propionyl-6-O-dea-cetylhelvolic acid (15), and one known helvolic acid (16) (Figure 3) cultivated from an unidentified sponge-associated fungus, A. fumigatus HNMF0047 (Wenchang, China), both displayed stronger antibacterial activity against Streptococcus agalactiae, with MIC values of 16, 2 and 8 μg/mL, respectively [21].
Figure 3.
Structures of 11–16.
Acremonium sp. NBUF150, collected from the Ciocalypta sponge (South China Sea), gave a new steroid, acremocholone (17), along with two known analogs, (22E)-5α,8α-epidioxyergo-sta-6,22-dien-3β-ol (18) and (22E,24R)-3β-hydroxy-5,9-epoxyergosta-7,22-dien-6-one (19) (Figure 4). Compound 17 exhibited antimicrobial inhibition against V. scophthalmi, V. shilonii and V. brasiliensis, with MIC values of 8 μg/mL, while 18 inhibited V. shilonii and V. brasiliensis, with MIC values of 8 and 32 μg/mL, respectively. In addition, compound 19 inhibited the growth of V. brasiliensis, with an MIC value of 16 μg/mL [22].
Figure 4.
Structures of 17–19.
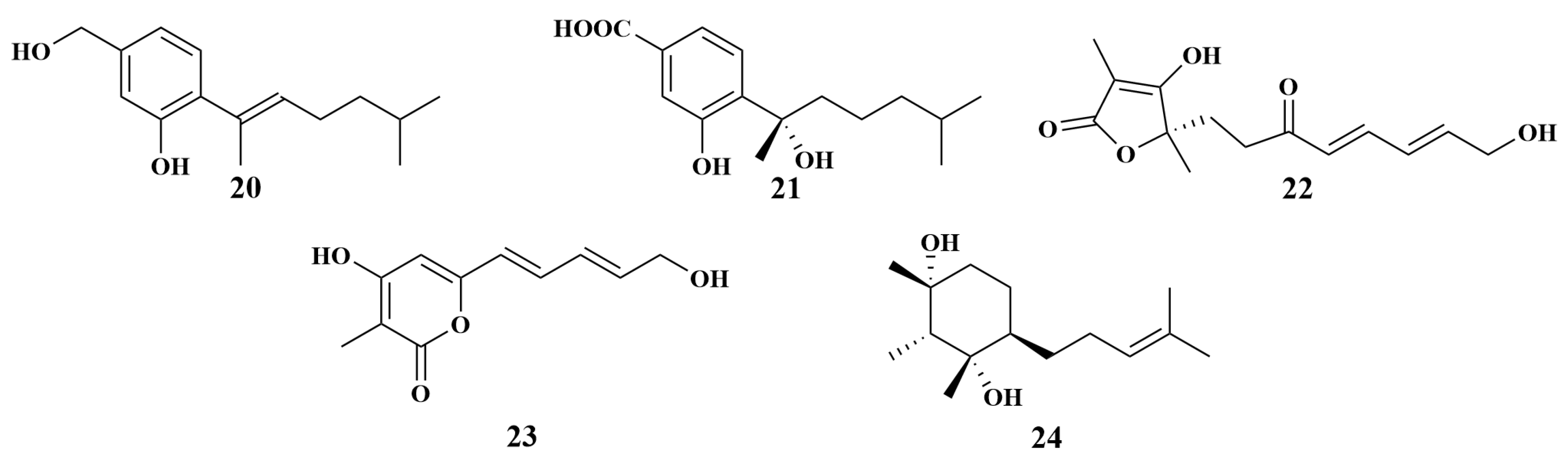
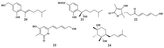
An examination of the fungal strain Aspergillus sydowii ZSDS1-F6 (Xisha Islands, China) revealed aspergillusene A (20) and sydonic acid (21). Among them, 20 showed modest antimicrobial activities against Klebsiella pneumonia and Aeromonas hydrophila, with MIC values of 21.4 and 4.3 μM, respectively, while compound 21 can inhibit Enterococcus faecalis, with an MIC value of 18.8 μM [23]. Saturnispol F (22) and saturnispol H (23), two novel conjugated olefinic metabolites, were first isolated from marine-sponge-associated fungus Trichoderma saturnisporum DI-IA collected from the Xisha Islands, which provided additional evidence to support the assumption that the same fungal species from a marine environment are capable of activating a distinct biosynthetic pathway. Moreover, compounds 22 and 23 exerted selective effects against a panel of bacteria strains, including vancomycin-resistant Enterococcus (VRE) and Bacillus subtilis, with MIC values ranging from 1.63 to 12.9 µg/mL [24]. Hypocrea koningii PF04, also separated from the Xisha Islands sponge sample, produced citrantifidiol (24) (Figure 5), which displayed mild antibacterial activity against Staphylococcus aureus, with an MIC value of 32 μg/mL [25].
Figure 5.
Structures of 20–24.
To find anti-Vibrio harveyi natural products, two Haliclona sp. sponge-associated fungal strains (Hainan, China), identified as Aspergillus sp. LS116 and Penicillium sp. LS54, produced aspergillsteroid A (25), neocyclocitrinol B (26) and penicillilactone A (27), respectively. The MIC values of the three compounds were 16, 128 and 8 μg/mL. Meanwhile, a comparison of the structures of 25 and 26 revealed that the absence of a C-23 hydroxyl branch moiety in 25 enhanced antibacterial activity. In addition, penicillilactone A (27) was the first example of a natural product containing a 7-membered lactone ring fused to a furan group [26,27].
Elena et al. reported the isolation and identification of two known compounds, dihydroauroglaucin (28) and isodihydroauroglaucin (29) (Figure 6), from Eurotium chevalieri MUT2316 associated with the Atlantic sponge Grantia compressa. Compound 28 showed inhibitory activities against Staphylococcus aureus, Enterococcus faecalis and Streptococcus pneumoniae, with MIC values of 124, 64 and 8 μg/mL, respectively, while compound 29 exhibited inhibitory activities against S. aureus and E. faecalis, with MIC values of 4–64 μg/mL [28].
Figure 6.
Structures of 25–29.
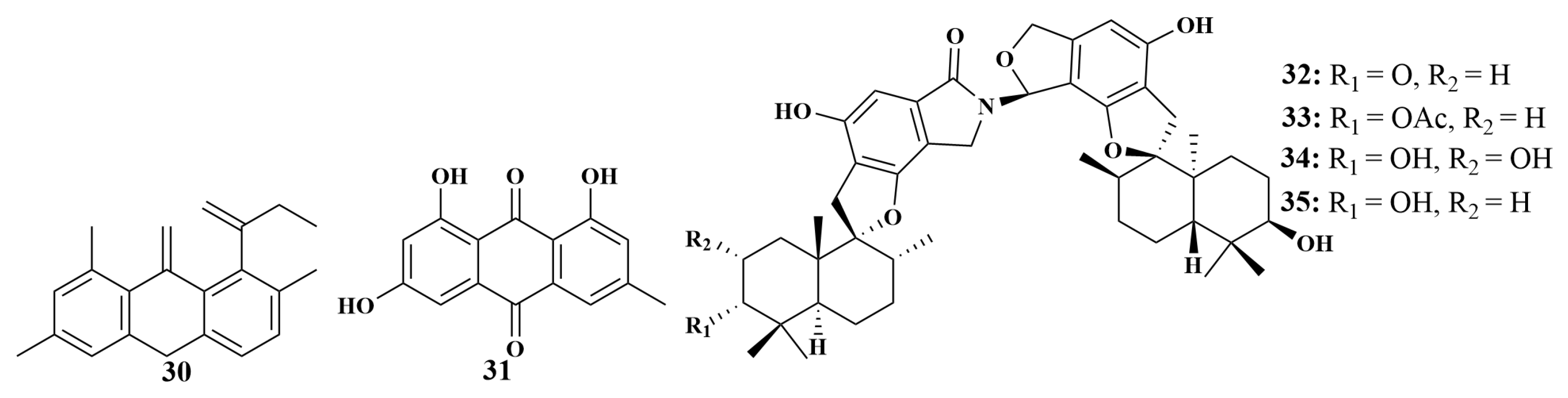
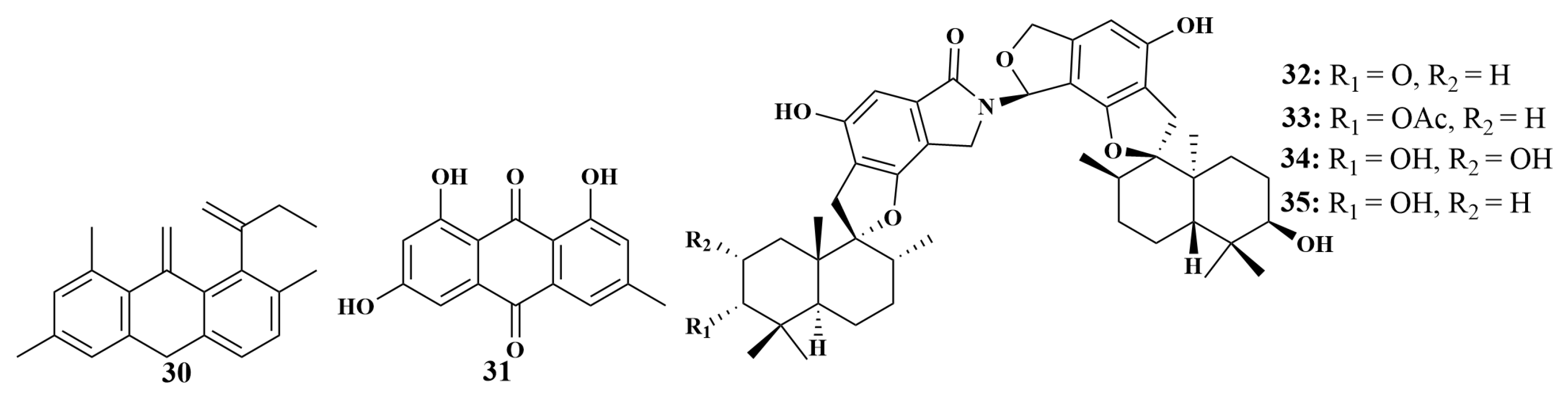
Two known compounds, pinselin (30) and frangula-emodin (31), were produced by the strain of Penicillium sp. SCSIO41015 originating from the Callyspongia sp. sponge. They displayed weak antibacterial activity against Staphylococcus aureus, with MIC values of 57 and 3.75 µg/mL, respectively [29]. Further investigation led to the isolation of another four novel phenylspirodrimane-type dimers. Chartarlactams Q–S (32–35) (Figure 7) were discovered from Stachybotrys chartarum WGC-25C-6 associated with the Niphates sp. sponge (Beibu Gulf, China), and can also inhibit S. aureus, with MIC values in the range of 4–16 µg/mL [30].
Figure 7.
Structures of 30–35.
2.1.2. Polyketides
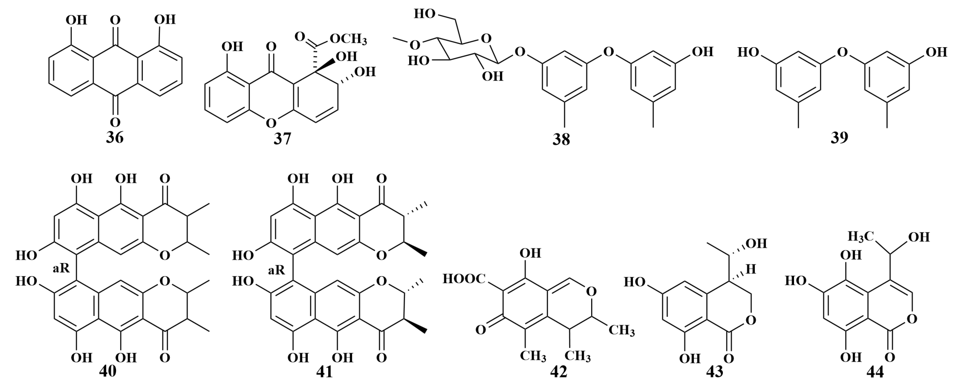
Chrysazin (36) and globosuxanthone A (37) were obtained from Beauveria bassiana TPU942 cultivated from an unidentified sponge (Iriomote Island, Okinawa), which showed an inhibition zone of 7 mm against Candida albicans at a concentration of 10.0 μg/disk [31]. Four known compounds cordyol A (38), diorcinol (39), isochaetochromin B2 (40) and ustilaginoidin D (41) were isolated from Megatherium anisopliae MXH-99 (Weizhou Island, China). Compounds 38 and 39 were reported to have weak antimycobacterial activities against Mycobacterium tuberculosis, with MIC values of 100.0 and 50.0 µg/mL, respectively [32]. In addition, isochaetochromin B2 (40) and ustilaginoidin D (41) exhibited the highest activities against Mycobacterium phlei, with MIC values of 50.0 µg/mL for each [33].
The isolation of citrinin (42) was reported in 2013 from Penicillium sp. FF001 associated with the sponge Melophlus sp., which exhibited potent antibacterial activities against MRSA, rifampicin-resistant Staphylococcus aureus, wild-type Staphylococcus aureus and vancomycin-resistant Enterococcus faecium, with MIC values of 3.90, 0.97, 1.95 and 7.81 µg/mL, respectively. Further, it also displayed significant activity against Cryptococcus neoformans, with an MIC value of 3.90 µg/mL [34]. Penicifurans A (43) and 5, 6, 8-trihydroxy-4-(1′-hydroxyethyl)-isocoumarin (44) (Figure 8) were isolated from Penicillium sp. MWZ14-4 (South China Sea). Among these, compound 43 showed moderate inhibitory activity against Streptomyces albus, with an MIC value of 3.13 μM, and weak activity against Bacillus cereus, and compound 44 displayed mild activities against Bacillus cereus and Vibrio parahemolyticus, with MIC values of 6.25 μM for each [35].
Figure 8.
Structures of 36–44.
Helicusin A (45), deacetylsclerotiorin (46) and isochromophilone XI (47) were produced from the culture of the Tethya aurantium sponge-associated fungus Bartalinia robillardoides LF550 (Mediterranean), which is the first report on the isolation of chloroazaphilones of a fungal strain belonging to the genus Bartalinia. Remarkably, weak antibacterial activities against Bacillus subtilis and Staphylococcus lentus were found in compounds 46 and 47, and a significant inhibition of Candida albicans, Trichophyton rubrum and Septoria tritici was found in compounds 45 and 46, while 47 revealed specifically weak activity against T. rubrum [36]. In continuing the search for biologically active secondary metabolites in Mediterranean sponge-associated fungi, Talaromyces sp. LF458 afforded two novel oxaphenalenone dimers, talaromycesone A (48) and talaromycesone B (49), together with one known diphenyl ether derivative AS-186c (50), which displayed strong antimicrobial activities against S. epidermidis, with half-inhibitory concentration (IC50) values of 3.7, 17.36 and 1.24 μM, and MRSA, with IC50 values of 5.48, 19.5 and 1.71 μM, respectively [37].
Hansfordia sinuosae, recovered from the Niphates sp. sponge (South China Sea), was the source of a new polyester, hansforester A (51), and a known analogue, ascotrichalactone A (52) (Figure 9). Both 51 and 52 exhibited potent inhibition against a panel of bacterial strains, including the agricultural pathogenic bacteria, Pseudomonas lachrymans, Agrobacterium tumefaciens, Xanthomonas vesicatoria and Ralstonia solanacearum, with MIC values of 15.6 μM for each, and the human-infected bacterium Staphylococcus aureus, with MIC values of 3.9 μM for each [38].
Figure 9.
Structures of 45–52. (* represents configulation undetermined).
