Next Article in Journal
Influence of Environmental Factors on the Paralytic Shellfish Toxin Content and Profile of Alexandrium catenella (Dinophyceae) Isolated from the Mediterranean Sea
Previous Article in Journal
Spasmolytic Effect of Caulerpine Involves Blockade of Ca2+ Influx on Guinea Pig Ileum
 
 
Font Type:
Arial Georgia Verdana
Font Size:
Aa Aa Aa
Line Spacing:
Column Width:
Background:
Article

Chemistry and Tumor Cell Growth Inhibitory Activity of 11,20-Epoxy-3Z,5(6)E-diene Briaranes from the South China Sea Gorgonian Dichotella gemmacea

1
Research Center for Marine Drugs, and Department of Pharmacology, School of Pharmacy, Second Military Medical University, 325 Guo-He Road, Shanghai 200433, China
2
Department of Urology, Changhai Hospital, Second Military Medical University, 168 Chang-Hai Road, Shanghai 200003, China
*
Authors to whom correspondence should be addressed.
These authors contributed equally to this work.
Mar. Drugs 2013, 11(5), 1565-1582; https://doi.org/10.3390/md11051565
Submission received: 1 March 2013 / Revised: 7 April 2013 / Accepted: 11 April 2013 / Published: 15 May 2013

Abstract

:
Eighteen new 11,20-epoxy-3Z,5E-dien briaranes, gemmacolides AA–AR (118), were isolated together with three known analogs, dichotellides F (19) and I (20), and juncenolide C (21), from the South China Sea gorgonian Dichotella gemmacea. The structures of the compounds were elucidated by detailed spectroscopic analysis and comparison with reported data. The absolute configuration was determined based on the ECD experiment. In the in vitro bioassay, compounds 13, 5, 6, 812, and 1419 exhibited different levels of growth inhibition activity against A549 and MG63 cell lines. Preliminary structure-activity analysis suggests that 12-O-isovalerate may increase the activity whereas 13- or 14-O-isovalerate may decrease the activity. Contribution of substitutions at C-2 and C-16 remains uncertain.

Graphical Abstract

1. Introduction

Briarane-type diterpenoids are a group of highly oxidized secondary metabolites reported from marine organisms, particularly from octocorals [1]. These metabolites are reported to have a wide spectrum of interesting biological activities, including cytotoxic, anti-inflammatory, antiviral, antifouling, insecticidal and immunomodulatory effects [1,2,3,4,5].
In the course of our ongoing screening for biologically active secondary metabolites from marine sources [6,7,8,9,10,11,12], we made several collections of the gorgonian Dichotella gemmacea off the coast of Beihai, China. Chemical investigation on the species led to the isolation and structure elucidation of nineteen new briaranes, namely gemmacolides G–Y, together with eight known analogues, praelolide, juncin O, junceellolide C, juncenolide D and J, and juncins R, S and U [10,11,12]. In the in vitro bioassays, these compounds exhibited different levels of growth inhibition activity against A549 and MG63 cells. In particular, gemmacolides J, V and Y were more active than the positive control adriamycin against A549 cells [10,12], demonstrating a potent activity in tumor cell growth inhibition. The interesting result encourages a systematic study on briarane diterpenoids regarding their chemistry and bioactivities. However, the structural complexity greatly challenged the total synthesis of such metabolites. Until now, only three papers reported the preliminary synthetic research on fragments of briarane diterpenoids [13,14,15,16]. Isolation of the compounds from natural sources is therefore a better choice for the chemical and biological study of such cluster of compounds. This promotes repeated collections of gorgonian D. gemmacea, a promising source of briarane diterpenoids. Our continuous investigation on the title animals led to the isolation and structure elucidation of eighteen new briaranes, namely gemmacolides AA–AR (118), and three known analogs, dichotellides F (19) and I (20) [5], and juncenolide C (21) [17] (Chart 1). The structures of the compounds were elucidated by detailed analysis of spectroscopic data and comparisons with reported data. The isolates were tested in vitro for their tumor cell growth inhibitory activities. A preliminary analysis was attempted on the structure-activity relationship. We herein report on the isolation, structure elucidation, and bioactivities of these compounds.
Chart 1. Structures of compounds 123.
Chart 1. Structures of compounds 123.
Marinedrugs 11 01565 g003

