Prognosis Following Sustained Virologic Response in Korean Chronic Hepatitis C Patients Treated with Sofosbuvir-Based Treatment: Data from a Multicenter Prospective Observational Study up to 7 Years
Abstract
1. Introduction
2. Materials and Methods
2.1. Patients
2.2. Statistical Analysis
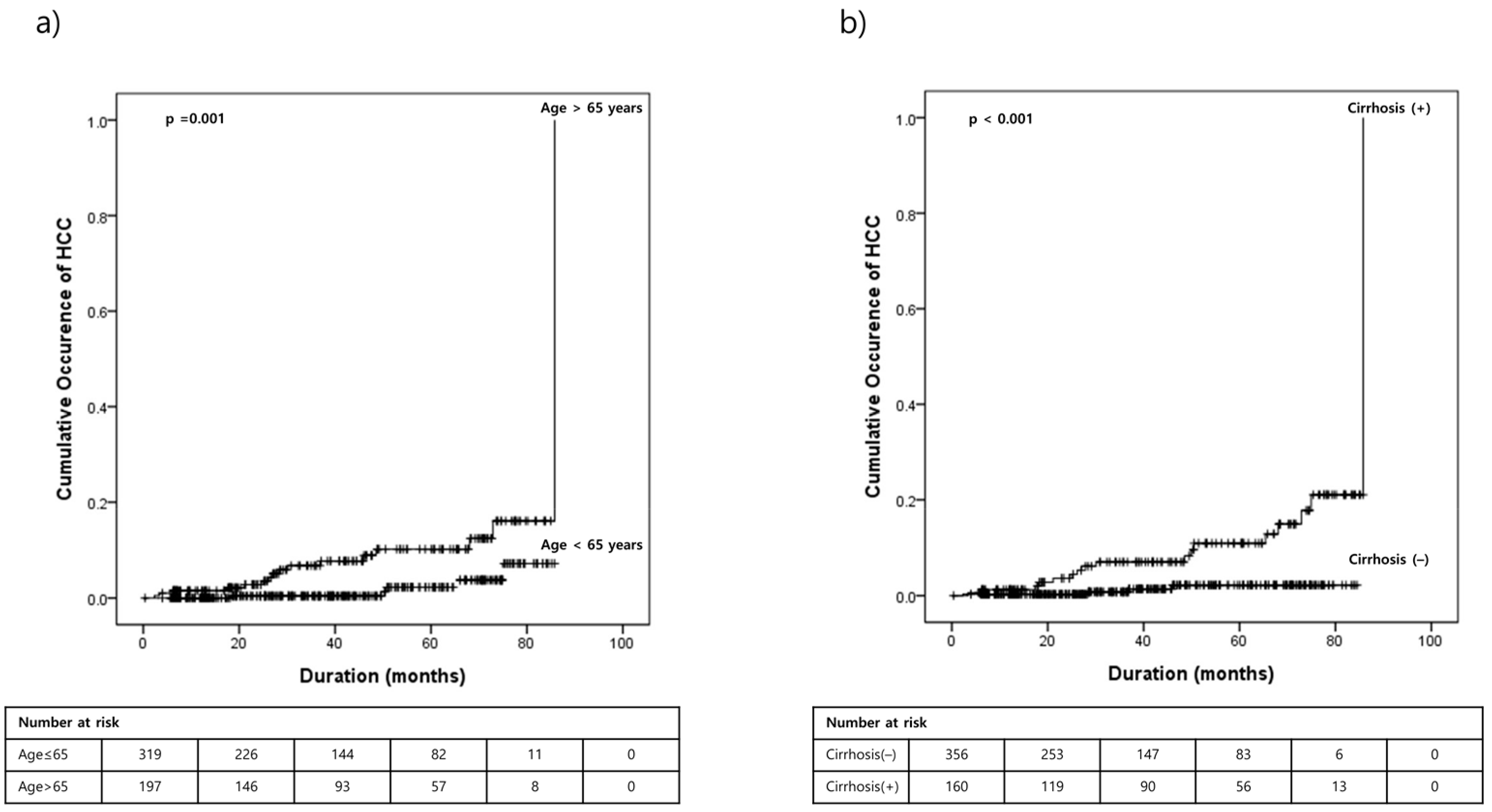
3. Results
4. Discussion
5. Conclusions
Supplementary Materials
Author Contributions
Funding
Institutional Review Board Statement
Informed Consent Statement
Data Availability Statement
Conflicts of Interest
References
- World Health Organization. Elimination of Hepatitis by 2030. Available online: https://www.who.int/health-topics/hepatitis/elimination-of-hepatitis-by-2030#tab=tab_1 (accessed on 18 March 2024).