In 2017, Lei Hui et al. reported the isolation and identification of two novel isocoumarins, pestaloisocoumarins A (53) and B (54), together with one known isocoumarin, gamahorin (55), and three chlorinated benzophenone derivatives, pestalachlorides B (56) and E (57) and a mixture of pestalalactone atropisomers (58a/58b), from Pestalotiopsis heterocornis XWS03F09 associated with Phakellia fusca collected at Xisha Islands of China. Additionally, six undescribed polyketide derivatives, heterocornols A (59), heterocornols B (60), heterocornols C (61), heterocornols F (62), heterocornols G (63) and heterocornols H, (64) and their known analogues, methyl-(2-formyl-3-hydroxyphenyl)p-ropanoate (65), agropyrenol (66) and vaccinol G (67), were also discovered from this strain. All compounds showed antibacterial activities against Staphylococcus aureus and Bacillus subtilis, with MIC values ranging from 3 to 100 µg/mL [39,40]. Moreover, compounds 53, 54, 55, 61, 63, 66 and 67 showed weak antifungal activities against Candida parapsilosis and Cryptococcus neoformans, with MIC values of 100 µg/mL for each. To further explore more diverse polyketides, karimunones B (68), rhodolamprometrin (69), 7-O-methylrhodolam-prometrin (70) and 6-O-methylSMA93 (71) were isolated from the same fungal strain Fusarium sp. KJMT. FP. 4. 3 as tricinonoic acid (6), and had the same antibacterial activities [16].
Meanwhile, to further explore more Phakellia fusca sponge-associated fungi in Xisha Islands, Hypocrea koningii PF04 resulted in the discovery of hypocrol A (72), trichodenol B (73), 4-hydroxyphenethyl acetate (74), and 1-oleyltyrosol (75) (Figure 10). Both of them possessed weak antibacterial activities against Staphylococcus aureus, Escherichia coli and MRSA, with MIC values in the range of 64–128 µg/mL [41].
Figure 10.
Structures of 53–75.
Three new heterdimeric tetrahydroxanthone-chromanone lactones, chrysoxanthones A–C (76–78), were found in Penicillium chrysogenum HLS111 obtained from the sponge Gelliodes carnosa. The bioassay test indicated that compounds 76–78 exhibited the highest antibacterial activity against Bacillus subtilis, with MIC values of 5–10 µg/mL, and moderate activities against Staphylococcus epidermidis and S. aureus, with MIC values of 10-80 µg/mL, respectively [42]. Penicitrinone A (79) and penicitrinol J (80) were reported in 2020 from Penicillium citrinum WK-P9 associated with the Suberea sp. sponge (Hoga Island). Compound 79 showed moderate activity against Mycobacterium smegmatis, with an MIC value of 32 µg/mL. Compound 80 exhibited moderate growth inhibition against Bacillus subtilis, B. megaterium and M. smegmatis, with MIC values of 16, 16 and 32 µg/mL, respectively. Furthermore, a weak activity of 64 µg/mL against S. aureus was observed for 80 [43]. Penicillium vinaceum isolated from the sponge Hyrtios erectus (Yanbu) yielded citreoisocoumarin (81) and showed activity against S. aureus, with an inhibition zone of 19 mM [44].
Aspergillus versicolor MF359, obtained from the sponge Hymeniacidon perleve (Bohai Sea, China), led to the isolation of a new secondary metabolite, 5-methoxydihydrosterigmatocystin (82), which displayed effective activities against Bacillus subtilis and Staphylococcus aureus, with MIC values of 3.13 and 12.5 μg/mL, respectively [45]. In a further chemical investigation of the same genus sponge in the Bohai Sea, China, two known compounds, emodin (83) and trypacidin (84), were purified from the culture broth of Aspergillus fumigatus MF029. All of them displayed obvious antibacterial activities against MRSA and S. aureu, with MIC values of 50 µg/mL, and significant activity against BCG, with MIC values of 1.25 µg/mL. Moreover, trypacidin (84) showed effective activity against Bacillus subtilis, with MIC values of 12.5 µg/mL. This was the first report of trypacidin (84) displaying potential antitubercular activity, which would promote the investigation of antitubercular secondary metabolites from fungi [46].
An unusual polyketide with a new carbon skeleton, lindgomycin (85), and the recently described ascosetin (86), were extracted from the culture broth of Lindgomycetaceae sp. KF970 and Lindgomycetaceae sp. LF327 (Baltic Sea, Antarctic), respectively. Compounds 85 and 86 exhibited extensive antibiotic activities against Staphylococcus epidermidis, Staphylococcus aureus, MRSA, Propionibacterium acnes, Candida albicans, Xanthomonas campestris and Septoria tritici, with IC50 values in the range of 2–18 µM [47]. Penicillium sp. HDN151272 also derived from an Antarctica sponge produced two new polyketides, ketidocillinones B (87) and ketidocillinones C (88). Bioassay results showed that these two compounds possessed selective and broad-spectrum antibacterial activities against Mycobactrium phlei, Pseudomonas aeruginosa, meticillin-resistant coagulase-negative Staphylococcus (MRCNS), B. subtilis, B. cereus and V. parahemolyticus, with MIC values ranging from 1.56 to 25.00 μg/mL [48]. In order to explore more compounds with broad-spectrum antibacterial activities, physcion (89), asperflavin (90) and cinnalutein (91) were isolated from the same fungal strain Eurotium chevalieri MUT2316 as compounds 28 and 29 [28]. In addition to the above compounds, 8-O-4-dehydrodiferulic acid (92) (Figure 11) was also able to inhibit a range of pathogenic bacteria [20].
Figure 11.
Structures of 76–92.
GKK1032B (93) and secalonic acid A (94) were purified from Penicillium erubescens KUFA0220 associated with the sponge Neopetrosia sp., which acts against Enterococcus faecalis, VRE Enterococcus faecium and Staphylococcus aureus, with MIC values of 8, 8 and 32 μg/mL, respectively, while secalonic acid A (94) acted against MRSA with an MIC value of 64 µg/mL [49]. Except for 93 and 94, aspulvinones R (95), aspulvinones S (96) and aspulvinones U (97), along with three known compounds aspulvinones B′ (98), aspulvinones H (99) and aspulvinones A (100) from Aspergillus flavipes KUFA1152 associated with the Thailand sponge Mycale sp., had the same antimicrobial activities, with MIC values ranging from 4 to 16 µg/mL [50]. Further investigation led to the isolation of another novel compound, spinolactone (101) (Figure 12), which was separated from N. spinosa KUFA1047 associated with the same genus sponge as 95–100 and displayed antibacterial activity against E. faecalis, with an MIC value of 64 µg/mL [51].
Figure 12.
Structures of 93–101.
Aspergillus carneus, recovered from the sponge Agelas Oroides (Aegean Sea, Turkey), was the source of 5′-epi-averufanin (102), versicolorin C (103) and averufin (104). Among them, compound 102 was found to be active against Staphylococcus aureus and Enterococcus faecium, with MIC values of 4.6 and 9.3 μg/mL, respectively, and compound 103 showed inhibitory activity against S. aureus, with an MIC value of 4.3 μg/mL. Moreover, compound 104 exhibited inhibitory activities against S. aureus, E. faecium and E. faecalis, with MIC values of 4.6, 2.3 and 18.4 μg/mL, respectively. This study used the “One Strain Many Compounds” (OSMAC) culture strategy, which broke the tradition of using only one fermentation method for most studies on fungal natural products [52]. In the continuing search for biologically active compounds in Turkish sponge-associated fungi, Rhizopus oryzae was afforded three new mycophenolic acid derivatives, penicacids H–J (105–107), together with two known naphtho-γ-pyrone dimers, asperpyrone A (108) and dianhydroaurasperone C (109), which acted against S. aureus, MRSA, Escherichia coli and Pseudomonas aeruginosa, with MIC values in the range of 62.5–250 μg/mL [53].
Li et al. reported the isolation of two known compounds, 12-hydroxysydonic acid (110) and oxalicumone A (111), in 2019, from Aspergillus sp. LS34 obtained from the sponge Haliclona sp. (Hainan, China). Compound 110 had important inhibitory activity against Staphylococcus aureus, with an MIC value of 3.54 μM, while compound 111 showed weak inhibitory activity against Escherichia coli, with an MIC value of 75.4 μM [54]. Another two fungal strains, Aspergillus sp. LS78 and Aspergillus sp. LS57, also originated from the Haliclona sp. sponge in Hainan, yielding aspericacids A (112) and B (113), which contain an unusual 2,5-disubstituted tetrahydrofuran ring and unsaturated fatty acid chain, as well as aspergilluone A (114). Compound 112 possessed moderate inhibitory activities, with MIC values of 50 μg/mL against both Candida albicans and Cryptoccus neoformans, while compound 113 displayed slightly weak activity, with MIC values of 128 μg/mL. Compound 114 showed selective antibacterial activities against Mycobacterium tuberculosis, Staphylococcus aureus, Bacillus subtilis and Escherichia coli, with MIC values of 32–128 μg/mL [55,56]. Secalonic acid D (115) (Figure 13) derived from Aspergillus sp. SCSIO XWS03F03 exhibited mild antimicrobial activities against Staphyloccocus aureus and Mycobacterium tuberculosis, with IC50 values of 7.19 and 1.26 μM, respectively [57].
Figure 13.
Structures of 102–115.
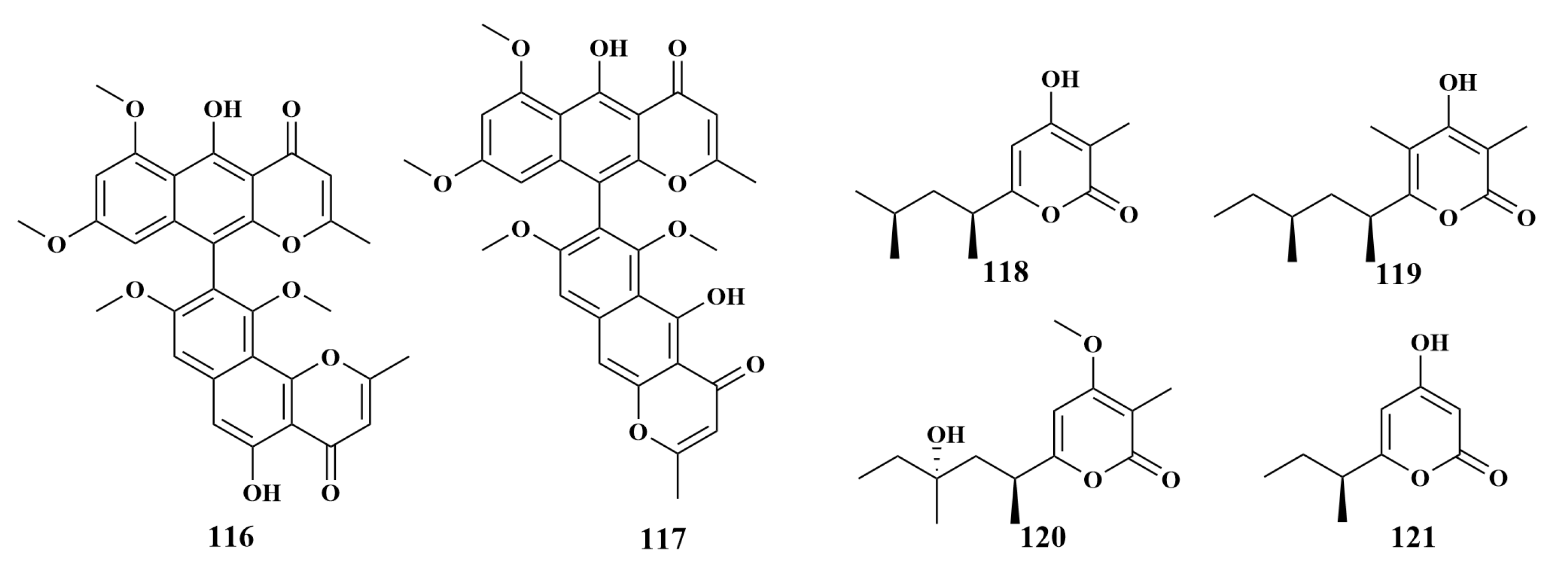
Fonsecinone A (116) and isoaurasperone A (117), discovered from Reniera japonica-associated fungus Aspergillus niger L14, was the first report possessing potent anti-Helicobacter pylori activity for dimeric naphtho-γ-pyrones, with MIC values of 2–4 µg/mL [58]. Aspergillus niger LS24, isolated from the same genus sponge as Aspergillus niger L14, gave three novel 4-hydroxy-α-pyrones, nipyrones A-C (118–120), together with one known compound, germicidin C (121) (Figure 14). Compound 120 exhibited significant inhibitory activities against Staphylococcus aureus and Bacillus subtilis, with MIC values of 8 and 16 µg/mL. Compounds 118, 119 and 121 exhibited moderate antimicrobial effects against S. aureus, Escherichia coli and B. subtilis, with MIC values in the range of 32–64 µg/mL. Significantly, 118–121 showed weak activity against MRSA, with MIC values of 128 µg/mL for each [59].
Figure 14.
Structures of 116–121.
A new anthraquinone, versiconol B (122), along with two known polyketides, versiconol (123) and sterigmatocystin C (124), were purified from the culture broth of Aspergillus sp. F40, which was associated with Callyspongia sp. (Xuwen Country, China). Both of them were able to selectively inhibit Staphylococcus aureus and Vibrio parahaemolyticus, with MIC values ranging from 12 to 48 µg/mL [60]. Another two fungal strains, Alternaria sp. SCSIO41014 and Fusarium equiseti SCSIO41019, were also collected from the Callyspongia sp. sponge in Xuwen Country, producing alterlactone (125) and linoleicacid (126), respectively. Alterlactone(125) showed mild inhibitory activity against Staphylococcus aureus, with an MIC value of 31.25 µg/mL. Linoleicacid (126) possessed antibacterial activities against S. aureus and MRSA, with MIC values ranging from 2 to 125 μg/mL [61,62].
In the continuing search for biologically active secondary metabolites in Callyspongia sp. sponge-associated fungi (Xuwen Country, China), two new dibenzopyrones with a rare sulfate group, alterlactone 5′-O-sulfate (127) and 3′-hydroxyalternariol-5-O-methyl ether-3′-O-sulfate (128), as well as eight known compounds 5-O-methyl ether (129), alternariol (130), alternariol-5-O-methyl ether (131), altenusiol (132), isoaltenuene (133), altenuene (134), dihydroalterperylenol (135) and alterperylenol (136) (Figure 15) were discovered. All compounds showed mild inhibitory activities and a broad spectrum against eight foodborne bacteria, with MIC values ranging from 15.63 to 125 μg/mL [63].
Figure 15.
Structures of 122–136.
A new diphenyl ether, aspergillusether E (137), was given by the fungus Aspergillus unguis PSU-MF16 associated with Dysidea sp. (Thailand). Additionally, the previously known emeguisin A (138) was also discovered from the same strain. Compound 137 displayed the best antimicrobial activities against Staphylococcus aureus and MRSA, with equal MIC values of 16 μg/mL. Compound 138 displayed potent antimicrobial activities against S. aureus, MRSA and Cryptococcus neoformans, with equal MIC values of 0.5 μg/mL [64]. Four known compounds cordyol C (139), violaceol II (140), violaceol I (141) and cordyol E (142) were isolated from Aspergillus sydowii J05B-7F-4 derived from the sponge Stelletta sp., which showed mild antibacterial activities against S. aureus, Streptococcus iniae and Vibrio ichthyoenteri [65]. Paecilin E (143) (Figure 16) was obtained from the same fungal strain Neosartorya fennelliae KUFA0811 as dankasterone A (9), which was active against S. aureus and Enterococcus faecalis, with MIC values of 16 and 32 μg/mL, respectively [18].
Figure 16.
Structures of 137–143.
