Sleep Disturbances and Pain Subtypes in Parkinson’s Disease
Abstract
1. Introduction
2. Materials and Methods
2.1. Patients and Study Design
2.2. Clinical Assessments
2.3. Tools for Assement
2.4. Data Analysis
3. Results
4. Discussion
5. Conclusions
Author Contributions
Funding
Institutional Review Board Statement
Informed Consent Statement
Data Availability Statement
Conflicts of Interest
Abbreviations
| CISI | Clinical Impression of Severity Index |
| H&Y | Hoehn and Yahr |
| HADS | Hospital Anxiety and Depression Scale |
| KPPQ | King’s Parkinson’s Disease Pain Questionnaire |
| KPPS | King’s Parkinson’s Disease Pain Scale |
| LEDD | Levodopa equivalent daily dose |
| MDS-UPDRS | MDS-Unified Parkinson’s Disease Rating Scale |
| MMSE | The Mini Mental State Examination |
| MoCA | Montreal Cognitive Assessment |
| PD | Parkinson’s Disease |
| PDSS-2 | Parkinson’s Disease Sleep Scale-2 |
| PSQI | Pittsburgh Sleep Quality Index |
| RLS | Restless legs syndrome |
| SCOPA | Scale for Outcomes in Parkinson’s Disease |
References
- Liguori, C.; De Franco, V.; Cerroni, R.; Spanetta, M.; Mercuri, N.B.; Stefani, A.; Pierantozzi, M.; Di Pucchio, A. Sleep problems affect quality of life in Parkinson’s disease along disease progression. Sleep Med. 2021, 81, 307–311. [Google Scholar] [CrossRef] [PubMed]
- Palmeri, R.; Lo Buono, V.; Bonanno, L.; Sorbera, C.; Cimino, V.; Bramanti, P.; Di Lorenzo, G.; Marino, S. Potential predictors of quality of life in Parkinson’s Disease: Sleep and mood disorders. J. Clin. Neurosci. 2019, 70, 113–117. [Google Scholar] [CrossRef] [PubMed]
- Iranzo, A.; Cochen De Cock, V.; Fantini, M.L.; Pérez-Carbonell, L.; Trotti, L.M. Sleep and sleep disorders in people with Parkinson’s disease. Lancet Neurol. 2024, 23, 925–937. [Google Scholar] [CrossRef] [PubMed]
- Thangaleela, S.; Sivamaruthi, B.S.; Kesika, P.; Mariappan, S.; Rashmi, S.; Choeisoongnern, T.; Sittiprapaporn, P.; Chaiyasut, C. Neurological Insights into Sleep Disorders in Parkinson’s Disease. Brain Sci. 2023, 13, 1202. [Google Scholar] [CrossRef] [PubMed]
- Diaconu, Ş.; Falup-Pecurariu, C. Personalized Assessment of Insomnia and Sleep Quality in Patients with Parkinson’s Disease. J. Pers. Med. 2022, 12, 322. [Google Scholar] [CrossRef]
- Broen, M.P.; Braaksma, M.M.; Patijn, J.; Weber, W.E. Prevalence of pain in Parkinson’s disease: A systematic review using the modified QUADAS tool. Mov. Disord. 2012, 27, 480–484. [Google Scholar] [CrossRef] [PubMed]
- Vila-Chã, N.; Cavaco, S.; Mendes, A.; Gonçalves, A.; Moreira, I.; Fernandes, J.; Damásio, J.; Azevedo, L.F.; Castro-Lopes, J. Sleep disturbances in Parkinson’s disease are associated with central parkinsonian pain. J. Pain Res. 2019, 12, 2137–2144. [Google Scholar] [CrossRef]
