Abstract
The first synthesis of Luffarin I, sesterterpenolide isolated from sponge Luffariella geometrica, has been accomplished from commercially available sclareol. The key strategy involved in this synthesis is the diastereoselective reduction of an intermediate ketone. Luffarin I against human solid tumor cell lines showed antiproliferative activities (GI50) in the range 12–17 μM.
1. Introduction
During the last few years, there has been intensive research for new natural pharmacologically active compounds. In general, the chemistry of marine organisms and of sponges in particular has led to the discovery of a great number of novel and interesting metabolites [1]. Many marine-living organisms have developed toxic secondary metabolites to defend themselves against predators [2].
There is a group of pentaprenyl terpenoids whose structures are derivable from geranylfarnesyl diphosphate, known as sestertepenoids, of frequent occurrence in marine sponges. The diverse bioactivity of sesterterpenoids has made them attractive targets for both biomedical and synthetic purposes [3].
Marine sponges have been the source of a large number of relevant sesterterpenes with biological activities, including anti-feedant [4,5,6], platelet-aggregation inhibition [7,8] and anti-inflammatory [9,10].
The luffarins (A–N), 1–14, Figure 1, were isolated by Butler and Capon from an Australian marine sponge, Luffariella geometrica [11]. Luffarins are sesterterpenolides that have in common with the labdane skeleton the decaline moiety, showing the same stereochemistry for A and B rings. In particular, luffarins bear an eleven carbon atom side chain attached to C-9 with either a butenolide, a hydroxybutenolide or butanolide group, Figure 2. All of them have the same fragment R (Figure 1) and the skeleton can be defined as luffarane.
Figure 1.
Structure of Luffarins (A–N) isolated from Luffariella geometrica.
Figure 1.
Structure of Luffarins (A–N) isolated from Luffariella geometrica.

Figure 2.
Labdane and luffarane skeletons numbering.
Figure 2.
Labdane and luffarane skeletons numbering.

Luffarin I, 9, can be proposed as a key intermediate for the synthesis of some luffarins. Herein we report the first synthesis and biological evaluation of luffarin I. Another sesterterpenolide with luffarane skeleton, luffalactone, has been synthesized previously [12].
2. Results and Discussion
Our retrosynthetic analysis for luffarin I, 9, is outlined in Scheme 1.
Scheme 1.
Retrosynthetic analysis for Luffarin I, 9.
Scheme 1.
Retrosynthetic analysis for Luffarin I, 9.

The synthesis of Luffarin I, could proceed from the furane intermediate 20, that can act as key intermediate in the synthesis. The furane ring can be added to the side chain of an aldehyde as 19, by an organometallic addition. The side chain of 19 can be obtained by a Wittig olefination of a methyl ketone 17. The last compound can be obtained from (−)-sclareol, as a starting material (Scheme 1).
Keeping in mind the retrosynthetic scheme, methylketone 15 was obtained by the degradation of (−)-sclareol using known procedures [13,14,15,16] (Scheme 2). The functionalization of methyl at C-16 can be achieved in two ways (1) in two steps with lead tetraacetate (LTA), BF3•Et2O [17] and subsequent hydrolysis of the acetoxy group (40% in two reactions) or (2) by direct (diacetoxyiodo)benzene (DIB) [18,19] functionalization with more favorable results, giving in both cases 16 (Scheme 2). After protection of the primary hydroxyl group as its tetrahydropyranyl derivative, 17, Wittig reaction [20,21,22,23,24] with (2-carboxyethyl)triphenylphosphonium bromide and subsequent esterification of the resulting acid with trimethylsilyldiazomethane (TMSCHN2) achieved methyl ester 18. NOE experiments confirmed the Z-geometry of double bond ∆13.
Ester 18, was reduced with lithium aluminium hydride (LAH) and the resulting alcohol was oxidized using Dess-Martin [25,26,27] procedure to give aldehyde 19.
The 3-bromofurane lithium derivative, achieved by metallation of 3-bromofurane with n-BuLi, was added to aldehyde 19 giving a 1:1 mixture of epimers at C-16 (20a/20b).
Scheme 2.
Synthesis of 20a/20b. Reagents and conditions: (a) i: (Diacetoxyiodo) benzene (DIB), KOH/MeOH, 0 °C. ii: H2SO4 5%, 0 °C, 1.5 h, 50%; (b) Dihydropyran (DHP), pTsOH, benzene, RT, 100%; (c) (2-carboxyethyl)triphenylphosphonium bromide, n-BuLi, THF/DMSO, −5 °C; (d) TMSCHN2, benzene/MeOH, 0 °C, 10 min, 56%; (e) LiAlH4, Et2O, 0 °C, 0.25 h, 100%; (f) Dess-Martin Periodinane (DMP), DCM, RT, 0.5 h, 100%; and (g) 3-bromofurane, n-BuLi, Et2O, −78 °C, 0.5 h, 41%.
Scheme 2.
Synthesis of 20a/20b. Reagents and conditions: (a) i: (Diacetoxyiodo) benzene (DIB), KOH/MeOH, 0 °C. ii: H2SO4 5%, 0 °C, 1.5 h, 50%; (b) Dihydropyran (DHP), pTsOH, benzene, RT, 100%; (c) (2-carboxyethyl)triphenylphosphonium bromide, n-BuLi, THF/DMSO, −5 °C; (d) TMSCHN2, benzene/MeOH, 0 °C, 10 min, 56%; (e) LiAlH4, Et2O, 0 °C, 0.25 h, 100%; (f) Dess-Martin Periodinane (DMP), DCM, RT, 0.5 h, 100%; and (g) 3-bromofurane, n-BuLi, Et2O, −78 °C, 0.5 h, 41%.

The oxidation of the mixture 20a/20b with tetrapropylammonium perruthenate (TPAP) in presence of 4-methylmorpholine N-oxide (NMO) led only to decomposition products. Thus, before oxidation of the C-16 hydroxyl group, the double bond was deactivated by conjugation with a carboxylic acid (Scheme 3). Acetoxylation of the secondary alcohol led to the acetoxy derivatives 21a/21b, which by deprotection of the THP group, gave the hydroxyderivatives 22a/22b. The oxidation of the later compounds to the required acids was achieved in two steps; oxidation of the alcohols to aldehydes 23a/23b was carried out with DMP and finally oxidation to the desired acids mixture 24a/24b by oxidation of the aldehydes with sodium chlorite (Scheme 3).
Scheme 3.
Synthesis of 24a/24b. Reagents and conditions: (a) Ac2O, pyridine, RT, 24 h, 99%; (b) p-TsOH, MeOH, RT, 4 h, 100%; (c) DMP, DCM, RT, 0.5 h, 99%; (d) NaClO2 5%, NaH2PO4, 2-methyl-2-butene, RT, 0.5 h, 99%.
Scheme 3.
Synthesis of 24a/24b. Reagents and conditions: (a) Ac2O, pyridine, RT, 24 h, 99%; (b) p-TsOH, MeOH, RT, 4 h, 100%; (c) DMP, DCM, RT, 0.5 h, 99%; (d) NaClO2 5%, NaH2PO4, 2-methyl-2-butene, RT, 0.5 h, 99%.

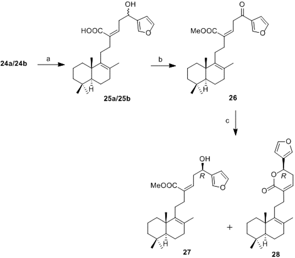
The resulting α,β-unsaturated acids 24a/24b were transformed into ketone 26 by hydrolysis of the acetoxy group and oxidation of the resulting alcohol (25a/25b) with DMP [25,26,27] at low temperature and subsequent esterification of the carboxylic group with TMSCHN2 (Scheme 4). The Corey-Bakshi-Shibata [28,29,30,31,32,33] reduction of ketone 26 allows obtaining diastereoselectively only one of the C-16 hydroxyl derivatives (Scheme 4).