2. Results and Discussion

Freshly collected specimens of D. gemmacea were immediately frozen to −20 °C and stored at this temperature before extraction. The workup for the extraction and isolation of cembrane diterpenoids was basically performed as previously reported [10,11,12]. This common procedure yielded twenty-one pure compounds (121).
Gemmacolide AA (1), a white amorphous powder, had the molecular formula of C31H40O16 based on its HRESI-MS. The IR spectrum showed absorption bands of hydroxyl (3470 cm−1), a γ-lactone (1775 cm−1), and ester (1741 cm−1) functionalities. This observation was in agreement with the signals in the 13C NMR and DEPT spectra (Table 1) for ten sp2 carbon atoms (6 × OC = O, CH = CH, CH = C) at lower field and twenty one sp3 carbon atoms at higher field (1 × C, 2 × CH, 6 × CH3, 2 × OC, 6 × OCH, 3 × OCH2, 1 × OCH3), accounting for eight double bond equivalents (Table 1, Table 2). The remaining double bond equivalents were due to the presence of four rings in the molecule.
Table 1. 13C NMR data for gemmacolides AA–AI (19) a.
Table 1. 13C NMR data for gemmacolides AA–AI (19) a.
Position123456789
146.6, C46.6, C46.5, C46.5, C47.3, C46.4, C46.4, C46.4, C46.5, C
275.4, CH75.4, CH74.1, CH74.1, CH76.1, CH74.2, CH74.2, CH75.5, CH75.5, CH
3130.6, CH130.6, CH131.3, CH131.3, CH131.0, CH132.1, CH132.1, CH131.3, CH131.5, CH
4129.5, CH129.5, CH128.7, CH128.6,CH128.9, CH127.8, CH127.8, CH 128.5, CH128.3, CH
5141.3, C141.3, C140.3, C141.6, C141.3, C139.8, C139.8, C139.7, C138.7, C
6123.1, CH123.2, CH122.8, CH122.7, CH122.9, CH122.5, CH122.4, CH122.5, CH122.2, CH
778.9, CH78.9, CH78.9, CH79.0, CH79.0, CH78.7, CH78.7, CH78.7, CH78.3, CH
881.1, C81.0, C81.0, C80.9, C80.9, C81.0, C81.1, C81.0, C81.0, C
963.8, CH63.9, CH63.9, CH63.9, CH64.7, CH63.9, CH63.8, CH63.8, CH63.9, CH
1032.7, CH32.8, CH32.8, CH32.7, CH37.8, CH32.8, CH32.7, CH32.7, CH31.4, CH
1158.1, C58.2, C58.3, C58.2, C60.0, C58.4, C58.4, C58.3, C60.4, C
1273.2, CH72.7, CH72.9, CH72.9, CH29.2, CH272.8, CH73.3, CH72.8, CH75.2, CH
1366.5, CH66.4, CH66.5, CH66.5, CH25.1, CH266.5, CH66.7, CH66.4, CH67.4, CH
1473.9, CH73.9, CH73.8, CH73.4, CH74.6, CH73.6, CH73.7, CH73.6, CH75.9, CH
1514.3, CH314.4, CH314.5, CH314.5, CH314.4, CH314.5, CH314.5, CH314.5, CH314.6, CH3
1672.2, CH272.2, CH272.2, CH272.1, CH272.1, CH262.8, CH262.8, CH262.7, CH262.7, CH2
1744.2, CH44.2, CH44.2, CH44.2, CH44.1, CH44.1, CH44.1, CH44.1, CH44.0, CH
186.3, CH36.3, CH36.3, CH36.3, CH36.4, CH36.3, CH36.3, CH36.3, CH36.3, CH3
19175.2, C175.3, C175.3, C175.3, C175.7, C175.3, C175.2, C175.2, C175.3, C
2048.9, CH249.1, CH249.1, CH249.2, CH250.4, CH249.1, CH248.8, CH249.0, CH248.1, CH2
9-OAc170.2, C170.2, C170.2, C170.2, C170.3, C170.2, C170.2, C170.2, C170.2, C
21.5, CH321.5, CH321.5, CH321.6, CH321.6, CH321.5, CH321.5, CH321.5, CH321.5, CH3
R1171.9, C171.9, C169.7, C169.7, C166.5, C169.6, C169.5, C166.6, C166.8, C
61.1, CH261.1, CH221.2, CH320.6, CH360.6, CH221.3, CH320.5, CH360.9, CH260.9, CH2
172.2, C 172.4, C172.4, C
42.8, CH2 44.5, CH242.7, CH2
25.7, CH 25.6, CH25.7, CH
22.4, 2 × CH3 22.3, 2 × CH322.4, 2 × CH3
R2169.7, C171.8, C171.8, C171.9, C 171.9, C169.8, C171.9, C
20.9, CH343.5, CH243.5, CH243.5, CH2 43.4, CH220.6, CH343.3, CH2
25.7, CH25.7, CH24.9, CH 25.7, CH 25.6, CH
22.3, CH322.3, CH322.5, 2 × CH3 22.4, 2 × CH3 22.3, 2 × CH3
22.4, CH322.4, CH3
R3169.7, C169.7, C169.7, C169.7, C 169.8, C170.5, C169.7, C169.9, C
20.5, CH320.5, CH320.9, CH321.3, CH3 20.5, CH320.7, CH320.5, CH320.6, CH3
R4170.6, C170.6, C170.1, C172.3, C170.1, C170.5, C170.5, C170.2, C170.2, C
20.9, CH321.0, CH321.4, CH343.5, CH221.2, CH320.9, CH320.9, CH320.8, CH320.8, CH3
25.1, CH
22.3, 2 × CH3
R558.5, CH358.5, CH358.5, CH358.5, CH358.5, CH3172.1, C172.0, C172.0, C172.6, C
43.3, CH243.3, CH243.5, CH243.2, CH2
25.7, CH25.7, CH25.7, CH25.8, CH
22.5, 2 × CH322.4, 2 × CH322.5, 2 × CH322.4, 2 × CH3
a 100 MHz, in CDCl3, assignments made by DEPT, 1H-1H COSY, HSQC, and HMBC.
Table 2. 1H NMR data for gemmacolides AA–AF (16) a.
Table 2. 1H NMR data for gemmacolides AA–AF (16) a.
Position123456
25.70, d (9.5)5.70, d (9.5)5.57, ov5.52, ov5.68, d (9.6)5.61, ov
35.60, dd (10.4, 9.7)5.60, dd (10.2, 9.5)5.57, ov5.53, ov5.56, dd (10.6, 9.6)5.61, ov
46.33, d (10.4)6.33, d (10.2)6.29, d (10.7)6.28, d (10.1)6.30, d (10.6)6.29, ov
65.91, d (8.7)5.90, d (8.8)5.89, d (8.8)5.88, d (8.6)5.88, d (8.7)5.71, d (8.7)
74.99, d (8.7)4.98, d (8.8)4.99, d (8.8)5.01, d (8.6)4.97, d (8.7)4.97, d (8.7)
94.76, d (4.5)4.76, d (4.5)4.75, d (4.6)4.74, d (4.6)4.75, d (5.0)4.74, d (4.7)
103.63, d (4.5)3.62, d (4.5)3.61, d (4.6)3.61, ov3.14, d (5.0)3.61, ov
124.88, d (3.2)4.92, d (3.3)4.91, d (3.0)4.92, d (3.1)2.19, m4.91, d (3.3)
1.11, m
13β5.06, dd (3.2, 3.2)5.08, dd (3.3, 3.5)5.09, dd (3.0, 3.0)5.1, dd (3.1, 3.2)1.95, m5.08, dd (3.3, 3.2)
13α 1.74, m
145.17, d (3.2)5.17, d (3.5)5.21, d (3.0)5.26, d (3.2)4.86, br s5.22, d (3.2)
151.14, s1.14, s1.13, s1.13, s1.13, s1.14, s
16a4.51, d (15.1)4.51, d (14.8)4.49, d (14.7)4.5, d (14.4)4.47, d (14.9)5.42, d (15.7)
16b4.23, d (15.1)4.23, d (14.8)4.23, d (14.7)4.23, d (14.4)4.16, d (14.9)4.64, d (15.7)
172.31, q (7.1)2.30, ov2.30, q (7.1)2.31, q (6.9)2.27, q (7.1)2.30, q (7.0)
181.16, d (7.1)1.13, ov1.14, d (7.1)1.14, d (6.9)1.14, d (7.1)1.13, d (7.0)
20a3.60, d (2.4)3.60, d (2.0)3.61, ov3.60, ov3.49, br s3.61, ov
20b2.92, d (2.4)2.92, d (2.0)2.92, d (2.0)2.94, br s2.64, d (2.3)2.92, br s
8-OH 2.72, s
9-OAc2.19, s2.19, s2.19, s2.19, s2.16, s2.19, s
R14.13, d (16.9)4.13, d (16.8)1.94, s1.95, s4.53, d (15.7)1.95, s
4.00, d (16.9)4.00, d (16.8) 4.48, d (15.7)
2.32, ov
2.29, ov
2.13, m
0.98, d (6.5) (×2)
R22.16, s2.22, ov2.32, ov2.27, ov 2.30, ov (×2)
2.32, ov2.23, ov2.15, ov
2.17, m2.15, m2.04, m 2.16, m
1.01, d (6.5)1.01, d (6.6)0.99, d (6.5) (×2) 0.99, d (6.4) (×2)
0.99, d (6.5)0.99, d (6.6)
R31.94, s1.93, s1.95, s1.95, s 1.94, s
R42.08, s2.08, s2.06, s2.32, ov (×2)2.07, s2.10, s
2.15, m
0.99, d (6.6) (×2)
R53.46, s3.45, s3.45, s3.45, s3.42, s2.28, ov (×2)
2.13, m
0.99, d (6.4) (×2)
a 400 MHz, in CDCl3, assignments made by DEPT, 1H-1H COSY, HSQC, and HMBC; “ov” means overlapped signals.
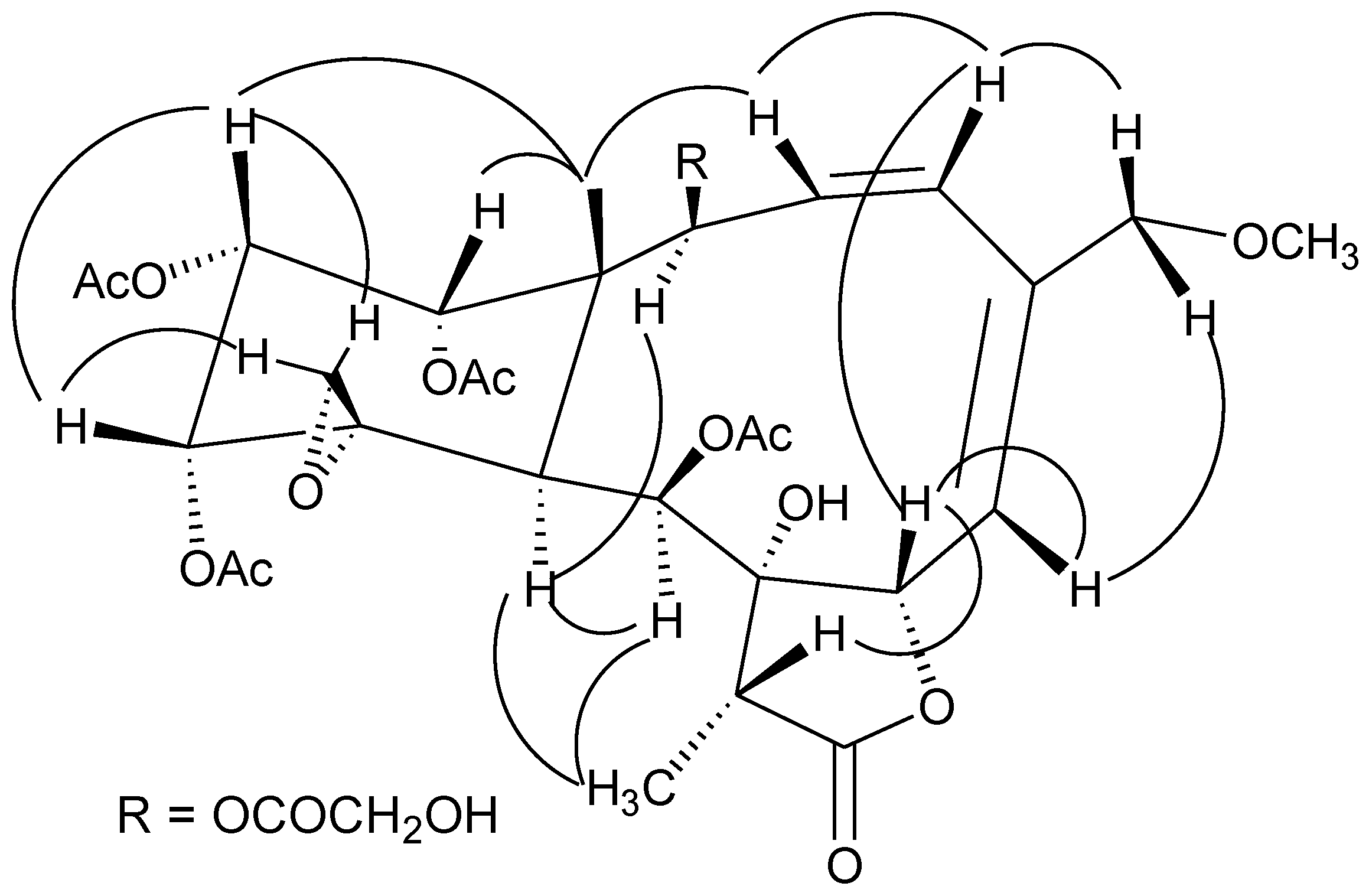
Analysis of the 1H and 13C NMR spectra of 1 (Table 1, Table 2) revealed a great similarity to those of gemmacolide N (22) [11]. An additional glycolyl group was observed. The location of the glycolyl group at C-2 was indicated by the distinct HMBC correlations of both H-2 and H-2′ with C-1′. The four acetyl groups were assigned at C-9, C-12, C-13 and C-14 due to the obvious HMBC correlations from the secondary alcohol protons to the respective ester carbonyl groups. The established planar structure of 1 was further supported by the COSY and HMBC spectra as shown in Figure 1. The relative configuration of 1 at the chiral centers was proved the same as that of juncenolide D (23) by a NOESY experiment (Figure 2), showing a β configuration of H-7, H-12, H-13, H-14, Me-15, H-17, and CH2-20, and an α configuration of H-2, H-9, H-10, and Me-18. The geometry of the Δ3 double bond was assigned as Z based on the proton coupling constant between H-3 and H-4 (J = 10.4 Hz) while that of Δ5 was determined as E due to the NOESY correlation between H-6 and H2-16. The relative configuration of 1 was thus determined as (1S*,2S*,7S*,8S*,9S*,10S*,11R*,12R*,13R*,14R*,17R*).