- Kim, H.L.; Kim, K.A.; Choi, G.H.; Jang, E.S.; Ki, M.; Choi, H.Y.; Jeong, S.H. A cost-effectiveness study of universal screening for hepatitis C virus infection in South Korea: A societal perspective. Clin. Mol. Hepatol. 2022, 28, 91–104. [Google Scholar] [CrossRef]
- Lee, H.W.; Lee, H.; Kim, B.K.; Chang, Y.; Jang, J.Y.; Kim, D.Y. Cost-effectiveness of chronic hepatitis C screening and treatment. Clin. Mol. Hepatol. 2022, 28, 164–173. [Google Scholar] [CrossRef]
- Westbrook, R.H.; Dusheiko, G. Natural history of hepatitis C. J. Hepatol. 2014, 61, S58–S68. [Google Scholar] [CrossRef] [PubMed]
- Kanwal, F.; Kramer, J.R.; Asch, S.M.; Cao, Y.; Li, L.; El-Serag, H.B. Long-Term Risk of Hepatocellular Carcinoma in HCV Patients Treated with Direct Acting Antiviral Agents. Hepatology 2020, 71, 44–55. [Google Scholar] [CrossRef] [PubMed]
- Mendizabal, M.; Piñero, F.; Ridruejo, E.; Herz Wolff, F.; Anders, M.; Reggiardo, V.; Ameigeiras, B.; Palazzo, A.; Alonso, C.; Schinoni, M.I.; et al. Disease Progression in Patients with Hepatitis C Virus Infection Treated with Direct-Acting Antiviral Agents. Clin. Gastroenterol. Hepatol. 2020, 18, 2554–2563. [Google Scholar] [CrossRef]
- Zou, Y.; Yue, M.; Jia, L.; Wang, Y.; Chen, H.; Zhang, A.; Xia, X.; Liu, W.; Yu, R.; Yang, S.; et al. Accurate prediction of HCC risk after SVR in patients with hepatitis C cirrhosis based on longitudinal data. BMC Cancer 2023, 23, 1147. [Google Scholar] [CrossRef]
- Tanaka, Y.; Ogawa, E.; Huang, C.F.; Toyoda, H.; Jun, D.W.; Tseng, C.H.; Hsu, Y.C.; Enomoto, M.; Takahashi, H.; Furusyo, N.; et al. HCC risk post-SVR with DAAs in East Asians: Findings from the REAL-C. cohort. Hepatol. Int. 2020, 14, 1023–1033. [Google Scholar] [CrossRef]
- Jang, E.S.; Kim, K.A.; Kim, Y.S.; Kim, I.H.; Lee, B.S.; Lee, Y.J.; Chung, W.J.; Jeong, S.H. Real-Life Effectiveness and Safety of Sofosbuvir-Based Therapy in Genotype 2 Chronic Hepatitis C Patients in South Korea, with Emphasis on the Ribavirin Dose. Gut Liver 2020, 14, 775–782. [Google Scholar] [CrossRef]
- Lee, S.K.; Lee, S.W.; Lee, H.L.; Kim, H.Y.; Kim, C.W.; Song, D.S.; Chang, U.I.; Yang, J.M.; Yoo, S.H.; Kwon, J.H.; et al. Real-life experience of ledipasvir and sofosbuvir for HCV infected Korean patients: A multicenter cohort study. Korean J. Intern. Med. 2022, 37, 1167–1175. [Google Scholar] [CrossRef] [PubMed]
- European Association for the Study of the Liver. EASL Recommendations on Treatment of Hepatitis C 2018. J. Hepatol. 2018, 69, 461–511. [Google Scholar] [CrossRef]
- Jacobson, I.M.; Gordon, S.C.; Kowdley, K.V.; Yoshida, E.M.; Rodriguez-Torres, M.; Sulkowski, M.S.; Shiffman, M.L.; Lawitz, E.; Everson, G.; Bennett, M.; et al. Sofosbuvir for hepatitis C genotype 2 or 3 in patients without treatment options. N. Engl. J. Med. 2013, 368, 1867–1877. [Google Scholar] [CrossRef] [PubMed]
