New Frontiers in Nutritional and Therapeutic Interventions for Obesity Phenotypes
Abstract
1. Introduction
1.1. Research Strategy
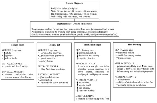
1.2. Obesity Phenotypes
2. Management of Obesity
2.1. Drugs
2.2. Obesity Therapies Under Development
2.3. Cardiovascular Outcome Trials (CVOTs) in Obese Patients
2.4. Diet Composition and Nutraceuticals
3. Conclusions
Author Contributions
Funding
Conflicts of Interest
Abbreviations
| BMI | Body Mass Index |
| cAMP | Cyclic Adenosine 3′,5′ Monophosphate |
| CVD | Cardiovascular Disease |
| ESC | European Society of Cardiology |
| FATmax | Maximal Fat Oxidation |
| GIP | Glucose-Dependent Insulinotropic Polypeptide |
| GLP-1RA | Glucagon-Like Peptide-1 receptor agonist |
| HFpEF | Heart Failure with Preserved Ejection Fraction |
| MACE | Major Adverse Cardiac Events |
| MAD | Multiple Ascending Dose |
| MetS | Metabolic Syndrome |
| NK2R | Neurokinin 2 Receptor |
| T2DM | Type 2 Diabetes Mellitus |
| VAT | Visceral Adipose Tissue |
References
- Rubino, F.; Cummings, D.E.; Eckel, R.H.; Cohen, R.V.; Wilding, J.P.H.; Brown, W.A.; Stanford, F.C.; Batterham, R.L.; Farooqi, I.S.; Farpour-Lambert, N.J.; et al. Definition and diagnostic criteria of clinical obesity. Lancet Diabetes Endocrinol. 2025, 13, 221–262. Erratum in Lancet Diabetes Endocrinol. 2025, 13, e6. 10.1016/S2213-8587(25)00006-3. [CrossRef] [PubMed]
- Koskinas, K.C.; Van Craenenbroeck, E.M.; Antoniades, C.; Blüher, M.; Gorter, T.M.; Hanssen, H.; Marx, N.; McDonagh, T.A.; Mingrone, G.; Rosengren, A.; et al. Obesity and cardiovascular disease: An ESC clinical consensus statement. Eur. J. Prev. Cardiol. 2025, 32, 184–220. [Google Scholar] [CrossRef] [PubMed]
- Cross, L. Management of obesity. Am. J. Health Syst. Pharm. 2025, 82, 48–59. [Google Scholar] [CrossRef] [PubMed]
- Lavie, C.J.; De Schutter, A.; Patel, D.A.; Romero-Corral, A.; Artham, S.M.; Milani, R.V. Body composition and survival in stable coronary heart disease: Impact of lean mass index and body fat in the “obesity paradox”. J. Am. Coll. Cardiol. 2012, 60, 1374–1380. [Google Scholar] [CrossRef]
- Marx, N.; Federici, M.; Schütt, K.; Müller-Wieland, D.; Ajjan, R.A.; Antunes, M.J.; Christodorescu, R.M.; Crawford, C.; Di Angelantonio, E.; Eliasson, B.; et al. 2023 ESC Guidelines for the management of cardiovascular disease in patients with diabetes. Eur. Heart J. 2024, 45, 518. [Google Scholar] [CrossRef]
- Wang, W.; Wei, R.; Huang, Z.; Luo, J.; Pan, Q.; Guo, L. Effects of treatment with Glucagon-like peptide-1 receptor agonist on prediabetes with overweight/obesity: A systematic review and meta-analysis. Diabetes/Metab. Res. Rev. 2023, 39, e3680. [Google Scholar] [CrossRef]
- Saturnino, A.; Maddaloni, E.; Zampetti, S.; Buzzetti, R. Searching the Crystal Ball for Tailored GLP-1 Receptor Agonists Treatment in Type 2 Diabetes and Obesity. Diabetes/Metab. Res. Rev. 2025, 41, e70017. [Google Scholar] [CrossRef]