2.1.3. Alkaloids
In an examination of the fungal strain Stagonosporopsis cucurbitacearum, two novel 4-hydroxy-2-pyridone alkaloids containing hydroxamic acid moiety, didymellamides A (144) and B (145), were discovered. Compound 144 inhibited the growth of Candida albicans, C. glabrata and Cryptococcus neoformans at concentrations of 1.6 or 3.1 μg/mL, whereas 145 inhibited only C. neoformans, with an MIC value of 6.3 μg/mL [66]. Equisetin (146) and 5′-epiequisetin (147) were isolated from the same fungal strain Fusarium sp. KJMT. FP. 4. 3 as linoleicacid (126), and had the same antibacterial activities [62]. Fusarium sp. LY019 derived from Suberea mollis led to the identification of fusaripyridines A (148) and B (149), which were the first examples of natural products possessing a 1,4-bis(2-hydroxy-1,2-dihydropyridin-2-yl)butane-2,3-dione backbone. These two compounds selectively inhibited the growth of C. albicans, with MIC values down to 8.0 µM, while they were moderately active against Staphylococcus aureus and Escherichia coli, with the diameters of inhibition circle ranging from 7 to 9 mM [67].
The sponge-associated fungi Penicillium adametzioides AS-53 (Hainan, China) led to the discovery of lapatins B (150), glyantrypine (151), fumitremorgin B (152) and verruculogen (153). All compounds showed extensive inhibitory activity against the aqua-bacterial Vibrio harveyi, with MIC values of 16.0, 32.0, 32.0 and 32.0 μg/mL, respectively [68]. Further chemical investigation of this strain led to another two important compounds, adametizines A (154) and B (155). Compound 154 was found to be active against Staphylococcus aureus, Aeromonas hydrophilia, V. harveyi, Vibrio parahaemolyticus and Gaeumannomyces graminis, with MIC values of 8, 8, 32, 8 and 16 μg/mL, respectively, whereas 155 only showed activity against S. aureus, with an MIC value of 64 μg/mL [69]. These data indicate that the C-l substitution at C-7 significantly increased the brine shrimp lethality and antimicrobial activity. Terretrione A (156), α-cyclopiazonic acid (157) and brevianamide F (158) (Figure 17) were obtained from the same fungus as 81, which showed selective effects against S. aureus, Escherichia coli and Candida albicans, with inhibition zones of 19–27 mM [44].
Figure 17.
Structures of 144–158.
Besides compounds 11, 12, 13 and 92, Aspergillus sp. was also the source of 3-((1-hydroxy-3-(2-methylbut-3-en-2-yl)-2-oxoindolin-3-yl)methyl)-1-methyl-3,4-dihydrobenzo[e][1,4]diazepine-2,5-dione (159), dihydroisoflavipucine (160) and cytochalasin Z17 (161), and had the same antibacterial activities [20]. Wang et al. reported the isolation and identification of one known compound, notoamide F (162), from Aspergillus sclerotiorum GDST-2013-0501 (South China Sea) in 2022, which showed moderate antibacterial activity against Staphylococcus epidermidis, with an MIC value of 12.5 µM [70]. Preussin (163), purified from Aspergillus candidus KUFA0062 associated with the sponge Epipolasis sp., exhibited broad antibacterial activities against Staphylococcus aureus, Enterococcus faecalis, VRE E. faecalis and MRSA, with equal MIC values of 32 µg/mL. Remarkably, it was the first report of the isolation of hydroxypyrrolidine alkaloids from A. candidus, and the presence of N-methyl on the cloalkane ring of this compound was important for its antibacterial activities. It also had the property of broadly inhibiting pathogenic bacteria and interfering with the biofilm formation of pathogenic strains, and thus could be used for the development of new antibiotics and anticancer drugs [71]. Perinadines B (164) and C (165) exhibited moderate in vitro antibacterial activity against Bacillus subtilis, with MIC values of 32 and 64 μg/mL, respectively. In addition, compared with secondary metabolites of Aspergillus sp., this class of tetracyclic skeleton alkaloids was rarely found in Aspergillus sp. LS116 [72].
Li Wei et al. separated a known compound (166) from Penicillium chrysogenum LS16, cultivated from an unidentified sponge (Hainan, China). This compound can strongly inhibit Vibrio parahaemolyticus, with an inhibition circle diameter of 28.36 mM [73]. Neoechinulin D (167) (Figure 18) was isolated from the same fungal strain Eurotium chevalieri MUT2316 and had the same antimicrobial activities as 28, 29 [28].
Figure 18.
Structures of 159–167.
2.1.4. Peptides
Guided by anti-Staphylococcus epidermidis, strain Penicillium sp. F37 associated with the sponge Axinella corrugate (South Brazilian Coast) was continued for a further chemical investigation and led to cis-cyclov(Leucyl-Tyrosyl) (168), which showed strong antibiotic activity, with an 85% inhibition rate. This is the first time that compound 168 has demonstrated antibacterial activity and it could be a promising antimicrobial lead compound [74]. Two new peptides, peniciadametizine A (169) and B (170), were discovered from Penicillium adametzioides AS-53, which was derived from an unidentified sponge (Hainan, China). Both 169 and 170 demonstrated antibacterial activities against Alternaria brassicae, with MIC values of 4.0 and 32.0 µg/mL, respectively [75].
Two known analogues sclerotiotides L (171) and F (172), together with three new aspochracin-type cyclic tripeptides sclerotiotides M–O (173–175) (Figure 19), were produced by Aspergillus insulicola HDN151418, obtained from an unidentified sponge (Prydz Bay, Antarctica). Compounds 173 and 174 showed broad antimicrobial activities against a panel of pathogenic strains, including Bacillus cereus, Proteus species, Mycobacterium phlei, Bacillus subtilis, Vibrio parahemolyticus, Edwardsiella tarda, MRCNS and MRSA, with MIC values ranging from 1.56 to 25 µM, while compounds 171, 172 and 175 were less active [76].
Figure 19.
Structures of 168–175.
The isolation of four new siderophore analogues chelating gallium ions and aluminum ions, Al(III)-acremonpeptide E (176), Ga(III)-acremonpeptide E (177), Al(III)-acremonpeptide F (178) and Ga(III)-acremonpeptide F (179), was reported in 2021 from Acremonium persicinum F10 obtained from marine sponge Phakellia fusca in the South China Sea. Compounds 176–179 displayed obvious antifungal activities against Aspergillus fumigatus and Aspergillus niger, with MIC values ranging from 1 to 3 µM [77]. Further chemical investigation of the same sponge Phakellia fusca in the South China Sea led to the discovery of N-isobutyl-2-phenylacetamide (180) (Figure 20) from the same fungal strain as citrantifidiol (24), which showed mild antibacterial activities against Staphylococcus aureus, with an MIC value of 32 μg/mL [25].
Figure 20.
Structures of 176–180.
2.1.5. Others
Besides compounds 24 and 180, Hypocrea koningii PF04 also yielded a new furan derivative hypofurans A (181). Moreover, the same antimicrobial activity of 32 µg/mL against Staphylococcus aureus was also observed for compound 181 [25]. In the continuing search for biologically active compounds in Phakellia fusca sponge-associated fungi, tetradecanoate (182) was recovered from the same fungus as compounds 72–75, and had the same antibacterial activities [41].
Phenol A (183) was produced by the strain of Penicillium sp. SCSIO41015 derived from the Callyspongia sp. sponge, which showed weak antibacterial activity against Acinetobacter baumannii, with an MIC value of 57 µg/mL [29]. Altenusin (184) and 5′-methoxy-6-methyl-biphenyl-3,4,3′-triol (185) (Figure 21) had broad-spectrum antibacterial activities that were the same as compounds 127–136 [63].
Figure 21.
Structures of compounds 181–185.
2.2. Marine Natural Products with Antimicrobial Activity from Sponge-Associated Actinomycetes
Marine actinomycetes are one of the most important resources for the mining of new natural products. The sponge-associated actinomycetes are not only rich and diverse, but also produce structurally novel secondary metabolites, including mainly polyketides, alkaloids, fatty acids, peptides and terpenoids, which have biological activities such as antibacterial, antitumor and antiparasitic activities [78].
2.2.1. Polyketides
The isolation of urdamycinones E (186), urdamycinones G (187) and dehydroxyaquayam-ycin (188) was reported in 2012 from Streptomycetes sp. BCC45596 associated with the Xestospongia sp. sponge collected from Tianland. All compounds strongly inhibited Mycobacterium tuberculosis, with MIC values ranging from 3.13 to 12.5 µg/mL [79].
Streptomyces sp. M7-15 was separated from the marine sponge Scopalina ruetzleri (Mona Island), from which frigocyclinone (189) was discovered, which exhibited weak antibiotic activity against Bacillus subtilis [80]. In addition, frigocyclinone (189) showed an inhibition zone of 1 mM at a concentration of 1 mg/mL against Mycobacterium smegmatis [81]. A naphthacene glycoside, SF2446A2 (190), was extracted from the culture broth of Streptomyces sp. RV15 associated with Mediterranean sponge Dysidea tupha, and showed inhibitory activity against Chlamydia trachomatis [82]. Dibutylphthalate (191) was purified from Streptomyces sp. LS298, associated with the Fleshy knotted sponge (South China Sea), which can inhibit B. subtilis, with an inhibition circle diameter of 8 mM [83]. Streptomyces albolongus CA-186053, also obtained from the same genus actinomycete as the above compounds, produced medermycin (192) and antibiotic G15-F (193) (Figure 22). These two compounds were able to inhibit MRSA, with MIC values of 2 and 4 µg/mL, respectively, and had weak inhibitory activity against Escherichia coli, with MIC values of 32–64 µg/mL. This article constituted the first report on the chemical composition of extracts from a marine-derived Streptomyces strain related to S. albolongus, and identified this strain as a new source of medermycins [84].
Figure 22.
Structures of 186–193.
Additionally, in order to further explore more Streptomyces sp. actinomycetes, Streptomyces coelicolor LY001 resulted in the discovery of three new natural chlorinated derivatives of 3-phenylpropanoic acid, 3-(3,5-dichloro-4-hydroxyphenyl)propanoic acid (194), 3-(3,5-dichloro-4-hydroxyphenyl)propanoic acid methyl ester (195) and 3-(3-chloro-4-hydroxyphenyl)propanoic acid (196), along with 3-phenylpropanoic acid (197). Both of them inhibited Staphylococcus aureus, E.coli and Candida albicans, with inhibition circles of 7 to 23 mM in diameter [85].
Three new lavandulylated flavonoids, (2S,2″S)-6-lavandulyl-7,4′-dimethoxy-5,2′-dihydroxylflavanone (198), (2S,2″S)-6-lavandulyl-5,7,2′,4′-tetrahydroxylflavanone (199) and (2″S)-5′-lavandulyl-2′-methoxy-2,4-4′,6′-tetrahydroxylchalconev (200), together with two known compounds, (2S,2″S)-6-lavandulyl-7-methoxy-5,2′,4′-trihydroxylflavanone (201) and 6-prenyl-4′-methoxy-5,7-dihydroxylflavanone (202), were the first reported as possessing antituberculosis activity, separated from Streptomyce sp. G248 obtained from the East Vietnam Sea sponge Halichondria panicea. Compounds 198–200 had broad-spectrum antibacterial activities, while compounds 201 and 202 were able to inhibit Mycobacterium tuberculosis, with MIC values of 6.0 and 11.0 µg/mL, respectively [86]. In order to explore more compounds with broad-spectrum antimicrobial activities, 6-lavandulyl-7-methoxy-5,2′,4′-trihydroxylflavanone (203) and 5′-lavandulyl-4′-methoxy-2,4,2′,6′-tetrahydro-xylchalcone (204) were firstly isolated from Streptomyces sp. G246, making the antimicrobial compounds of actinomycete origin more abundant. Compound 203 significantly inhibited Escherichia coli, Pseudomonas aeruginosa, Salmonella enterica, Enterococcus faecalis, Staphylococcus aureus, Bacillus cereus and Candida albicans, with MIC values of 16-128 µg/mL, and compound 204 inhibited all bacteria except E. coli, with MIC values of 1-32 µg/mL [87].
Satyendra Singh et al. reported the isolation of a known compound rifamycin W (205) in 2014 from Salinispora sp. FS-0034 obtained from the sponge Theonella sp. (Fiji Islands). This compound showed extensive antibacterial activities against MRSA, wild-type Staphylococcus aureus and vancomycin-resistant Enterococcus faecium, with MIC values of 15.62, 7.80 and 250.00 µg/mL, respectively [88]. Nocardiopsis sp. HBJ378, derived from the same genus sponge as 205, led to the identification of three new angucyclines, nocardiopsistin A–C (206–208) (Figure 23). All compounds had antibacterial activity against MRSA, with MIC values ranging from 3.12 to 12.5 µg/mL [89].
Figure 23.
Structures of 194–208.
2.2.2. Alkaloids
In order to find more novel alkaloids in the East China Sea sponge-associated actinomycetes, two same-genus actinomycete strains, identified as Verrucosispora sp. FIM06025 and Verrucosispora sp. FIM06-0036, produced (2-(hydroxymethyl)-3-(2-(hydroxymethyl)-3-me-thylaziridin-1-yl) (2-hydroxyphenyl) methanone (209) and 2-ethylhexyl 1H-imidaz- ole-4-carboxylate (210), respectively. Compound 209 exhibited a broad spectrum of antimicrobial activities, with MIC values ranging from 3.4 to 200 µg/mL against Helicobacter pylori, Pseudomonas aeroginosa, Acinetobacter baumanniiin, Escherichia coli, Klebsiella pneumonia, Staphylococcus aureus, Candida albicans and Enterococcus faecium. Compound 210 exerted antimicrobial activities against H. pylori, K. pneumonia, S. aureus and E. faecium, with MIC values of 8, 64, 16 and 256 µg/mL, respectively [90,91].
Tirandamycins A (211) and B (212) were purified from the culture broth of Streptomyces tirandamycinicus sp. nov. HNM0039T, which displayed potent inhibitory activity against Streptococcus agalactiae, and the MIC values were 2.52 and 2.55 µg/mL. They also showed antibacterial activity against Bacillus subtilis, with MIC values of 5.5 and 6.8 µg/mL, while they were inactive against Staphylococcus aureus and Escherichia coli at 128 µg/mL [92]. A known compound isoquinocycline B (213) (Figure 24) from Micromonospora ferruginea sp. nov. 28ISP2-46T, is regarded as a novel source of microorganisms associated with the deep sea sponge. In addition, it possesses better antibiotic activities against S. aureus, Klebsiella pneumoniae and Acinetobacter baumannii, with MIC values of 1.56, 12.50 and 25.00 µM [93].
Figure 24.
Structures of 209–213.
An examination of the Rhodococcus sp. UA13, which was obtained from the Red Sea sponge Callyspongia aff. Implexa, revealed a new azepino-di-indole alkaloid, rhodozepinone (214), and exhibited significant in vitro antibacterial activity against Staphylococcus aureus, with an IC50 value of 8.9 µg/mL [94]. A new diketopiperazine, actinozine A (215), along with three known compounds cyclo(2-OH-D-Pro-L-Leu) (216), cyclo(D-Pro-L-Phe) (217) and cyclo(L-Pro-L-Phe) (218), were purified from Streptomyces. Call-36 also associated with the Red Sea sponge Callyspongia species. Compounds 215 and 216 were strongly active against S. aureus, with inhibition zones of 23.0 and 20.0 mm. Additionally, these compounds also displayed obvious activity against Candida albicans, with inhibition zones of 19.0 and 16.0 mm. Otherwise, compounds 217 and 218 displayed moderate activities against S. aureus and C. albicans, with inhibition zones of 9.0 to 14.0 mM, respectively [95]. To further explore more diverse diketopiperazines, cyclo(L-Phe-trans-4-OH-L-Pro) (219) and cyclo(L-Phe-cis-4-OH-D-Pro) (220) were discovered from the same actinomycete as 194–197, which can also inhibit S. aureus, Escherichia coli and C. albicans [85].