Scheme 4.
Synthesis of 27 and 28. Reagents and conditions: (a) K2CO3, MeOH, RT, 7 h, 100%; (b) i: DMP, DCM, 0 °C, 0.5 h. ii: TMSCHN2, MeOH/benzene, 0 °C, 10 min. 89% for two steps; (c) (S)-2-methyl-CBS-oxazaborolidene, Me2S.BH3, toluene, −78 °C to −30 °C, 20 h, (27, 52%, 28, 42%).
Scheme 4.
Synthesis of 27 and 28. Reagents and conditions: (a) K2CO3, MeOH, RT, 7 h, 100%; (b) i: DMP, DCM, 0 °C, 0.5 h. ii: TMSCHN2, MeOH/benzene, 0 °C, 10 min. 89% for two steps; (c) (S)-2-methyl-CBS-oxazaborolidene, Me2S.BH3, toluene, −78 °C to −30 °C, 20 h, (27, 52%, 28, 42%).

Treatment of 26 with (S)-2-methyl-Corey-Bakshi-Shibata-oxazaborolidine using borane dimethyl sulfide as reducing agent under inert atmosphere and low temperature, produced diastereoselectively 27 and 28. The reduction proceeds with an excellent yield and both 27 and 28 are valid intermediates in the synthesis of the target molecule luffarin I.
The generated stereogenic center at C-16 has R configuration as expected, confirmed the application of Mosher methodology [34,35,36,37,38,39], see Supplementary Information.
Reduction of either 27 or 28 with diisobutylaluminium hydride (DIBAL-H) afforded diol 29, in good yield in both cases. Conversion of the furane ring of 29, into the γ-hydroxybutenolide was carried out following Faulkner’s methodology [40]. Photochemical oxidation of 29 with 1O2 in the presence of Rose Bengal irradiating with a 200W lamp for 10 min gave quantitatively the hydroxybutenolide 30. Reduction of 30 with NaBH4 [41] transformed the γ-hydroxybutenolide ring into the required γ-butenolide present in luffarin I, 9 (Scheme 5).
The spectroscopic data of 9, as well as its optical rotation
= +69.0 (c 0.51, CHCl3) comply with those corresponding to the natural product described by Butler and Capon as luffarin I
= +64.3 (c 1.4, CHCl3) [11]. It can be concluded that luffarin I has been obtained from methylketone 15, in 15 steps.
Scheme 5.
Synthesis of luffarin I (9). Reagents and conditions: (a) DIBAL-H, DCM, RT, 1.5 h, (from 27, 85%; from 28, 95%); (b) O2, N,N-diisopropylethylamine (DIPEA), hυ, Bengal Rose, −78 °C, 6 h, 99%; (c) NaBH4, EtOH, 0 °C, 5 min, 71%.
Scheme 5.
Synthesis of luffarin I (9). Reagents and conditions: (a) DIBAL-H, DCM, RT, 1.5 h, (from 27, 85%; from 28, 95%); (b) O2, N,N-diisopropylethylamine (DIPEA), hυ, Bengal Rose, −78 °C, 6 h, 99%; (c) NaBH4, EtOH, 0 °C, 5 min, 71%.

Biological Studies
From the set of synthesized analogues, a total of four compounds were submitted to biological assays. The in vitro activity was assessed in A549, HBL-100, HeLa, SW1573, T-47D and WiDr human solid tumor cells. The results expressed as GI50 were obtained using the SRB assay [42], and the results are given in Table 1. The standard anticancer drugs cisplatin and etoposide were used as positive controls. Overall, the data on antiproliferative activity show that all tested compounds exhibited growth inhibition in at least four of the cell lines of the panel. The natural compound 9 is the most active of the series with GI50 values in the range 12–17 µM. Table 1. The antiproliferative activity is comparable to the reference drugs in the most resistant cell lines T-47D and WiDr. Although the set of compounds in this study is small, the presence of the butenolide fragment can explain the enhanced activity of 9 when compared to analogues 29 and 30.
| Compound | Cell Line | |||||
|---|---|---|---|---|---|---|
| A549 (lung) | HBL-100 (breast) | HeLa (cervix) | SW1573 (lung) | T-47D (breast) | WiDr (colon) | |
| 9 | 12 (±0.6) | 15 (±0.6) | 13 (±1.4) | 13 (±0.8) | 17 (±0.9) | 17 (±0.7) |
| 28 | 24 (±0.6) | 41 (±1.9) | 30 (±2.1) | 37 (±2.5) | 55 (±3.0) | 52 (±0.6) |
| 29 | 57 (±9.3) | 93 (±13) | 43 (±9.6) | 64 (±12) | >100 | >100 |
| 30 | 32 (±2.3) | 27 (±3.5) | 25 (±3.2) | 26 (±2.4) | 35 (±2.4) | 54 (±8.7) |
| cisplatin | n.d. | 1.9 (±0.2) | 2.0 (±0.3) | 3.0 (±0.4) | 15 (±2.3) | 26 (±5.3) |
| etoposide | n.d. | 1.4 (±0.1) | 3.3 (±1.6) | 15 (±1.5) | 22 (±5.5) | 23 (±3.1) |
3. Experimental Section
16-Hydroxy-14,15-dinor-labd-8-en-13-one (16): To a stirred solution of 15 (60 mg, 0.23 mmol) in MeOH (1.1 mL) was added slowly a solution of KOH (76 mg, 1.15 mmol) in MeOH (1.75 mL) and the mixture was reacted at 0 °C for 10 min. Afterwards, (diacetoxyiodo)benzene (DIB) (146 mg, 0.46 mmol) was added, and the mixture was stirred at 0 °C following the reaction evolution by TLC. When the reaction had finished, a 5% aqueous solution of H2SO4 (1.5 mL) was added and the mixture was reacted at 0 °C for 90 min. It was quenched with water and the product was extracted with DCM. The combined organic layers were washed with brine, dried (Na2SO4), filtered, and concentrated in vacuo. The resulting crude residue was purified by flash CC (hexane-AcOEt, 98:2) to obtain 16 (33 mg, 50%).
= +81.9 (c 0.64, CHCl3); IR υ 3443 (OH), 2936, 1721 (C=O), 1441, 1375, 1024; 1H-NMR (400 MHz, CDCl3) δ 4.24 (2H, s, H-16), 2.50–2.30 (4H, m, H-11, H-12), 2.00–1.00 (11H, m), 1.57 (3H, s, Me-17), 0.94 (3H, s, Me-20), 0.88 (3H, s, Me-18), 0.82 (3H, s, Me-19); 13C-NMR (100 MHz, CDCl3) δ 209.6 (C), 138.7 (C), 127.3 (C), 67.9 (CH2), 51.9 (CH), 41.7 (CH2), 39.3 (CH2), 39.0 (C), 37.0 (CH2), 33.6 (CH2), 33.3 (C, CH3), 21.6 (CH3), 21.4 (CH2), 19.9 (CH3), 19.4 (CH3), 18.9 (CH2-2).
16-(2-Tetrahydropyranyloxy)-14,15-dinor-labd-8-en-13-one (17): To a stirred solution of 16 (152 mg, 0.54 mmol) in dry benzene (3.6 mL) was added p-toluenesulfonic acid (3 mg, 0.016 mmol) and dihydropyran (DHP) (0.15 mL, 1.62 mmol). The evolution of reaction was controlled by TLC. When the reaction had finished a 10% aqueous solution of Na2CO3 (3 mL) was added and it was reacted for 30 min. It was quenched with water and the product was extract with AcOEt. The combined organic layers were washed with water and brine, dried (Na2SO4), filtered, and concentrated in vacuo to obtain 17 (196 mg, 100%).
