Rehabilitation for Patients with COVID-19-Associated Acute Respiratory Distress Syndrome During Quarantine: A Single-Center Experience
Abstract
1. Introduction
2. Materials and Methods
2.1. Study Design and Patient Selection
2.2. Ethics Approval
2.3. Data Collection
2.4. Statistical Analysis
3. Results
3.1. Patient Characteristics
3.2. Participation in a Rehabilitation Program During Quarantine
3.3. Clinical Factors Affecting Rehabilitation Program Implementation During Quarantine
4. Discussion
5. Conclusions
Author Contributions
Funding
Institutional Review Board Statement
Informed Consent Statement
Data Availability Statement
Acknowledgments
Conflicts of Interest
References
- Kress, J.P.; Hall, J.B. ICU-acquired weakness and recovery from critical illness. N. Engl. J. Med. 2014, 370, 1626–1635. [Google Scholar] [CrossRef]
- Tipping, C.J.; Harrold, M.; Holland, A.; Romero, L.; Nisbet, T.; Hodgson, C.L. The effects of active mobilisation and rehabilitation in ICU on mortality and function: A systematic review. Intensive Care Med. 2017, 43, 171–183. [Google Scholar] [CrossRef]
- Thomas, P.; Baldwin, C.; Bissett, B.; Boden, I.; Gosselink, R.; Granger, C.L.; Hodgson, C.; Jones, A.Y.; Kho, M.E.; Moses, R.; et al. Physiotherapy management for COVID-19 in the acute hospital setting: Clinical practice recommendations. J. Physiother. 2020, 66, 73–82. [Google Scholar] [CrossRef]
- Vitacca, M.; Carone, M.; Clini, E.M.; Paneroni, M.; Lazzeri, M.; Lanza, A.; Privitera, E.; Pasqua, F.; Gigliotti, F.; Castellana, G.; et al. Joint Statement on the Role of Respiratory Rehabilitation in the COVID-19 Crisis: The Italian Position Paper. Respiration 2020, 99, 493–499. [Google Scholar] [CrossRef]
- Battaglini, D.; Robba, C.; Caiffa, S.; Ball, L.; Brunetti, I.; Loconte, M.; Giacobbe, D.R.; Vena, A.; Patroniti, N.; Bassetti, M.; et al. Chest physiotherapy: An important adjuvant in critically ill mechanically ventilated patients with COVID-19. Respir. Physiol. Neurobiol. 2020, 282, 103529. [Google Scholar] [CrossRef]
- Aziz, S.; Arabi, Y.M.; Alhazzani, W.; Evans, L.; Citerio, G.; Fischkoff, K.; Salluh, J.; Meyfroidt, G.; Alshamsi, F.; Oczkowski, S.; et al. Managing ICU surge during the COVID-19 crisis: Rapid guidelines. Intensive Care Med. 2020, 46, 1303–1325. [Google Scholar] [CrossRef]