- Fu, Y.T.; Mao, C.J.; Ma, L.J.; Zhang, H.J.; Wang, Y.; Li, J.; Huang, J.Y.; Liu, J.Y.; Liu, C.F. Pain Correlates with Sleep Disturbances in Parkinson’s Disease Patients. Pain Pract. 2018, 18, 29–37. [Google Scholar] [CrossRef]
- Chaudhuri, K.R.; Schapira, A.H. Non-motor symptoms of Parkinson’s disease: Dopaminergic pathophysiology and treatment. Lancet Neurol. 2009, 8, 464–474. [Google Scholar] [CrossRef]
- Finan, P.H.; Goodin, B.R.; Smith, M.T. The association of sleep and pain: An update and a path forward. J. Pain 2013, 14, 1539–1552. [Google Scholar] [CrossRef]
- Gao, L.; Huang, W.; Cai, L.; Li, H. Association between sleep disturbances and pain subtypes in Parkinson’s disease. Neurol. Sci. 2022, 43, 4785–4790. [Google Scholar] [CrossRef] [PubMed]
- Martinez-Martin, P.; Rizos, A.M.; Wetmore, J.B.; Antonini, A.; Odin, P.; Pal, S.; Sophia, R.; Carroll, C.; Martino, D.; Falup-Pecurariu, C.; et al. Relationship of Nocturnal Sleep Dysfunction and Pain Subtypes in Parkinson’s Disease. Mov. Disord. Clin. Pract. 2019, 6, 57–64. [Google Scholar] [CrossRef] [PubMed]
- Postuma, R.B.; Berg, D.; Stern, M.; Poewe, W.; Olanow, C.W.; Oertel, W.; Obeso, J.; Marek, K.; Litvan, I.; Lang, A.E.; et al. MDS clinical diagnostic criteria for Parkinson’s disease. Mov. Disord. 2015, 30, 1591–1601. [Google Scholar] [CrossRef] [PubMed]
- Goetz, C.G.; Tilley, B.C.; Shaftman, S.R.; Stebbins, G.T.; Fahn, S.; Martinez-Martin, P.; Poewe, W.; Sampaio, C.; Stern, M.B.; Dodel, R.; et al. Movement Disorder Society-sponsored revision of the Unified Parkinson’s Disease Rating Scale (MDS-UPDRS): Scale presentation and clinimetric testing results. Mov. Disord. 2008, 23, 2129–2170. [Google Scholar] [CrossRef]
- Marinus, J.; Visser, M.; Stiggelbout, A.M.; Rabey, J.M.; Martínez-Martín, P.; Bonuccelli, U.; Kraus, P.H.; van Hilten, J.J. A short scale for the assessment of motor impairments and disabilities in Parkinson’s disease: The SPES/SCOPA. J. Neurol. Neurosurg. Psychiatry 2004, 75, 388–395. [Google Scholar] [CrossRef]
- Martínez-Martín, P.; Forjaz, M.J.; Cubo, E.; Frades, B.; de Pedro Cuesta, J. Global versus factor-related impression of severity in Parkinson’s disease: A new clinimetric index (CISI-PD). Mov. Disord. 2006, 21, 208–214. [Google Scholar] [CrossRef]
- Martinez-Martin, P.; Rizos, A.M.; Wetmore, J.; Antonini, A.; Odin, P.; Pal, S.; Sophia, R.; Carroll, C.; Martino, D.; Falup-Pecurariu, C.; et al. First comprehensive tool for screening pain in Parkinson’s disease: The King’s Parkinson’s Disease Pain Questionnaire. Eur. J. Neurol. 2018, 25, 1255–1261. [Google Scholar] [CrossRef]