= +26.0 (c 2.4, CHCl3); IR υ 2941, 1717 (C=O), 1665 (C=C), 1456, 1126, 1036; 1H-NMR (400 MHz, CDCl3) δ 4.94 (1H, dd, J = 2.8 and 4.8 Hz, H-2′ major.), 4.63 (1H, t, J = 3.7 Hz, H-2′ minor.), 4.23 (1H, d, J = 17 Hz, HA-16), 4.09 (1H, d, J = 17 Hz, HB-16), 3.90–3.40 (2H, m, H-6′), 2.60–2.50 (2H, m, H-12), 2.40–2.10 (2H, m, H-11), 2.00–1.00 (17H, m), 1.53 (3H, s, Me-17), 0.93 (3H, s, Me-20), 0.87 (3H, s, Me-18), 0.82 (3H, s, Me-19); 13C-NMR (100 MHz, CDCl3) δ 208.8 (C), 139.2 (C), 126.7 (C), 98.9/94.6 (CH), 71.9 (CH2), 62.9/62.4 (CH2), 51.9 (CH), 41.7 (CH2), 39.9 (CH2), 39.0 (C), 36.9 (CH2), 33.6 (CH2), 33.2 (C, CH3), 30.6/30.2 (CH2), 25.4/25.2 (CH2), 21.6 (CH3), 21.3 (CH2), 19.9 (CH3), 19.7/19.2 (CH2), 19.4 (CH3), 18.9 (CH2-2); HRMS (ESI) m/z calcd for C23H38O3Na (M + Na)+ 385.2713, found 385.2722.
Methyl 21-(2-tetrahydropyranyloxy)-17,18,19,20-tetranor-luffara-8,13Z-dien-16-oate (18): To a suspension of (2-carboxyethyl)triphenylphosphonium bromide (270 mg, 0.65 mmol) in dry THF (3.2 mL) and dry DMSO (0.8 mL) at −5 °C under argon atmosphere, n-BuLi (1.6 M in hexane; 0.8 mL, 1.3 mmol) was added slowly and the reaction was stirred for 10 min. A solution of 17 (47 mg, 0.13 mmol) in THF/DMSO 4:1 (2.5 mL) was added via cannula dropwise and the reaction was stirred for 90 min. It was allowed to warm to room temperature, quenched with saturated aqueous solution of NH4Cl and extracted with AcOEt. The combined organic layers were washed with water and brine, dried (Na2SO4), filtered, and concentrated in vacuo. The obtained acid was directly esterified: the resulting crude residue was dissolved in C6H6/MeOH 1:1 (2.4 mL) and cooled at 0 °C. Under argon atmosphere TMSCHN2 (2.0 M in hexane; 0.3 mL, 0.6 mmol) was added. After 10 min, the solvent was removed under reduced pressure and the resulting crude residue was purified by CC (hexane-AcOEt, 97:3) to obtain 18 (30 mg, 54%).
= +41.4 (c 0.8, CHCl3); IR υ 2941, 2868, 1744 (C=O), 1200, 1132, 1024; 1H-NMR (400 MHz, CDCl3) δ 5.58 (1H, t, J = 7.1 Hz, H-14), 4.58 (1H, t, J = 3.0 Hz, H-2′), 4.21 (1H, dd, J = 11.9 Hz, HA-21), 4.04 (1H, dd, J = 2.1 and 11.9 Hz, HB-21), 3.90–3.80 (1H, m, H-6′), 3.68 (3H, s, COOMe), 3.50–3.45 (1H, m, H-6′), 3.17 (2H, d, J = 7.1 Hz, H-15), 2.20–2.05 (4H, m, H-12, H-11), 1.95–1.10 (17H, m), 1.57 (3H, s, Me-22), 0.93 (3H, s Me-23), 0.88 (3H, s, Me-25), 0.82 (3H, s, Me-24); 13C-NMR (100 MHz, CDCl3) δ 172.5 (C), 140.2 (C), 136.8 (C), 126.0 (C), 119.5 (CH), 97.6/94.6 (CH), 64.3 (CH2), 62.9/62.1 (CH2), 51.9 (CH), 51.7 (CH3), 41.8 (CH2), 39.0 (C), 36.9 (CH2), 36.0 (CH2), 33.6 (CH2), 33.3 (C, CH3), 33.1 (CH2), 30.6/30.5 (CH2), 27.1 (CH2), 25.4 (CH2), 21.7 (CH3), 20.0 (CH3), 19.7 (CH2), 19.5 (CH3), 19.0 (CH2 - 2); HRMS (ESI) m/z calcd for C27H44O4Na (M + Na)+ 455.3132, found 455.3116.
21-(2-Tetrahydropyranyloxy)-17,18,19,20-tetranor-luffara-8,13Z-dien-16-al (19): To a solution of 18 (31 mg, 0.072 mmol) in Et2O (5.3 mL) at 0 °C was added LiAlH4 (27 mg, 0.72 mmol). The reaction was stirred at rt for 15 min and then quenched with wet AcOEt, dried (Na2SO4), filtered through a short pad of Celite and concentrated in vacuo. The resulting alcohol (80 mg, 0.196 mmol) was solved in DCM (11.8 mL) and it was added DMP (103 mg, 0.25 mmol). The reaction was stirred at rt for 30 min. It was diluted with AcOEt and washed with 10% NaHCO3/10% Na2S2O3 1:1, dried (Na2SO4), filtered, and concentrated in vacuo to obtain 19 (79 mg, 100% from 18). IR υ 2940, 2725, 1726 (CHO), 1684 (C=C), 1456, 1375, 1119, 1024; 1H-NMR (400 MHz, CDCl3) δ 9.67 (1H, s, H-16), 5.57 (1H, t, J = 7.4 Hz, H-14), 4.60–4.57 (1H, m, H-2′), 4.23 (1H, d, J = 11.8 Hz, HA-21), 4.03 (1H, d, J = 11.8 Hz, HB-21), 3.89–3.49 (2H, m, H-6′), 3.27 (2H, d, J = 7,5 Hz, H-15), 2.13–2.05 (4H, m, H-11, H-12), 1.95–1.10 (17H, m, H-7), 1.58 (3H, s, Me-22), 0.94 (3H, s, Me-23), 0.88 (3H, s, Me-25), 0.83 (3H, s, Me-24).
21-(2-Tetrahydropyranyloxy)-19,20-epoxy-luffara-8,13Z,17(20),18-tetraen-16(R,S)-ol (20a/20b): To a solution of 3-bromofuran (0.13 mL, 1.47 mmol) in Et2O at −78 °C under argon atmosphere was added dropwise n-BuLi (1.6 M in hexane; 0.92 mL, 1.47 mmol) and the solution was stirred for 10 min. After that, a solution of 19 (59 mg, 0.147 mmol) in Et2O (1.6 mL) was added dropwise via cannula and the mixture was stirred for 30 min. It was allowed to warm to room temperature, quenched with a saturated aqueous solution of NH4Cl and extracted with AcOEt. The combined organic layers were washed with water and brine, dried (Na2SO4), filtered, and concentrated in vacuo. The resulting crude residue was purified by flash CC (hexane-AcOEt, 9:1) to obtain a mixture of 20a/20b (27 mg, 41%).