- Force, A.D.T.; Ranieri, V.M.; Rubenfeld, G.D.; Thompson, B.T.; Ferguson, N.D.; Caldwell, E.; Fan, E.; Camporota, L.; Slutsky, A.S. Acute respiratory distress syndrome: The Berlin Definition. JAMA 2012, 307, 2526–2533. [Google Scholar]
- Acute Respiratory Distress Syndrome Network; Brower, R.G.; Matthay, M.A.; Morris, A.; Schoenfeld, D.; Thompson, B.T.; Wheeler, A. Ventilation with lower tidal volumes as compared with traditional tidal volumes for acute lung injury and the acute respiratory distress syndrome. N. Engl. J. Med. 2000, 342, 1301–1308. [Google Scholar] [CrossRef]
- Group, R.C.; Horby, P.; Lim, W.S.; Emberson, J.R.; Mafham, M.; Bell, J.L.; Linsell, L.; Staplin, N.; Brightling, C.; Ustianowski, A.; et al. Dexamethasone in Hospitalized Patients with COVID-19. N. Engl. J. Med. 2021, 384, 693–704. [Google Scholar]
- Beigel, J.H.; Tomashek, K.M.; Dodd, L.E.; Mehta, A.K.; Zingman, B.S.; Kalil, A.C.; Hohmann, E.; Chu, H.Y.; Luetkemeyer, A.; Kline, S.; et al. Remdesivir for the Treatment of COVID-19—Final Report. N. Engl. J. Med. 2020, 383, 1813–1826. [Google Scholar] [CrossRef]
- Knaus, W.A.; Draper, E.A.; Wagner, D.P.; Zimmerman, J.E. APACHE II: A severity of disease classification system. Crit. Care Med. 1985, 13, 818–829. [Google Scholar] [CrossRef]
- Vincent, J.L.; Moreno, R.; Takala, J.; Willatts, S.; De Mendonca, A.; Bruining, H.; Reinhart, C.K.; Suter, P.M.; Thijs, L.G. The SOFA (Sepsis-related Organ Failure Assessment) score to describe organ dysfunction/failure. On behalf of the Working Group on Sepsis-Related Problems of the European Society of Intensive Care Medicine. Intensive Care Med. 1996, 22, 707–710. [Google Scholar] [CrossRef]
- Charlson, M.E.; Pompei, P.; Ales, K.L.; MacKenzie, C.R. A new method of classifying prognostic comorbidity in longitudinal studies: Development and validation. J. Chronic Dis. 1987, 40, 373–383. [Google Scholar] [CrossRef]
- Singer, M.; Deutschman, C.S.; Seymour, C.W.; Shankar-Hari, M.; Annane, D.; Bauer, M.; Bellomo, R.; Bernard, G.R.; Chiche, J.-D.; Coopersmith, C.M.; et al. The Third International Consensus Definitions for Sepsis and Septic Shock (Sepsis-3). JAMA 2016, 315, 801–810. [Google Scholar] [CrossRef]
- Guerin, C.; Reignier, J.; Richard, J.C.; Beuret, P.; Gacouin, A.; Boulain, T.; Mercier, E.; Badet, M.; Mercat, A.; Baudin, O.; et al. Prone positioning in severe acute respiratory distress syndrome. N. Engl. J. Med. 2013, 368, 2159–2168. [Google Scholar] [CrossRef]