- Chaudhuri, K.R.; Rizos, A.; Trenkwalder, C.; Rascol, O.; Pal, S.; Martino, D.; Carroll, C.; Paviour, D.; Falup-Pecurariu, C.; Kessel, B.; et al. King’s Parkinson’s disease pain scale, the first scale for pain in PD: An international validation. Mov. Disord. 2015, 30, 1623–1631. [Google Scholar] [CrossRef]
- Buysse, D.J.; Reynolds, C.F., 3rd; Monk, T.H.; Berman, S.R.; Kupfer, D.J. The Pittsburgh Sleep Quality Index: A new instrument for psychiatric practice and research. Psychiatry Res. 1989, 28, 193–213. [Google Scholar] [CrossRef]
- Yi, Q.; Yu-Peng, C.; Jiang-Ting, L.; Jing-Yi, L.; Qi-Xiong, Q.; Dan-Lei, W.; Jing-Wei, Z.; Zhi-Juan, M.; Yong-Jie, X.; Zhe, M.; et al. Worse Sleep Quality Aggravates the Motor and Non-Motor Symptoms in Parkinson’s Disease. Front. Aging Neurosci. 2022, 14, 887094. [Google Scholar] [CrossRef]
- Trenkwalder, C.; Kohnen, R.; Högl, B.; Metta, V.; Sixel-Döring, F.; Frauscher, B.; Hülsmann, J.; Martinez-Martin, P.; Chaudhuri, K.R. Parkinson’s disease sleep scale—Validation of the revised version PDSS-2. Mov. Disord. 2011, 26, 644–652. [Google Scholar] [CrossRef] [PubMed]
- Zigmond, A.S.; Snaith, R.P. The hospital anxiety and depression scale. Acta Psychiatr. Scand. 1983, 67, 361–370. [Google Scholar] [CrossRef] [PubMed]
- Allen, R.P.; Picchietti, D.L.; Garcia-Borreguero, D.; Ondo, W.G.; Walters, A.S.; Winkelman, J.W.; Zucconi, M.; Ferri, R.; Trenkwalder, C.; Lee, H.B. Restless legs syndrome/Willis–Ekbom disease diagnostic criteria: Updated International Restless Legs Syndrome Study Group (IRLSSG) consensus criteria—History, rationale, description, and significance. Sleep Med. 2014, 15, 860–873. [Google Scholar] [CrossRef] [PubMed]
- Kurihara, K.; Fujioka, S.; Kawazoe, M.; Mishima, T.; Ouma, S.; Tsuboi, Y. Fluctuating pain in Parkinson’s disease: Its prevalence and impact on quality of life. eNeurologicalSci 2021, 25, 100371. [Google Scholar] [CrossRef]
- Diaconu, Ş.; Irincu, L.; Ungureanu, L.; Ciopleiaș, B.; Țînț, D.; Falup-Pecurariu, C. Restless Legs Syndrome in Parkinson’s Disease. J. Pers. Med. 2023, 13, 915. [Google Scholar] [CrossRef]
- Picillo, M.; Palladino, R.; Barone, P.; Erro, R.; Colosimo, C.; Marconi, R.; Morgante, L.; Antonini, A. The PRIAMO study: Urinary dysfunction as a marker of disease progression in early Parkinson’s disease. Eur. J. Neurol. 2017, 24, 788–795. [Google Scholar] [CrossRef]
- Diaconu, S.; Monescu, V.; Filip, R.; Marian, L.; Kakucs, C.; Murasan, I.; Chaudhuri, K.R.; Jianu, D.C.; Falup-Pecurariu, C.; Opritoiu, B. The Impact of Fatigue on Sleep and Other Non-Motor Symptoms in Parkinson’s Disease. Brain Sci. 2024, 14, 397. [Google Scholar] [CrossRef]
- Tinazzi, M.; Del Vesco, C.; Fincati, E.; Ottaviani, S.; Smania, N.; Moretto, G.; Fiaschi, A.; Martino, D.; Defazio, G. Pain and motor complications in Parkinson’s disease. J. Neurol. Neurosurg. Psychiatry 2006, 77, 822–825. [Google Scholar] [CrossRef]