Figure 1. Key HMBC (arrow) and COSY (bond) correlations for compound 1.
Figure 1. Key HMBC (arrow) and COSY (bond) correlations for compound 1.
Marinedrugs 11 01565 g001
Figure 2. Key NOESY correlations for compound 1.
Figure 2. Key NOESY correlations for compound 1.
Marinedrugs 11 01565 g002
As gemmacolide AA (1) contained the same lactone and diene chromophores as gemmacolide N (22) and they differed only in the nature of the ester group at C-2 and the R3, the ECD spectrum of gemmacolide N could therefore be used as an ECD reference for the configurational assignment of gemmacolide AA (1) and analogues. Since the absolute configuration of gemmacolide N had been unambiguously determined by a TDDFT calculation of its solution ECD spectrum [11], the absolute configuration of 1 was then suggested as (1S,2S,7S,8S,9S,10S,11R,12R,13R,14R,17R) due to the congruent ECD curves for 1 and that of gemmacolide N. The assignment of the absolute configuration was in agreement with that of dichotellide T, an analogue recently isolated from the same species of animals with its absolute stereochemistry being determined by X-ray single crystal diffraction analysis [5].
Gemmacolide AB (2) was obtained as a white amorphous powder with the molecular formula of C34H46O16 being established by HRESI-MS. The structure of 2 differed from that of 1 by the presence of an isovaleryl group instead of an acetyl group at C-12 (Table 1, Table 2). The assignment of the isovalerate ester at C-12 was indicated by the HMBC correlations from both H-12 and H-2″ to the isovaleryl carbonyl carbon. The structure of 2 was thus determined. Its absolute configuration was proved the same as that of 1 on the basis of their similar ECD spectrum.
Gemmacolide AC (3) was isolated as a white amorphous powder, had a molecular formula of C34H46O15 as deduced from its HRESI-MS. Its 1H and 13C NMR spectra data (Table 1, Table 2) were similar to those of 2 with the only difference of the glycolyl group at C-2 in 2 being replaced by an acetyl group in 3. The location of the acetyl group at C-2 was confirmed by the HMBC correlations of H-2 with C-1′. Its absolute configuration was proved the same as that of 2 based on their similar ECD spectrum.
Gemmacolide AD (4) was isolated as a white amorphous powder. Its molecular formula was established as C37H52O15 by HRESI-MS. 1H and 13C NMR spectra data of 4 (Table 1, Table 2) greatly resembled to those of 3 except that the acetyl group at C-14 in 3 was replaced by an isovaleryl group in 4. The location of the two isovalery groups at C-12 and C-14 were indicated by the HMBC correlations from both H-12 and H-14 to the isovaleryl carbonyl carbon. The established structure of 4 was further supported by detailed analysis of its 2D NMR data. Its absolute configuration was proven the same as that of 3 based on their similar ECD spectrum.
Gemmacolide AE (5) was isolated as a white amorphous powder. The molecular formula C32H44O13 was established by the HRESI-MS. Comparison of overall 1H and 13C NMR spectra data (Table 1, Table 2) of 5 with those of 19 revealed great similarity. However, signals for two acetyl groups in 19 were disappeared in 5. The de-acetyl groups were found to be CH2-12 and CH2-13 based on the proton sequence from H2-12 to H-14 as deduced from the 1H-1H COSY experiment. The relative configuration for other chiral centers remained intact due to the NOESY experiment. The ECD experiment suggested (−)-(1R,2S,7S,8S,9S,10S,11R,14S,17R) absolute configuration for compound 5.
Gemmacolide AF (6) was isolated as a white amorphous powder. The molecular formula C38H52O16 was established by the HRESI-MS. 1H and 13C NMR spectra of 6 (Table 1, Table 2) were similar to those of compound 3 except that oxygenated methyl group in 3 was replaced by an isovaleryl group in 6. Two isovaleryl groups were attached at C-12 and C-16 due to the HMBC correlations. The relative and absolute configuration of 6 was proved the same as that of 3 by the analysis of NOESY and ECD spectra.
Gemmacolide AG (7), a white amorphous powder, showed a molecular formula of C35H46O16 in the HRESI-MS. 1H and 13C NMR spectroscopic data of 7 were almost identical to those of 6 (Table 1, Table 3) except for the replacement of the 12-isovaleryl group in 6 by an acetyl group in 7. The absolute structure of 7 was proved the same as that of 6 by the analysis of NOESY and ECD spectra.
Table 3. 1H NMR data for gemmacolides AG-AL (712) a.
Table 3. 1H NMR data for gemmacolides AG-AL (712) a.
Position789101112
25.61, ov5.67, ov5.78, d (9.9)5.58, d (9.9)5.7, d (9.9)5.64, d (9.7)
35.61, ov5.62, dd (10.0, 9.9)5.61, dd (9.9, 10.3)5.60, dd (10.1, 9.9)5.6, dd (9.9, 10.3)5.60, dd (9.7, 9.8)
46.29, br s6.34, d (10.4)6.32, d (10.3)6.40, d (10.1)6.40, d (10.3)6.33, d (9.8)
65.71, d (8.6)5.69, ov5.65, ov6.06, d (8.4)5.9, d (8.6)5.89, d (8.7)
74.97, d (8.6)4.96, d (9.0)4.96, ov4.95, d (8.4)4.99, d (8.6)4.98, d (8.7)
94.74, d (4.4)4.74, d (4.7)4.74, d (4.8)4.74, d (4.7)4.74, d (4.8)4.75, d (4.5)
103.61, ov3.61, d (4.7)3.6, ov3.59, ov3.62, d (4.8)3.62, d (4.5)
124.86, br s4.91, d (3.0)3.45, br s4.91, d (3.2)4.9, d (3.4)4.89, d (3.1)
13β5.08, dd (3.0, 2.8)5.08, dd (3.0, 2.8)4.97, ov5.08, dd (3.3, 3.2)5.08, dd (3.4, 3.5)5.09, dd (3.1, 3.0)
145.22, br s5.20, d (2.8)5.30, br s5.18, d (3.3)5.16, d (3.5)5.17, d (3.0)
151.14, s1.13, s1.13, s1.13, s1.13, s1.13, s
16a5.45, d (15.6)5.42, d (15.6)5.46, d (15.6)4.68, d (16.2)4.5, d (14.7)4.53, d (15.3)
16b4.64, d (15.6)4.59, d (15.6)4.56, d (15.6)4.45, ov4.25, d (14.7)4.11, d (15.3)
172.31, q (7.0)2.30, q (6.9)2.28, q (6.9)2.30, q (7.0)2.31, q (6.9)2.29, q (6.9)
181.15, d (7.0)1.13, d (6.9)1.13, d (6.9)1.14, d (7.0)1.15, d (6.9)1.15, d (6.9)
20a3.61, ov3.60, ov3.60, br s3.59, ov3.60, d (2.6)3.60, d (2.1)
20b2.92, br s2.93, d (2.2)2.76, d (2.1)2.93, d (1.4)2.97, d (2.6)2.92, d (2.1)
9-OAc2.19, s2.19, s2.19, s2.18, s2.19, s2.18, s
R11.95, s4.52, d (15.6)4.52, d (15.6)4.54, d (15.7)4.15,d (16.9)4.53, d (15.7)
4.43, d (15.6)4.42, d (15.6)4.44, d (15.7)4.0, d (16.9)4.43, d (15.7)
2.28, ov (×2)2.28, ov (×2)2.29, ov (×2) 2.28, ov (×2)
2.16, m2.13, m2.13, m 2.15, ov
0.98, ov (×2)0.99, d (6.5) (×2)0.98, ov (×2) 0.98, ov (×2)
R22.16, s2.35, ov (×2) 2.32, ov2.16, s2.14, s
2.23, ov
2.16, m 2.17, m
0.98, ov (×2) 1.00, ov (×2)
R31.95, s1.94, s2.03, s1.94, s2.2, ov2.09, ov (×2)
2.08, ov1.99, ov
1.97, m0.92, d (6.5)
0.9, d (6.5) (×2)0.91, d (6.5)
R42.10, s2.10, s2.13, s2.07, s2.06, s2.05, s