- Valladares, A.C.; Astudillo, M.A.; Drinnon, A.R.; Dowlatshahi, S.; Kansara, A.; Shakil, J.; Patham, B. Medical Management of Obesity: Current Trends and Future Perspectives. Methodist DeBakey Cardiovasc. J. 2025, 21, 62–73. [Google Scholar] [CrossRef]
- Adeola, O.L.; Agudosi, G.M.; Akueme, N.T.; Okobi, O.E.; Akinyemi, F.B.; Ononiwu, U.O.; Akunne, H.S.; Akinboro, M.K.; Ogbeifun, O.E.; Okeaya-Inneh, M. The Effectiveness of Nutritional Strategies in the Treatment and Management of Obesity: A Systematic Review. Cureus 2023, 15, e45518. [Google Scholar] [CrossRef]
- Schmitz, S.H.; Saunders, K.H.; Aronne, L.J. Cutting-Edge Approaches to Obesity Management: The Latest Pharmacological Options. Endocrinol. Metab. Clin. N. Am. 2025, 54, 85–102. [Google Scholar] [CrossRef]
- Giglio, R.V.; Stoian, A.P.; Patti, A.M.; Rizvi, A.A.; Sukhorukov, V.; Ciaccio, M.; Orekhov, A.; Rizzo, M. Genetic and Epigenetic Biomarkers for Diagnosis, Prognosis and Treatment of Metabolic Syndrome. Curr. Pharm. Des. 2021, 27, 3729–3740. [Google Scholar] [CrossRef] [PubMed]
- Smith, G.I.; Mittendorfer, B.; Klein, S. Metabolically healthy obesity: Facts and fantasies. J. Clin. Investig. 2019, 129, 3978–3989. [Google Scholar] [CrossRef] [PubMed]
- Després, J.P.; Lemieux, I.; Bergeron, J.; Pibarot, P.; Mathieu, P.; Larose, E.; Rodés-Cabau, J.; Bertrand, O.F.; Poirier, P. Abdominal Obesity and the Metabolic Syndrome: Contribution to Global Cardiometabolic Risk. Arter. Thromb. Vasc. Biol. 2008, 28, 1039–1049. [Google Scholar] [CrossRef] [PubMed]
- Maselli, D.B.; Camilleri, M. Effects of GLP-1 and Its Analogs on Gastric Physiology in Diabetes Mellitus and Obesity. Adv. Exp. Med. Biol. 2021, 1307, 171–192. [Google Scholar] [CrossRef]
- Blüher, M.; Aras, M.; Aronne, L.J.; Batterham, R.L.; Giorgino, F.; Ji, L.; Pietiläinen, K.H.; Schnell, O.; Tonchevska, E.; Wilding, J.P.H. New insights into the treatment of obesity. Diabetes Obes. Metab. 2023, 25, 2058–2072. [Google Scholar] [CrossRef]
- Preda, A.; Carbone, F.; Tirandi, A.; Montecucco, F.; Liberale, L. Obesity phenotypes and cardiovascular risk: From pathophysiology to clinical management. Rev. Endocr. Metab. Disord. 2023, 24, 901–919. [Google Scholar] [CrossRef]
- Gołacki, J.; Matyjaszek-Matuszek, B. Obesity–Standards, trends and advances. Adv. Med. Sci. 2024, 69, 208–215. [Google Scholar] [CrossRef]
- Patti, A.M.; Rizvi, A.A.; Giglio, R.V.; Stoian, A.P.; Ligi, D.; Mannello, F. Impact of Glucose-Lowering Medications on Cardiovascular and Metabolic Risk in Type 2 Diabetes. J. Clin. Med. 2020, 9, 912. [Google Scholar] [CrossRef]
- Jastreboff, A.M.; Kushner, R.F. New Frontiers in Obesity Treatment: GLP-1 and Nascent Nutrient-Stimulated Hormone-Based Therapeutics. Annu. Rev. Med. 2023, 74, 125–139. [Google Scholar] [CrossRef]
- Nikolic, D.; Patti, A.M.; Giglio, R.V.; Chianetta, R.; Castellino, G.; Magán-Fernández, A.; Citarrella, R.; Papanas, N.; Janez, A.; Stoian, A.P.; et al. Liraglutide Improved Cardiometabolic Parameters More in Obese than in Non-obese Patients with Type 2 Diabetes: A Real-World 18-Month Prospective Study. Diabetes Ther. 2022, 13, 453–464. [Google Scholar] [CrossRef]