Except for 191, Streptomyces sp. LS298 also led to another two important compounds, maculosin (221) and diketopiperazines (222), which also act against Bacillus subtilis, with inhibition circle diameters of 12 and 13 mM, respectively [83]. Alkhalifah D et al. reported the isolation of two known compounds, phencomycin (223) and tubermycin B (224), in 2020 from Streptomyces sp. RM66 obtained from the sponge Amphimedon sp. (Egypt). Phencomycin (223) had inhibitory activities against Bacillus subtilis and Escherichia coli, while tubermycin B (224) had inhibitory activity against Candida albicans [96].
Two new phenazines, 1,6-dihydroxy phenazine (225) and 1,6-dimethoxy phenazine (226) (Figure 25), were discovered from Nocardiopsis sp. 13-33-15 associated with an unidentified sponge obtained from the South China Sea. Compounds 225 and 226 effectively inhibited the growth of Bacillus mycoides, Staphylococcus aureus, Escherichia coli and Micrococcus luteus, with inhibition zones ranging from 8 to 25 mM [97].
Figure 25.
Structures of 214–226.
2.2.3. Peptides
Besides 191, 221 and 222, Streptomyces sp. LS298 also produced echinomycin (227). Furthermore, obvious activity of 21 mM against Bacillus subtilis was observed for compound 227 [83]. In the continuing search for novel biologically active secondary metabolites in this strain, a new analogue of echinomycin containing bicyclic peptide Quinomycin G (228) was discovered. It displayed mild antibacterial activities against Staphylococcuse pidermidis, Staphylococcus aureus, Enterococcus faecium and Enterococcus faecalis, with MIC values ranging from 16 to 64 μg/mL [98].
In a further chemical investigation of the Streptomyces sp. actinomycetes, a new cyclic depsipeptide, rakicidin F (229), and a known compound, rakicidin C (230), were isolated from Streptomyces sp. GKU 220 obtained from Thailand sponge. Among them, rakicidin F (229) showed growth-inhibitory activities against Bacillus subtilis and Escherichia coli at a dosage of 25 μg per disk, and rakicidin C (230) showed weak activity only against B. subtilis, with an MIC value of 50 μg per disk [99]. The actinomycin D (231), along with four new D-type actinomycin analogues, actinomycin D1–D4 (232–235) (Figure 26), are associated with the sponge Phyllospongia foliascens (Xisha islands, China). All compounds were reported to have antimycobacterial activity against MRSA, with MIC values ranging from 0.125 to 1.0 µg/mL [100].
Figure 26.
Structures of compounds 227–235.
A new analogue of deferoxamine (236) with additional acyl and sugar moiety was separated from Streptomyces albus PVA94-07 (Trondheim fjord), which showed a 52% to 56% inhibition of Escherichia coli at 16 µg/mL [101]. In 2016, Norimasa Takasaka et al. reported the isolation and identification of a new peptide named actinokineosin (237) from Actinokineospora spheciospongiae DSM45935T (Germany), which showed antibiotic activity against Micrococcus luteus at a dosage of 50 μg per disk [102]. Nesfactin (238) (Figure 27) was separated from Nesterenkonia sp. MSA31 and was found to show significant antibacterial activity against Pseudomonas aeruginosa [103].
Figure 27.
Structures of 236–238.
2.2.4. Other Nitrogen-Containing Metabolites
D. N. Naik et al. reported the isolation of a known compound, cinnamic acid (239), (Figure 28) in 2013 from Streptomyces sp. NIO10068 associated with an unidentified sponge (India), which displayed extensive antibacterial activity against Pseudomonas aeruginosa [104].
Figure 28.
Structure of 239.
2.2.5. Glucosides
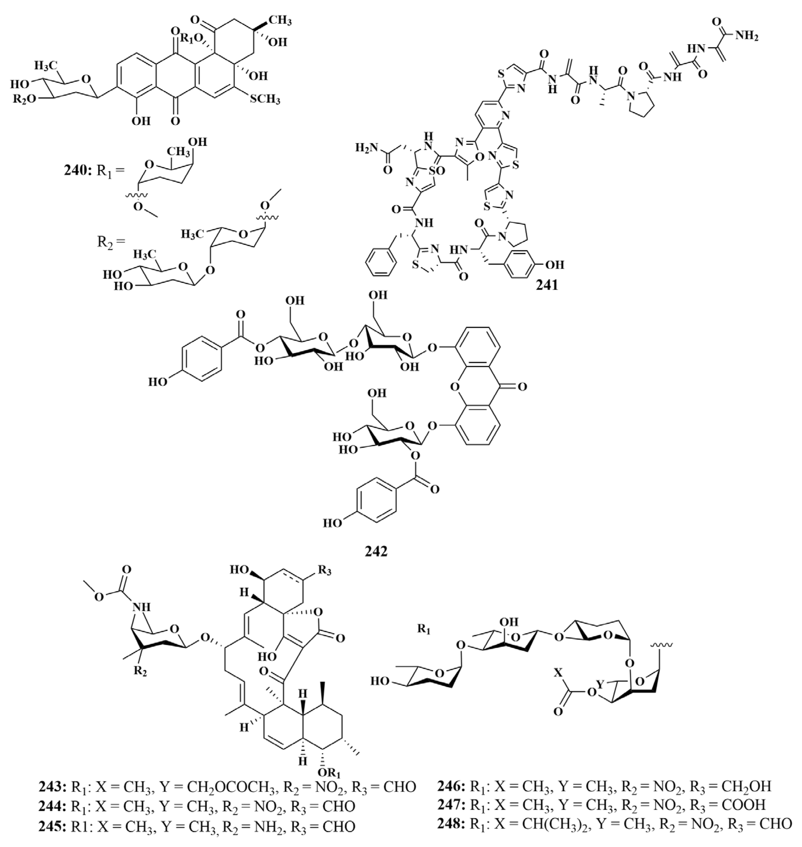
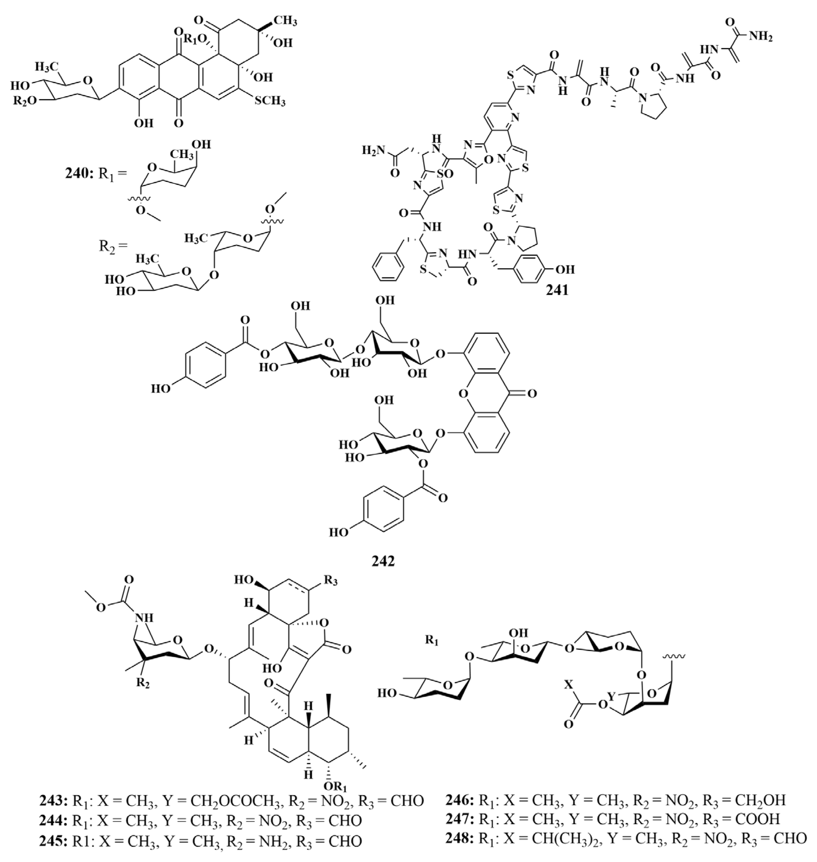
Urdamycin E (240) was also separated from Streptomycetes sp. BCC45596 as 186–188, and it strongly inhibited Mycobacterium tuberculosis [79]. A novel compound, kocurin (241), was found by Kocuria palustris F276,345, which was associated with an unidentified sponge (Florida Islands). Kocurin (241) had extremely potent activity against MRSA, with MIC values of 0.25 to 0.5 μg/mL [105]. Microluside A (242), which was extracted from Micrococcus sp. EG45 associated with the sponge Spheciospongia vagabunda collected from the Red Sea, showed antibacterial potential against Enterococcus faecalis and Staphylococcus aureus, with MIC values of 10 and 13 μM, respectively [106].
In 2018, Gong Ting et al. reported the isolation and identification of a new spirotetronate glycoside, tetrocarcin Q (243), along with six known analogues tetrocarcin A (244), AC6H (245), tetrocarcin N (246), tetrocarcin H (247) and arisostatin A (248) (Figure 29) from Micromonospora carbonacea LS276 associated with the sponge Gelliodes carnosa (Hainan, China). All compounds exhibited antimicrobial activity against Bacillus subtilis, with MIC values ranging from less than 0.048 to 50 µM, with 207 and 211 showing strong antibacterial activity. In this article, it was found for the first time that compound 243 had a unique oligosaccharide chain at the C-9 position [107].
Figure 29.
Structures of 240–248.
2.3. Marine Natural Products with Antimicrobial Activity from Sponge-Associated Bacterium
Marine bacteria are the most widely distributed and abundant group of microorganisms in the ocean. However, previous studies found that few species of associated bacteria (except for the actinomyces) have been isolated from sponges, and most of the current studies have focused on sponge-associated fungi and sponge-associated actinomycetes. Therefore, the discovery of antimicrobial active secondary metabolites from sponge-associated bacteria (except for the actinomyces) has a broader developmental prospect.
2.3.1. Polyketides
Dat. T. T. H reported the isolation of three new compounds, macrolactin A (249), macrolactin H (250) and 15,17-epoxy-16-hydroxy macrolactin A (251) (Figure 30), in 2021 from Bacillus sp. M1_CRV_171 obtained from Vietnamese sponge. Compound 249 exhibited antimicrobial activities against Pseudomonas aeruginosa, Staphylococcus aureus and Rhodococcus sp., with MIC values of 8, 16 and 32 µg/mL, respectively. Compound 250 showed antimicrobial activities against E. coli and S. aureus, with MIC values of 16 and 32 µg/mL, respectively. For compound 251, the strongest activity was found against E. coli, with an MIC value of 32 µg/mL [108].
Figure 30.
Structures of 249–251.
2.3.2. Alkaloids
The isolation of cyclo-(l-Leu-l-Pro) (252) was reported in 2015 from Pseudomonas fluorescens associated with the sponge Isodictya setifera, which displayed antibacterial activities against Staphylococcus aureus and Pseudomonas aeruginosa, with equal MIC values of 512 μg/mL [109]. A new diketopiperazine, (3S,6S)-3,6-diisobutylpiperazine-2,5-dione (253), was separated from Bacillus sp. SPB7 associated with the sponge Spongia officinalis, which showed strong antimicrobial activities against Escherichia coli and S. aureus, with MIC values of 16 and 22 µg/mL, respectively. This compound was the first isolated from sponge-associated bacteria and also constitutes the first report of its antibacterial activity, which provides a new perspective for natural product drug development [110]. Bacillus sp. WMMC-1349 was recovered from Cinachyrella apion, from which bacillimidazole F (254) was discovered, which exhibited weak antibiotic activity against MRSA, with an MIC of 38.3 µM. This report was the first to identify 254 (Figure 31) as a natural product containing an imidazole heterocycle [111].
Figure 31.
Structures of 252–254.
2.3.3. Peptides
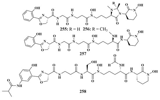
Two new siderophores, madurastatins D1 (255) and D2 (256), together with a known compound (−)-madurastatin C1 (257) containing the additional heterocyclic structure from Actinomadura sp. WMMA-1423, are associated with the sponge Tedania sp., which displayed moderately antibacterial activity against Micrococcus garciniae [112]. A new clamp iron compound, pseudonochelin (258) (Figure 32), was reported in 2022 from Pseudonocardia sp. WMMC-193 associated with the sponge Lissodendoryx stigmata (Florida), and can inhibit MRSA and methicillin-sensitive Staphycoccus aureus (MSSA), with MIC values of 4 µg/mL, respectively [113].
Figure 32.
Structures of 255–258.
2.4. Marine Natural Products with Antimicrobial Activity from Sponge-Associated Strains through Co-Cultivation Method
With the increasing duplication of secondary metabolites produced by traditional fermentation methods, many researchers have started to search for new fermentation methods, and co-cultivation is one of them. By isolating an associated strain from the sponge and putting it in a culture with another strain, silent genes are activated and new secondary metabolites are produced.
2.4.1. Polyketides
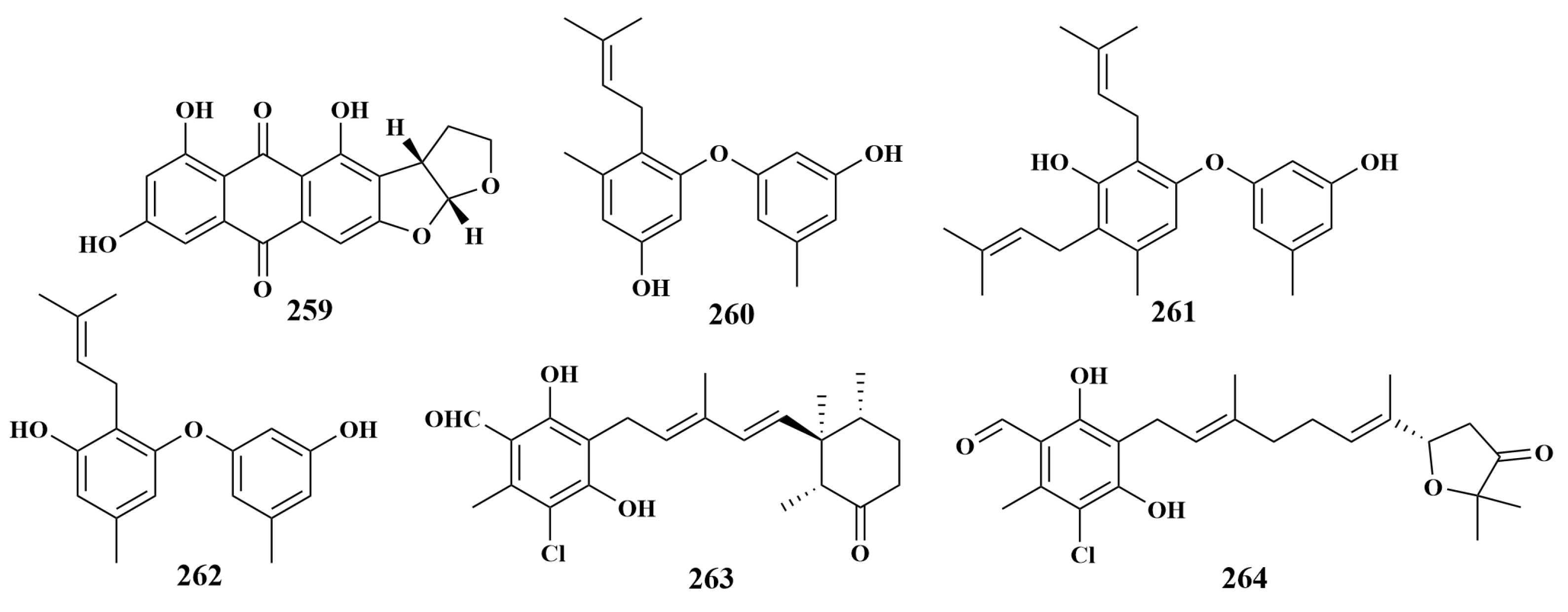
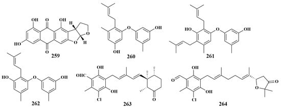
In 2019, the associated fungus Aspergillus versicolor was isolated from the sponge Agelas oroides collected from Turkey and co-cultivated with Bacillus subtilis to obtain four known compounds, versicolorin B (259), diorcinol D (260), diorcinol G (261) and diorcinol I (262). These compounds were able to selectively inhibit Staphylococcus aureus, Enterococcus faecalis, Enterococcus faecium, Fusarium putrefaciens, Bacillus subtilis and Escherichia coli, with MIC values of 6.25 to 100 µg/mL. This article gave an insight into the ability to target the activation of fungal silencing genes using the co-cultivation strategy [114].