R52.3, ov (×2)2.26, ov (×2)2.28, ov (×2) 3.45, s3.44, s
2.05, m2.16, m2.13, m
0.99, d (6.6) (×2)0.98, ov (×2)0.99, d (6.6) (×2)
a 400 MHz, in CDCl3, assignments made by DEPT, 1H-1H COSY, HSQC, and HMBC; “ov” means overlapped signals.
Gemmacolide AH (8) was isolated as a white amorphous powder with the molecular formula of C43H60O18 being established by HRESI-MS. Its 1H and 13C NMR spectra data (Table 1, Table 3) were similar to those of 6 with the only difference of the acetyl group at C-2 in 6 being replaced by an isovaleric acetyl group in 8. This assignment was clearly indicated by the long range correlation from both H2-4′ and H2-2′ to C-3′, and from both H-2 and H2-2′ to C-1′. The relative configuration of all the chiral centers remained intact, which was supported by a NOESY experiment. The absolute configuration of 8 was obtained based on the ECD experiment.
Gemmacolide AI (9), a white amorphous powder, had a molecular formula of C38H52O17 as deduced from its HRESI-MS. 1H and 13C NMR spectra of 9 (Table 1, Table 3) showed similarity to those of compound 8. The isovaleryl group in at C-12 in 8 was replaced by a hydroxy group in 9. This conclusion was supported by extensive 2D NMR analysis. Its ECD spectrum indicated the same absolute configuration as that of 8.
Gemmacolide AJ (10) had a molecular of C38H51O16Cl as established by HRESI-MS. An isotopic ratio of 3:1 observed in the molecular ion peak at m/z 821/823 ([M + Na]+) confirmed the appearance of a chlorine atom in the molecule. 1H and 13C NMR spectra of 10 closely resembled those of 8 (Table 3, Table 4), except for the absence of the signals of one isovaleryl group. This fact together with the up-field shifted signal of C-16 in the 13C NMR spectra (δC 72.0, t in 4 and 44.2, t in 10) led to the location of chlorine atom at C-16 [14]. The structure of 10 was thus determined. Its relative and absolute stereochemistry was proved the same as that of 8 by NOESY and ECD measurements.
Table 4. 13C NMR data for gemmacolides AJ–AR (1018) a.
Table 4. 13C NMR data for gemmacolides AJ–AR (1018) a.
Position10 b11 b12 b13 b14 c15 b16 d17 b18 b
146.5, C46.6, C46.5, C46.5, C46.5, C46.5, C46.5, C46.5, C46.5, C
275.3, CH75.4, CH75.4, CH75.2, CH75.2, CH75.5, CH75.2, CH75.5, CH74.1, CH
3131.1, CH130.6, CH129.4, CH131, CH131.1, CH131.5, CH131.1, CH131.3, CH132.1, CH
4129.0, CH129.5, CH130.5, CH129, CH129.1, CH128.5, CH129.0, CH129.5, CH127.8, CH
5139.9, C141.3, C141.6, C139.9, C139.7, C139.5, C144.3, C144.7, C139.9, C
6126.0, CH123.2, CH122.6, CH125, CH126.3,CH122.8, CH126.2, CH123.4, CH122.8, CH
778.5, CH78.9, CH79.0, CH78.5, CH78.5, CH78.7, CH78.5, CH78.7, CH78.7, CH
880.9, C81.0, C81.1, C81.1, C81.0, C81.0, C80.0, C81.1, C80.2, C
963.7, CH63.8, CH63.9, CH63.9, CH63.6, CH63.8, CH63.5, CH63.8, CH63.8, CH
1032.7, CH32.7, CH32.7, CH32.1, CH32.6, CH32.7, CH31.6, CH32.7, CH32.6, CH
1158.3, C58.2, C58.2, C58.2, C58.1, C58.3, C58.0, C58.4, C58.5, C
1272.7, CH73.2, CH73.2, CH73.2, CH73.0, CH72.7, CH73.1, CH73.3, CH73.3, CH
1366.3, CH66.2, CH66.3, CH66.3, CH66.4, CH66.2, CH66.3, CH66.5, CH66.6, CH
1473.6, CH74.0, CH73.9, CH73.9, CH73.8, CH73.8, CH73.3, CH73.4, CH73.3, CH
1514.4, CH314.4, CH314.4, CH314.4, CH314.3, CH314.4, CH314.7, CH314.5, CH314.5, CH3
1644.2, CH272.2, CH272.0, CH244.2, CH244.5, CH262.8, CH244.4, CH263.2, CH263.2, CH2
1744.0, CH44.2, CH44.2, CH44.0, CH44.0, CH44.1, CH43.2, CH44.1, CH44.1, CH
186.3, CH36.3, CH36.3, CH36.9, CH36.3, CH36.3, CH36.3, CH36.3, CH36.3, CH3
19175.0, C175.6, C175.2, C175.2, C174.9, C175.2, C175.1, C175.3, C175.2, C
2049.0, CH248.9, CH248.9, CH248.9, CH249.8, CH249.0, CH249.0, CH249.1, CH249.0, CH2
9-OAc170.1, C170.3, C170.2, C170.2, C170.1, C170.1, C170.2, C170.3, C170.2, C
21.5, CH321.5, CH321.5, CH321.5, CH321.5, CH321.6, CH321.5, CH321.6, CH321.5, CH3
R1167.0, C171.9, C166.6, C166.6, C172.2, C172.0, C172.8, C170.7, C169.4, C
60.8, CH261.2, CH260.9, CH260.9, CH261.1, CH261.2, CH261.1, CH221.5, CH321.3, CH3
172.4, C 172.4, C172.4, C
42.7, CH2 42.8, CH242.7, CH2
25.6, CH 25.7, CH25.7, CH
22.3, 2 × CH3 22.4, 2 × CH322.4, 2 × CH3
R2171.8, C169.6, C169.6, C169.6, C169.7, C171.8, C169.8, C169.9, C169.9, C
43.6, CH221.5, CH320.9, CH320.9, CH320.9, CH343.4, CH221.3, CH321.1, CH320.8, CH3
25.7, CH 25.7, CH
22.4, 2 × CH3 22.4, 2 × CH3
R3169.7, C171.8, C171.7, C171.7, CH171.4, C171.7, C169.7, C169.9, C169.8, C
20.5, CH342.6, CH242.6, CH242.6, CH244.5, CH242.6, CH220.5, CH321.1, CH320.6, CH3
25.0, CH25.0, CH25.0, CH25.7, CH25.0, CH
22.3, 2 × CH322.5, CH322.4, 2 × CH322.4, CH322.3, 2 × CH3
22.4, CH3 22.3, CH3
R4170.3, C170.4, C170.0, C170.0, C170.6, C170.9, C172.4, C172.4, C172.5, C
20.8, CH321.0, CH320.8, CH320.8, CH320.8, CH320.9, CH342.6, CH243.1, CH243.1, CH2
25.0, CH25.1, CH25.1, CH
22.3, 2 × CH322.5, CH322.5, CH3
22.4, CH322.4, CH3
R5 58.5, CH358.5, CH3 172.2, C 170.0, C
43.3, CH2 21.0, CH3
25.6, CH
22.5, 2 × CH3
a In CDCl3, assignments made by DEPT, 1H-1H COSY, HSQC, and HMBC; b Measured at 100 MHz; c Measured at 125 MHz; d Measured at 150 MHz.
Gemmacolide AK (11), a white amorphous powder, displayed the molecular formula of C34H46O16 in the HRESI-MS. Its 1H and 13C NMR spectra data (Table 3, Table 4) showed great similarity to those of 2. However, the substitutions of isovaleric acetyl group at C-12 and acetyl group at C-13 in 2 had to be interchanged in 11 based on the HMBC experiment. The relative configuration for all chiral centers remained intact due to the NOEY experiment. Its absolute configuration was proved the same as that of 2 due to their similarity in ECD spectrum.
Gemmacolide AL (12) was isolated as a white amorphous powder, had a molecular of C39H54O17 as established by HRESI-MS. 1H and 13C NMR spectroscopic data of 12 were almost identical to those of 11 (Table 3, Table 4) except for the replacement of glycolyl group by the isovaleric acetyl. Detailed analysis of 1H-1H COSY and HMBC spectra clarified the isovaleric acetyl at C-2. The structure of 12 was thus determined, showing the same relative and absolute configuration as that of 11, as further confirmed by the NOESY and ECD experiments.
Gemmacolide AM (13) was isolated as a white amorphous powder. The molecular formula C38H51ClO16 was established by the HRESI-MS. Its 1H and 13C NMR spectra data (Table 4, Table 5) closely resembled to those of 10. The substitutions of isovaleric acetyl group at C-12 and acetyl group at C-13 in 10 had to be interchanged in 13 due to the detailed analysis on the HMBC spectra. NOESY and ECD experiments led to the same absolute configuration for both compounds.
Table 5. 1H NMR data for gemmacolides AM–AR (1318) a.
Table 5. 1H NMR data for gemmacolides AM–AR (1318) a.
Position13 b14 c15 b16 d17 b18 b
25.57, d (9.6)5.64, ov5.73, d (9.8)5.6, d (9.6)5.61, ov5.54, d (9.7)
35.65, dd (9.6, 10.3)5.65, ov5.63, dd (10.3, 9.8)5.65, dd (9.6, 10.3)5.60, ov5.60, dd (9.7, 10.3)
46.40, d (10.3)6.41, d (8)6.33, d (10.3)6.40, d (10.3)6.35, d (8.5)6.29, d (10.3)