- Kowdley, K.V.; Gordon, S.C.; Reddy, K.R.; Rossaro, L.; Bernstein, D.E.; Lawitz, E.; Shiffman, M.L.; Schiff, E.; Ghalib, R.; Ryan, M.; et al. Ledipasvir and sofosbuvir for 8 or 12 weeks for chronic HCV without cirrhosis. N. Engl. J. Med. 2014, 70, 1879–1888. [Google Scholar] [CrossRef] [PubMed]
- Lawitz, E.; Mangia, A.; Wyles, D.; Rodriguez-Torres, M.; Hassanein, T.; Gordon, S.C.; Schultz, M.; Davis, M.N.; Kayali, Z.; Reddy, K.R.; et al. Sofosbuvir for previously untreated chronic hepatitis C infection. N. Engl. J. Med. 2013, 368, 1878–1887. [Google Scholar] [CrossRef]
- Buggisch, P.; Vermehren, J.; Mauss, S.; Günther, R.; Schott, E.; Pathil, A.; Boeker, K.; Zimmermann, T.; Teuber, G.; Vornkahl, H.P.; et al. Real-world effectiveness of 8-week treatment with ledipasvir/sofosbuvir in chronic hepatitis C. J. Hepatol. 2018, 68, 663–671. [Google Scholar] [CrossRef]
- Backus, L.I.; Belperio, P.S.; Shahoumian, T.A.; Loomis, T.P.; Mole, L.A. Real-world effectiveness of ledipasvir/sofosbuvir in 4365 treatment-naive, genotype 1 hepatitis C-infected patients. Hepatology 2016, 64, 405–414. [Google Scholar] [CrossRef] [PubMed]
- Afdhal, N.; Stefan, Z.; Paul, K.; Mario, C.; Norman, G.; Massimo, P.; Romero-Gomez, M.; Zarski, J.-P.; Agarwal, K.; Buggisch, P.; et al. Ledipasvir and sofosbuvir for untreated HCV genotype 1 infection. N. Engl. J. Med. 2014, 370, 1889–1898. [Google Scholar] [CrossRef] [PubMed]
- Afdhal, N.; Reddy, K.R.; Nelson, D.R.; Lawitz, E.; Gordon, S.C.; Schiff, E.; Nahass, R.; Ghalib, R.; Gitlin, N.; Herring, R.; et al. Ledipasvir and sofosbuvir for previously treated HCV genotype 1 infection. N. Engl. J. Med. 2014, 370, 1483–1493. [Google Scholar] [CrossRef] [PubMed]
- Bachofner, J.A.; Valli, P.V.; Kröger, A.; Bergamin, I.; Künzler, P.; Baserga, A.; Braun, D.; Seifert, B.; Moncsek, A.; Fehr, J.; et al. Direct antiviral agent treatment of chronic hepatitis C results in rapid regression of transient elastography and fibrosis markers fibrosis-4 score and aspartate aminotransferase-platelet ratio index. Liver Int. 2017, 37, 369–376. [Google Scholar] [CrossRef] [PubMed]
- Ioannou, G.N.; Feld, J.J. What Are the benefits of a sustained virologic response to direct-acting antiviral therapy for hepatitis C virus infection? Gastroenterology 2019, 156, 446–460. [Google Scholar] [CrossRef] [PubMed]
- Rockey, D.C.; Friedman, S.L. Fibrosis Regression After Eradication of Hepatitis C Virus: From bench to bedside. Gastroenterology 2021, 160, 1502–1520. [Google Scholar] [CrossRef]