- Rizzo, M.; Nikolic, D.; Banach, M.; Patti, A.M.; Montalto, G.; Rizvi, A.A. Incretin-Based Therapies, Glucometabolic Health and Endovascular Inflammation. Curr. Pharm. Des. 2014, 20, 4953–4960. [Google Scholar] [CrossRef] [PubMed]
- Davies, M.J.; Bergenstal, R.; Bode, B.; Kushner, R.F.; Lewin, A.; Skjøth, T.V.; Andreasen, A.H.; Jensen, C.B.; DeFronzo, R.A.; NN8022-1922 Study Group. Efficacy of Liraglutide for Weight Loss Among Patients with Type 2 Diabetes: The SCALE Diabetes Randomized Clinical Trial. JAMA 2016, 315, 90. [Google Scholar] [CrossRef] [PubMed]
- Rodriguez, P.J.; Goodwin Cartwright, B.M.; Gratzl, S.; Brar, R.; Baker, C.; Gluckman, T.J.; Stucky, N.L. Semaglutide vs Tirzepatide for Weight Loss in Adults with Overweight or Obesity. JAMA Intern. Med. 2024, 184, 1056–1064. [Google Scholar] [CrossRef] [PubMed]
- Psaltis, J.P.; Marathe, J.A.; Nguyen, M.T.; Le, R.; Bursill, C.A.; Marathe, C.S.; Nelson, A.J.; Psaltis, P.J. Incretin-based therapies for the management of cardiometabolic disease in the clinic: Past, present, and future. Med. Res. Rev. 2025, 45, 29–65. [Google Scholar] [CrossRef]
- Lam, H.N.; Lin, S.P.; Nguyen, D.H.N.; Chen, C.M.; Su, C.T.; Fang, T.C.; Li, S.C. Integrative Roles of Functional Foods, Microbiotics, Nutrigenetics, and Nutrigenomics in Managing Type 2 Diabetes and Obesity. Nutrients 2025, 17, 608. [Google Scholar] [CrossRef]
- Wharton, S.; Davies, M.; Dicker, D.; Lingvay, I.; Mosenzon, O.; Rubino, D.M.; Pedersen, S.D. Managing the gastrointestinal side effects of GLP-1 receptor agonists in obesity: Recommendations for clinical practice. Postgrad. Med. 2022, 134, 14–19. [Google Scholar] [CrossRef]
- Salmen, T.; Potcovaru, C.G.; Bica, I.C.; Giglio, R.V.; Patti, A.M.; Stoica, R.A.; Ciaccio, M.; El-Tanani, M.; Janež, A.; Rizzo, M.; et al. Evaluating the Impact of Novel Incretin Therapies on Cardiovascular Outcomes in Type 2 Diabetes: An Early Systematic Review. Pharmaceuticals 2024, 17, 1322. [Google Scholar] [CrossRef]
- Jensen, A.B.; Renström, F.; Aczél, S.; Folie, P.; Biraima-Steinemann, M.; Beuschlein, F.; Bilz, S. Efficacy of the Glucagon-Like Peptide-1 Receptor Agonists Liraglutide and Semaglutide for the Treatment of Weight Regain After Bariatric surgery: A Retrospective Observational Study. Obes. Surg. 2023, 33, 1017–1025. [Google Scholar] [CrossRef]
- Pi-Sunyer, X.; Astrup, A.; Fujioka, K.; Greenway, F.; Halpern, A.; Krempf, M.; Lau, D.C.; le Roux, C.W.; Violante Ortiz, R.; Jensen, C.B.; et al. A Randomized, Controlled Trial of 3.0 mg of Liraglutide in Weight Management. N. Engl. J. Med. 2015, 373, 11–22. [Google Scholar] [CrossRef]
- Friedrichsen, M.; Breitschaft, A.; Tadayon, S.; Wizert, A.; Skovgaard, D. The effect of semaglutide 2.4 mg once weekly on energy intake, appetite, control of eating, and gastric emptying in adults with obesity. Diabetes Obes. Metab. 2021, 23, 754–762. [Google Scholar] [CrossRef]