66.06, d (8.6)6.07, d (8.6)5.73, ov6.07, d (8.6)5.81, d (8.5)5.75, d (8.5)
74.95, d (8.6)4.94, d (8.6)4.96, d (8.5)4.93, d (8.6)4.96, d (8.5)4.97, d (8.5)
94.74, d (4.7)4.75, d (4.5)4.75, d (4.5)4.74, d (4.7)4.74, d (4.8)4.74, d (4.8)
103.61, ov3.61, ov3.62, d (4.5)3.61, ov3.60, d (4.8)3.61, d (4.8)
124.96, d (3.0)4.92, d (3.4)4.92, d (3.3)4.88, br s4.89, d (3.3)4.88, d (3.2)
13β5.08, dd (3.0, 3.1)5.23, dd (3.4, 3.5)5.09, dd (3.2, 3.3)5.08, dd (3.2, 3.3)5.10, dd (3.3, 3.3)5.09, dd (3.2, 3.0)
145.16, d (3.1)5.18, d (3.5)5.19, d (3.2)5.21, br s5.28, d (3.3)5.26, d (3.0)
151.13, s1.14, s1.15, s1.13, s1.14, s1.14, s
16a4.67, d (13.6)4.67, d (13.5)5.46, d (15.6)4.65, d (13.8)4.49, br s5.31, d (16.1)
16b4.47, d (13.6)4.54, d (13.5)4.62, d (15.6)4.57, d (13.8)4.49, br s4.72, d (16.1)
172.31, ov2.3, ov2.30, ov2.31, ov2.30, ov2.31, q (7.1)
181.13, d (6.9)1.14, d (6.9)1.14, ov1.14, d (7.2)1.15, ov1.15, ov
20a3.60, ov3.60, ov3.60, ov3.60, ov3.63, br s3.60, br s
20b2.94, d (2.2)2.94, d (2.0)2.94, br s2.95, br s2.93, br s2.93, br s
9-OAc2.19, s2.19, s2.19, s2.19, s2.20, s2.19, s
R14.54, d (15.6)4.17, d (16.8)4.12, d (15.2)4.15, d (16.8)1.98, s1.94, s
4.44, d (15.6)4.02, d (16.8)3.99, d (15.2)4.06, d (16.8)
2.28, ov (×2)
2.10, ov
0.99, d (6.5) (×2)
R22.16, s2.16, s2.31, ov (×2)2.16, s2.17, s2.13, s
2.16, ov
0.99, ov (×2)
R32.32, ov2.08, ov (×2)2.06, ov (×2)1.95, s1.95, s1.95, s
2.25, ov
1.99, ov1.99, ov1.99, ov
0.90, d (6.0)0.91, d (6.5)0.99, d (6.7)
0.93, d (6.0)0.90, d (6.5)0.99, d (6.7)
R42.07, s2.09, s2.12, s2.3, ov (×2)2.31, ov2.29, ov
2.18, ov2.21, ov
2.1, ov2.11, ov2.09, ov
0.99, d (6.6)1.00, d (6.8)0.99, d (6.8)
0.99, d (6.6)0.98, d (6.8)0.97, d (6.8)
R5 2.29, ov (×2) 2.17, s
2.18, ov
0.99, ov (×2)
a In CDCl3, assignments made by DEPT, 1H-1H COSY, HSQC, and HMBC; “ov” means overlapped signals; b Measured at 400 MHz; c Measured at 500 MHz; d Measured at 600 MHz.
Gemmacolide AN (14) was obtained as a white amorphous powder with the molecular formula of C33H43ClO15 being established by HRESI-MS. The structure of 14 was similar to those of 13 with the only difference of the isovaleric acetyl at C-2 in 13 being replaced by a glycolyl group in 14 (Table 4, Table 5). The location of the glycolyl group at C-2 was confirmed by the HMBC correlations of both H-2′ and H-2 with C-1′. The structure of 14 was thus determined. Its absolute configuration was proved the same as that of 13 based on their similar ECD spectra data.
Gemmacolide AO (15) was obtained as a white amorphous powder and exhibited a molecular formula of C41H58O17 as deduced from its HRESI-MS. 1H and 13C NMR spectra of 15 were similar to those of 6. However, two of the acetyl groups in 6 were replaced by a glycolyl at C-2 and an isovaleryl group at C-13 in 15 (Table 4, Table 5). The planar and relative structure of 15 was confirmed by extensive 2D NMR analysis and correlations with co-isolated analogues. Its ECD spectrum suggested the same absolute configuration as that of 6.
Gemmacolide AP (16) was isolated as a white amorphous powder, had a molecular of C33H43ClO15 as established by HRESI-MS. 1H and 13C NMR spectroscopic data of 16 were almost identical to those of 14 (Table 4, Table 5). Detailed analysis of 1H-1H COSY and HMBC spectra indicated an interchangeable acetyl group and isovaleryl group in 16 with respected to those in 14. Their absolute configuration was proven the same based on NOESY and ECD experiment.
Gemmacolide AQ (17) was isolated as a white amorphous powder, showed a molecular formula of C33H44O15 as deduced from its HRESI-MS. 1H and 13C NMR spectroscopic data of 17 were almost identical to those of 3 (Table 4, Table 5), showing a similar substituted functionalities with the exception of the disappearance of the signals for the oxygenated methyl group. The isovaleryl group, however, was proven to be attached to C-14 instead of C-12 based on the analysis of 1H-1H COSY and HMBC spectra. The structure of 17 was then determined, having the same relative and absolute stereochemistry as that of 3 due to the NOESY and ECD measurements.
Gemmacolide AR (18) was found to be a white amorphous powder, having the molecular formula of C35H46O16 based on the HRESI-MS. 1H and 13C NMR spectra of 18 resembled to those of compound 17 except for the appearance of an additional acetyl group (Table 4, Table 5). The five acetyl groups were thus assigned to C-2, C-9, C-12, C-13, and C-16, which was supported by the 1H-1H COSY and HMBC experiments. The replacement of the hydroxyl group by an acetoxyl group at C-16 was further supported by the remarkable downfield proton signal of H2-16 from δH 4.47 (2H, br s) in 17 to in 18 δH 5.31, 4.72 (each d, J = 16.0 Hz). The relative and absolute configuration of 18 was also proved the same as those of 17 by the NOESY and ECD experiments.
All the compounds were evaluated for their tumor cell growth inhibition activity towards tumor cell lines A549 and MG63 [18]. In the in vitro bioassays, compounds 13, 5, 6, 812, and 1419 exhibited different level of growth inhibition against tested tumor cells whereas compounds 4, 7, 13, 20, and 21 were not active (Table 6). Compound 8 showed potent growth inhibition towards both tumor cell lines, being similar as that of positive control adriamycin. This observation, when comparing with the activity of 9 and 20, showed a positive contribution of the 12-O-isovalerate to the activity as described previously [10,11]. The increased activity of 6 with respect to that of 7 further supported the above conclusion. The replacement of an acetyl group by an isovaleryl group at C-13 will marked decrease the activity as observed in 12 and 19, and 1 and 11 as well. The observation was in good agreement with the remarkably decreasing activity of 2 and 10 with respect to their 12,13-interchangeble analogues 11 and 13, respectively. Similar situation was also suggested for C-14 by comparing the activity of 3 and 21 with those 4 and 17, respectively. These facts suggested that 13- or 14-O-isovalerate may decrease the activity. As for the isovaleric acetyl substitution at C-2, 8 and 12 showed a marked increasing activity comparing with their 2-OAc or glycolyl analogues whereas 13 showed a marked decreasing activity comparing with its 2-glycolyl analogue. This observation led to somewhat confliction for the contribution of isovaleric acetyl or glycoly to the activity. This confliction was also observed for 16-substitutio when 16-OMe briaranes 11 and 12 compared with their 16-Cl analogues 14 and 13, respectively.
Table 6. Cytotoxic assay for compounds 121 (IC50 μM).
Table 6. Cytotoxic assay for compounds 121 (IC50 μM).
CompoundA549MG63CompoundA549MG63
114.728.712>37.837.8
219.422.813--
317.942.71413.412.1
4--1578.525.8
520.141.31610.117.7
627.433.01728.7>100.0
7--1816.8-
85.05.0199.714.9
927.737.520--
1039.99.121--
11-39.0Adriamycin2.83.2