- Ogawa, E.; Furusyo, N.; Kajiwara, E.; Takahashi, K.; Nomura, H.; Maruyama, T.; Tanabe, Y.; Satoh, T.; Nakamuta, M.; Kotoh, K.; et al. Efficacy of pegylated interferon alpha-2b and ribavirin treatment on the risk of hepatocellular carcinoma in patients with chronic hepatitis C: A prospective, multicenter study. J. Hepatol. 2013, 58, 495–501. [Google Scholar] [CrossRef] [PubMed]
- Minami, T.; Sato, M.; Toyoda, H.; Yasuda, S.; Yamada, T.; Nakatsuka, T.; Enooku, K.; Nakagawa, H.; Fujinaga, H.; Izumiya, M.; et al. Machine learning for individualized prediction of hepatocellular carcinoma development after the eradication of hepatitis C virus with antivirals. J. Hepatol. 2023, 79, 1006–1014. [Google Scholar] [CrossRef] [PubMed]
- Bhattacharya, D.; Aronsohn, A.; Price, J.; Lo Re, V., III. Hepatitis C Guidance 2023 Update: AASLD-IDSA Recommendations for Testing, Managing, and Treating Hepatitis C Virus Infection. Clin. Infect. Dis. 2023. [Google Scholar] [CrossRef] [PubMed]
- Omata, M.; Kanda, T.; Wei, L.; Yu, M.L.; Chuang, W.L.; Ibrahim, A.; Lesmana, C.R.A.; Sollano, J.; Kumar, M.; Jindal, A.; et al. APASL consensus statements and recommendations for hepatitis C prevention, epidemiology, and laboratory testing. Hepatol. Int. 2016, 10, 681–701. [Google Scholar] [CrossRef]

| Total (n = 516) | HCC Occurence (−) (n = 495) | HCC Occurence (+) (n = 21) | p-Value | |
|---|---|---|---|---|
| Male | 231 (44.8%) | 219 (44.2%) | 12 (57.1%) | 0.173 |
| Age (years) | 62.0 (55.0–70.0) | 61 (55–70) | 69 (66–71) | 0.013 |
| Genotype | <0.001 | |||
| 1 | 90 (17.4%) | 86 (17.4%) | 4 (19.0%) | |
| 2 | 423 (82.0%) | 408 (82.4%) | 15 (71.4%) | |
| 3 | 3 (0.6%) | 1 (0.2%) | 2 (9.5%) | |
| Follow-up duration (months) | 39.0 (18.6–62.3) | 38.4 (18.3–61.7) | 57.5 (40.6–73.8) | 0.002 |
| AFP (ng/mL) | 3.4 (2.2–6.0) | 3.3 (2.2–5.8) | 6.0 (4.3–9.0) | 0.003 |
| Pre-treatment HCV RNA (IU/mL) | 680,000 (94,050–3,005,000) | 761,000 (94,225–3,042,500) | 449,000 (100,000–670,000) | 0.169 |
| Cirrhosis | 160 (31.0%) | 143 (28.9%) | 17 (81.0%) | <0.001 |
| Significant alcohol consumption | 53 (10.3%) | 51 (10.3%) | 2 (9.5%) | 0.632 |
| Child–Pugh score | 5.0 (5.0–5.0) | 5.0 (5.0–5.0) | 5.0 (5.0–5.0) | 0.822 |
| 5 | 486 (94.2%) | 466 (94.1%) | 20 (95.2%) | |
| 6 | 22 (4.3%) | 21 (4.2%) | 1 (4.8%) | 0.996 |
| 7 | 3 (0.6%) | 3 (0.6%) | 0 (0%) | |
| 8 | 2 (0.4%) | 2 (0.4%) | 0 (0%) | |
| 9 | 1 (0.2%) | 1 (0.2%) | 0 (0%) | |
| 10 | 2 (0.4%) | 2 (0.4%) | 0 (0%) | |
| MELD | 7.0 (6.0–8.0) | 7.0 (6.0–8.0) | 7.0 (7.0–9.0) | 0.449 |
| APRI | 0.5 (0.3–1.1) | 0.5 (0.3–1.1) | 0.8 (0.7–1.5) | 0.005 |
| FIB-4 | 2.6 (1.7–5.0) | 2.5 (1.7–4.8) | 3.8 (2.9–7.5) | 0.004 |
| Child–Pugh | p-Value (vs. Baseline) | MELD | p-Value (vs. Baseline) | |
|---|---|---|---|---|
| Baseline | 5.0 (5.0–5.0) | 7.0 (6.0–8.0) | ||
| 1 year | 5.0 (5.0–5.0) | 0.498 | 7.0 (6.0–8.0) | 0.009 |
| 2 year | 5.0 (5.0–5.0) | 0.094 | 7.0 (6.0–7.0) | <0.001 |