- Brefel-Courbon, C.; Payoux, P.; Thalamas, C.; Ory, F.; Quelven, I.; Chollet, F.; Montastruc, J.L.; Rascol, O. Effect of levodopa on pain threshold in Parkinson’s disease: A clinical and positron emission tomography study. Mov. Disord. 2005, 20, 1557–1563. [Google Scholar] [CrossRef]
- Foo, H.; Mason, P. Brainstem modulation of pain during sleep and waking. Sleep Med. Rev. 2003, 7, 145–154. [Google Scholar] [CrossRef]
- Skogar, O.; Fall, P.A.; Hallgren, G.; Bringer, B.; Carlsson, M.; Lennartsson, U.; Sandbjörk, H.; Törnhage, C.J.; Lökk, J. Parkinson’s disease patients’ subjective descriptions of characteristics of chronic pain, sleeping patterns and health-related quality of life. Neuropsychiatr. Dis. Treat. 2012, 8, 435–442. [Google Scholar] [CrossRef] [PubMed]
- Chang, J.R.; Fu, S.N.; Li, X.; Li, S.X.; Wang, X.; Zhou, Z.; Pinto, S.M.; Samartzis, D.; Karppinen, J.; Wong, A.Y. The differential effects of sleep deprivation on pain perception in individuals with or without chronic pain: A systematic review and meta-analysis. Sleep Med. Rev. 2022, 66, 101695. [Google Scholar] [CrossRef] [PubMed]
- Lautenbacher, S.; Kundermann, B.; Krieg, J.C. Sleep deprivation and pain perception. Sleep Med. Rev. 2006, 10, 357–369. [Google Scholar] [CrossRef] [PubMed]
- Roehrs, T.; Hyde, M.; Blaisdell, B.; Greenwald, M.; Roth, T. Sleep loss and REM sleep loss are hyperalgesic. Sleep 2006, 29, 145–151. [Google Scholar] [CrossRef]
- Hanagasi, H.A.; Akat, S.; Gurvit, H.; Yazici, J.; Emre, M. Pain is common in Parkinson’s disease. Clin. Neurol. Neurosurg. 2011, 113, 11–13. [Google Scholar] [CrossRef]
- Beiske, A.G.; Loge, J.H.; Rønningen, A.; Svensson, E. Pain in Parkinson’s disease: Prevalence and characteristics. Pain 2009, 141, 173–177. [Google Scholar] [CrossRef]
- Ozturk, E.A.; Gundogdu, I.; Kocer, B.; Comoglu, S.; Cakci, A. Chronic pain in Parkinson’s disease: Frequency, characteristics, independent factors, and relationship with health-related quality of life. J. Back Musculoskelet. Rehabil. 2016, 30, 101–108. [Google Scholar] [CrossRef]
- Martinez-Martin, P.; Schapira, A.H.; Stocchi, F.; Sethi, K.; Odin, P.; MacPhee, G.; Brown, R.G.; Naidu, Y.; Clayton, L.; Abe, K.; et al. Prevalence of nonmotor symptoms in Parkinson’s disease in an international setting; study using nonmotor symptoms questionnaire in 545 patients. Mov. Disord. 2007, 22, 1623–1629. [Google Scholar] [CrossRef]
- Nègre-Pagès, L.; Regragui, W.; Bouhassira, D.; Grandjean, H.; Rascol, O. Chronic pain in Parkinson’s disease: The cross-sectional French DoPaMiP survey. Mov. Disord. 2008, 23, 1361–1369. [Google Scholar] [CrossRef]