= +47.4 (c 0.22, CHCl3); IR υ 3249 (OH), 2940, 1440, 1202, 1024; 1H-NMR (400 MHz, CDCl3) δ 7.37 (2H, s, H-19, H-20), 6.38 (1H, s, H-18), 5.51–5.43 (1H, m, H-14), 4.71–4.64 (2H, m, H-2′, H-16), 4.17–3.90 (2H, m, H-21), 3.88–3.52 (2H, m, H-6′), 2.60–2.40 (2H, m, H-15), 2.20–2.10 (4H, m, H-11, H-12), 1.85–1.05 (17H, m), 1.58 (3H, s, Me-22), 0.94 (3H, s, Me-23), 0.88 (3H, s, Me-25), 0.83 (3H, s, Me-24); 13C-NMR (100 MHz, CDCl3) δ 143.1 (CH), 140.6 (C), 140.2 (C), 138.9/138.8 (CH), 129.2 (C), 126.0 (C), 124.7 (CH), 108.6 (CH), 97.9/97.2 (CH), 66.2 (CH), 64.6/64.2 (CH2), 61.9/61.7 (CH2), 51.9 (CH), 41.9 (CH2), 39.0 (C), 37.0 (CH2), 36.8 (CH2), 36.6 (CH2), 33.6 (CH2), 33.3 (C, CH3), 30.4/30.3 (CH2), 27.3 (CH2), 25.4 (CH2), 21.7 (CH3), 20.1 (CH3), 19.7 (CH2), 19.5 (CH3), 19.0 (CH2 - 2); HRMS (ESI) m/z calcd for C30H46O4Na (M + Na)+ 493.3288, found 493.3303.
16(R,S)-Acetoxy-21-(2-tetrahydropyranyloxy)-19,20-epoxi-luffara-8,13Z,17(20),18-tetraene (21a/21b): To a solution of 20a/20b (30 mg, 0.064 mmol) in pyridine (1.5 mL) was added acetic anhydride (1.5 mL) and the reaction was stirred at rt in anhydrous conditions for 24 h. It was quenched with ice and extracted with AcOEt. The combined organic layers were washed with 2 M aqueous solution of HCl, 10% aqueous solution of NaHCO3 and water until neutral pH was reached, dried (Na2SO4), filtered, and concentrated in vacuo to obtain 21a/21b (32 mg, 99%).
= +19.6 (c 0.08, CHCl3); IR υ 2940, 1742 (C=O), 1371, 1236, 1024; 1H-NMR (400 MHz, CDCl3) δ 7.41 (1H, s, H-20), 7.37 (1H, s, H-19), 6.39 (1H, bs, H-18), 5.80–5.75 (1H, m, H-16), 5.31 (1H, t, J = 7.3 Hz, H-14), 4.60–4.50 (1H, m, H-2′), 4.25–3.95 (2H, m, H-21), 3.95–3.45 (2H, m, H-6′), 2.80–2.50 (2H, m, H-15), 2.20–2.10 (4H, m, H-11, H-12), 2.04 (3H, s, MeCOO), 2.00–1.00 (17H, m), 1.57 (3H, s, Me-22), 0.93 (3H, s, Me-23), 0.88 (3H, s, Me-25), 0.82 (3H, s, Me-24); 13C-NMR (100 MHz, CDCl3) δ 170.3 (C), 143.1 (CH), 140.3 (C, CH), 140.2 (C), 126.0 (C), 123.5 (C), 122.5 (CH), 109.0 (CH), 97.8/97.6 (CH), 68.2 (CH), 64.2 (CH2), 62.1/61.9 (CH2), 51.9 (CH), 41.8 (CH2), 39.0 (C), 36.9 (CH2), 36.1 (CH2), 33.6 (CH2), 33.3 (C, CH3), 33.1 (CH2), 30.6 (CH2), 27.4 (CH2), 25.4 (CH2), 21.7 (CH3), 21.2 (CH3), 20.1 (CH3), 19.5 (CH3), 19.3 (CH2), 19.0 (CH2 - 2); HRMS (ESI) m/z calcd for C32H48O5Na (M + Na)+ 535.3394, found: 535.3381.
16(R,S)-Acetoxy-19,20-epoxy-luffara-8,13Z,17(20),18-tetraen-21-ol (22a/22b): To a solution of 21a/21b (65 mg, 0.13 mmol) in MeOH (12.2 mL) was added p-toluenesulfonic acid (8 mg, 0.04 mmol) and the reaction was stirred at rt for 4 h. It was added water and extracted with AcOEt. The combined organic layers were washed with water and brine, dried (Na2SO4), filtered, and concentrated in vacuo to afford 22a/22b (56 mg, 100%).
= +8.9 (c 0.17, CHCl3); IR υ 3468 (OH), 3134, 2928, 1739 (C=O), 1371, 1238, 1024; 1H-NMR (400 MHz, CDCl3) δ 7.41 (1H, s, H-20), 7.37 (1H, s, H-19), 6.39 (1H, bs, H-18), 5.80–5.75 (1H, m, H-16), 5.31 (1H, t, J = 7.3 Hz, H-14), 4.12 (1H, d, J = 14.0 Hz, HA-21), 4.11 (1H, d, J = 14.0 Hz, HB-21), 2.80–2.50 (2H, m, H-15), 2.20–2.10 (4H, m, H-11, H-12), 2.04 (3H, s, MeCOO), 2.00–1.00 (11H, m), 1.57 (3H, s, Me-22), 0.93 (3H, s, Me-23), 0.88 (3H, s, Me-25), 0.82 (3H, s, Me-24); 13C-NMR (100 MHz, CDCl3) δ 170.3 (C), 143.3 (CH), 142.9 (C), 140.3 (C, CH), 126.0 (C), 124.1 (C), 121.8 (CH), 108.8 (CH), 68.3 (CH), 60.1 (CH2), 51.8 (CH), 41.7 (CH2), 38.9 (C), 36.9 (CH2), 36.3 (CH2), 33.6 (CH2), 33.3 (C, CH3), 33.1 (CH2), 27.3 (CH2), 21.7 (CH3), 21.2 (CH3), 20.1 (CH3), 19.5 (CH3), 19.0 (CH2-2); HRMS (ESI) m/z calcd for C27H40O4Na (M + Na)+ 451.2819, found 451.2804.
16-(R,S)-Acetoxy-19,20-epoxy-luffara-8,13Z,17(20),18-tetraen-21-al (23a/23b): To a solution of 22a/22b (10 mg, 0.025 mmol) in DCM (1.4 mL) was added DMP (13 mg, 0.05 mmol). The reaction was stirred at rt for 30 min. It was added AcOEt and washed with 10% NaHCO3/10% Na2S2O3 1:1, dried (Na2SO4), filtered, and concentrated in vacuo to obtain 23a/23b (11 mg, 99%).
= +22.2 (c 0.1, CHCl3); IR υ 3136, 2929, 2868 (CHO), 2733, 1741 (C=O), 1678 (C=C), 1371, 1234, 1024; 1H-NMR (400 MHz, CDCl3) δ 10.07 (1H, s, H-21), 7.43 (1H, s, H-20), 7.41 (1H, s, H-19), 6.40 (1H, bs, H-18), 6.38 (1H, t, J = 8.4 Hz, H-14), 5.91 (1H, t, J = 6.6 Hz, H-16), 3.22–2.95 (2H, m, H-15), 2.20–2.00 (4H, m, H-11, H-12), 2.05 (3H, s, MeCOO), 2.00–1.00 (11H, m), 1.58 (3H, s, Me-22), 0.92 (3H, s, Me-23), 0.88 (3H, s, Me-25), 0.83 (3H, s, Me-24); 13C-NMR (100 MHz, CDCl3) δ 190.7 (C), 171.1 (C), 143.6 (CH), 143.4 (C), 141.3 (CH), 140.2 (CH), 139.8 (C), 126.7 (C), 123.8 (C), 108.6 (CH), 67.3 (CH), 51.9 (CH), 41.7 (CH2), 39.0 (C), 36.9 (CH2), 33.6 (CH2), 33.3 (C, CH3), 33.1 (CH2), 31.6 (CH2), 27.8 (CH2), 21.7 (CH3), 21.0 (CH3), 20.0 (CH3), 19.5 (CH3), 19.0 (CH2 - 2); HRMS (ESI) m/z calcd for C27H38O4Na (M + Na)+ 449.2662, found 449.2660.