| 3 year | 5.0 (5.0–5.0) | 0.292 | 7.0 (6.0–7.0) | <0.001 |
| 4 year | 5.0 (5.0–5.0) | 0.134 | 6.0 (6.0–7.0) | <0.001 |
| 5 year | 5.0 (5.0–5.0) | 0.315 | 6.0 (6.0–7.0) | 0.001 |
| 6 year | 5.0 (5.0–5.0) | 0.317 | 7.0 (6.0–7.0) | 0.005 |
| 7 year | 5.0 (5.0–5.0) | 0.414 | 7.0 (7.0–8.0) | 0.109 |
| APRI | p-Value (vs. Baseline) | FIB-4 | p-Value (vs. Baseline) | |
|---|---|---|---|---|
| Baseline | 0.5 (0.3–1.1) | 2.6 (1.7–4.9) | ||
| 1 year | 0.4 (0.3–0.6) | <0.001 | 2.1 (1.5–3.2) | <0.001 |
| 2 year | 0.4 (0.3–0.5) | <0.001 | 2.1 (1.5–3.1) | <0.001 |
| 3 year | 0.4 (0.3–0.6) | <0.001 | 2.1 (1.5–3.1) | <0.001 |
| 4 year | 0.4 (0.3–0.5) | <0.001 | 2.1 (1.5–3.3) | <0.001 |
| 5 year | 0.4 (0.3–0.6) | <0.001 | 2.1 (1.5–3.2) | <0.001 |
| 6 year | 0.6 (0.3–0.6) | <0.001 | 2.2 (1.6–3.6) | <0.001 |
| 7 year | 0.5 (0.3–0.8) | <0.001 | 2.9 (2.0–5.0) | 0.006 |
| Patient | Gender | Age | Genotype | Treatment | Cirrhosis | Alcohol | Time after SVR (Months) | AFP (ng/mL) | Child–Pugh | MELD | APRI | FIB-4 |
|---|---|---|---|---|---|---|---|---|---|---|---|---|
| 1 | Male | 73 | 1b | LDV/SOF | + | – | 25 | 6.0 | 5 | 7 | 0.490 | 2.751 |
| 2 | Female | 48 | 2a | SOF + RBV | + | – | 18 | 4.31 | 6 | 12 | 3.871 | 13.569 |
| 3 | Male | 41 | 3a | SOF + RBV | + | + | 75 | 7.18 | 5 | 6 | 0.878 | 1.651 |
| 4 | Male | 76 | 2a | SOF + RBV | + | – | 3 | 9.7 | 5 | 6 | 0.452 | 2.867 |
| 5 | Male | 69 | 1b | SOF + DCV | + | – | 27 | 8.02 | 5 | 8 | 0.930 | 3.825 |
| 6 | Female | 56 | 2a | SOF + RBV | + | + | 51 | 5.61 | 5 | 6 | 0.833 | 3.528 |
| 7 | Male | 67 | 2a | SOF + RBV | + | – | 17 | 4.29 | 5 | 9 | 0.951 | 2.833 |
| 8 | Female | 71 | 2a | SOF + RBV | – | – | 37 | 3.8 | 5 | 6 | 0.693 | 3.377 |
| 9 | Male | 69 | 3a | SOF + DCV | + | – | 68 | 5.93 | 5 | 6 | 0.675 | 3.290 |
| 10 | Male | 67 | 2a | SOF + RBV | – | – | 28 | 8.35 | 5 | 6 | 0.717 | 3.630 |
| 11 | Female | 70 | 1b | LDV/SOF | + | – | 73 | 2.7 | 5 | 7 | 0.689 | 4.112 |
| 12 | Female | 63 | 2a | SOF + RBV | + | – | 50 | 6.35 | 5 | 8 | 3.202 | 12.028 |
| 13 | Female | 70 | 2 | SOF + RBV | + | – | 86 | 5 | 9 | 2.627 | 6.859 | |
| 14 | Female | 71 | 2a/2c | SOF + RBV | + | + | 6 | 5 | 9 | 0.714 | 5.626 | |
| 15 | Male | 79 | 2 | SOF + RBV | + | – | 21 | 0.97 | 5 | 7 | 0.747 | 7.469 |
| 16 | Male | 70 | 2 | SOF + RBV | – | – | 46 | 2.01 | 5 | 8 | ||
| 17 | Male | 78 | 2a/2c | SOF + RBV | – | – | 2 | 4.8 | 5 | 8 | 0.694 | 5.594 |
| 18 | Male | 54 | 2 | SOF + RBV | + | – | 65 | 9.99 | 5 | 7 | 2.786 | 11.580 |
| 19 | Male | 80 | 2 | SOF + RBV | + | – | 49 | 13.18 | 5 | 7 | 1.472 | 11.424 |
| 20 | Female | 66 | 2 | SOF + RBV | + | – | 30 | 178.46 | 5 | 6 | 5.69 | 10.951 |
| 21 | Female | 69 | 1b | LDV/SOF | + | – | 26 | 45.08 | 5 | 7 | 0.974 | 2.465 |