- Defazio, G.; Berardelli, A.; Fabbrini, G.; Martino, D.; Fincati, E.; Fiaschi, A.; Moretto, G.; Abbruzzese, G.; Marchese, R.; Bonuccelli, U.; et al. Pain as a nonmotor symptom of Parkinson disease: Evidence from a case-control study. Arch. Neurol. 2008, 65, 1191–1194. [Google Scholar] [CrossRef]
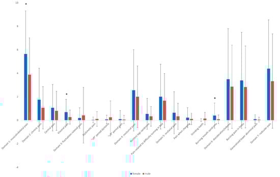
- Gao, L.; Yang, Y.; Cai, L.; Xiong, Y. Gender Differences in Pain Subtypes among Patients with Parkinson’s Disease. J. Integr. Neurosci. 2022, 21, 120. [Google Scholar] [CrossRef] [PubMed]
- Bonenfant, D.; Rompré, P.H.; Rei, N.; Jodoin, N.; Soland, V.L.; Rey, V.; Brefel-Courbon, C.; Ory-Magne, F.; Rascol, O.; Blanchet, P.J. Characterization of Burning Mouth Syndrome in Patients with Parkinson’s Disease. J. Oral Facial Pain Headache 2016, 30, 318–322. [Google Scholar] [CrossRef] [PubMed]
- Nguy, V.; Barry, B.K.; Moloney, N.; Hassett, L.M.; Canning, C.G.; Lewis, S.J.G.; Allen, N.E. The Associations Between Physical Activity, Sleep, and Mood with Pain in People with Parkinson’s Disease: An Observational Cross-Sectional Study. J. Park. Dis. 2020, 10, 1161–1170. [Google Scholar] [CrossRef]
- van Hilten, J.J.; Weggeman, M.; van der Velde, E.A.; Kerkhof, G.A.; van Dijk, J.G.; Roos, R.A. Sleep, excessive daytime sleepiness and fatigue in Parkinson’s disease. J. Neural Transm. Park. Dis. Dement. Sect. 1993, 5, 235–244. [Google Scholar] [CrossRef]


| Age at PD onset, mean ± SD | 68.30 ± 10.69 |
| PD duration, years, mean ± SD | 5.06 ± 4.21 |
| LEDD, mg (mean ± SD) | 497.2 ± 385.2 |
| Dyskinesia, n (%) | 7 (5.3%) |
| Dystonia, n (%) | 6 (4.6%) |
| HY 1 ON, n (%) | 7 (5.3%) |
| HY 2 ON, n (%) | 78 (59.5%) |
| HY 3 ON, n (%) | 34 (26%) |
| HY 4 ON, n (%) | 11 (8.4%) |
| HY 5 ON, n (%) | 1 (0.8%) |
| “Good Sleepers” (PSQI ≤ 5), n = 33 (25.19%) | “Bad Sleepers” (PSQI > 5), n = 98 (74.80%) | p | |
|---|---|---|---|
| Age, years (mean ± SD) | 66.52 ± 11.65 | 70.23 ± 9.40 | 0.067 |
| Disease duration, years (mean ± SD) | 4.47 ± 4.63 | 5.27 ± 4.07 | 0.351 |
| Domain 1: musculoskeletal pain | 2.70 ± 2.67 | 5.48 ± 3.50 | <0.001 |
| Domain 2: chronic pain | 0.45 ± 1.12 | 1.73 ± 2.51 | 0.005 |
| Central pain | 0.15 ± 0.71 | 1.19 ± 2.01 | 0.004 |
| Visceral pain | 0.30 ± 0.59 | 0.54 ± 0.99 | 0.193 |
| Domain 3: fluctuation-related pain | 0.09 ± 0.52 | 0.38 ± 2.02 | 0.422 |
| Dyskinetic pain | 0.06 ± 0.35 | 0.07 ± 0.50 | 0.909 |
| “off” period dystonia | 0.03 ± 0.17 | 0.20 ± 1.17 | 0.397 |
| “off” period pain | 0.00 ± 0.00 | 0.10 ± 0.67 | 0.381 |
| Domain 4: nocturnal pain | 0.82 ± 1.59 | 2.78 ± 3.31 | 0.001 |
| Restless legs syndrome | 0.18 ± 0.53 | 0.52 ± 1.24 | 0.130 |
| Pain related to difficulty turning in bed | 0.64 ± 1.22 | 2.26 ± 2.74 | 0.001 |
| Domain 5: orofacial pain | 0.24 ± 1.09 | 0.57 ± 1.61 | 0.278 |