In 2021, the sponge-associated fungus Acremonium sp. IMB18086 and Pseudomonas aeruginosa were co-cultivated to obtain two known compounds, ascochlorin (263) and ascofuranone (264) (Figure 33), which showed significant antibacterial activities against Staphylococcus aureus, Bacillus subtilis, MRSA and Candida albicans [115].
Figure 33.
Structures of 259–264.
2.4.2. Alkaloids
In 2014, Dashti et al. cultured the Mediterranean sponge Dysidea avara-associated actinomycete Nocardiopsis sp. RV163 with the Red Sea sponge Spheciospongia vagabunda-associated actinomycete Actinokineospora sp. EG49 to produce a new diketopiperazine, 1,6-dihydroxyphenazine (265), which exhibited antibiotic activity against Bacillus subtilis, with an inhibition circle diameter of 11 mm. This was the first report on the induction of secondary metabolites by the co-cultivation of two sponge-associated actinomycetes, which was an important guideline for the study of new fermentation strategies [116].
In 2020, Li et al. isolated two Red Sea sponges, Callyspongia sp. and Spheciosponge vagabunda, which were isolated from the associated actinomycetes Micromonospora sp. UR56 and Actinokineospora sp. EG49, respectively. They were isolated by culturing them together to obtain the compound dimethyl phenazine-1,6-dicarboxylate (266) (Figure 34), which was able to significantly inhibit Staphylococcus aureus, Bacillus subtilis, Pseudomonas aeruginosa and Escherichia coli, with 47% to 94% inhibition rates [117].
Figure 34.
Structures of 265–266.
2.4.3. Peptides
The sponge-associated fungi Acremonium sp. IMB18086 and Pseudomonas aeruginosa were co-cultured, and were also the source of two new pipemycin acremopeptaibols A (267) and acremopeptaibols E (268) (Figure 35). In addition, they also exhibited remarkable antibacterial activities against Staphylococcus aureus, Bacillus subtilis, MRSA and Candida albicans [115].
Figure 35.
Structures of 267–268.
2.4.4. Other Nitrogen-Containing Metabolites
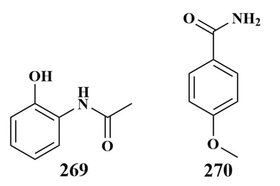
Except for dimethyl phenazine-1,6-dicarboxylate (266), N-(2-hydroxyphenyl)-acetamde (269) and p-anisamide (270) (Figure 36) were also isolated from these two Red Sea sponges and had the same antimicrobial activities as 266. The bioassay test indicated that the presence of carboxylic acid or ester groups at C-1 and C-6 of these compounds was shown to be essential for the antibacterial effects [117].
Figure 36.
Structures of 269–270.
3. Discussion
In a further investigation of antimicrobial activity, the structural differences of the compounds will have an important impact. For instance, compounds 173 and 174 showed broad antibacterial activity against a panel of pathogenic strains, whereas compounds 171, 172 and 175 were less active, which indicates that the carboxyl group or its methyl ester have an important role in antibacterial activities [66]. The anti-MRSA activities of 232 and 233 were nearly two to four times more potent than 231, 234 and 235, which suggests that the activity might be enhanced by the incorporation of an additional oxazole unit into the phenoxazinone chromophore [89]. Except for the above compounds, compound 243 had a lower antimicrobial activity than 244, implying that 6-CH3 of sugar B in the oligosaccharide chain at C-9 played a key role in the antibacterial activity. Furthermore, compound 245 was at least 10-fold less active than 244, suggesting that the NO2 sugar was important for the antibacterial activity. Compounds 246 and 247 were less active than 244, 245 and 248, inferring that the aldehyde group at C-23 was also essential for the activity [96] (Figure 37). Through the structure-activity relationship of compounds, we can provide a theoretical basis for the study of antibacterial mechanisms.
Figure 37.
Effect of the structure-activity relationship of compounds on antimicrobial activity.
Moreover, some novel compounds possess the potential to be developed as antimicrobial and anticancer agents, such as 116, 117, 120, 163 and 168. Among them, fonsecinone A (116) and isoaurasperone A (117) showed the same antibacterial activity as the positive control, ampicillin sodium [58]. Meanwhile, isochaetochromin B2 (40) and ustilaginoidin D (41) also showed the same activity against M. phlei as the positive control, streptomycin sulphate [33]. In addition, a few compounds have broad-spectrum antibacterial activity; for example, compounds 28, 29, 89, 90, 91, 127–136, 167, 209, 228 and 242, which mainly inhibit Escherichia coli, Staphylococcus aureus, Klebsiella pneumoniae, Pseudomonas aeruginosa, Enterococcus faecalis and so on. These compounds are expected to replace the original antibiotics in the treatment of diseases caused by MDR strains, and provide good lead compounds for solving the problem of antibiotic resistance.
Remarkably, it was found that the antimicrobial active compounds of sponge-associated microorganisms have a variety of potential targets. The drug-like properties and binding potential of several sponge-microorganisms-derived lead molecules against the VP40 target of Ebola virus were hypothesized by computational virtual screening and molecular docking [10]. In addition, Fernanda et al. used breast cancer cell lines MCF7, SKBR3 and MDA-MB-231 and a non-tumor cell line MCF12A for experiments in vitro, and found that preussin (166) showed cytotoxic and antiproliferative activities in breast cancer cell lines in 2D and 3D cultures [118]. Pang et al. performed experiments using nasopharyngeal carcinoma cell line CNE2 and a xenograft murine model, and found that physcion (89) suppressed the growth of nasopharyngeal carcinoma cells in vitro and in vivo. Moreover, physcion (89) had anti-proliferative effects by modulating Sp1 via the generation of ROS and regulating the miR-27a/ZBTB10 axis [119]. In 2022, Liu et al. found that physcion (89) also had a good antibacterial effect against Chlamydia psittaci. By conducting in vivo and in vitro experiments with C. psittaci infection in avian animals, they found that the animals treated with physcion (89) had alleviated dyspnea and lesions of air sacs and lungs, as well as reduced bacterial loads in spleens, which was comparable to doxycycline treatment. By exploring it antibacterial mechanism, physcion (89) could block Chlamydial adhesion to host cells, RB-to-EB differentiation and the activation of bacterial autophagy. Thus, it will be a good alternative to doxycycline in combating virulent C. psittaci infection, contributing to the eradication of Chlamydial transmission from animals to human beings [120]. Oliveira et al. found that the combination of citrinin (42) and vancomycin could significantly improve the survival rate of VRE-infected mice by inhibiting the activity of the mesoderm, thus providing a new treatment and idea for diseases caused by VRE [121]. We can explore whether the antimicrobial active compounds isolated from sponge-associated microorganisms can be used in combination with other commercial antimicrobials to provide new options for mitigating the resistance of pathogenic bacteria.
In addition, except for traditional analytical methods, more and more new techniques have been used to obtain secondary metabolites of sponge-associated microorganisms, such as the structure and relative configuration of new compounds being determined by means of quantum mechanical nuclear magnetic resonance (QM-NMR) computational assistance technology and the method of the mass spectrometry (MS)/MS data construction of a molecular network [23]. The absolute configuration of the compound was determined by time-dependent density functional theory/electronic circular dichroism (TDDFT-ECD), and the target compound was found using high-throughput sequencing. This opens up the possibility of finding more antibacterial active compounds of sponge-associated microorganisms.
It is of concern that a small number of sponge-microorganisms-derived active compounds have been studied or predicted with their drug likeliness, pharmacokinetics and toxicity in order to evaluate their potential for drug development. For example, Skariyachan et al. predicted the drug likeliness properties of selected lead compounds by the web-based application PreADMET. Then, pharmacokinetics and ADME (adsorption, distribution, metabolism and excretion) the properties of them that qualified as drug likeness properties were predicted, followed by a toxicity prediction [10]. Butyrolactone I (BTL-I),an active compound obtained from sponge-derived Aspergillus fungi [122] (also found in fungi from other sources), was studied with its metabolic and pharmacokinetic profile in rats using ultra-high-performance liquid chromatography–quadrupole time-of-flight mass spectrometry (UHPLC-Q-TOF-MS) and UHPLC-MS/MS methods. The results show that the oral bioavailability was calculated as 6.29%, and the maximum plasma concentrations were 9.85 ± 1.54 ng/mL and 17.97 ± 1.36 ng/mL for intravenous and intragastric dosing groups, respectively. The major metabolic pathways were oxidative and glucuronide conjugation [123]. Although BTL-I showed attractive biological activities and an appropriate pharmacokinetic profile, its adverse effects should not be neglected. Our group found that BTL-I could significantly increase the mRNA and protein levels of oncogenes such as CYP1A1, CYP3A7, ALDH3A1 and GSTA2 in HepG2 cells. Thus, the chemical carcinogenesis or toxicity issue may be of particular importance or even fatal in its drug development [124].
In summary, the antimicrobial active substances of sponge-associated microorganisms have broad application prospects and great potential to develop into new antibiotics. Therefore, more attention should be paid to the molecular mechanism and further in vivo and preclinical studies, which will provide the possibility of discovering new drugs.
4. Conclusions and Perspectives
Marine natural products have contributed significantly to modern drug development. We summarized the sources, structural diversity and antimicrobial activity of 270 newly reported secondary metabolites from the sponge-associated microorganisms according to a survey of the literature published from 2012 to 2022 (Figure 38). At the domain level, 68.5% of the natural products were derived from fungi, 23.3% originated from actinomycetes, 3.7% were obtained from other bacteria and 4.4% were discovered using a co-culture method (Figure 39a), of which Aspergillus, Streptomyces and Actinomadura were the main source of natural products (Figure 39b–d). The chemical structures of the derived compounds were divided into seven categories as shown in Figure 40a. Remarkably, there are 124 new compounds and 146 known compounds (Figure 40b), 55 of which have antifungal activity in addition to antipathogenic bacteria.
Figure 38.
Statistics on the number of secondary metabolites of sponge-associated microorganisms from 2012–2022.
Figure 39.
(a) Sources of secondary metabolites; (b) strains of sponge-associated fungi; (c) tsrains of sponge-associated actinomycetes; (d) strains of sponge-associated bacteria.
Figure 40.
(a) Structural diversity distribution; (b) statistics of new and known secondary metabolites.
Furthermore, great progress has been made in the study of secondary metabolites of sponge-associated microorganisms in recent years. However, many studies contain few antibacterial active substances and they have a single source. On the basis of previous studies, we summarized these antimicrobial active compounds and discussed the structure–activity relationship, potential targets, drug likeliness, pharmacokinetics, toxicity potential and features of some compounds for therapeutic purposes. In addition, many compounds also have anti-phytopathogenic fungal activity, which provides a theoretical basis for the research and development of agricultural fungicides. We hope to isolate more strains of sponge-associated microorganisms and discover novel natural products through new culture strategies and techniques, leading to the development of new drugs.
Author Contributions
Conceptualization, X.Z. and H.T.; investigation/bibliographic research, J.L.; writing—original draft preparation, J.L.; writing—review and editing, J.L., J.S., X.Z. and H.T.; visualization, J.L., J.F., J.W. and Y.Y.; revision of intellectual content: B.Y. and Y.L. All authors have read and agreed to the published version of the manuscript.
Funding
This research was funded by the Marine Economy Development Project of Guangdong Province (GDNRC[2023]37, GDNRC[2022]35), Guangdong Local Innovation Team Program (2019BT02Y262), National Natural Science Foundation of China (U20A20101, 81973235), Guangdong Basic and Applied Basic Research Foundation (2019B151502042), and K. C. Wong Education Foundation (GJTD-2020-12).
Data Availability Statement
Not applicable.
Conflicts of Interest
The authors declare no conflict of interest.