16-(R,S)-Acetoxy-19,20-epoxy-luffara-8,13Z,17(20),18-tetraen-21-oic acid (24a/24b): To a solution of 23a/23b (8 mg, 0.019 mmol) in t-BuOH (0.25 mL) and 2-methyl-2-butene (51 μL), a solution of monobasic sodium phosphate (NaH2PO4, 10 mg) in water (0.1 mL) and 5% aqueous solution of NaClO2 (48 μL) were added. The reaction mixture was stirred at rt for 30 min. Then, water and 2 M aqueous solution of HCl were added. It was extracted with AcOEt and the combined organic layers were washed with water until neutral pH was reached, dried (Na2SO4), filtered, and concentrated in vacuo to afford 24a/24b (8 mg, 99%).
= +31.4 (c 0.5, CHCl3); IR υ 3500–2700 (COOH), 2924, 2855, 1744 (C=O), 1694 (C=O), 1645 (C=C), 1456, 1371, 1234, 1024; 1H-NMR (400 MHz, CDCl3) δ 7.43 (1H, s, H-20), 7.38 (1H, s, H-19), 6.40 (1H, bs, H-18), 5.98 (1H, t, J = 6.9 Hz, H-14), 5.89 (1H, t, J = 7.0 Hz, H-16), 3.15–3.00 (2H, m, H-15), 2.35–2.20 (4H, m, H-11, H-12), 2.06 (3H, s, MeCOO), 1.80–1.00 (11H, m), 1.56 (3H, s, Me-22), 0.92 (3H, s, Me-23), 0.87 (3H, s, Me-25), 0.82 (3H, s, Me-24); 13C-NMR (100 MHz, CDCl3) δ 171.8 (C), 170.1 (C), 143.1 (CH), 140.4 (CH), 139.3 (C), 138.3 (CH), 133.9 (C), 126.5 (C), 124.0 (C), 108.6 (CH), 67.8 (CH), 51.9 (CH), 41.8 (CH2), 39.0 (C), 36.9 (CH2), 35.1 (CH2), 34.5 (CH2), 33.6 (CH2), 33.3 (C, CH3), 27.8 (CH2), 21.7 (CH3), 21.1 (CH3), 20.1 (CH3), 19.5 (CH3), 19.0 (CH2-2); HRMS (ESI) m/z calcd for C27H38O5Na (M + Na)+ 465.2611, found 465.2604.
16-(R,S)-Hydroxy-19,20-epoxy-luffara-8,13Z,17(20),18-tetraen-21-oic acid (25a/25b): To a solution of 24a/24b (20 mg, 0.05 mmol) in MeOH (1.4 mL) was added anhydrous K2CO3 (14 mg, 0.1 mmol) and the mixture was reacted at rt for 7 h. Then, water and 0.01M aqueous solution of HCl were added until neutral pH was reached. It was extracted with AcOEt and the combined organic layers were washed with water until neutral pH was reached and brine, dried (Na2SO4), filtered, and concentrated in vacuo to obtain 25a/25b (20 mg, 100%). IR υ 3500–2700 (COOH), 2924, 2854, 1714 (C=O), 1456, 1377, 1261, 1026; 1H-NMR (400 MHz, CDCl3) δ 7.41 (1H, s, H-20), 7.40 (1H, s, H-19), 6.41 (1H, s, H-18), 6.08 (1H, t, J = 7.8 Hz, H-14), 4.85 (1H, t, J = 6.9 Hz, H-16), 2.95–2.85 (2H, m, H-15), 2.35–2.25 (4H, m, H-11, H-12), 2.05–1.00 (11H, m), 1.58 (3H, s, Me-22), 0.93 (3H, s, Me-23), 0.88 (3H, s, Me-25), 0.83 (3H, s, Me-24).
Methyl 16-oxo-19,20-epoxy-luffara-8,13Z,17(20),18-tetraen-21-oate (26): To a solution of 25a/25b (11 mg, 0.027 mmol) in DCM (0.5 mL) at 0 °C was added DMP (21 mg, 0.054 mmol). The reaction mixture was stirred under argon atmosphere at rt for 30 min. Then, it was added AcOEt and the organic layer was washed with 10% aqueous solution of Na2S2O3, dried (Na2SO4), filtered, and the solvent was partially removed under reduced pressure. The obtained acid was esterified directly: the crude was dissolved in C6H6/MeOH 1:1 (0.34 mL) and cooled to 0 °C. Under argon atmosphere TMSCHN2 (2.0 M in hexane; 27 μL, 0.054 mmol) was added dropwise. After 15 min the solvent was removed under reduced pressure to obtain 26 (9 mg, 89%). 1H-NMR (400 MHz, CDCl3) δ 8.14 (1H, s, H-20), 7.44 (1H, s, H-18), 6.80 (1H, s, H-19), 6.39 (t, J = 6.8 Hz, H-14), 4.05 (2H, d, J = 6.8 Hz, H-15), 3.77 (3H, s, COOMe), 2.35–2.25 (4H, m, H-11, H-12), 2.05–1.00 (11H, m), 1.57 (3H, s, Me-22), 0.93 (3H, s, Me-23), 0.88 (3H, s, Me-25), 0.83 (3H, s, Me-24).
Reduction of 26 (27 and 28): To a solution of 26 (40 mg, 0.096 mmol) in dry toluene (1.9 mL) under argon atmosphere at −78 °C, (S)-2-methyl-CBS-oxazaborolidine (1.0 M in toluene; 0.19 mL, 0.19 mmol) and borane dimethylsulfide (1.0 M in toluene; 0.19 mL, 0.19 mmol) was added. The reaction mixture was stirred at −30 °C for 20 h. It was quenched with MeOH (2 mL) and it was allowed to warm to room temperature. Then it was added water and Et2O and extracted with Et2O. The combined organic layers were washed with water and brine, dried (Na2SO4), filtered, and concentrated in vacuo. The resulting crude residue was purified with a column with Amberlyst 15 (NH4+) and after that, with a flash CC (hexane-AcOEt, 85:15) to obtain 27 (19 mg, 52%) and 28 (16 mg, 42%).
Methyl 16R-hydroxy-19,20-epoxy-luffara-8,13Z,17(20),18-tetraen-21-oate (27):
= +33.3 (c 0.2, CHCl3); IR υ 3466 (OH), 3134, 2928, 1717 (C=O),1647 (C=C), 1437, 1375, 1219, 1026; 1H-NMR (400 MHz, CDCl3) δ 7.40 (1H, s, H-20), 7.39 (1H, s, H-19), 6.41 (1H, bs, H-18), 6.00 (1H, t, J = 7.9 Hz, H-14), 4.83–4.78 (1H, m, H-16), 3.77 (3H, s, MeCOO), 2.87–2.83 (2H, m, H-15), 2.30 (2H, t, J = 8.7 Hz, H-12), 2.00–1.00 (13H, m), 1.57 (3H, s, Me-22), 0.93 (3H, s, Me-23), 0.88 (3H, s, Me-25), 0.83 (3H, s, Me-24); 13C-NMR (100 MHz, CDCl3) δ 168.9 (C), 143.2 (C), 139.7 (C), 138.9 (CH), 136.6 (CH), 135.6 (C), 128.9 (C), 126.6 (C), 108.5 (CH), 66.5 (CH), 51.8 (CH), 51.5 (CH3), 41.8 (CH2), 39.0 (C), 37.9 (CH2), 36.9 (CH2), 35.3 (CH2), 33.6 (CH2), 33.3 (C, CH3), 28.2 (CH2), 21.7 (CH3), 20.0 (CH3), 19.4 (CH3), 19.0 (CH2 - 2); HRMS (ESI) m/z calcd for C26H38O4Na (M + Na)+ 437.2662, found 437.2659.