| Pain when chewing | 0.06 ± 0.35 | 0.20 ± 0.77 | 0.305 |
| Grinding teeth | 0.06 ± 0.35 | 0.08 ± 0.40 | 0.787 |
| Burning mouth syndrome | 0.12 ± 0.48 | 0.29 ± 0.91 | 0.323 |
| Domain 6: discoloration/edema/swelling | 2.33 ± 3.48 | 3.47 ± 4.08 | 0.154 |
| Burning pain in limbs | 2.24 ± 3.28 | 3.41 ± 3.95 | 0.129 |
| Generalized lower abominal pain | 0.09 ± 0.29 | 0.06 ± 0.32 | 0.635 |
| Domain 7: radicular pain | 2.45 ± 3.55 | 4.35 ± 4.20 | 0.022 |
| KPPQ total score (mean ± SD) | 3.09 ± 2.40 | 5.11 ± 3.41 | 0.002 |
| KPPS total score (mean ± SD) | 9.09 ± 10.25 | 18.76 ± 14.40 | 0.001 |
| Pain Subtype (According to KPPQ) | Odds (95% CI) | p | Adjusted Odds * | p |
|---|---|---|---|---|
| Musculoskeletal pain | 1.040 (0.958–1.128) | 0.351 | - | - |
| Chronic pain | 1.052 (0.998–1.110) | 0.061 | - | - |
| Fluctuation-related pain | 1.045 (0.991–1.102) | 0.107 | - | - |
| Nocturnal pain | 1.161 (1.062–1.268) | 0.001 | 1.165 (1.064–1.276) | 0.001 |
| Orofacial pain | 1.069 (1.009–1.133) | 0.023 | 1.108 (1.051–1.167) | <0.001 |
| Discoloration/edema/swelling | 1.059 (1.004–1.116) | 0.034 | 1.05 (0.994–1.108) | 0.079 |
| Radicular pain | 1.088 (1.024–1.156) | 0.007 | 1.015 (1.015–1.149) | 0.015 |
Disclaimer/Publisher’s Note: The statements, opinions and data contained in all publications are solely those of the individual author(s) and contributor(s) and not of MDPI and/or the editor(s). MDPI and/or the editor(s) disclaim responsibility for any injury to people or property resulting from any ideas, methods, instructions or products referred to in the content. |
© 2025 by the authors. Published by MDPI on behalf of the Lithuanian University of Health Sciences. Licensee MDPI, Basel, Switzerland. This article is an open access article distributed under the terms and conditions of the Creative Commons Attribution (CC BY) license (https://creativecommons.org/licenses/by/4.0/).
Share and Cite
Diaconu, S.; Ciopleias, B.; Zarnoveanu, A.; Falup-Pecurariu, C. Sleep Disturbances and Pain Subtypes in Parkinson’s Disease. Medicina 2025, 61, 591. https://doi.org/10.3390/medicina61040591
Diaconu S, Ciopleias B, Zarnoveanu A, Falup-Pecurariu C. Sleep Disturbances and Pain Subtypes in Parkinson’s Disease. Medicina. 2025; 61(4):591. https://doi.org/10.3390/medicina61040591
Chicago/Turabian StyleDiaconu, Stefania, Bianca Ciopleias, Anca Zarnoveanu, and Cristian Falup-Pecurariu. 2025. "Sleep Disturbances and Pain Subtypes in Parkinson’s Disease" Medicina 61, no. 4: 591. https://doi.org/10.3390/medicina61040591
APA StyleDiaconu, S., Ciopleias, B., Zarnoveanu, A., & Falup-Pecurariu, C. (2025). Sleep Disturbances and Pain Subtypes in Parkinson’s Disease. Medicina, 61(4), 591. https://doi.org/10.3390/medicina61040591