Abbreviations
| S. aureus | Staphylococcus aureus | E.faecalis | Enterococcus faecalis |
| E. tarda | Edwardsiella tarda | E.faecium | Enterococcus faecium |
| F. solani | Fusarium solani | E.coli | Escherichia coli |
| B. subtilis | Bacillus subtilis | C.albicans | Candida albicans |
| S. epidermidis | Staphylococcus epidermidis | MRSA | methicillin-resistant Staphylococcus aureus |
| V. parahaemolyticus | Vibrio parahaemolyticus | A.baumannii | Acinetobacter baumannii |
| V. proteolyticus | Vibrio proteolyticus | P.mirabilis | Proteus mirabilis |
| P. fluorescens | Pseudomonas fluorescens | S.flexneri | Shigella flexneri |
| S. cholerasuis | Salmonella cholerasuis | L.monocytogenes | Listeria monocytogenes |
| V. scophthalmi | Vibrio scophthalmi | V.shilonii | Vibrio shilonii |
| V. brasiliensis | Vibrio brasiliensis | VRE | vancomycin-resistant Enterococcus |
| C. neoformans | Cryptoccus neoformans | M.gypseum | Microsporum gypseum |
| C. trachamatis | Chlamydia trachamatis | B.cereus | Bacillus cereus |
| M. luteus | Micrococcus luteus | S.typhimurium | Salmonella typhimurium |
| M. tuberculosis | Mycobacterium tuberculosis | K.pneumoniae | Klebsiella pneumoniae |
| S. pneumoniae | Streptococcus pneumoniae | S.enterica | Salmonella enterica |
| V. harvey | Vibrio harvey | BCG | Bacille Calmette Guerin |
| P. lachrymans | Pseudomonas lachrymans | MSSA | methicillin-sensitive Staphycoccus aureus |
| A. tumefaciens | Agrobacterium tumefaciens | X.vesicatoria | Xanthomonas vesicatoria |
| R. solanacearum | Ralstonia solanacearum | C.parapsilosis | Candida parapsilosis |
| A. fumigatus | Aspergillus fumigatus | A.niger | Aspergillus niger |
| H. pylori | Helicobacter pylori | M.smegmatis | Mycolicibacterium smegmatis |
| S. iniae | Streptococcus iniae | V.ichthyoenteri | Vibrio ichthyoenteri |
| B. megaterium | Bacillus megaterium | S.tritici | Septoria tritici |
| T. rubrum | Trichophyton rubrum | S.lentus | Staphylococcus lentus |
| H. aquamarina | Halomonas aquamarina | P.irgensii | Polaribacter irgensii |
| P. elyakovii | Pseudoalteromonas elyakovii | R.litoralis | Roseobacter litoralis |
| S. putrefaciens | Shewanella putrefaciens | V.natriegens | Vibrio natriegens |
| V. carchariae | Vibrio carchariae | WTSA | wild-type Staphylococcus aureus |
| S. lutea | Sarcina lutea | M.tetragenus | Micrococcus tetragenus |
| V. anguillarum | Vibrio anguillarum | M.phlei | Mycobacterium phlei |
| S. albus | Streptomyces albus | C.glabrata | Candida glabrata |
| P. acnes | Propionibacterium acnes | X.campestris | Xanthomonas campestris |
| A. alternata | Alternaria alternata | A.hydrophila | Aeromonas hydrophila |
| G. gramini | Gaeumannomyces gramini | S.agalactiae | Streptococcus agalactiae |
| OSMAC | One Strain Many Compounds | MRCNS | meticillin-resistant coagulase-negative Staphylococcus |
| B. mycoides | Bacillus mycoides | R.baikonurensis | Rhodococcus baikonurensis |
| IC50 | half-inhibitory concentration | MIC | minimum inhibitory concentration |
| QM-NMR | quantum mechanical nuclear magnetic resonance | TDDFT | time-dependent density functional theory |
| MS | mass spectrometry | ECD | electronic circular dichroism |
| BTL-I | Butyrolactone I | MptpB | Mycobacterium tuberculosis protein tyrosine phosphatase B |
| KEGG | Kyoto Encylopaedia of Genes and Genomes | UHPLC-Q-TOF-MS | ultra-high-performance liquid chromatographyqua-drupole time-of-flight mass spectrometry |
| GO | Gene Ontology | ADME | adsorption, distribution, metabolism and excretion |
References
- Kiran, G.S.; Sekar, S.; Ramasamy, P.; Thinesh, T.; Hassan, S.; Lipton, A.N.; Ninawe, A.S.; Selvin, J. Marine sponge microbial association: Towards disclosing unique symbiotic interactions. Mar. Environ. Res. 2018, 140, 169–179. [Google Scholar] [CrossRef] [PubMed]
- Thomas, T.R.A.; Kavlekar, D.P.; LokaBharathi, P.A. Marine drugs from sponge-microbe association—A review. Mar. Drugs 2010, 8, 1417–1468. [Google Scholar] [CrossRef] [PubMed]
- Slaby, B.M.; Hackl, T.; Horn, H.; Bayer, K.; Hentschel, U. Metagenomic binning of a marine sponge microbiome revealsunity in defense but metabolic specialization. ISME J. 2017, 11, 2465–2478. [Google Scholar] [CrossRef] [PubMed]
- Siegl, A.; Hentschel, U. PKS and NRPS gene clusters from microbial symbiont cells of marine sponges by whole genome amplification. Env. Microbiol. Rep. 2010, 2, 507–513. [Google Scholar] [CrossRef]
- Hentschel, U.; Piel, J.; Degnan, S.M.; Taylor, M.W. Genomic insights into the marine sponge microbiome. Nat. Rev. Microbiol 2012, 10, 641–654. [Google Scholar] [CrossRef]
- Graca, A.P.; Viana, F.; Bondoso, J.; Correia, M.I.; Gomes, L.; Humanes, M.; Reis, A.; Xavier, J.R.; Gaspar, H.; Lage, O.M. The antimicrobial activity of heterotrophic bacteria isolated from the marine sponge Erylus deficiens (Astrophorida, Geodiidae). Front. Microbiol. 2015, 6, 389. [Google Scholar]
- Indraningrat, A.A.G.; Smidt, H.; Sipkema, D. Bioprospecting sponge-associated microbes for antimicrobial compounds. Mar. Drugs 2016, 14, 87. [Google Scholar] [CrossRef]
- Bibi, F.; Faheem, M.; Azhar, E.I.; Yasir, M.; Alvi, S.A.; Kamal, M.A.; Ullah, I.; Naseer, M.I. Bacteria from marine sponges: A source of new drugs. Curr. Drug Metab. 2017, 18, 11–15. [Google Scholar] [CrossRef]
- Skariyachan, S.; Rao, A.G.; Patil, M.R.; Saikia, B.; Bharadwaj, K.N.V.; Rao, G.S.J. Antimicrobial potential of metabolites extracted from bacterial symbionts associated with marine sponges in coastal area of Gulf of Mannar Biosphere, India. Lett. Appl. Microbiol. 2014, 58, 231–241. [Google Scholar] [CrossRef]
- Skariyachan, S.; Acharya, A.B.; Subramaniyan, S.; Babu, S.; Kulkarni, S.; Narayanappa, R. Secondary metabolites extracted from marine sponge associated Comamonas testosteroni and Citrobacter freundii as potential antimicrobials against MDR pathogens and hypothetical leads for VP40 matrix protein of Ebola virus: An in vitro and in silico investigation. J. Biomol. Struct. Dyn. 2016, 34, 1865–1883. [Google Scholar]
- Mayer, A.M.S.; Rodriguez, A.D.; Berlinck, R.G.S.; Hamann, M.T. Marine pharmacology: Marine compounds with anthelmintic, antibacterial, anticoagulant, antifungal, anti-inflammatory, antimalarial, antiprotozoal, antituberculosis, and antiviral activities; affecting the cardiovascular, immune and nervous systems, and other miscellaneous mechanisms of action. Biochim. Biophys. Acta 2009, 1790, 283–308. [Google Scholar]
- Mehbub, M.F.; Perkins, M.V.; Zhang, W.; Franco, C.M.M. New marine natural products from sponges (Porifera) of the order dictyoceratida (2001 to 2012); a promising source for drug discovery, exploration and future prospects. Biotechnol. Adv. 2016, 34, 473–491. [Google Scholar] [CrossRef]
- Jin, L.M.; Quan, C.S.; Hou, X.Y.; Fan, S.D. Potential pharmacological resources: Natural bioactive compounds from marine-derived fungi. Mar. Drugs 2016, 14, 76. [Google Scholar] [CrossRef]
- Gulder, T.A.M.; Hong, H.; Correa, J.; Egereva, E.; Wiese, J.; Imhoff, J.F.; Gross, H. Isolation, structure elucidation and total synthesis of lajollamide from the marine fungus Asteromyces cruciatus. Mar. Drugs 2012, 10, 2912–2935. [Google Scholar] [CrossRef]
- Li, D.; Xu, Y.; Shao, C.L.; Yang, R.Y.; Zheng, C.J.; Chen, Y.Y.; Fu, X.M.; Qian, P.Y.; She, Z.G.; De, V.N.J. Antibacterial bisabolane-type sesquiterpenoids from the sponge-derived fungus Aspergillus sp. Mar. Drugs 2012, 10, 234–241. [Google Scholar] [CrossRef]
- Sibero, M.T.; Zhou, T.; Fukaya, K.; Urabe, D.; Radjasa, O.K.K.; Sabdono, A.; Trianto, A.; Igarashi, Y. Two new aromatic polyketides from a sponge-derived Fusarium. Beilstein J. Org. Chem. 2019, 15, 2941–2947. [Google Scholar] [CrossRef]
- Prompanya, C.; Dethoup, T.; Bessa, L.J.; Pinto, M.M.M.; Gales, L.; Costa, P.M.; Silva, A.M.S.; Kijjoa, A. New isocoumarin derivatives and meroterpenoids from the marine sponge-associated fungus Aspergillus similanensis sp. nov. KUFA0013. Mar. Drugs 2014, 12, 5160–5173. [Google Scholar] [CrossRef]
- Kumla, D.; Aung, T.S.; Buttachon, S.; Dethoup, T.; Gales, L.; Pereira, J.A.; Inácio, A.; Costa, P.M.; Lee, M.; Sekeroglu, N.; et al. A new dihydrochromone dimer and other secondary metabolites from cultures of the marine sponge-associated fungi Neosartorya fennelliae KUFA0811 and Neosartorya tsunodae KUFC9213. Mar. Drugs 2017, 15, 375. [Google Scholar] [CrossRef]
- Khamthong, N.; Rukachaisirikul, V.; Phongpaichit, S.; Preedanon, S.; Sakayaroj, J. An antibacterial cytochalasin derivative from the marine-derived fungus Diaporthaceae sp. PSU-SP2/4. Phytochem. Lett. 2014, 10, 5–9. [Google Scholar] [CrossRef]
- Zhou, Y.M.; Debbab, A.; Wray, V.; Lin, W.H.; Schulz, B.; Trepos, R.; Pile, C.; Hellio, C.; Proksch, P.; Aly, A.H. Marine bacterial inhibitors from the sponge-derived fungus Aspergillus sp. Tetrahedron Lett. 2014, 55, 2789–2792. [Google Scholar] [CrossRef]
- Kong, F.D.; Huang, X.L.; Ma, Q.Y.; Xie, Q.Y.; Wang, P.; Chen, P.W.; Zhou, L.M.; Yuan, J.Z.; Dai, H.F.; Luo, D.Q.; et al. Helvolic acid derivatives with antibacterial activities against Streptococcus agalactiae from the marine-derived fungus Aspergillus fumigatus HNMF0047. J. Nat. Prod. 2018, 81, 1869–1876. [Google Scholar] [CrossRef] [PubMed]
- Feng, Y.P.; Wang, H.K.; Wu, J.L.; Shao, P.; Zhou, W.L.; Lai, Q.L.; Lin, H.W.; Naman, C.B.; Wang, T.T.; He, S. Acremocholone, an anti-vibrio steroid from the marine mesophotic zone ciocalypta sponge-associated fungus Acremonium sp. NBUF150. Chem. Biodivers. 2022, 19, e202200028. [Google Scholar] [CrossRef] [PubMed]
- Wang, J.F.; Lin, X.P.; Qin, C.; Liao, S.R.; Wan, J.T.; Zhang, T.Y.; Liu, J.; Fredimoses, M.; Chen, H.; Yang, B.; et al. Antimicrobial and antiviral sesquiterpenoids from sponge-associated fungus, Aspergillus sydowii ZSDS1-F6. J. Antibiot. 2014, 67, 581–583. [Google Scholar] [CrossRef] [PubMed]
- Meng, J.J.; Cheng, W.; Heydari, H.; Wang, B.; Zhu, K.; Konuklugil, B.; Lin, W.H. Sorbicillinoid-based metabolites from a sponge-derived fungus Trichoderma saturnisporum. Mar. Drugs 2018, 16, 226. [Google Scholar] [CrossRef] [PubMed]
- Ding, L.J.; Gu, B.B.; Jiao, W.H.; Yuan, W.; Li, Y.X.; Tang, W.Z.; Yu, H.B.; Liao, X.J.; Han, B.N.; Li, Z.Y. New furan and cyclopentenone derivatives from the sponge-associated fungus Hypocrea Koningii PF04. Mar. Drugs 2015, 13, 5579–5592. [Google Scholar] [CrossRef]
- Xu, P.; Ding, L.J.; Wei, J.X.; Li, Q.; Gui, M.J.; He, X.P.; Su, D.Q.; He, S.; Jin, H.X. A new aquatic pathogen inhibitor produced by the marine fungus Aspergillus sp. LS116. Aquaculture 2019, 520, 734665–734670. [Google Scholar] [CrossRef]
- Liu, Y.; Ding, L.J.; Fang, F.; He, S. Penicillilactone A, a novel antibacterial 7-membered lactone derivative from the sponge-associated fungus Penicillium sp. LS54. Nat. Prod. Res. 2019, 33, 2466–2470. [Google Scholar] [CrossRef]
- Bovio, E.; Garzoli, L.; Poli, A.; Luganini, A.; Villa, P.; Musumeci, R.; Mccormack, G.P.; Cocuzza, C.E.; Gribaudo, G.; Mehiri, M.; et al. Marine fungi from the sponge Grantia compressa: Biodiversity, chemodiversity, and biotechnological potential. Mar. Drugs 2019, 17, 220. [Google Scholar] [CrossRef]
- Pang, X.Y.; Cai, G.D.; Lin, X.P.; Salendra, L.; Zhou, X.F.; Yang, B.; Wang, J.J.; Wang, J.F.; Xu, S.H.; Liu, Y.H. New alkaloids and polyketides from the marine sponge-derived fungus Penicillium sp. SCSIO41015. Mar. Drugs 2019, 17, 398. [Google Scholar] [CrossRef]
- Liu, D.; Li, Y.; Guo, X.C.; Ji, W.; Lin, W.H. Chartarlactams Q–T, dimeric phenylspirodrimanes with antibacterial and antiviral activities. Chem. Biodivers. 2020, 17, e2000170. [Google Scholar] [CrossRef]
- Yamazaki, H.; Rotinsulu, H.; Kaneko, T.; Murakami, K.; Fujiwara, H.; Ukai, K.; Namikoshi, M. A new dibenz[b,e]oxepine derivative,1-Hydroxy-10-methoxy-dibenz[b,e]oxepin-6,11-dione, from a marine-derived fungus, Beauveria bassiana TPU942. Mar. Drugs 2012, 10, 2691–2697. [Google Scholar] [CrossRef]
- Bunyapaiboonsri, T.; Yoiprommarat, S.; Intereya, K.; Kocharin, K. New diphenyl ethers from the insect pathogenic fungus Cordyceps sp. BBC 1861. Chem. Pharm. Bull. 2007, 55, 304–307. [Google Scholar] [CrossRef]
- Kong, X.L.; Ma, X.H.; Xie, Y.Y.; Cai, S.X.; Zhu, T.J.; Gu, Q.Q.; Li, D.H. Aromatic polyketides from a sponge-derived fungus Metarhizium anisopliae MXH-99 and their antitubercular activities. Arch. Pharm. Res. 2013, 36, 739–744. [Google Scholar] [CrossRef]
- Subramani, R.; Kumar, R.; Prasad, P.; Aalbersberg, W.; Retheesh, S.T. Cytotoxic and antibacterial substances against multi-drug resistantpathogens from marine sponge symbiont: Citrinin, a secondarymetabolite of Penicillium sp. Asian. Pac. J. Trop. Biomed. 2013, 3, 291–296. [Google Scholar] [CrossRef]