19,20-Epoxy-luffara-8,13Z,17(20),18-tetraen-21,16R-olide (28):
= +56.0 (c 0.26, CHCl3); IR υ 2924, 2855, 1724 (C=O), 1464, 1377, 1117; 1H-NMR (400 MHz, CDCl3) δ 7.49 (1H, s, H-20), 7.42 (1H, s, H-19), 6.46 (1H, bs, H-18), 6.65–6.60 (1H, m, H-14), 5.39 (1H, dd, J = 4.1 and 11.0 Hz, H-16), 3.15–3.00 (2H, m, H-15), 2.50–1.00 (15H, m), 1.62 (3H, s, Me-22), 0.95 (3H, s, Me-23), 0.89 (3H, s, Me-25), 0.84 (3H, s, Me-24); 13C-NMR (100 MHz, CDCl3) δ 165.0 (C), 143.6 (CH), 139.9 (CH), 139.5 (C), 137.2 (CH), 133.8 (C), 126.9 (C), 124.0 (C), 108.6 (CH), 72.3 (CH), 51.9 (CH), 41.8 (CH2), 39.0 (C), 37.0 (CH2), 33.6 (CH2), 33.3 (C, CH3), 31.6 (CH2), 30.5 (CH2), 27.7 (CH2), 21.7 (CH3), 20.1 (CH3), 19.5 (CH3), 19.0 (CH2-2); HRMS (ESI) m/z calcd for C25H34O3Na (M + Na)+ 405.2400, found 405.2405.
Reduction of 27 and 28 (29): To a solution of 27 (14 mg, 0.034 mmol) in DCM (0.3 mL) under argon atmosphere, DIBAL-H (1.0 M in hexane; 0.2 mL, 0.2 mmol) was added dropwise. The mixture was reacted at rt for 90 min and then, AcOEt was added. It was quenched with a saturated aqueous solution of potassium sodium tartrate (1 mL), and it was stirred for 15 min. After that it was extracted with AcOEt and the combined organic layers were washed with 6% aqueous solution of NaHCO3, water and brine, dried (Na2SO4), filtered, and concentrated in vacuo. The resulting crude residue was purified by CC (hexane-AcOEt 9:1) to obtain 29 (11 mg, 85%).
To a solution of 28 (3 mg, 0.008 mmol) in DCM (0.22 mL) under argon atmosphere, DIBAL-H (1.0 M in hexane; 48 μL, 0.05 mmol) was added dropwise. The mixture was reacted at rt for 2.5 h and then, AcOEt was added. It was quenched with a saturated aqueous solution of potassium sodium tartrate (1 mL), and it was stirred for 15 min. After that it was extracted with AcOEt and the combined organic layers were washed with 6% aqueous solution of NaHCO3, water and brine, dried (Na2SO4), filtered, and concentrated in vacuo. The resulting crude residue was purified by CC (hexane-AcOEt 9:1) to obtain 29 (3 mg, 95%).
19,20-Epoxy-luffara-8,13Z,17(20),18-tetraene-16R,21-diol (29):
= +51.2 (c 0.37, CHCl3); IR υ 3345 (OH), 2928, 2866, 1456, 1161, 1024; 1H-NMR (400 MHz, CDCl3) δ 7.40 (2H, s, H-19, H-20), 6.41 (1H, s, H-18), 5.41 (1H, t, J = 7.9 Hz, H-14), 4.73 (1H, dd, J = 4.4 and 8.0 Hz, H-16), 4.20 (1H, d, J = 11.6 Hz, HA-21), 4.05 (1H, d, J = 11.6 Hz, HB-21), 2.60–2.50 (2H, m, H-15), 2.20–2.10 (4H, m, H-11, H-12), 2.00–1.00 (11H, m), 1.58 (3H, s, Me-22), 0.95 (3H, s, Me-23), 0.88 (3H, s, Me-25), 0.83 (3H, s, Me-24); 13C-NMR (100 MHz, CDCl3) δ 144.0 (C), 143.3 (CH), 140.1 (C), 138.9 (CH), 128.7(C), 126.1 (C), 123.0 (CH), 108.5 (CH), 66.0 (CH), 60.2 (CH2), 51.9 (CH), 41.8 (CH2), 39.0 (C), 37.1 (CH2), 37.0 (CH2), 36.3 (CH2), 33.6 (CH2), 33.3 (C, CH3), 27.4 (CH2), 21.7 (CH3), 20.1 (CH3), 19.5 (CH3), 19.0 (CH2-2); HRMS (ESI) m/z calcd for C25H38O3Na (M + Na)+ 409.2713, found 409.2695.
16R,20(R,S),21-Trihydroxy-luffara-8,13Z,17-trien-19,20-olide (30): To a solution of 29 (15 mg, 0.038 mmol) in DCM (5.6 mL), DIPEA (74 μL, 0.38 mmol) and Bengal Rose (1 mg) were added. After that, anhydrous oxygen was bubbled in for 10 min, the mixture was cooled to −78 °C and under oxygen atmosphere, it was irradiated by 200 W light for 5 h. Then, it was allowed to warm to room temperature and oxalic acid (5 mL) was added. The mixture was stirred for 30 min. Afterwards water was added and the mixture was extracted with DCM. The combined organic layers were washed with water, dried (Na2SO4), filtered, and concentrated in vacuo. The resulting crude residue was purified by flash CC (hexane-AcOEt; 1:1) to afford 30 (16 mg, 99%); IR υ 3308 (OH), 2924, 2851, 1748 (C=O), 1456, 1261, 1024; 1H-NMR (400 MHz, CDCl3) δ 6.17 (1H, s, H-20), 6.03 (1H, s, H-18), 5.45–5.35 (1H, m, H-14), 4.80–4.70 (1H, m, H-16), 4.25–4.00 (2H, m, H-21), 2.65-2.55 (2H, m, H-15), 2.20–2.10 (4H, m, H-11, H-12), 2.00–1.00 (11H, m), 1.56 (3H, s, Me-22), 0.94 (3H, s, Me-23), 0.88 (3H, s, Me-25), 0.83 (3H, s, Me-24); 13C-NMR (100 MHz, CDCl3) δ 167.8 (C), 167.7 (C), 144.0(C), 139.8 (C), 126.2 (C), 122.5 (CH), 117.8 (CH), 98.0 (CH), 68.1 (CH), 60.0 (CH2), 51.9 (CH), 42.0 (CH2), 39.0 (C), 37.4 (CH2), 36.7 (CH2), 33.7 (CH2), 33.6 (CH2), 33.3 (C, CH3), 27.2 (CH2), 21.7 (CH3), 20.1 (CH3), 19.5 (CH3), 19.0 (CH2-2).
16R,21-Dihydroxy-luffara-8,13Z,17-trien-19,20-olide (Luffarin I (9)): To a solution of 30 (7 mg, 0.017 mmol) in absolute ethanol (1.1 mL) at 0 °C, NaBH4 (2 mg, 0.061 mmol) was added. After 5 min, water and 2 M aqueous solution of HCl was added. It was extracted with AcOEt and the combined organic layers were washed with water until neutral pH was reached and brine, dried (Na2SO4), filtered, and concentrated in vacuo. The resulting crude residue was purified by CC (hexane-AcOEt; 1:1) to obtain 9 (5 mg, 71%).