- Davies, M.; Færch, L.; Jeppesen, O.K.; Pakseresht, A.; Pedersen, S.D.; Perreault, L.; Rosenstock, J.; Shimomura, I.; Viljoen, A.; Wadden, T.A.; et al. Semaglutide 2·4 mg once a week in adults with overweight or obesity, and type 2 diabetes (STEP 2): A randomised, double-blind, double-dummy, placebo-controlled, phase 3 trial. Lancet 2021, 397, 971–984. [Google Scholar] [CrossRef] [PubMed]
- Rubino, D.M.; Greenway, F.L.; Khalid, U.; O’neil, P.M.; Rosenstock, J.; Sørrig, R.; Wadden, T.A.; Wizert, A.; Garvey, W.T.; STEP 8 Investigators; et al. Effect of Weekly Subcutaneous Semaglutide vs Daily Liraglutide on Body Weight in Adults with Overweight or Obesity Without Diabetes: The STEP 8 Randomized Clinical Trial. JAMA 2022, 327, 138–150. [Google Scholar] [CrossRef] [PubMed]
- Li, Y.; Lin, Z.; Li, Y. Visceral obesity and HFpEF: Targets and therapeutic opportunities. Trends Pharmacol. Sci. 2025, 46, 337–356. [Google Scholar] [CrossRef]
- Marso, S.P.; Bain, S.C.; Consoli, A.; Eliaschewitz, F.G.; Jódar, E.; Leiter, L.A.; Lingvay, I.; Rosenstock, J.; Seufert, J.; Warren, M.L.; et al. Semaglutide and Cardiovascular Outcomes in Patients with Type 2 Diabetes. N. Engl. J. Med. 2016, 375, 1834–1844. [Google Scholar] [CrossRef]
- Theodorakis, N.; Nikolaou, M. Integrated Management of Cardiovascular–Renal–Hepatic–Metabolic Syndrome: Expanding Roles of SGLT2is, GLP-1RAs, and GIP/GLP-1RAs. Biomedicines 2025, 13, 135. [Google Scholar] [CrossRef]
- Butler, J.; Shah, S.J.; Petrie, M.C.; Borlaug, B.A.; Abildstrøm, S.Z.; Davies, M.J.; Hovingh, G.K.; Kitzman, D.W.; Møller, D.V.; Verma, S.; et al. Semaglutide versus placebo in people with obesity-related heart failure with preserved ejection fraction: A pooled analysis of the STEP-HFpEF and STEP-HFpEF DM randomised trials. Lancet 2024, 403, 1635–1648. [Google Scholar] [CrossRef]
- Davies, M.; Pieber, T.R.; Hartoft-Nielsen, M.L.; Hansen, O.K.H.; Jabbour, S.; Rosenstock, J. Effect of Oral Semaglutide Compared with Placebo and Subcutaneous Semaglutide on Glycemic Control in Patients with Type 2 Diabetes: A Randomized Clinical Trial. JAMA 2017, 318, 1460–1470. [Google Scholar] [CrossRef]
- Rosenstock, J.; Wysham, C.; Frías, J.P.; Kaneko, S.; Lee, C.J.; Fernández Landó, L.; Mao, H.; Cui, X.; Karanikas, C.A.; Thieu, V.T. Efficacy and safety of a novel dual GIP and GLP-1 receptor agonist tirzepatide in patients with type 2 diabetes (SURPASS-1): A double-blind, randomised, phase 3 trial. Lancet 2021, 398, 143–155. [Google Scholar] [CrossRef]
- Nicholls, S.J.; Tofé, S.; le Roux, C.W.; D’Alessio, D.A.; Wiese, R.J.; Pavo, I.; Brown, K.; Weerakkody, G.J.; Zeytinoglu, M.; Romera, I.C. Reduction of prevalence of patients meeting the criteria for metabolic syndrome with tirzepatide: A post hoc analysis from the SURPASS Clinical Trial Program. Cardiovasc. Diabetol. 2024, 23, 63. [Google Scholar] [CrossRef]
- Frías, J.P.; Davies, M.J.; Rosenstock, J.; Pérez Manghi, F.C.; Fernández Landó, L.; Bergman, B.K.; Liu, B.; Cui, X.; Brown, K.; SURPASS-2 Investigators. Tirzepatide versus Semaglutide Once Weekly in Patients with Type 2 Diabetes. N. Engl. J. Med. 2021, 385, 503–515. [Google Scholar] [CrossRef]