- Qi, J.; Shao, C.L.; Li, Z.Y.; Gan, L.S.; Fu, X.M.; Bian, W.T.; Zhao, H.Y.; Wang, C.Y. Isocoumarin derivatives and benzofurans from a sponge-derived Penicillium sp. fungus. J. Nat. Prod. 2013, 76, 571–579. [Google Scholar] [CrossRef]
- Jansen, N.; Ohlendorf, B.; Erhard, A.; Bruhn, T.; Bringmann, G.; Imhoff, J.F. Helicusin E, isochromophilone X and isochromophilone Xl: New chloroazaphilonesproduced by the fungus Bartalinia robillardoides strain LF550. Mar. Drugs 2013, 11, 800–816. [Google Scholar] [CrossRef]
- Wu, B.; Ohlendorf, B.; Oesker, V.; Wiese, J.; Malien, S.; Schmaljohann, R.; Imhoff, J.F. Acetylcholinesterase inhibitors from a marine fungus Talaromyces sp. strain LF458. Mar. Biotechnol. 2015, 17, 110–119. [Google Scholar] [CrossRef]
- Wu, Z.H.; Liu, D.; Huang, J.; Proksch, P.; Zhu, K.; Lin, W.H. Hansforesters A-M, polyesters from the sponge-associated fungus Hansfordia sinuosae with antibacterial activities. RSC. Adv. 2018, 8, 39756–39768. [Google Scholar] [CrossRef]
- Lei, H.; Lin, X.P.; Han, L.; Ma, J.; Ma, Q.J.; Zhong, J.L.; Liu, Y.H.; Sun, T.M.; Wang, J.H.; Huang, X.S. New metabolites and bioactive chlorinated benzophenone derivatives produced by a marine-derived fungus Pestalotiopsis heterocornis. Mar. Drugs 2017, 15, 68–69. [Google Scholar] [CrossRef]
- Lei, H.; Lin, X.P.; Han, L.; Ma, J.; Dong, K.L.; Wang, X.B.; Zhong, J.L.; Mu, Y.; Liu, Y.H.; Huang, X.S. Polyketide derivatives from a marine sponge-associated fungus Pestalotiopsis heterocornis. Phyto. Chem. 2017, 142, 51–59. [Google Scholar] [CrossRef]
- Ding, L.J.; Yuan, W.; Li, Y.X.; Liao, X.J.; Sun, H.; Peng, Q.; Han, B.N.; Lin, H.W.; Li, Z.Y.; Yang, F.; et al. Hypocrol A, a new tyrosol derivative from a sponge-derived strain of the fungus Hypocrea koningii. Nat. Prob. Res. 2016, 30, 1633–1638. [Google Scholar] [CrossRef] [PubMed]
- Zhen, X.; Gong, T.; Wen, Y.H.; Yan, D.J.; Chen, J.J.; Zhu, P. Chrysoxanthones A–C, three new xanthone-chromanone heterdimers from sponge-associated Penicillium chrysogenum HLS111 treated with histone deacetylase lnhibitor. Mar. Drugs 2018, 16, 357. [Google Scholar] [CrossRef] [PubMed]
- Sabdaningsih, A.; Liu, Y.; Mettal, U.; Heep, J.; Riyanti; Wang, L.; Cristianawati, O.; Nuryadi, H.; Sibero, M.T.; Marner, M.; et al. A new citrinin derivative from the indonesian marine sponge-associated fungus Penicillium citrinum. Mar. Drugs 2020, 18, 227. [Google Scholar] [CrossRef] [PubMed]
- Asiri, I.A.M.; Badr, J.M.; Youssef, D.T.A. Penicillivinacine, antimigratory diketopiperazine alkaloid from the marine-derived fungus Penicillium vinaceum. Phytochem. Lett. 2015, 13, 53–58. [Google Scholar] [CrossRef]
- Song, F.H.; Ren, B.; Chen, C.X.; Yu, K.; Liu, X.R.; Zhang, Y.H.; Yang, N.; He, H.T.; Liu, X.T.; Dai, H.Q.; et al. Three new sterigmatocystin analogues from marine-derived fungus Aspergillus versicolor MF359. Appl. Microbiol. Biotechnol. 2014, 98, 3753–3758. [Google Scholar] [CrossRef]
- Song, Z.J.; Liu, Y.; Gao, J.Y.; Hu, J.S.; He, H.T.; Dai, S.W.; Wang, L.Q.; Dai, H.Q.; Zhang, L.X.; Song, F.H. Antitubercular metabolites from the marine-derived fungus strain Aspergillus fumigatus MF029. Nat. Prod. Res. 2021, 35, 2647–2654. [Google Scholar] [CrossRef]
- Wu, B.; Wiese, J.; Labes, A.; Kramer, A.; Schmaljohann, R.; Imhoff, J.F. Lindgomycin, an unusual antibiotic polyketide from a marine fungus of the Lindgomycetaceae. Mar. Drugs 2015, 13, 4617–4632. [Google Scholar] [CrossRef]
- Shah, M.; Sun, C.X.; Sun, Z.C.; Zhang, G.J.; Che, Q.; Gu, Q.Q.; Zhu, T.J.; Li, D.H. Antibacterial polyketides from antarctica sponge-derived fungus Penicillium sp. HDN151272. Mar. Drugs 2020, 18, 71. [Google Scholar] [CrossRef]
- Kumla, D.; Pereira, J.A.; Dethoup, T.; Gales, L.; Freitas-Silva, J.; Costa, P.M.; Lee, M.; Silva, A.M.S.; Sekeroglu, N.; Pinto, M.M.M.; et al. Chromone derivatives and other constituents from cultures of the marine sponge-associated fungus Penicillium erubescens KUFA0220 and their antibacterial activity. Mar. Drugs 2018, 16, 289. [Google Scholar] [CrossRef]
- Machado, F.P.; Kumla, D.; Pereira, J.A.; Sousa, E.; Dethoup, T.; Freitas-Silva, J.; Costa, P.M.; Mistry, S.; Silva, A.M.S.; Kijjoa, A. Prenylated phenylbutyrolactones from cultures of a marine sponge-associated fungus Aspergillus flavipes KUFA1152. Phytochemistry 2021, 185, 112709. [Google Scholar] [CrossRef]
- Sá, J.D.M.; Pereira, J.A.; Dethoup, T.; Cidade, H.; Sousa, M.E.; Rodrigues, I.C.; Costa, P.M.; Mistry, S.; Silva, A.M.S.; Kijjoa, A. Anthraquinones, diphenyl ethers, and their derivatives from the culture of the marine sponge-associated fungus Neosartorya spinosa KUFA 1047. Mar. Drugs 2021, 19, 457. [Google Scholar]
- Ozkaya, F.C.; Ebrahim, W.; El-Neketi, M.; Tanrikul, T.T.; Kalscheuer, R.; Muller, W.E.G.; Guo, Z.Y.; Zou, K.; Liu, Z.; Proksch, P. Induction of new metabolites from sponge-associated fungus Aspergillus carneus by OSMAC approach. Fitoterapia 2018, 131, 9–14. [Google Scholar] [CrossRef] [PubMed]
- Pilevneli, A.D.; Ebada, S.S.; Kaskatepe, B.; Konuklugil, B. Penicacids H-J, three new mycophenolic acid derivatives from the marine-derived fungus Rhizopus oryzae. RSC. Adv. 2021, 11, 34938–34944. [Google Scholar] [CrossRef]
- Li, W.; Ding, L.J.; Wang, N.; Xu, J.Z.; Zhang, W.Y.; Zhang, B.; He, S.; Wu, B.; Jin, H.X. Isolation and characterization of two new metabolites from the sponge-derived fungus Aspergillus sp. LS34 by OSMAC approach. Mar. Drugs 2019, 17, 283. [Google Scholar] [CrossRef]
- Liu, Y.; Ding, L.J.; Zhang, Z.M.; Yan, X.J.; He, S. New antifungal tetrahydrofuran derivatives from a marine sponge-associated fungus Aspergillus sp. LS78. Fitoterapia 2020, 146, 104672–104677. [Google Scholar] [CrossRef]
- Liu, Y.; Ding, L.J.; He, J.X.; Zhang, Z.M.; Deng, Y.T.; He, S.; Yan, X.J. A new antibacteriail chromone from a marine sponge-associated fungus Aspergils sp. LS57. Fitoterapia 2021, 154, 105004. [Google Scholar] [CrossRef]
- Wang, Y.; Lin, X.P.; Ju, Z.R.; Liao, X.J.; Huang, X.J.; Zhang, C.; Zhao, B.X.; Xu, S.H. Aspergchromones A and B, two new polyketides from the marine sponge-associated fungus Aspergillus sp. SCSIOXWS03F03. J. Asian Nat. Prob. Res. 2016, 19, 684–690. [Google Scholar] [CrossRef]
- Liu, J.; Yu, R.L.; Jia, J.; Gu, W.; Zhang, H.W. Assignment of absolute configurations of two promising anti-Helicobacter pylori agents from the marine sponge-derived fungus Aspergillus niger L14. Molecules 2021, 26, 5061. [Google Scholar] [CrossRef]
- Ding, L.; Ren, L.; Li, S.; Song, J.J.; Han, Z.W.; He, S.; Xu, S.H. Production of new antibacterial 4-Hydroxy-α-Pyrones by a marine fungus Aspergillus niger cultivated in solid medium. Mar. Drugs 2019, 17, 344. [Google Scholar] [CrossRef]
- Tian, Y.Q.; Lin, S.T.; Kumaravel, K.; Zhou, H.; Wang, S.Y.; Liu, Y.H. Polyketide-derived metabolites from the sponge-derived fungus Aspergillus sp. F40. Phytochem. Lett. 2018, 27, 74–77. [Google Scholar] [CrossRef]
- Pang, X.Y.; Lin, X.P.; Wang, P.; Zhou, X.F.; Yang, B.; Wang, J.F.; Liu, Y.H. Perylenequione derivatives with anticancer activities isolated from the marine sponge-derived fungus, Alternaria sp. SCSIO41014. Mar. Drugs 2018, 16, 280. [Google Scholar] [CrossRef]
- Chen, C.M.; Luo, X.W.; Li, K.L.; Guo, C.; Li, J.X.; Lin, X.P.; Liu, Y.H. Antibacterial secondary metabolites from a marine sponge-derived fungus Fusarium equiseti SCSIO 41019. China Antibiot. J. 2019, 44, 1035–1040. [Google Scholar]
- Chen, Y.P.; Liu, C.N.; Kumaravel, K.; Nan, L.H.; Tian, Y.Q. Two new sulfate-modified dibenzopyrones with anti-foodborne bacteria activity from sponge-derived fungus Alternaria sp. SCSIOS02F49. Front. Microbiol. 2022, 13, 879674. [Google Scholar] [CrossRef] [PubMed]
- Saetang, P.; Rukachaisirikul, V.; Phongpaichit, S.; Preedanon, S.; Sakayaroj, J.; Hadsadee, S.; Jungsuttiwong, S. Antibacterial and antifungal polyketides from the fungus Aspergillus unguis PSU-MF16. J. Nat. Prod. 2021, 84, 1498–1506. [Google Scholar] [CrossRef]
- Liu, S.; Wang, H.B.; Su, M.Z.; Hwang, G.J.; Hong, J.; Jung, J.H. New metabolites from the sponge-derived fungus Aspergillus sydowii J05B-7F-4. Nat. Prob. Res. 2017, 31, 1682–1686. [Google Scholar] [CrossRef] [PubMed]
- Haga, A.; Tamoto, H.; Ishino, M.; Kimura, E.; Sugita, T.; Kinoshita, K.; Takahashi, K.; Shiro, M.; Koyama, K. Pyridone alkaloids from a marine-derived fungus, Stagonosporopsis cucurbitacearum, and their activities against azole-resistant Candida albicans. J. Nat. Prod. 2013, 76, 750–754. [Google Scholar] [CrossRef]
- Shaala, L.A.; Alzughaibi, T.; Genta-Jouve, G.; Youssef, D.T.A. Fusaripyridines A and B, highly oxygenated antimicrobial alkaloid dimers featuring an unprecedented 1,4-bis(2-hydroxy-1,2-dihydropyridin-2-yl)butane-2,3-dione core from the marine fungus Fusarium sp. LY019. Mar. Drugs 2021, 19, 505. [Google Scholar] [CrossRef]
- Liu, Y.; Li, X.M.; Meng, L.Y.; Wang, B.G. N-Formyllapatin A, a new N-formylspiroquinazoline derivative from the marine-derived fungus Penicillium adametzioides AS-53. Phytochem. Lett. 2014, 10, 145–148. [Google Scholar] [CrossRef]
- Liu, Y.; Li, X.M.; Meng, L.H.; Jiang, W.L.; Xu, G.M.; Huang, C.G.; Wang, B.G. Bisthiodiketopiperazines and acorane sesquiterpenes produced by the marine-derived fungus Penicillium adametzioides AS-53 on different culture media. J. Nat. Prod. 2015, 78, 1294–1299. [Google Scholar] [CrossRef]
- Wang, C.Y.; Liu, X.H.; Zheng, Y.Y.; Ning, X.Y.; Zhang, Y.H.; Fu, X.M.; Li, X.; Shao, C.L.; Wang, C.Y. 2,5-Diketopiperazines from a sponge-derived fungus Aspergillus sclerotiorum. Front. Microbiol. 2022, 13, 808532. [Google Scholar] [CrossRef]
- Buttachon, S.; Ramos, A.A.; Inacio, A.; Dethoup, T.; Gales, L.; Lee, M.; Costa, P.M.; Silva, A.M.S.; Sekeroglu, N.; Rocha, E.; et al. Bis-Indolyl benzenoids, hydroxypyrrolidine derivatives and other constituents from cultures of the marine sponge-associated fungus Aspergillus candidus KUFA0062. Mar. Drugs 2018, 16, 119. [Google Scholar] [CrossRef] [PubMed]
- Liu, Y.; Ding, L.J.; Shi, Y.T.; Yan, X.J.; Wu, B.; He, S. Molecular networking-driven discovery of antibacterial perinadines, new tetracyclic alkaloids from the marine sponge-derived fungus Aspergillus sp. ACS Omega 2022, 7, 9909–9916. [Google Scholar] [CrossRef] [PubMed]
- Li, W.; Qiu, P.P.; Zhang, Y.Y.; Ding, L.J.; He, S. Isolation and structure elucidation of antibacterial metabolites from a sponge- derived fungus Penicillium chrysogenum LS16. Mygosystema 2018, 37, 640–648. [Google Scholar]
- Scopel, M.; Abraham, W.R.; Henriques, A.T.; Macedo, A.J. Dipeptide cis-cyclo (Leucyl-Tyrosyl) produced by sponge associated Penicillium sp. F37 inhibits biofilm formation of the pathogenic Staphylococcus epidermidis. Bioorg. Med. Chem. Lett. 2013, 23, 624–626. [Google Scholar] [CrossRef]
- Liu, Y.; Mandi, A.; Li, X.M.; Meng, L.H.; Kurtan, T.; Wang, B.G. Peniciadametizine A, a dithiodiketopiperazine with a unique spiro[furan-2,7 ’-pyrazino[1,2-b][1,2]oxazine] skeleton, and a related analogue, peniciadametizine B, from the marine sponge-derived fungus Penicillium adametzioides. Mar. Drugs 2015, 13, 3640–3652. [Google Scholar] [CrossRef]
- Sun, C.X.; Zhang, Z.P.; Ren, Z.L.; Yu, L.; Zhou, H.; Han, Y.X.; Shah, M.; Che, Q.; Zhang, G.J.; Li, D.H.; et al. Antibacterial cyclic tripeptides from Antarctica-sponge-derived fungus Aspergillus insulicola HDN151418. Mar. Drugs 2020, 18, 532. [Google Scholar] [CrossRef]
- Li, Y.; Li, Z. Cyclopeptide derivatives from the sponge-derived fungus Acremonium persicinum F10. Mar. Drugs 2021, 19, 537. [Google Scholar] [CrossRef]
- Yang, C.F.; Qian, R.; Xu, Y.; Yi, J.X.; Gu, Y.W.; Liu, X.Y.; Yu, H.B.; Jiao, B.H.; Lu, X.L.; Zhang, W. Marine actinomycetes-derived natural products. Curr. Top. Med. Chem. 2019, 19, 2868–2918. [Google Scholar] [CrossRef]
- Supong, K.; Thawai, C.; Suwanborirux, K. Antimalarial and antitubercular C-glycosylaed benz[α]anthraq-uinones from the marine-derived Streypomyeces sp. BCC45596. Phytochem. Lett. 2012, 5, 651–656. [Google Scholar] [CrossRef]
- Bruntner, C.; Binder, T.; Pathom-aree, W.; Goodfellow, M.; Bull, A.T.; Potterat, O.; Puder, C.; Horer, S.; Schmid, A.; Bolek, W.; et al. Frigocyclinone, a novel angucyclinone antibiotic produced by a Streptomyces griseus strain from Antarctica. J. Antibiot. 2005, 58, 346–349. [Google Scholar] [CrossRef]