- Mathews, K.S.; Soh, H.; Shaefi, S.; Wang, W.; Bose, S.; Coca, S.; Gupta, S.; Hayek, S.S.; Srivastava, A.; Brenner, S.K.; et al. Prone Positioning and Survival in Mechanically Ventilated Patients With Coronavirus Disease 2019-Related Respiratory Failure. Crit. Care Med. 2021, 49, 1026–1037. [Google Scholar] [CrossRef]
- Combes, A.; Hajage, D.; Capellier, G.; Demoule, A.; Lavoue, S.; Guervilly, C.; Da Silva, D.; Zafrani, L.; Tirot, P.; Veber, B.; et al. Extracorporeal Membrane Oxygenation for Severe Acute Respiratory Distress Syndrome. N. Engl. J. Med. 2018, 378, 1965–1975. [Google Scholar] [CrossRef]
- Perkins, N.J.; Schisterman, E.F. The inconsistency of “optimal” cutpoints obtained using two criteria based on the receiver operating characteristic curve. Am. J. Epidemiol. 2006, 163, 670–675. [Google Scholar] [CrossRef]
- Cheung, N.H.; Napolitano, L.M. Tracheostomy: Epidemiology, indications, timing, technique, and outcomes. Respir. Care 2014, 59, 895–915. [Google Scholar] [CrossRef]
- Raimondi, N.; Vial, M.R.; Calleja, J.; Quintero, A.; Cortes, A.; Celis, E.; Pacheco, C.; Ugarte, S.; Añón, J.M.; Hernández, G.; et al. Evidence-based guidelines for the use of tracheostomy in critically ill patients. J. Crit. Care 2017, 38, 304–318. [Google Scholar] [CrossRef] [PubMed]
- Hernandez, G.; Ramos, F.J.; Anon, J.M.; Ortiz, R.; Colinas, L.; Masclans, J.R.; De Haro, C.; Ortega, A.; Peñuelas, O.; Del Mar Cruz-Delgado, M.; et al. Early Tracheostomy for Managing ICU Capacity During the COVID-19 Outbreak: A Propensity-Matched Cohort Study. Chest 2022, 161, 121–129. [Google Scholar] [CrossRef] [PubMed]
- Girard, T.D.; Alhazzani, W.; Kress, J.P.; Ouellette, D.R.; Schmidt, G.A.; Truwit, J.D.; Burns, S.M.; Epstein, S.K.; Esteban, A.; Fan, E.; et al. An Official American Thoracic Society/American College of Chest Physicians Clinical Practice Guideline: Liberation from Mechanical Ventilation in Critically Ill Adults. Rehabilitation Protocols, Ventilator Liberation Protocols, and Cuff Leak Tests. Am. J. Respir. Crit. Care Med. 2017, 195, 120–133. [Google Scholar] [CrossRef]
- Kim, T.; Huh, S.; Kim, S.Y.; Han, J.; Lee, S.E.; Cho, W.H.; Kim, Y.S.; Jeon, D.S.; Yeo, H.J. ICU rehabilitation is associated with reduced long-term mortality from sepsis in patients with low skeletal muscle mass: A case control study. Ann. Transl. Med. 2019, 7, 430. [Google Scholar] [CrossRef]