- Jastreboff, A.M.; Aronne, L.J.; Ahmad, N.N.; Wharton, S.; Connery, L.; Alves, B.; Kiyosue, A.; Zhang, S.; Liu, B.; Bunck, M.C.; et al. Tirzepatide Once Weekly for the Treatment of Obesity. N. Engl. J. Med. 2022, 387, 205–216. [Google Scholar] [CrossRef] [PubMed]
- Frias, J.P.; Deenadayalan, S.; Erichsen, L.; Knop, F.K.; Lingvay, I.; Macura, S.; Mathieu, C.; Pedersen, S.D.; Davies, M. Efficacy and safety of co-administered once-weekly cagrilintide 2·4 mg with once-weekly semaglutide 2·4 mg in type 2 diabetes: A multicentre, randomised, double-blind, active-controlled, phase 2 trial. Lancet 2023, 402, 720–730. [Google Scholar] [CrossRef] [PubMed]
- Wharton, S.; Blevins, T.; Connery, L.; Rosenstock, J.; Raha, S.; Liu, R.; Ma, X.; Mather, K.J.; Haupt, A.; Robins, D.; et al. Daily Oral GLP-1 Receptor Agonist Orforglipron for Adults with Obesity. N. Engl. J. Med. 2023, 389, 877–888. [Google Scholar] [CrossRef] [PubMed]
- Kanbay, M.; Siriopol, D.; Copur, S.; Hasbal, N.B.; Güldan, M.; Kalantar-Zadeh, K.; Garfias-Veitl, T.; von Haehling, S. Effect of Bimagrumab on body composition: A systematic review and meta-analysis. Aging Clin. Exp. Res. 2024, 36, 185. [Google Scholar] [CrossRef]
- Crunkhorn, S. NK2R agonist delivers one-two punch to obesity. Nat. Rev. Drug Discov. 2025, 24, 15. [Google Scholar] [CrossRef]
- Roche. Roche Announces Positive Phase I Results of Its Oral GLP-1 Receptor Agonist CT-996 for the Treatment of People with Obesity. Available online: https://www.roche.com/media/releases/med-cor-2024-07-17 (accessed on 17 July 2024).
- Coskun, T.; Sloop, K.W.; Loghin, C.; Alsina-Fernandez, J.; Urva, S.; Bokvist, K.B.; Cui, X.; Briere, D.A.; Cabrera, O.; Roell, W.C.; et al. LY3298176, a novel dual GIP and GLP-1 receptor agonist for the treatment of type 2 diabetes mellitus: From discovery to clinical proof of concept. Mol. Metab. 2018, 18, 3–14. [Google Scholar] [CrossRef]
- Kizilkaya, H.S.; Sørensen, K.V.; Madsen, J.S.; Lindquist, P.; Douros, J.D.; Bork-Jensen, J.; Berghella, A.; Gerlach, P.A.; Gasbjerg, L.S.; Mokrosiński, J.; et al. Characterization of genetic variants of GIPR reveals a contribution of β-arrestin to metabolic phenotypes. Nat. Metab. 2024, 6, 1268–1281. [Google Scholar] [CrossRef]
- Chávez-Guevara, I.A.; Amaro-Gahete, F.J.; Ramos-Jiménez, A.; Brun, J.F. Toward Exercise Guidelines for Optimizing Fat Oxidation During Exercise in Obesity: A Systematic Review and Meta-Regression. Sports Med. 2023, 53, 2399–2416. [Google Scholar] [CrossRef]
- Tremmel, M.; Gerdtham, U.G.; Nilsson, P.M.; Saha, S. Economic Burden of Obesity: A Systematic Literature Review. Int. J. Environ. Res. Public Health 2017, 14, 435. [Google Scholar] [CrossRef]
- Tutor, A.W.; Lavie, C.J.; Kachur, S.; Milani, R.V.; Ventura, H.O. Updates on obesity and the obesity paradox in cardiovascular diseases. Prog. Cardiovasc. Dis. 2023, 78, 2–10. [Google Scholar] [CrossRef]
- D’Alessio, D. Is GLP-1 a hormone: Whether and when? J. Diabetes Investig. 2016, 7, 50–55. [Google Scholar] [CrossRef] [PubMed]