| Variable | Univariate Analysis | Multivariate Analysis (Age, Cirrhosis, AFP) | Multivariate Analysis (Age, AFP, APRI) | |||
|---|---|---|---|---|---|---|
| HR (95% CI) | p-Value | HR (95% CI) | p-value | HR (95% CI) | p-Value | |
| Age > 65 years | 4.761 (1.730–13.102) | 0.003 | 3.547 (1.263–9.962) | 0.016 | 3.182 (1.120–9.040) | 0.030 |
| Cirrhosis | 6.912 (2.300–20.768) | 0.001 | 4.916 (1.607–15.042) | 0.005 | ||
| AFP > 4.2 ng/mL | 5.452 (1.809–16.433) | 0.003 | 3.789 (1.027–13.984) | 0.046 | ||
| APRI > 0.670 | 11.739 (2.710–50.843) | 0.001 | 4.896 (1.026–23.366) | 0.046 | ||
Disclaimer/Publisher’s Note: The statements, opinions and data contained in all publications are solely those of the individual author(s) and contributor(s) and not of MDPI and/or the editor(s). MDPI and/or the editor(s) disclaim responsibility for any injury to people or property resulting from any ideas, methods, instructions or products referred to in the content. |
© 2024 by the authors. Licensee MDPI, Basel, Switzerland. This article is an open access article distributed under the terms and conditions of the Creative Commons Attribution (CC BY) license (https://creativecommons.org/licenses/by/4.0/).
Share and Cite
Park, Y.; Na, S.-K.; Yoon, J.-H.; Kim, S.-E.; Park, J.-W.; Kim, G.-A.; Lee, H.-Y.; Lee, Y.-S.; Kim, J.-H. Prognosis Following Sustained Virologic Response in Korean Chronic Hepatitis C Patients Treated with Sofosbuvir-Based Treatment: Data from a Multicenter Prospective Observational Study up to 7 Years. Medicina 2024, 60, 1132. https://doi.org/10.3390/medicina60071132
Park Y, Na S-K, Yoon J-H, Kim S-E, Park J-W, Kim G-A, Lee H-Y, Lee Y-S, Kim J-H. Prognosis Following Sustained Virologic Response in Korean Chronic Hepatitis C Patients Treated with Sofosbuvir-Based Treatment: Data from a Multicenter Prospective Observational Study up to 7 Years. Medicina. 2024; 60(7):1132. https://doi.org/10.3390/medicina60071132
Chicago/Turabian StylePark, Yewan, Seong-Kyun Na, Jae-Hyun Yoon, Sung-Eun Kim, Ji-Won Park, Gi-Ae Kim, Hyo-Young Lee, Young-Sun Lee, and Jeong-Han Kim. 2024. "Prognosis Following Sustained Virologic Response in Korean Chronic Hepatitis C Patients Treated with Sofosbuvir-Based Treatment: Data from a Multicenter Prospective Observational Study up to 7 Years" Medicina 60, no. 7: 1132. https://doi.org/10.3390/medicina60071132
APA StylePark, Y., Na, S.-K., Yoon, J.-H., Kim, S.-E., Park, J.-W., Kim, G.-A., Lee, H.-Y., Lee, Y.-S., & Kim, J.-H. (2024). Prognosis Following Sustained Virologic Response in Korean Chronic Hepatitis C Patients Treated with Sofosbuvir-Based Treatment: Data from a Multicenter Prospective Observational Study up to 7 Years. Medicina, 60(7), 1132. https://doi.org/10.3390/medicina60071132