- Yoo, W.; Jang, M.H.; Kim, S.H.; Kim, S.; Jo, E.J.; Eom, J.S.; Mok, J.; Kim, M.-H.; Lee, K. Association between Participation in a Rehabilitation Program and 1-Year Survival in Patients Requiring Prolonged Mechanical Ventilation. Tuberc. Respir. Dis. 2023, 86, 133–141. [Google Scholar] [CrossRef]



| Variable | Total (n = 154) | One-Year Survivors (n = 78) | One-Year Non-Survivors (n = 76) | p-Value |
|---|---|---|---|---|
| Male, n (%) | 92 (59.7) | 41 (52.6) | 51 (67.1) | 0.073 |
| Age (years) | 67.3 ± 13.4 | 61.8 ± 14.7 | 73.0 ± 9.0 | <0.001 |
| BMI (kg/m2) (a) | 24.5 ± 4.1 | 25.6 ± 4.2 | 23.3 ± 3.8 | <0.001 |
| ICU LOS (days) | 31 (2–139) | 42 (12–139) | 17 (2–108) | <0.001 |
| MV LOS (days) | 15 (1–108) | 18 (5–98) | 14 (1–108) | 0.042 |
| Hospital LOS (days) | 31 (2–139) | 42 (13–139) | 17 (2–108) | <0.001 |
| APACHE II score (a) | 17.0 ± 5.8 | 15.1 ± 4.8 | 19.0 ± 5.9 | <0.001 |
| SOFA score (a) | 6.8 ± 3.1 | 6.0 ± 2.6 | 7.6 ± 3.3 | 0.001 |
| Charlson’s comorbidity index | 2.2 ± 1.8 | 1.6 ± 1.5 | 2.7 ± 2.0 | <0.001 |
| Most common comorbidities before admission | ||||
| Diabetes | 62 (40.3) | 27 (34.6) | 35 (46.1) | 0.189 |
| Chronic neurologic diseases (b) | 45 (29.2) | 18 (23.1) | 27 (35.5) | 0.111 |
| Cardiovascular diseases | 26 (16.9) | 6 (7.7) | 20 (26.3) | 0.002 |
| Hemato-oncologic diseases | 25 (16.2) | 10 (12.8) | 15 (19.7) | 0.279 |
| Chronic kidney diseases | 22 (14.3) | 3 (3.8) | 19 (25.0) | <0.001 |
| Chronic lung diseases (c) | 15 (9.7) | 6 (7.7) | 9 (11.8) | 0.426 |
| ARDS severity | ||||
| Mild | 28 (18.2) | 15 (19.2) | 13 (17.1) | 0.880 |
| Moderate | 82 (53.2) | 40 (51.3) | 42 (55.3) | |
| Severe | 44 (28.6) | 23 (29.5) | 21 (27.6) | |
| Septic shock | 35 (22.7) | 10 (12.8) | 25 (32.9) | 0.004 |
| NMBAs during first 48 h after endotracheal intubation | 147 (95.5) | 75 (96.2) | 72 (94.7) | 0.717 |
| Prone position during invasive MV | 48 (31.2) | 30 (38.5) | 18 (23.7) | 0.056 |
| ECMO insertion during hospital stay (d) | 27 (17.5) | 17 (21.8) | 10 (13.2) | 0.204 |
| Hemodialysis within 72 h after MV (e) | 13 (8.4) | 1 (1.3) | 12 (15.8) | 0.001 |
| Tracheostomy during quarantine period | 85 (55.2) | 53 (67.9) | 32 (42.1) | 0.002 |
| Rehabilitation program during COVID-19 quarantine (f) | 45 (29.2) | 34 (43.6) | 11 (14.5) | <0.001 |
| Variable | Rehabilitation Program During Quarantine (a) | p-Value | |
|---|---|---|---|
| Yes (n = 45) | No (n = 109) | ||
| Male | 27 (60.0) | 65 (59.6) | >0.999 |