3. Experimental Section

3.1. General Experimental Procedures

Commercial silica gel (Yantai, China, 200–300; 400–500 mesh) was used for column chromatography. Precoated silica gel plates (Yantai, China, HSGF-254) were used for analytical Thin Layer Chromatography (TLC). Spots were detected on TLC under UV or by heating after spraying with anisaldehyde-sulphuric acid reagent. The NMR spectra were recorded at 300 K on Bruker DRX 400 and Avance 600 spectrometers. Chemical shifts are reported in parts per million (δ), with use of the residual CDCl3 signal (δH = 7.27 ppm) as an internal standard for 1H NMR and CDCl3C = 77.02 ppm) for 13C NMR; Coupling constants (J) in Hz. 1H NMR and 13C NMR assignments were supported by 1H-1H COSY, HSQC, HMBC and NOESY experiments. The following abbreviations are used to describe spin multiplicity: s = singlet, d = doublet, t = triplet, m = multiplet, br s = broad singlet, br d = broad doublet, dd = doublet of doublets, ov = overlapped signals. Optical rotations were measured in CHCl3 on an Autopol IV polarimeter at the sodium D line (590 nm). Infrared spectra were recorded in thin polymer films on a Nexus 470 FT-IR spectrophotometer (Nicolet); peaks are reported in cm−1. UV absorption spectra were recorded on a Varian Cary 100 UV-Vis spectrophotometer; peaks wavelengths are reported in nm. Circular dichroism (CD) spectra were recorded on a JASCO J-715 CD Spectropolarimeter. The mass spectra and high resolution mass spectra were performed on a Q-TOF Micro mass spectrometer, resolution 5000. An isopropyl alcohol solution of sodium iodide (2 mg/mL) was used as a reference compound. Semi-preparative RP-HPLC was performed on an Agilent 1100 system equipped with a refractive index detector using an YMC Pack ODS-A column (particle size 5 μm, 250 × 10 mm).

3.2. Animal Material

The South China Sea gorgonian coral Dichotella gemmacea (ZS-3, 3.5 kg, wet weight and ZH-1, 10.0 kg, wet weight) were collected from the South China Sea, in August 2007 and December 2011, and identified by Dr. Xiu-Bao Li, South China Sea Institute of Oceanology, Chinese Academy of Sciences. The voucher specimens (ZS-3, ZH-1) were deposited in the Second Military Medical University.