- Lincoff, A.M.; Brown-Frandsen, K.; Colhoun, H.M.; Deanfield, J.; Emerson, S.S.; Esbjerg, S.; Hardt-Lindberg, S.; Hovingh, G.K.; Kahn, S.E.; Kushner, R.F.; et al. Semaglutide and Cardiovascular Outcomes in Obesity without Diabetes. N. Engl. J. Med. 2023, 389, 2221–2232. [Google Scholar] [CrossRef] [PubMed]
- Packer, M.; Zile, M.R.; Kramer, C.M.; Baum, S.J.; Litwin, S.E.; Menon, V.; Ge, J.; Weerakkody, G.J.; Ou, Y.; Bunck, M.C.; et al. Tirzepatide for Heart Failure with Preserved Ejection Fraction and Obesity. N. Engl. J. Med. 2025, 392, 427–437. [Google Scholar] [CrossRef] [PubMed]
- A Study of Tirzepatide (LY3298176) on the Reduction on Morbidity and Mortality in Adults with Obesity. Available online: https://clinicaltrials.gov/show/NCT05556512 (accessed on 3 December 2024).
- Wang, X.W.; Hu, Y.; Menichetti, G.; Grodstein, F.; Bhupathiraju, S.N.; Sun, Q.; Zhang, X.; Hu, F.B.; Weiss, S.T.; Liu, Y.Y. Nutritional redundancy in the human diet and its application in phenotype association studies. Nat. Commun. 2023, 14, 4316. [Google Scholar] [CrossRef]
- Mardinoglu, A.; Wu, H.; Bjornson, E.; Zhang, C.; Hakkarainen, A.; Räsänen, S.M.; Lee, S.; Mancina, R.M.; Bergentall, M.; Pietiläinen, K.H.; et al. An Integrated Understanding of the Rapid Metabolic Benefits of a Carbohydrate-Restricted Diet on Hepatic Steatosis in Humans. Cell Metab. 2018, 27, 559–571.e5. [Google Scholar] [CrossRef]
- Min, H.; Choi, K.S.; Yun, S.; Jang, S. Live Biotherapeutic Products for Metabolic Diseases: Development Strategies, Challenges, and Future Directions. J. Microbiol. Biotechnol. 2025, 35, e2410054. [Google Scholar] [CrossRef]
- Fogacci, F.; Borghi, C.; Cicero, A.F.G. Functional Foods and Nutraceuticals to Reduce the Risk of Cardiometabolic Disease: Where We Are, and Where We Are Going. Nutrients 2024, 16, 3152. [Google Scholar] [CrossRef]
- Rosqvist, F.; Iggman, D.; Kullberg, J.; Cedernaes, J.; Johansson, H.E.; Larsson, A.; Johansson, L.; Ahlström, H.; Arner, P.; Dahlman, I.; et al. Overfeeding Polyunsaturated and Saturated Fat Causes Distinct Effects on Liver and Visceral Fat Accumulation in Humans. Diabetes 2014, 63, 2356–2368. [Google Scholar] [CrossRef]
- Deehan, E.C.; Mocanu, V.; Madsen, K.L. Effects of dietary fibre on metabolic health and obesity. Nat. Rev. Gastroenterol. Hepatol. 2024, 21, 301–318. [Google Scholar] [CrossRef]
- Kokura, Y.; Ueshima, J.; Saino, Y.; Maeda, K. Enhanced protein intake on maintaining muscle mass, strength, and physical function in adults with overweight/obesity: A systematic review and meta-analysis. Clin. Nutr. ESPEN 2024, 63, 417–426. [Google Scholar] [CrossRef]
- Dutheil, F.; Lac, G.; Courteix, D.; Doré, E.; Chapier, R.; Roszyk, L.; Sapin, V.; Lesourd, B. Treatment of Metabolic syndrome by combination of physical activity and diet needs an optimal protein intake: A randomized controlled trial. Nutr. J. 2012, 11, 72. [Google Scholar] [CrossRef] [PubMed]
- Larsen, T.M.; Dalskov, S.; van Baak, M.; Jebb, S.; Kafatos, A.; Pfeiffer, A.; Martinez, J.A.; Handjieva-Darlenska, T.; Kunesová, M.; Holst, C.; et al. The Diet, Obesity and Genes (Diogenes) Dietary Study in eight European countries—A comprehensive design for long-term intervention. Obes. Rev. 2010, 11, 76–91. [Google Scholar] [CrossRef] [PubMed]