| Age, years | 66 (27–86) | 72 (19–88) | 0.012 |
| BMI, kg/m2 | 26.2 ± 4.3 | 23.8 ± 3.9 | 0.001 |
| APACHE II score (b) | 15.1 ± 5.1 | 17.8 ± 5.8 | 0.007 |
| SOFA score (b) | 6.4 ± 2.8 | 7.0 ± 3.1 | 0.319 |
| ICU LOS | 45 (7–139) | 25 (2–108) | <0.001 |
| MV LOS | 22 (7–85) | 14 (1–108) | 0.007 |
| Hospital LOS | 45 (7–139) | 26 (2–108) | <0.001 |
| Charlson’s comorbidity index | 1.9 ± 1.9 | 2.3 ± 1.8 | 0.227 |
| Most common comorbidities before admission | |||
| Diabetes | 17 (27.4) | 45 (41.3) | 0.721 |
| Chronic neurologic diseases (c) | 8 (17.8) | 37 (33.9) | 0.052 |
| Cardiovascular diseases | 7 (15.6) | 19 (17.4) | >0.999 |
| Hemato-oncologic diseases | 6 (13.3) | 19 (17.4) | 0.635 |
| Chronic kidney diseases | 5 (11.1) | 17 (15.6) | 0.615 |
| Chronic lung diseases (d) | 6 (13.3) | 9 (8.3) | 0.374 |
| ARDS severity: severe | 22 (48.9) | 22 (20.1) | 0.001 |
| Hemodialysis within 72 h after MV (e) | 0 (0.0) | 13 (11.9) | 0.011 |
| Septic shock on the day of MV | 6 (13.3) | 29 (26.6) | 0.092 |
| Inflammatory markers on the day of MV | |||
| C-reactive protein (mg/dL) | 10.5 (0.8–44.2) | 10.8 (0.1–38.1) | 0.729 |
| Procalcitonin (ng/mL) | 0.2 (0.1–10.9) | 0.3 (0.1–67.2) | 0.178 |
| Prone position during quarantine period | 17 (37.8) | 31 (28.4) | 0.259 |
| ECMO insertion during quarantine period | 15 (33.3) | 12 (11.0) | 0.002 |
| Tracheostomy during quarantine period | 34 (75.6) | 51 (46.8) | 0.001 |
| In-hospital mortality | 8 (17.8) | 55 (50.5) | <0.001 |
| One-year cumulative mortality | 11 (24.4) | 65 (59.6) | <0.001 |
| Variable | Univariate OR (95% CI) | p-Value | Multivariate OR (95% CI) | p-Value | β-Coefficient |
|---|---|---|---|---|---|
| Tracheostomy during quarantine | 3.515 (1.616–7.645) | 0.002 | 2.796 (1.238–6.316) | 0.013 | 1.028 |
| BMI ≥ 25.0 kg/m2 (b) | 3.171 (1.545–6.511) | 0.002 | 2.724 (1.276–5.817) | 0.010 | 1.002 |
| Requirement for ECMO during quarantine | 4.042 (1.706–9.575) | 0.002 | 2.931 (1.165–7.377) | 0.022 | 1.075 |
| APACHE II score ≤ 16 (c) | 3.106 (1.533–6.292) | 0.023 | |||
| Without septic shock on day of MV | 2.356 (0.903–6.146) | 0.080 |
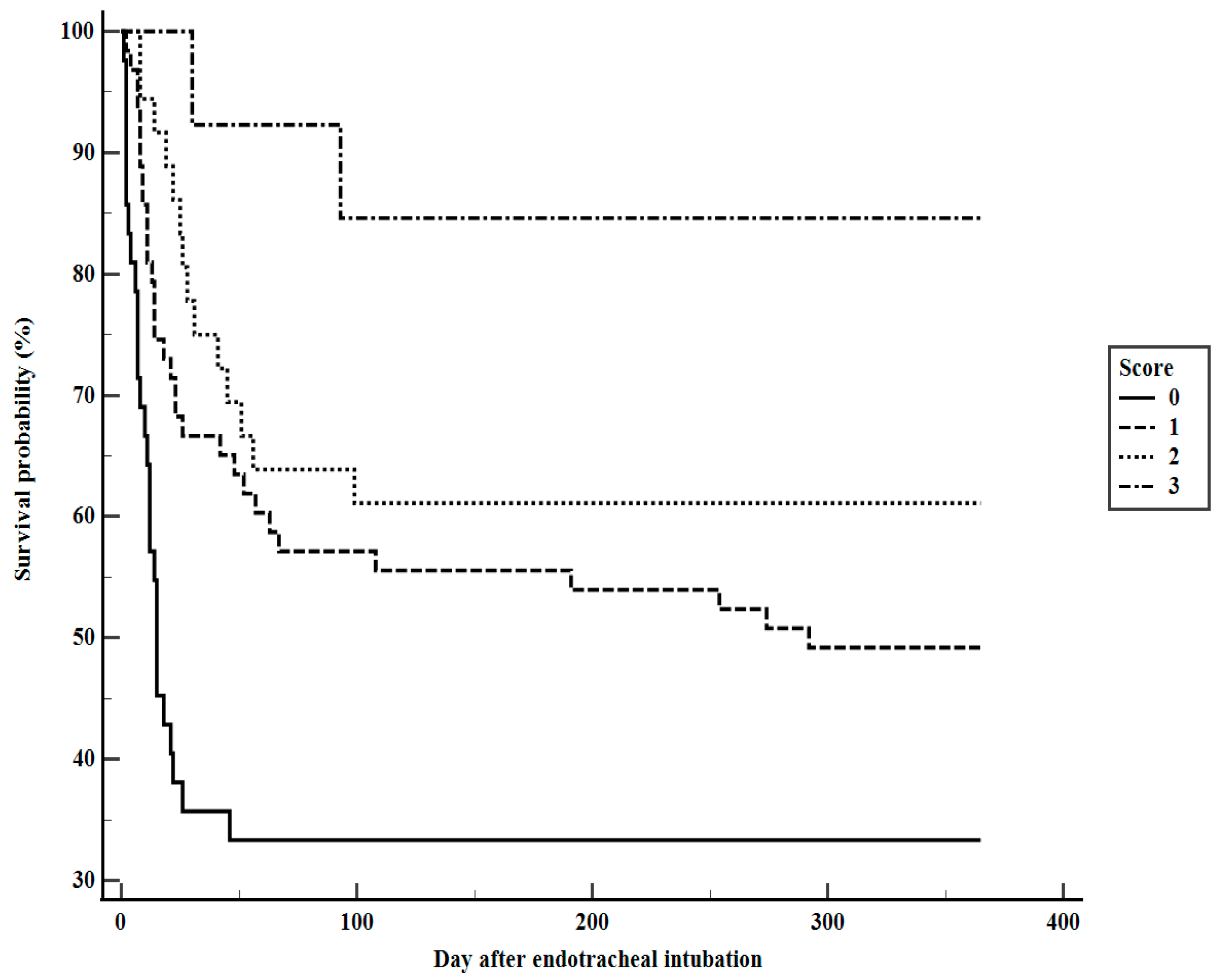
| Number of Factors = 0 (n = 42) | Number of Factors = 1 (n = 63) | Number of Factors = 2 (n = 36) | Number of Factors = 3 (n = 13) | |
|---|---|---|---|---|
| Male | 30 (71.4) | 39 (61.9) | 15 (41.7) | 8 (61.5) |