3.3. Extraction and Isolation

The frozen animals of ZS-3 (3.5 kg, wet weight) were extracted ultrasonically for three times with acetone and MeOH, respectively. The combined residue was partitioned between H2O and EtOAc to afford 16.1 g of EtOAc extract. The EtOAc extract was further partitioned between MeOH and hexane, affording 11.2 g of MeOH soluble residue. The MeOH extract was subjected to column chromatography (CC) on silica to give 16 fractions, using hexane/acetone (from 100:0 to 0:100) as eluent. Fraction 4 was further fractionated by RP-silical gel column chromatography (gradient elution from MeOH/H2O, 3:7 to MeOH, in 5% increments) and purified by HPLC (MeOH/H2O, 80:20, 1.5 mL/min) to yield 8 (2.5 mg, 49.2 min). Fraction 5 was subjected to repeated CCs on normal phase silica gel, Sephadex LH-20, and RP-silical gel, to give two subfractions 5-A and 5-B. Subfraction 5-A was purified by HPLC (MeOH/H2O, 75:25, 1.5 mL/min) to yield 2 (3.1 mg, 22.6 min) while subfraction 5-B was split by HPLC (MeOH/H2O, 77:23, 1.5 mL/min) into 12 (0.8 mg, 38.2 min), 10 (4.5 mg, 47.7 min) and 15 (1.8 mg, 50.8 min). Fraction 6 was chromomatographied over Sephadex LH-20 (CHCl3/MeOH, 1:1) to give four sub-fractions (A–D). HPLC purification on sub-fractions A (MeOH/H2O, 70:30, 1.5 mL/min) and B (MeOH/H2O, 70:30, 1.5 mL/min) gave 5 (2.7 mg, 25.7 min) and 6 (1.7 mg, 61.7 min), respectively. Fraction 7 was subjected to CCs on normal phase silica gel and Sephadex LH-20 to give two subfraction 7-A and 7-B. Further purification on both subfrations yielded 19 (4.3 mg, 51.7 min) from 7-A (MeOH/H2O, 70:30, 1.5 mL/min) and 3 (1.6 mg, 66.7 min) from7-B (eluent MeOH/H2O, 65:35, 1.5 mL/min). Fraction 9 was purified by HPLC (MeOH/H2O, 67:33, 1.5 mL/min) to yield 1 (1.6 mg, 24.5 min). Fraction 10 was chromatographied over normal phase silica gel and Sephadex LH-20 and then purified by HPLC (eluent MeOH/H2O, 70:30, 1.5 mL/min) yielding 18 (3.8 mg, 28.7 min). Fraction 11 was further fractionated by RP-silical gel CC (MeOH/H2O, 27:73 to 76:24) to give five subfractions (11A–11E). Subfraction 11C was purified by HPLC (eluent MeOH/H2O, 63:37, 1.5 mL/min) to yield 11 (1.1 mg, 26.8 min) and 14 (1.0 mg, 27.9 min). Subfraction 11D was purified by HPLC (MeOH/H2O, 72:28, 1.5 mL/min), yielding 4 (0.9 mg, 27.7 min) and 16 (1.0 mg, 28.1 min). Fraction 12 was further fractionated by normal phase silica gel CC (n-hexane/acetone, 4:1 to 1:1, in 5 increments) to give three subfractions (12A–12C). 13 (1.1 mg, 29.5 min) was obtained from subfraction 12B by HPLC (MeOH/H2O, 73:27, 1.5 mL/min). Fraction 13 was fractionated by RP-silical gel column chromatography (gradient elution from MeOH/H2O, 2:7 to 2:1, in 5% increments) to give 6 sub-fractions (13A–13F), a HPLC purification (eluent MeOH/H2O, 65:35, 1.5 mL/min) on 13E yielded 17 (4.6 mg, 32.6 min).
The frozen animals of ZH-1 (10.0 kg, wet weight) were extracted partitioned using the above procedure to afford 20.0 g of Et2O extract. The residue was subjected to Sephadex LH-20 (CHCl3/MeOH, 1:1) give 8 fractions. Fraction 2 was subjected to reversed-phasesilica gel (gradient MeOH/H2O, from 1:9 to 4:1), followed by HPLC (MeOH/H2O, 65:35, 1.5 mL/min) to yield 9 (2.5 mg, 52.5 min), 20 (5.2 mg, 67.5 min). Fraction 3 was chromatographed on a silica gel column (gradient n-hexane/acetone, from 5:1 to 1:2) and HPLC (MeOH/H2O, 50:50, 1.5 mL/min) to yield 7 (5.5 mg, 69.2 min), 21 (3.5 mg, 16.1 min).
Gemmacolide AA (1): White amorphous powder; [α]24D = −44 (c 0.24, CHCl3); UV (MeOH) λmax (log ε) 206(1.85) nm; CD (CH3CN, c 2.0 × 10−4) λmax (Δε) positive below 190 nm, 201.5(−7.26) nm; IR (film) νmax 3470, 1775, 1741 cm−1; 1H and 13C NMR spectroscopic data, see Table 1, Table 2; ESI-MS m/z 691 [M + Na]+; HRESI-MS m/z 691.2150 [M + Na]+ (calcd. for C31H40O16Na, 691.2214).
Gemmacolide AB (2): White amorphous powder; [α]24D = −52 (c 0.105, CHCl3); UV (MeOH) λmax (log ε) 205(1.78) nm; CD (CH3CN, c 1.8 × 10−4) λmax (Δε) positive below 190 nm, 216(−5.61) nm; IR (film) νmax 3485, 1778, 1744 cm−1; 1H and 13C NMR spectroscopic data, see Table 1, Table 2; ESI-MS m/z 733 [M + Na]+; HRESI-MS m/z 733.2680 [M + Na]+ (calcd. for C34H46O16Na, 733.2680).
Gemmacolide AC (3): White amorphous powder; [α]24D = −28 (c 0.04, CHCl3); UV (MeOH) λmax (log ε) 205(1.71) nm; CD (CH3CN, c 2.6 × 10−4) λmax (Δε) positive below 190 nm, 215.5(−6.41) nm; IR (film) νmax 3467, 1774, 1742 cm−1; 1H and 13C NMR spectroscopic data, see Table 1, Table 2; ESI-MS m/z 717 [M + Na]+; HRESI-MS m/z 717.2737 [M + Na]+ (calcd. for C34H46O15Na, 717.2734).
Gemmacolide AD (4): White amorphous powder; [α]24D = −11 (c 0.09, CHCl3); UV (MeOH) λmax (log ε) 213(1.73) nm; CD (CH3CN, c 2.3 × 10−4) λmax (Δε) positive below 197 nm, 212.5(−6.01) nm; IR (film) νmax 3477, 1778, 1743 cm−1; 1H and 13C NMR spectroscopic data, see Table 1, Table 2; ESI-MS m/z 759 [M + Na]+; HRESI-MS m/z 759.3207 [M + Na]+ (calcd. for C37H52O15Na, 759.3204).
Gemmacolide AE (5): White amorphous powder; [α]24D = −5 (c 0.085, CHCl3); UV (MeOH) λmax (log ε) 204(1.41) nm; CD (CH3CN, c 3.0 × 10−4) λmax (Δε) positive below 190 nm, 209(−6.01) nm; IR (film) νmax 3483, 1777, 1742 cm−1; 1H and 13C NMR spectroscopic data, see Table 1, Table 2; ESI-MS m/z 659 [M + Na]+; HRESI-MS m/z 659.2676 [M + Na]+ (calcd. for C32H44O13Na, 659.2680).
Gemmacolide AF (6): White amorphous powder; [α]24D = −40 (c 0.085, CHCl3); UV (MeOH) λmax (log ε) 204(1.36) nm; CD (CH3CN, c 1.6 × 10−4) λmax (Δε) positive below 190 nm, 200(−10.53) nm; IR (film) νmax 3462, 1776, 1743 cm−1; 1H and 13C NMR spectroscopic data, see Table 1, Table 3; ESI-MS m/z 787 [M + Na]+; HRESI-MS m/z 787.3150 [M + Na]+ (calcd. for C38H52O16Na, 787.3153).
Gemmacolide AG (7): White amorphous powder; [α]24D = −26.9 (c 0.17, CHCl3); UV (MeOH) λmax (log ε) 209(1.65) nm; CD (CH3CN, c 2.3 × 10−4) λmax (Δε) positive below 190 nm, 202.0(−10.05) nm; IR (film) νmax 3473, 1778, 1738 cm−1; 1H and 13C NMR spectroscopic data, seeTable 1, Table 3; ESI-MS m/z 745 [M + Na]+; HRESI-MS m/z 745.2686 [M + Na]+ (calcd. for C35H46O16Na, 745.2684).
Gemmacolide AH (8): White amorphous powder; [α]24D = −11 (c 0.035, CHCl3); UV (MeOH) λmax (log ε) 206(1.88) nm; CD (CH3CN, c 2.8 × 10−4) λmax (Δε) positive below 190 nm, 199.0(−11.96) nm; IR (film) νmax 3469, 1775, 1744 cm−1; 1H and 13C NMR spectroscopic data, seeTable 1, Table 3; ESI-MS m/z 887 [M + Na]+; HRESI-MS m/z 887.3673 [M + Na]+ (calcd. for C43H60O18Na, 887.3677).
Gemmacolide AI (9): White amorphous powder; [α]24D = −21 (c 0.25, CHCl3); UV (MeOH) λmax (log ε) 212(1.72) nm; CD (CH3CN, c 2.5 × 10−4) λmax (Δε) positive below 190 nm, 204.5(−12.5) nm; IR (film) νmax 3469, 1778, 1741 cm−1; 1H and 13C NMR spectroscopic data, seeTable 1, Table 3; ESI-MS m/z 815 [M + Cl]; HRESI-MS m/z 815.2888 [M + Cl] (calcd. for C38H52ClO17, 815.2893).
Gemmacolide AJ (10): White amorphous powder; [α]24D = −49 (c 0.10, CHCl3); UV (MeOH) λmax (log ε) 204(1.49) nm; CD (CH3CN, c 3.1 × 10−4) λmax (Δε) positive below 190 nm, 203(−13.32) nm; IR (film) νmax 3474, 1778, 1744 cm−1; 1H and 13C NMR spectroscopic data, see Table 3, Table 4; ESI-MS m/z 821 [M + Na]+; HRESI-MS m/z 821.2767 [M + Na]+ (calcd. for C38H51O16NaCl, 821.2763).
Gemmacolide AK (11): White amorphous powde; [α]24D = −11.5 (c 0.11, CHCl3); UV (MeOH) λmax (log ε) 201(1.16) nm; CD (CH3CN, c 3.4 × 10−4) λmax (Δε) positive below 198 nm, 210.5(−6.89) nm; IR (film) νmax 3478, 1778, 1744 cm−1; 1H and 13C NMR spectroscopic data, see Table 3, Table 4; ESI-MS m/z 733 [M + Na]+; HRESI-MS m/z 733.2690 [M + Na]+ (calcd. for C34H46O16Na, 733.2684).
Gemmacolide AL (12): White amorphous powder; [α]24D = −36 (c 0.10, CHCl3); UV (MeOH) λmax (log ε) 205 (1.78) nm; CD (CH3CN, c 3.3 × 10−4) λmax (Δε) positive below 190 nm, 205(−8.58) nm; IR (film) νmax 3475, 1776, 1745 cm−1; 1H and 13C NMR spectroscopic data, see Table 4, Table 5; ESI-MS m/z 817 [M + Na]+; HRESI-MS m/z 817.3252 [M + Na]+ (calcd. for C39H54O17Na, 817.3259).
Gemmacolide AM (13): White amorphous powder; [α]24D = −11.3 (c 0.11, CHCl3); UV (MeOH) λmax (log ε) 206(1.55) nm; CD (CH3CN, c 3.2 × 10−4) λmax (Δε) positive below 190 nm, 199(−4.05) nm; IR (film) νmax 3468, 1779, 1731 cm−1; 1H and 13C NMR spectroscopic data, see Table 4, Table 5; ESI-MS m/z 833 [M + Cl], HRESI-MS m/z 833.2549 [M + Cl] (calcd. for C38H51Cl2O16 833.2554).
Gemmacolide AN (14): White amorphous powder; [α]24D = −14.8 (c 0.10, CHCl3); UV (MeOH) λmax (log ε) 205(1.58) nm; CD (CH3CN, c 3.3 × 10−4) λmax (Δε) positive below 190 nm, 203.5(−4.02) nm; IR (film) νmax 3465, 1778, 1738 cm−1; 1H and 13C NMR spectroscopic data, see Table 4, Table 5; ESI-MS m/z 737 [M + Na]+; HRESI-MS m/z 737.2182 [M + Na]+ (calcd. for C33H43O15ClNa, 737.2188).
Gemmacolide AO (15): White amorphous powder; [α]24D = −39 (c 0.08, CHCl3); UV (MeOH) λmax (log ε) 204(1.52) nm; CD (CH3CN, c 1.5 × 10−4) λmax (Δε) positive below 190 nm, 204.5(−13.93) nm; IR (film) νmax 3468, 1778, 1743 cm−1; 1H and 13C NMR spectroscopic data, see Table 4, Table 5; ESI-MS m/z 845 [M + Na]+; HRESI-MS m/z 845.3575 [M + Na]+ (calcd. for C41H58O17Na, 845.3572).
Gemmacolide AP (16): White amorphous powder; [α]24D = −51.3 (c 0.10, CHCl3); UV (MeOH) λmax (log ε) 214(1.89) nm; CD (CH3CN, c 2.0 × 10−4) λmax (Δε) positive below 195 nm, 203.5(−2.25) nm; IR (film) νmax 3478, 1778, 1743 cm−1; 1H and 13C NMR spectroscopic data, see Table 4, Table 5; ESI-MS m/z 749 [M + Cl]; HRESI-MS m/z 749.1981 [M + Cl] (calcd. for C33H43Cl2O15, 749.1979).
Gemmacolide AQ (17): White amorphous powder; [α]24D = −36 (c 0.175, CHCl3); UV (MeOH) λmax (log ε) 204(1.41) nm; CD (CH3CN, c 2.1 × 10−4) λmax (Δε) positive below 190 nm, 200(−4.85) nm; IR (film) νmax 3479, 1770, 1743 cm−1; 1H and 13C NMR spectroscopic data, see Table 4, Table 5; ESI-MS m/z 703 [M + Na]+; HRESI-MS m/z 703.2572 [M + Na]+ (calcd. for C33H44O15Na, 703.2578).
Gemmacolide AR (18): White amorphous powder; [α]24D = −38 (c 0.08, CHCl3); UV (MeOH) λmax (log ε) 210(2.54) nm; CD (CH3CN, c 8.8 × 10−4) λmax (Δε) positive below 190 nm, 198(−4.11) nm; IR (film) νmax 3469, 1777, 1742 cm−1; 1H and 13C NMR spectroscopic data, see Table 4, Table 5; ESI-MS m/z 803 [M + Na]+; HRESI-MS m/z 745.2689 [M + Na]+ (calcd. for C35H46O16Na, 745.2684).

3.4. Cytotoxicity Assay

Cytotoxicity was tested against human lung adenocarcinoma (A549) and human osteosarcoma cell (MG63), using a modification of the MTT (3-(4,5-dimethylthiazol-2-yl)-2,5-diphenyltetrazolium bromide) colorimetric method [18]. Adriamycin was used as positive control, IC50 = 2.8 μM for A549 cells and 3.2 μM for MG63 cells.