- Vicente, J.; Stewart, A.K.; van Wagoner, R.M.; Elliott, E.; Bourdelais, A.J.; Wright, J.L.C. Monacyclinones, new angucyclinone metabolites isolated from Streptomyces sp. M7_15 associated with the Puerto Rican Sponge Scopalina ruetzleri. Mar. Drugs 2015, 13, 4682–4700. [Google Scholar] [CrossRef]
- Reimer, A.; Blohm, A.; Quack, T.; Grevelding, C.G.; Kozjak-Pavlovic, V.; Rudel, T.; Hentschel, U.; Abdelmohsen, U.R. Inhibitory activities of the marine Streptomycete-derived compound SF2446A2 against Chlamydia trachomatis and Schistosoma mansoni. J. Antibiot. 2015, 68, 674–679. [Google Scholar] [CrossRef]
- Cui, M.Z.; Gong, F.; Zhu, Q. Study on the active metabolites of Streptomyces LS298 associated with Spongy sponge. China Med. Biotechnol. 2012, 7, 418–419. [Google Scholar]
- Lacret, R.; Oves-Costales, D.; Pérez-Victoria, I.; de la Cruz, M.; Diaz, C.; Vicente, F.; Genilloud, O.; Reyes, F. MDN-0171, a new medermycin analogue from Streptomyces albolongus CA-186053. Nat. Prod. Res. 2019, 33, 66–73. [Google Scholar] [CrossRef]
- Shaala, L.A.; Youssef, D.T.A.; Alzughaibi, T.A.; Elhady, S.S. Antimicrobial chlorinated 3-phenylpropanoic acid derivatives from the Red Sea marine actinomycete Streptomyces coelicolor LY001. Mar. Drugs 2020, 18, 450. [Google Scholar] [CrossRef]
- Cao, D.D.; Trinh, T.T.V.; Mai, H.D.T.; Vu, V.N.; Le, H.M.; Vu Thi, Q.; Nguyen, M.A.; Duong, T.T.; Tran, D.T.; Chau, V.M.; et al. Antimicrobial lavandulylated flavonoids from a sponge-derived Streptomyces sp. G248 in east vietnam sea. Mar. Drugs 2019, 17, 529. [Google Scholar] [CrossRef]
- Cao, D.D.; Do, T.Q.; Mai, H.D.T.; Thi, Q.V.; Nguyen, M.A.; Thi, H.M.L.; Tran, D.T.; Chau, V.M.; Thung, D.C.; Pham, V.C. Antimicrobial lavandulylated flavonoids from a sponge-derived actinomycete. Nat. Prod. Res. 2020, 34, 413–420. [Google Scholar] [CrossRef]
- Singh, S.; Prasad, P.; Subramani, R.; Aalbersberg, W. Production and purification of a bioactive substance against multi-drug resistant human pathogens from the marine-sponge-derived Salinispora sp. Asian Pac. J. Trop. Biomed. 2014, 4, 825–831. [Google Scholar] [CrossRef]
- Xu, D.B.; Nepa, K.K.; Chen, J.; Harmody, D.; Zhu, H.N.; McCarthy, P.J.; Wright, A.E.; Wang, G.J. Nocardiopsistins A-C: New angucyclines with anti-MRSA activity isolated from a marine sponge-derived Nocardiopsis sp.HB-J378. Synth. Syst. Biotechnol. 2018, 3, 246–251. [Google Scholar] [CrossRef]
- Chen, M.H.; Zhang, W.L.; Chen, L.; Lin, R.; Xie, Y.; Fang, D.S.; Lian, Y.Y.; Jiang, H. Isolation, purification and identification of two new alkaloids metabolites from marine-derived Verrucosispora sp. FIM06025. Nat. Prod. Res. 2019, 33, 2897–2903. [Google Scholar] [CrossRef]
- Chen, M.H.; Lian, Y.Y.; Fang, D.S.; Chen, L.; Jia, J.; Zhang, W.L.; Lin, R.; Xie, Y.; Bi, H.K.; Jiang, H. Identification and antimicrobial properties of a new alkaloid produced by marine-derived Verrucosispora sp. FIM06-0036. Nat. Prod. Res. 2019, 35, 4211–4217. [Google Scholar] [CrossRef]
- Huang, X.L.; Kong, F.D.; Zhou, S.Q.; Huang, D.Y.; Zheng, J.P.; Zhu, W.M. Streptomyces tirandamycinicus sp. nov., a novel marine sponge-derived actinobacterium with antibacterial potential against Streptococcus agalactiae. Front. Microbiol. 2019, 10, 482. [Google Scholar] [CrossRef] [PubMed]
- Back, C.R.; Stennett, H.L.; Williams, S.E.; Wang, L.Y.; Gomez, J.O.; Abdulle, O.M.; Duffy, T.; Neal, C.; Mantell, J.; Jepson, M.A.; et al. A new Micromnonospora strain with antibiotic activity isolated from the microbiome of a Mid-Atlantic deep-sea sponge. Mar. Drugs 2021, 19, 105. [Google Scholar] [CrossRef]
- Elsayed, Y.; Refaat, J.; Abdelmohsen, U.R.; Ahmed, S.; Fouad, M.A. Rhodozepinone, a new antitrypanosomal azepino-diindole alkaloid from the marine sponge-derived bacterium Rhodococcus sp. UA13. Med. Chem. Res. 2017, 26, 2751–2760. [Google Scholar] [CrossRef]
- Shaala, L.A.; Youssef, D.T.A.; Badr, J.M.; Harakeh, S.M.; Genta-Jouve, G. Bioactive diketopiperazines and nucleoside derivatives from a sponge-derived Streptomyces Species. Mar. Drugs 2019, 17, 584. [Google Scholar] [CrossRef]
- Alkhalifah, D.H.M. Sponge-associated sp. RM66 metabolome induction with N-acetylglucosamine: Antibacterial, antifungal and anti-trypanosomal activities. Saudi. Biol. Sci. 2021, 28, 4691–4698. [Google Scholar] [CrossRef]
- Karuppiah, V.; Li, Y.X.; Sun, W.; Feng, G.F.; Li, Z.Y. Functional gene-based discovery of phenazines from the actinobacteria associated with marine sponges in the South China Sea. Appl. Microbiol. Biotechnol. 2015, 99, 5939–5950. [Google Scholar] [CrossRef]
- Zhen, X.; Gong, T.; Liu, F.; Zhang, P.C.; Zhou, W.Q.; Li, Y.; Zhu, P. A New analogue of echinomycin and a new cyclic dipeptide from a marine-derived Streptomyces sp. LS298. Mar. Drugs 2015, 13, 6947–6961. [Google Scholar] [CrossRef]
- Kitani, S.; Ueguchi, T.; Igarashi, Y.; Leetanasaksakul, K.; Thamchaipenet, A.; Nihira, T. Rakicidin F, a new antibacterial cyclic depsipeptide from a marine sponge-derived Streptomyces sp. J. Antibiot. 2018, 7, 139–141. [Google Scholar] [CrossRef] [PubMed]
- Jiao, W.H.; Yuan, W.; Li, Z.Y.; Li, J.; Li, L.; Sun, J.B.; Gui, Y.H.; Wang, J.; Ye, B.P.; Lin, H.W. Anti-MRSA actinomycins D1-D4 from the marine sponge-associated Streptomyces sp. LHW52447. Tetrahedron 2018, 74, 5914–5919. [Google Scholar] [CrossRef]
- Sekurova, O.N.; Pérez-Victoria, I.; Martín, J.; Degnes, K.F.; Sletta, H.; Reyes, F.; Zotchev, S.B. New deferoxamine glycoconjugates produced upon overexpression of pathway-specific regulatory gene in the marine sponge-derived Streptomyces albus PVA94-07. Molecules 2016, 21, 1131. [Google Scholar] [CrossRef]
- Takasaka, N.; Kaweewan, I.; Ohnishi-Kameyama, M.; Kodani, S. Isolation of a new antibacterial peptide actinokineosin from Actinokineospora spheciospongiae based on genome mining. Lett. Appl. Microbiol. 2017, 64, 150–157. [Google Scholar] [CrossRef]
- Kiran, G.S.; Sajayan, A.; Priyadharshirni, G.; Balakrishnan, A.; Prathiviraj, R.; Sabu, A.; Selvin, J. A novel anti-infective molecule nesfactin identified from sponge associated bacteria Nesterenkonia sp. MSA31 against multidrug resistant Pseudomonas aeruginosa. Microt. Pathog. 2021, 157, 104923. [Google Scholar] [CrossRef]
- Naik, D.N.; Wahidullah, S.; Meena, R.M. Attenuation of Pseudomonas aeruginosa virulence by marine invertebrate-derived Streptomyces sp. Lett. Appl. Microbiol. 2013, 56, 197–207. [Google Scholar] [CrossRef]
- Palomo, S.; Gonzalez, I.; de la Cruz, M.; Martin, J.; Tormo, J.R.; Anderson, M.; Hill, R.T.; Vicente, F.; Reyes, F.; Genilloud, O. Sponge-derived Kocuria and Micrococcus sp. as sources of the new thiazolyl peptide antibiotic Kocurin. Mar. Drugs 2013, 11, 1071–1086. [Google Scholar] [CrossRef]
- Eltamany, E.E.; Abdelmohsen, U.R.; Ibrahim, A.K.; Hassanean, H.A.; Hentschel, U.; Ahmed, S.A. New antibacterial xanthone from the marine sponge-derived Micrococcus sp. EC45. Bioorg. Med. Chem. Lett. 2014, 24, 4939–4942. [Google Scholar] [CrossRef]
- Gong, T.; Zhen, X.; Li, X.L.; Chen, J.J.; Chen, T.J.; Yang, J.L.; Zhu, P. Tetrocarcin Q, a new spirotetronate with a unique glycosyl group from a marine-derived actinomycete Micromonospora carbonacea LS276. Mar. Drug 2018, 16, 74. [Google Scholar] [CrossRef]
- Dat, T.T.H.; Cuc, N.T.K.; Cuong, P.V.; Smidt, H.; Sipkema, D. Diversity and antimicrobial activity of Vietnamese sponge-associated bacteria. Mar. Drugs 2021, 19, 353. [Google Scholar] [CrossRef]
- Santos, O.C.S.; Soares, A.R.; Machado, F.L.S.; Romanos, M.T.V.; Muricy, G.; Giambiagi-deMarval, M.; Laport, M.S. Investigation of biotechnological potential of sponge-associated bacteria collected in Brazilian coast. Lett. Appl. Microbiol. 2015, 60, 140–147. [Google Scholar] [CrossRef]
- Bhattacharya, D.; Lai, T.K.; Saha, A.; Selvin, J.; Mukherjee, J. Structural elucidation and antimicrobial activity of a diketopiperazine isolated from a Bacillus sp. associated with the marine sponge Spongia officinalis. Nat. Prod. Res. 2021, 35, 2315–2323. [Google Scholar] [CrossRef]
- Yan, J.X.; Wu, Q.; Helfrich, E.J.N.; Chevrette, M.G.; Braun, D.R.; Heyman, H.; Ananiev, G.E.; Rajski, S.R.; Currie, C.R.; Clardy, J.; et al. Bacillimidazoles A-F, imidazolium-containing compounds isolated from a marine Bacillus. Mar. Drugs 2022, 20, 43. [Google Scholar] [CrossRef] [PubMed]
- Yan, J.X.; Chevrette, M.G.; Braun, D.R.; Harper, M.K.; Currie, C.R.; Bugni, T.S. Madurastatin D1 and D2, oxazoline containing siderophores isolated from an Actinomadura sp. Org. Lett. 2019, 21, 6275–6279. [Google Scholar] [CrossRef] [PubMed]
- Zhang, F.; Alvarenga, R.F.R.; Throckmorton, K.; Chanana, S.; Braun, D.R.; Fossen, J.; Zhao, M.; McCrone, S.; Harper, M.K.; Rajski, S.R.; et al. Genome mining and metabolomics unveil pseudonochelin: A siderophore containing 5-aminosalicylate from a marine-derived Pseudonocardia sp. bacterium. Org. Lett. 2022, 24, 3998–4002. [Google Scholar] [CrossRef] [PubMed]
- Abdel-Wahab, N.M.; Scharf, S.; Ozkaya, F.C.; Kurtan, T.; Mandi, A.; Fouad, M.A.; Kamel, M.S.; Muller, W.E.G.; Kalscheuer, R.; Lin, W.H.; et al. Induction of secondary metabolites from the marine-derived fungus Aspergillus versicolor through co-cultivation with Bacillus subtilis. Planta Med. 2019, 85, 503–512. [Google Scholar] [CrossRef] [PubMed]
- Hao, X.M.; Li, S.S.; Ni, J.; Wang, G.Y.; Li, F.; Li, Q.; Chen, S.Z.; Shu, J.C.; Gan, M.L. Acremopeptaibols A-F, 16-residue peptaibols from the sponge-derived Acremonium sp. IMB18-086 cultivated with heat-killed Pseudomonas aeruginosa. J. Nat. Prod. 2021, 84, 2990–3000. [Google Scholar] [CrossRef]
- Dashti, Y.; Grkovic, T.; Abdelmohsen, U.R.; Hentschel, U.; Quinn, R.J. Production of induced secondary metabolites by a co-culture of sponge-associated actinomycetes, Actinokineospora sp. EG49 and Nocardiopsis sp. RV163. Mar. Drugs 2014, 12, 3046–3059. [Google Scholar] [CrossRef]
- Hifnawy, M.S.; Hossan, H.M.; Mohammed, R.; Fouda, M.M.; Sayed, A.M.; Hamed, A.A.; AbouZid, S.F.; Rateb, M.E.; Alhadrami, H.A.; Abdelmohsen, U.R. Induction of antibacterial metabolites by co-cultivation of two Red-Sea-sponge-associated actinomycetes Micromonospora sp. UR56 and Actinokinespora sp. EG49. Mar. Drugs 2020, 18, 243. [Google Scholar] [CrossRef]
- Malhao, F.; Ramos, A.A.; Buttachon, S.; Dethoup, T.; Kijjoa, A.; Rocha, E. Cytotoxic and antiproliferative effects of preussin, a hydroxypyrrolidine derivative from the marine sponge-associated fungus Aspergillus candidus KUFA0062, in a panel of breast cancer cell lines and using 2D and 3D cultures. Mar. Drugs 2019, 17, 448. [Google Scholar] [CrossRef]
- Pang, M.J.; Yang, Z.; Zhang, X.L.; Liu, Z.F.; Fan, J.; Zhang, H.Y. Physcion, a naturally occurring anthraquinone derivative, induces apoptosis and autophagy in human nasopharyngeal carcinoma. Acta. Pharmacol. Sin. 2016, 37, 1623–1640. [Google Scholar] [CrossRef]
- Liu, X.Y.; Hu, H.L.; Liu, J.Q.; Chen, J.Q.; Chu, J.; Cheng, H. Physcion, a novel anthraquinone derivative against Chlamydia psittaci infection. Vet. Microbiol. 2023, 279, 109664. [Google Scholar] [CrossRef]
- Oliveira, K.D.; Queiroz, P.R.M.; Fensterseifer, I.C.M.; Migliolo, L.; Oliveira, A.L.; Franco, O.L. Purified citritin in combination with vancomycin inhibits VRE in vitro and in vivo. Microbiology 2017, 163, 1525–1531. [Google Scholar] [CrossRef]
- Luo, X.W.; Lin, Y.; Lu, Y.J.; Zhou, X.F.; Liu, Y.H. Peptides and polyketides isolated from the marine sponge-derived fungus Aspergillus terreus SCSIO 41008. Chin. J. Nat. Med. 2019, 17, 149–154. [Google Scholar] [CrossRef]
- Wu, L.; Xie, C.L.; Yang, X.W.; Chen, G. Pharmacokinetics and metabolism study of deep-sea-derived butyrolactone I in rats by UHPLC-MS/MS and UHPLC-Q-TOF-MS. Mar. Drugs 2022, 20, 11. [Google Scholar] [CrossRef]
- Gu, T.W.; Chen, W.H.; She, J.L.; Yang, B.; Tang, L.; Tao, H.M.; Huang, J.X.; Zhou, X.F. Lipid metabolism regulatory activity and adverse effects of fungi-derived butyrolactone I. Nat. Prod. Res. 2022. [Google Scholar] [CrossRef]
Disclaimer/Publisher’s Note: The statements, opinions and data contained in all publications are solely those of the individual author(s) and contributor(s) and not of MDPI and/or the editor(s). MDPI and/or the editor(s) disclaim responsibility for any injury to people or property resulting from any ideas, methods, instructions or products referred to in the content. |
© 2023 by the authors. Licensee MDPI, Basel, Switzerland. This article is an open access article distributed under the terms and conditions of the Creative Commons Attribution (CC BY) license (https://creativecommons.org/licenses/by/4.0/).







