| Age (years) | 68.1 ± 12.2 (c) | 71.8 ± 9.4 (c) | 66.6 ± 11.6 (c) | 45.0 ± 16.4 (d) |
| APACHE II score (b) | 18.5 ± 5.9 (c) | 17.8 ± 6.0 (c) | 15.6 ± 4.1 (c) | 12.4 ± 4.5 (d) |
| SOFA score (b) | 7.3 ± 3.4 | 7.0 ± 3.1 | 6.2 ± 2.3 | 5.9 ± 2.9 |
| Charlson’s comorbidity index | 2.4 ± 2.0 (c) | 2.4 ± 1.9 (c) | 2.0 ± 1.5 (c) | 1.2 ± 2.0 (d) |
| MV LOS | 10 (1–33) (c) | 15 (2–108) (d) | 22 (8–85) (d) | 30 (9–98) (e) |
| Hospital LOS | 18 (2–92) (c) | 28 (3–139) (d) | 45 (8–117) (d) | 48 (20–98) (e) |
Disclaimer/Publisher’s Note: The statements, opinions and data contained in all publications are solely those of the individual author(s) and contributor(s) and not of MDPI and/or the editor(s). MDPI and/or the editor(s) disclaim responsibility for any injury to people or property resulting from any ideas, methods, instructions or products referred to in the content. |
© 2024 by the authors. Published by MDPI on behalf of the Lithuanian University of Health Sciences. Licensee MDPI, Basel, Switzerland. This article is an open access article distributed under the terms and conditions of the Creative Commons Attribution (CC BY) license (https://creativecommons.org/licenses/by/4.0/).
Share and Cite
Jang, M.H.; Shin, Y.B.; Shin, H.J.; Jeong, E.; Kim, S.; Yoo, W.; Jang, H.; Lee, K. Rehabilitation for Patients with COVID-19-Associated Acute Respiratory Distress Syndrome During Quarantine: A Single-Center Experience. Medicina 2024, 60, 1719. https://doi.org/10.3390/medicina60101719
Jang MH, Shin YB, Shin HJ, Jeong E, Kim S, Yoo W, Jang H, Lee K. Rehabilitation for Patients with COVID-19-Associated Acute Respiratory Distress Syndrome During Quarantine: A Single-Center Experience. Medicina. 2024; 60(10):1719. https://doi.org/10.3390/medicina60101719
Chicago/Turabian StyleJang, Myung Hun, Yong Beom Shin, Ho Jeong Shin, Eunsuk Jeong, Saerom Kim, Wanho Yoo, Hyojin Jang, and Kwangha Lee. 2024. "Rehabilitation for Patients with COVID-19-Associated Acute Respiratory Distress Syndrome During Quarantine: A Single-Center Experience" Medicina 60, no. 10: 1719. https://doi.org/10.3390/medicina60101719
APA StyleJang, M. H., Shin, Y. B., Shin, H. J., Jeong, E., Kim, S., Yoo, W., Jang, H., & Lee, K. (2024). Rehabilitation for Patients with COVID-19-Associated Acute Respiratory Distress Syndrome During Quarantine: A Single-Center Experience. Medicina, 60(10), 1719. https://doi.org/10.3390/medicina60101719