4. Conclusions

The observation of the potent activity of gemmacolides in tumor cell growth inhibition [10,12] promotes the systematic study on briarane diterpenoids regarding their chemistry and bioactivities, leadindg to the isolation and structural elucidation of twenty-one 11,20-epoxy-3Z,5E-dien briaranes from the South China Sea gorgonian Dichotella gemmacea. In the in vitro bioassay, compounds 13, 5, 6, 812, and 1419 exhibited different levels of growth inhibition activity against A549 and MG63 cell lines. Preliminary structure-activity analysis suggests that 12-O-isovalerate may increase the activity whereas 13- or 14-O-isovalerate may decrease the activity. Contribution of substitutions at C-2 and C-16 remains uncertain. The interesting discovery may encourage further investigations on the chemistry and tumor cell growth inhibitory activity of the cluster of metabolites.

Acknowledgments

The research work was financially supported by the Natural Science Foundation of China (No. 41076082, 41176125, 81172979), the National Marine “863” Project (No. 2013AA092902), and the Key Project of Science and Technology Commission of Shanghai Municipality (No. 09DJ1400400).

References

  1. Blunt, J.W.; Copp, B.R.; Keyzers, R.A.; Munro, M.H.G.; Prinsep, M.R. Marine natural products. Nat. Prod. Rep. 2013, 30, 237–323. [Google Scholar] [CrossRef]
  2. Berrue, F.; Kerr, R.G. Diterpenes from gorgonian corals. Nat. Prod. Rep. 2009, 26, 681–710. [Google Scholar]
  3. Sung, P.J.; Su, J.H.; Wang, W.H.; Sheu, J.H.; Fang, L.S.; Wu, Y.C.; Chen, Y.H.; Chung, H.M.; Su, Y.D.; Chang, Y.C. Survey of briarane-type diterpenoids—Part IV. Heterocycles 2011, 83, 1241–1258. [Google Scholar]
  4. Zhang, W.; Guo, Y.W.; Gu, Y.C. Secondary metabolites from the South China Sea invertebrateschemistry andbiological activity. Curr. Med. Chem. 2006, 13, 2041–2090. [Google Scholar]
  5. Sun, J.F.; Han, Z.; Zhou, X.F.; Yang, B.; Lin, X.; Liu, J.; Peng, Y.; Yang, X.W.; Liu, Y.H. Antifouling briarane type diterpenoids from South China Sea gorgonians Dichotella gemmacea. Tetrahedron 2013, 69, 871–880. [Google Scholar] [CrossRef]
  6. Liu, T.F.; Lu, X.; Tang, H.; Zhang, M.M.; Wang, P.; Sun, P.; Liu, Z.Y.; Wang, Z.L.; Li, L.; Rui, Y.C.; et al. 3β,5α,6β-Oxigenated sterols from the South China Sea gorgonian Muriceopsis flavida and their tumor cell growth inhibitory activity and apoptosis-inducing function. Steroids 2013, 78, 108–114. [Google Scholar] [CrossRef]
  7. Wang, Z.L.; Zhang, H.Y.; Yuan, W.H.; Gong, W.; Tang, H.; Liu, B.S.; Krohn, K.; Yi, Y.H.; Zhang, W. Antifungal nortriterpene and triterpene glycosides from the sea cucumber Apostichopus japonicus Selenka. Food Chem. 2012, 132, 295–300. [Google Scholar] [CrossRef]
  8. Sun, P.; Meng, L.Y.; Tang, H.; Liu, B.S.; Li, L.; Yi, Y.H.; Zhang, W. Sinularosides A and B, bioactive 9,11-secosteroidal glycosides from the South China Sea soft coral Sinularia sp. J. Nat. Prod. 2012, 75, 1656–1659. [Google Scholar] [CrossRef]
  9. Geng, W.L.; Wang, X.Y.; Kurtán, T.; Mándi, A.; Tang, H.; Schulz, B.; Sun, P.; Zhang, W. Herbarone, a rearranged heptaketide derivative from the sea hare associated fungus Torula herbarum. J. Nat. Prod. 2012, 75, 1828–1832. [Google Scholar]
  10. Li, C.; La, M.P.; Li, L.; Li, X.B.; Tang, H.; Liu, B.S.; Krohn, K.; Sun, P.; Yi, Y.H.; Zhang, W. Bioactive 11,20-epoxy-3,5(16)-diene briarane diterpenoids from the South China Sea gorgonian Dichotella gemmacea. J. Nat. Prod. 2011, 74, 1658–1662. [Google Scholar] [CrossRef]
  11. Li, C.; La, M.P.; Sun, P.; Kurtán, T.; Mándi, A.; Tang, H.; Liu, B.S.; Yi, Y.H.; Li, L.; Zhang, W. Bioactive (3Z,5E)-11,20-epoxybriara-3,5-diene-7,18-olide diterpenoids from the South China Sea gorgonian Dichotella gemmacea. Mar. Drugs 2011, 9, 1403–1418. [Google Scholar] [CrossRef]
  12. Li, C.; La, M.P.; Tang, H.; Pan, W.H.; Sun, P.; Yi, Y.H.; Zhang, W. Bioactive briaranes from the South China Sea gorgonian Dichotella gemmacea. Bioorg. Med. Chem. Lett. 2012, 22, 4368–4372. [Google Scholar] [CrossRef]
  13. Roe, M.B.; Whittaker, M.; Procter, G. Studies on the synthesis of solenolide F; a Cr(II)-mediated cyclization to form the ten-membered ring. Tetrahedron Lett. 1995, 36, 8103–8106. [Google Scholar] [CrossRef]
  14. Balasubramaniam, R.P.; Moss, D.K.; Wyatt, J.K.; Spence, J.D.; Gee, A.; Nantz, M.H. Methylation-ring opening of 3,3-disubstituted 2,3-epoxy alcohols. Synthesis of chiral quaternary fragments for assembly of briaran diterpenes. Tetrahedron 1997, 53, 7429–7444. [Google Scholar] [CrossRef]
  15. Rodriguez, A.D.; Ramirez, C.; Cobar, O.M. Briareins C–L, 10 new briarane diterpenoids from the common Caribbean gorgonian Briareum asbestinum. J. Nat. Prod. 1996, 59, 15–22. [Google Scholar] [CrossRef]
  16. Iwasaki, J.; Ito, H.; Nakamura, M.; Iguch, K. A synthetic study of briarane-type marine diterpenoid, pachyclavulide B. Tetrahedron Lett. 2006, 47, 1483–1486. [Google Scholar] [CrossRef]
  17. Shen, Y.C.; Lin, Y.C.; Ko, C.L.; Wang, L.T. New briaranes from the Taiwanese gorgonian Junceella juncea. J. Nat. Prod. 2003, 66, 302–305. [Google Scholar]
  18. Mosmann, T.J. Rapid colorimetric assay for cellular growth and survival: Application to proliferation and cytotoxicity assays. J. Immunol. Methods 1983, 65, 55–63. [Google Scholar] [CrossRef]

Supplementary Files

  • Supplementary File 1:

    Supplementary Information (PDF, 5867 KB)

  • Share and Cite

    MDPI and ACS Style

    Li, C.; Jiang, M.; La, M.-P.; Li, T.-J.; Tang, H.; Sun, P.; Liu, B.-S.; Yi, Y.-H.; Liu, Z.; Zhang, W. Chemistry and Tumor Cell Growth Inhibitory Activity of 11,20-Epoxy-3Z,5(6)E-diene Briaranes from the South China Sea Gorgonian Dichotella gemmacea. Mar. Drugs 2013, 11, 1565-1582. https://doi.org/10.3390/md11051565

    AMA Style

    Li C, Jiang M, La M-P, Li T-J, Tang H, Sun P, Liu B-S, Yi Y-H, Liu Z, Zhang W. Chemistry and Tumor Cell Growth Inhibitory Activity of 11,20-Epoxy-3Z,5(6)E-diene Briaranes from the South China Sea Gorgonian Dichotella gemmacea. Marine Drugs. 2013; 11(5):1565-1582. https://doi.org/10.3390/md11051565

    Chicago/Turabian Style

    Li, Cui, Mei Jiang, Ming-Ping La, Tie-Jun Li, Hua Tang, Peng Sun, Bao-Shu Liu, Yang-Hua Yi, Zhiyong Liu, and Wen Zhang. 2013. "Chemistry and Tumor Cell Growth Inhibitory Activity of 11,20-Epoxy-3Z,5(6)E-diene Briaranes from the South China Sea Gorgonian Dichotella gemmacea" Marine Drugs 11, no. 5: 1565-1582. https://doi.org/10.3390/md11051565

    APA Style

    Li, C., Jiang, M., La, M.-P., Li, T.-J., Tang, H., Sun, P., Liu, B.-S., Yi, Y.-H., Liu, Z., & Zhang, W. (2013). Chemistry and Tumor Cell Growth Inhibitory Activity of 11,20-Epoxy-3Z,5(6)E-diene Briaranes from the South China Sea Gorgonian Dichotella gemmacea. Marine Drugs, 11(5), 1565-1582. https://doi.org/10.3390/md11051565

    Article Metrics

    Back to TopTop