= +69.0 (c 0.51, CHCl3); IR υ 3387 (OH), 2926, 2866, 1780 (C=O), 1748, 1638 (C=C), 1456, 1026; 1H-NMR (400 MHz, CDCl3) δ 5.99 (1H, bs, H-18), 5.40 (1H, t, J = 8.1 Hz, H-14), 4.89 (2H, bs, H-20), 4.66 (1H, t, J = 5.9 Hz, H-16), 4.22 (1H, d, J = 11.6 Hz, HA-21), 4.14 (1H, d, J = 11.6 Hz, HB-21), 2.60–2.50 (2H, m, H-15 ), 2.20–2.00 (4H, m, H-11, H-12), 2.00–1.00 (11H, m), 1.57 (3H, s, Me-22), 0.94 (3H, s, Me-23), 0.88 (3H, s, Me-25), 0.83 (3H, s, Me-24); 13C-NMR (100 MHz, CDCl3) δ 173.6 (C), 172.3 (C), 145.1 (C), 139.7 (C), 126.4 (C), 121.8 (CH), 114.9 (CH), 71.3 (CH2), 67.4 (CH), 60.3 (CH2), 51.8 (CH), 41.7 (CH2), 39.0 (C), 37.6 (CH2), 37.0 (CH2), 35.1 (CH2), 33.6 (CH2), 33.3 (C, CH3), 27.3 (CH2), 21.6 (CH3), 20.1 (CH3), 19.5 (CH3), 19.0 (CH2 - 2); HRMS (ESI) m/z calcd for C25H38O4Na (M + Na)+ 425.2662, found 425.2671.
Supplementary files available. Copies of IR, HRMS, NMR spectra and study of C-16 stereochemistry of compound 29 using Mosher’s methodology are included.
4. Conclusions
The first synthesis of Luffarin I has been achieved from (−)-sclareol confirming its structure and absolute configuration as 5S, 10S, 16R. This methodology opens the way for the synthesis of other marine natural compounds of this class. The study of the antiproliferative activity of Luffarin I showed remarkable biological activity towards human cancer cell lines. A more detailed structure-activity relationship study may be necessary in order to establish the scope and limitations of the new scaffold. Experiments needed to validate the usefulness of this compound as potential anticancer drug are in progress and will be reported elsewhere.
Supplementary Files
Supplementary File 1Acknowledgments
The authors gratefully acknowledge the help of C. Raposo (MS) of Universidad de Salamanca; FSE, Junta de Castilla and León, BIO/SA74/13 for financial support. A.U. is grateful to the JCyL and FSE for his fellowship. J.M.P. thanks the EU Research Potential (FP7-REGPOT-2012-CT2012-31637-IMBRAIN), the European Regional Development Fund (FEDER), and the Spanish Instituto de Salud Carlos III (PI11/00840) for financial support. G.B.P. thanks Fundación CajaCanarias for a postgraduate grant.
Author Contributions
Basic idea of research was proposed by Pilar Basabe, Isidro S. Marcos and David Díez. The synthetic experiments were performed by Aitor Urosa. The biological studies were carried out by José M. Padrón and Gabriela B. Plata. Anna Lithgow collaborated with the characterization of new compounds.
Conflicts of Interest
The authors declare no conflict of interest.
References
- Ebada, S.S.; Lin, W.H.; Proksch, P. Bioactive sesterterpenes and triterpenes from marine sponges: Occurrence and pharmacological significance. Mar. Drugs 2010, 8, 313–346. [Google Scholar] [CrossRef] [PubMed]
- Braekman, J.C.; Daloze, D. Chemical defense in sponges. Pure Appl. Chem. 1986, 58, 357–364. [Google Scholar] [CrossRef]
- Wang, L.; Yang, B.; Lin, X.-P.; Zhou, X.-F.; Liu, Y. Sesterterpenoids. Nat. Prod. Rep. 2013, 30, 455–473. [Google Scholar] [CrossRef] [PubMed]
- Youssef, D.T.A.; Yamaki, R.K.; Kelly, M.; Scheuer, P.J. Salmahyrtisol a, a novel cytotoxic sesterterpene from the Red Sea Sponge Hyrtios erecta. J. Nat. Prod. 2002, 65, 2–6. [Google Scholar] [CrossRef] [PubMed]
- Villa, F.A.; Gerwick, L. Marine natural product drug discovery: Leads for treatment of inflammation, cancer, infections, and neurological disorders. Immunopharmacol. Immunotoxicol. 2010, 32, 228–237. [Google Scholar] [CrossRef] [PubMed]
- Wang, Q.-X.; Bao, L.; Yang, X.-L.; Liu, D.-L.; Guo, H.; Dai, H.-Q.; Song, F.-H.; Zhang, L.-X.; Guo, L.-D.; Li, S.-J.; et al. Ophiobolins p-t, five new cytotoxic and antibacterial sesterterpenes from the endolichenic fungus Ulocladium sp. Fitoterapia 2013, 90, 220–227. [Google Scholar]
- Kazlauskas, R.; Murphy, P.T.; Wells, R.J. Five new c26 tetracyclic terpenes from a sponge (Lendenfeldia sp.). Aust. J. Chem. 1982, 35, 51–59. [Google Scholar] [CrossRef]
- Marwaha, A.; Goel, R.K.; Mahajan, M.P. Pass-predicted design, synthesis and biological evaluation of cyclic nitrones as nootropics. Bioorg. Med. Chem. Lett. 2007, 17, 5251–5255. [Google Scholar] [CrossRef] [PubMed]
- Schumacher, M.; Juncker, T.; Schnekenburger, M.; Gaascht, F.; Diederich, M. Natural compounds as inflammation inhibitors. Genes Nutr. 2011, 6, 89–92. [Google Scholar] [CrossRef] [PubMed]
- Guerrero, M.D.; Aquino, M.; Bruno, I.; Terencio, M.C.; Paya, M.; Riccio, R.; Gomez-Paloma, L. Synthesis and pharmacological evaluation of a selected library of new potential anti-inflammatory agents bearing the γ-hydroxybutenolide scaffold: A new class of inhibitors of prostanoid production through the selective modulation of microsomal prostaglandin e synthase-1 expression. J. Med. Chem. 2007, 50, 2176–2184. [Google Scholar] [CrossRef] [PubMed]
- Butler, M.S.; Capon, R.J. The luffarins (a−z), novel terpenes from an Australian marine sponge, Luffariella geometrica. Aust. J. Chem. 1992, 45, 1705–1743. [Google Scholar] [CrossRef]
- Basabe, P.; Bodero, O.; Marcos, I.S.; Diez, D.; Blanco, A.; de Roman, M.; Urones, J.G. Yamaguchi-type lactonization as a key step in the synthesis of marine metabolites: (+)-luffalactone. J. Org. Chem. 2009, 74, 7750–7754. [Google Scholar] [CrossRef] [PubMed]
- Ruzicka, L.; Seidel, C.F.; Engel, L.L. Diterpenes.Liii. Oxidation of sclareol with potassium permanganate. Helv. Chim. Acta 1942, 25, 621–630. [Google Scholar] [CrossRef]
- Leite, M.A.F.; Sarragiotto, M.H.; Imamura, P.M.; Marsaioli, A.J. Absolute configuration of drim-9(11)-en-8-ol from aspergillus oryzae. J. Org. Chem. 1986, 51, 5409–5410. [Google Scholar] [CrossRef]
- Marcos, I.S.; Laderas, M.; Diez, D.; Basabe, P.; Moro, R.F.; Garrido, N.M.; Urones, J.G. Synthesis and absolute configuration of (−)-chrysolic acid and (+)-isofregenedol. Tetrahedron Lett. 2003, 44, 5419–5422. [Google Scholar] [CrossRef]