- Nishi, S.K.; Viguiliouk, E.; Blanco Mejia, S.; Kendall, C.W.C.; Bazinet, R.P.; Hanley, A.J.; Comelli, E.M.; Salas Salvadó, J.; Jenkins, D.J.A.; Sievenpiper, J.L. Are fatty nuts a weighty concern? A systematic review and meta-analysis and dose-response meta-regression of prospective cohorts and randomized controlled trials. Obes. Rev. 2021, 22, e13330. [Google Scholar] [CrossRef] [PubMed]
- Hansen, T.T.; Astrup, A.; Sjödin, A. Are Dietary Proteins the Key to Successful Body Weight Management? A Systematic Review and Meta-Analysis of Studies Assessing Body Weight Outcomes after Interventions with Increased Dietary Protein. Nutrients 2021, 13, 3193. [Google Scholar] [CrossRef]
- Schroor, M.M.; Joris, P.J.; Plat, J.; Mensink, R.P. Effects of Intermittent Energy Restriction Compared with Those of Continuous Energy Restriction on Body Composition and Cardiometabolic Risk Markers–A Systematic Review and Meta-Analysis of Randomized Controlled Trials in Adults. Adv. Nutr. Int. Rev. J. 2024, 15, 100130. [Google Scholar] [CrossRef]



Disclaimer/Publisher’s Note: The statements, opinions and data contained in all publications are solely those of the individual author(s) and contributor(s) and not of MDPI and/or the editor(s). MDPI and/or the editor(s) disclaim responsibility for any injury to people or property resulting from any ideas, methods, instructions or products referred to in the content. |
© 2025 by the authors. Published by MDPI on behalf of the Lithuanian University of Health Sciences. Licensee MDPI, Basel, Switzerland. This article is an open access article distributed under the terms and conditions of the Creative Commons Attribution (CC BY) license (https://creativecommons.org/licenses/by/4.0/).
Share and Cite
Patti, A.M.; Giglio, R.V.; Ciaccio, M.; Stoian, A.P.; Salmen, T.; Bica, I.-C.; Rangraze, I.; Tanani, M.E.; Rizzo, M.; Rizvi, A.A. New Frontiers in Nutritional and Therapeutic Interventions for Obesity Phenotypes. Medicina 2025, 61, 664. https://doi.org/10.3390/medicina61040664
Patti AM, Giglio RV, Ciaccio M, Stoian AP, Salmen T, Bica I-C, Rangraze I, Tanani ME, Rizzo M, Rizvi AA. New Frontiers in Nutritional and Therapeutic Interventions for Obesity Phenotypes. Medicina. 2025; 61(4):664. https://doi.org/10.3390/medicina61040664
Chicago/Turabian StylePatti, Angelo Maria, Rosaria Vincenza Giglio, Marcello Ciaccio, Anca Pantea Stoian, Teodor Salmen, Ioana-Cristina Bica, Imran Rangraze, Mohamed El Tanani, Manfredi Rizzo, and Ali Abbas Rizvi. 2025. "New Frontiers in Nutritional and Therapeutic Interventions for Obesity Phenotypes" Medicina 61, no. 4: 664. https://doi.org/10.3390/medicina61040664
APA StylePatti, A. M., Giglio, R. V., Ciaccio, M., Stoian, A. P., Salmen, T., Bica, I.-C., Rangraze, I., Tanani, M. E., Rizzo, M., & Rizvi, A. A. (2025). New Frontiers in Nutritional and Therapeutic Interventions for Obesity Phenotypes. Medicina, 61(4), 664. https://doi.org/10.3390/medicina61040664