- Hua, S.-K.; Wang, J.; Chen, X.-B.; Xu, Z.-Y.; Zeng, B.-B. Scalable synthesis of methyl ent-isocopalate and its derivatives. Tetrahedron 2011, 67, 1142–1144. [Google Scholar] [CrossRef]
- Oppolzer, W.; Sarkar, T.; Mahalanabis, K.K. A simple alkylative 1,2-carbonyl transposition of cyclohexenones. Helv. Chim. Acta 1976, 59, 2012–2020. [Google Scholar] [CrossRef]
- Moriarty, R.M.; Hou, K.C. Α-hydroxylation of ketones using o-iodosylbenzoic acid. Tetrahedron Lett. 1984, 25, 691–694. [Google Scholar] [CrossRef]
- Carneiro, V.M.T.; Ferraz, H.M.C.; Vieira, T.O.; Ishikawa, E.E.; Silva, L.F., Jr. A ring contraction strategy toward a diastereoselective total synthesis of (+)-bakkenolide a. J. Org. Chem. 2010, 75, 2877–2882. [Google Scholar] [CrossRef] [PubMed]
- Davies, H.M.L.; Jin, Q. Intermolecular c-h activation at benzylic positions: Synthesis of (+)-imperanene and (−)-α-conidendrin. Tetrahedron: Asymmetry 2003, 14, 941–949. [Google Scholar] [CrossRef]
- Wakita, H.; Yoshiwara, H.; Nishiyama, H.; Nagase, H. Total synthesis of optically active m-phenylene pgi2 derivative: Beraprost. Heterocycles 2000, 53, 1085–1110. [Google Scholar] [CrossRef]
- Takeuchi, K.; Kohn, T.J.; Mais, D.E.; True, T.A.; Wyss, V.L.; Jakubowski, J.A. Development of dual-acting agents for thromboxane receptor antagonism and thromboxane synthase inhibition. 2. Design, synthesis, and evaluation of a novel series of phenyl oxazole derivatives. Bioorg. Med. Chem. Lett. 1998, 8, 1943–1948. [Google Scholar]
- Baker, S.R.; Clissold, D.W.; McKillop, A. Synthesis of leukotriene a4 methyl ester from d-glucose. Tetrahedron Lett. 1988, 29, 991–994. [Google Scholar] [CrossRef]
- Stumpp, M.C.; Schmidt, R.R. Synthesis of moenocinol. Tetrahedron 1986, 42, 5941–5948. [Google Scholar] [CrossRef]
- Dess, D.B.; Martin, J.C. A useful 12-i-5 triacetoxyperiodinane (the dess-martin periodinane) for the selective oxidation of primary or secondary alcohols and a variety of related 12-i-5 species. J. Am. Chem. Soc. 1991, 113, 7277–7287. [Google Scholar] [CrossRef]
- Boeckman, R.K., Jr.; Shao, P.; Mullins, J.J. The dess-martin periodinane: 1,1,1-triacetoxy-1,1-dihydro-1,2-benziodoxol-3(1H)-one. Org. Synth. 2000, 77, 141–152. [Google Scholar] [CrossRef]
- Commeiras, L.; Parrain, J.-L. Concise enantioselective synthesis of furocaulerpin. Tetrahedron: Asymmetry 2004, 15, 509–517. [Google Scholar] [CrossRef]
- Corey, E.J.; Bakshi, R.K.; Shibata, S. Highly enantioselective borane reduction of ketones catalyzed by chiral oxazaborolidines. Mechanism and synthetic implications. J. Am. Chem. Soc. 1987, 109, 5551–5553. [Google Scholar]
- Corey, E.J.; Helal, C.J. Reduction of carbonyl compounds with chiral oxazaborolidine catalysts: A new paradigm for enantioselective catalysis and a powerful new synthetic method. Angew. Chem. Int. Ed. 1998, 37, 1986–2012. [Google Scholar] [CrossRef]
- Meyer, M.P. Nonbonding interactions and stereoselection in the corey-bakshi-shibata reduction. Org. Lett. 2009, 11, 4338–4341. [Google Scholar] [CrossRef] [PubMed]
- Corey, E.J.; Roberts, B.E. Total synthesis of dysidiolide. J. Am. Chem. Soc. 1997, 119, 12425–12431. [Google Scholar] [CrossRef]
- Jones, T.K.; Mohan, J.J.; Xavier, L.C.; Blacklock, T.J.; Mathre, D.J.; Sohar, P.; Jones, E.T.T.; Reamer, R.A.; Roberts, F.E.; Grabowski, E.J.J. An asymmetric synthesis of mk-0417. Observations on oxazaborolidine-catalyzed reductions. J. Org. Chem. 1991, 56, 763–769. [Google Scholar]
- Corey, E.J.; Bakshi, R.K.; Shibata, S.; Chen, C.P.; Singh, V.K. A stable and easily prepared catalyst for the enantioselective reduction of ketones. Applications to multistep syntheses. J. Am. Chem. Soc. 1987, 109, 7925–7926. [Google Scholar] [CrossRef]
- Ohtani, I.; Kusumi, T.; Kashman, Y.; Kakisawa, H. High-field ft nmr application of mosher’s method. The absolute configurations of marine terpenoids. J. Am. Chem. Soc. 1991, 113, 4092–4096. [Google Scholar] [CrossRef]
- Dale, J.A.; Mosher, H.S. Nuclear magnetic resonance enantiomer regents. Configurational correlations via nuclear magnetic resonance chemical shifts of diastereomeric mandelate, O-methylmandelate, and α-methoxy-α-trifluoromethylphenylacetate (MTPA) esters. J. Am. Chem. Soc. 1973, 95, 512–519. [Google Scholar]
- de la Torre, M.C.; Garcia, I.; Sierra, M.A. An approach to furolabdanes and their photooxidation derivatives from r-(+)-sclareolide. J. Nat. Prod. 2002, 65, 661–668. [Google Scholar]
- Seco, J.M.; Quinoa, E.; Riguera, R. The assignment of absolute configuration by NMR. Chem. Rev. (Washington, DC, USA) 2004, 104, 17–117. [Google Scholar] [CrossRef]
- Seco, J.M.; Quinoa, E.; Riguera, R. 9-anthrylmethoxyacetic acid esterification shifts-correlation with the absolute stereochemistry of secondary alcohols. Tetrahedron 1999, 55, 569–584. [Google Scholar] [CrossRef]
- Ohtani, I.I.; Hotta, K.; Ichikawa, Y.; Isobe, M. Application of modified mosher’s method to α-aromatic secondary alcohols. Exception of the rule and conformational analyses. Chem. Lett. 1995, 513–514. [Google Scholar] [CrossRef]
- Kernan, M.R.; Faulkner, D.J. Regioselective oxidation of 3-alkylfurans to 3-alkyl-4-hydroxybutenolides. J. Org. Chem. 1988, 53, 2773–2776. [Google Scholar] [CrossRef]
- Sinhababu, A.K.; Borchardt, R.T. General method for the synthesis of phthalaldehydic acids and phthalides from O-bromobenzaldehydes via ortho-lithiated aminoalkoxides. J. Org. Chem. 1983, 48, 2356–2360. [Google Scholar] [CrossRef]
- Miranda, P.O.; Padron, J.M.; Padron, J.I.; Villar, J.; Martin, V.S. Prins-type synthesis and sar study of cytotoxic alkyl chloro dihydropyrans. ChemMedChem 2006, 1, 323–329. [Google Scholar] [CrossRef] [PubMed]
© 2015 by the authors; licensee MDPI, Basel, Switzerland. This article is an open access article distributed under the terms and conditions of the Creative Commons Attribution license (http://creativecommons.org/licenses/by/4.0/).