Efficacy and Safety of Evolocumab and Alirocumab as PCSK9 Inhibitors in Pediatric Patients with Familial Hypercholesterolemia: A Systematic Review and Meta-Analysis
Abstract
1. Introduction
2. Materials and Methods
2.1. Data Sources and Searches
2.2. Study Selection
2.3. Data Extraction
2.4. Quality Assessment
2.5. Data Synthesis and Statistical Analysis
3. Results
3.1. Study Selection and Characteristics
3.2. Study Quality and Risk-of-Bias Assessment
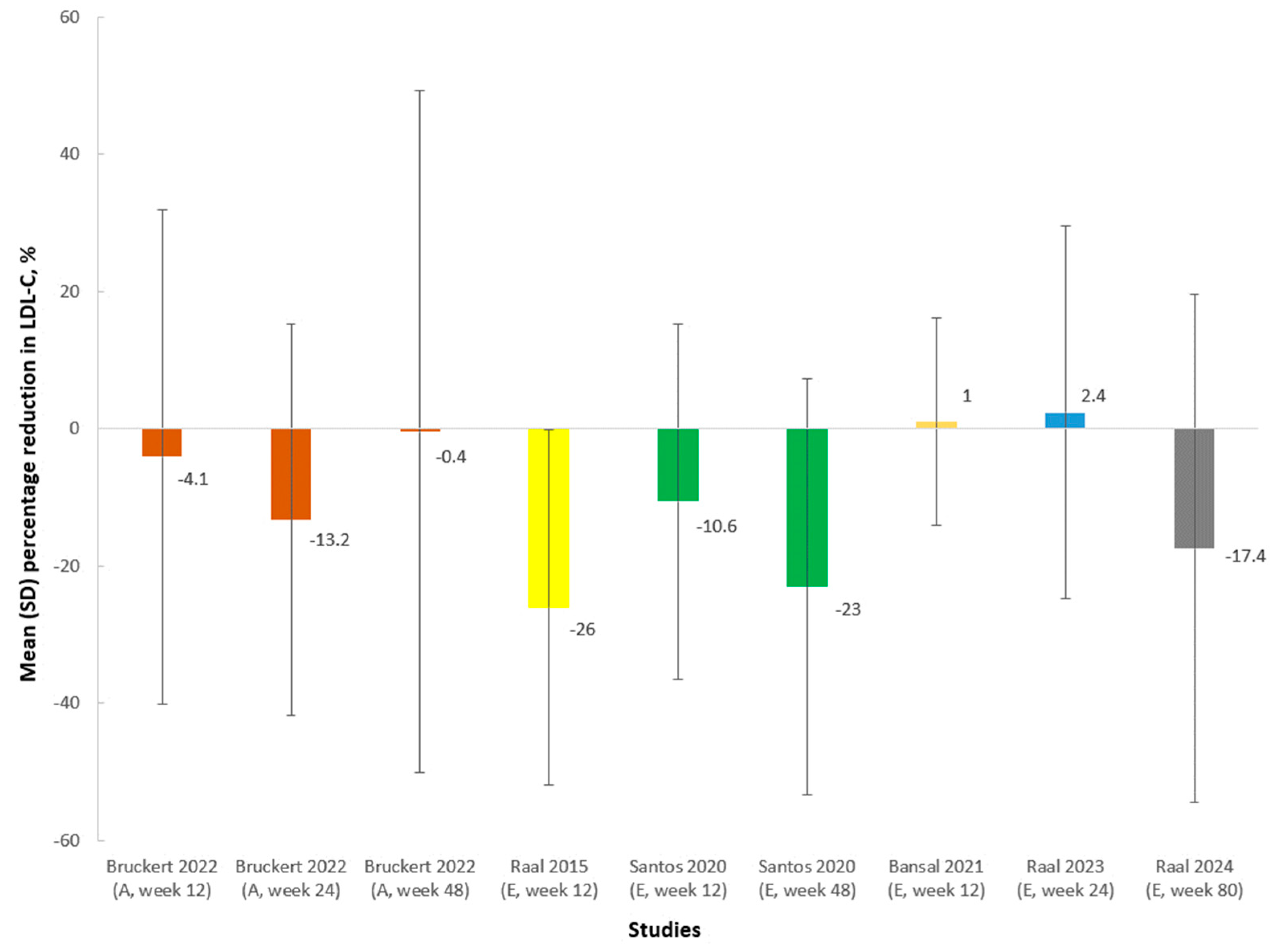
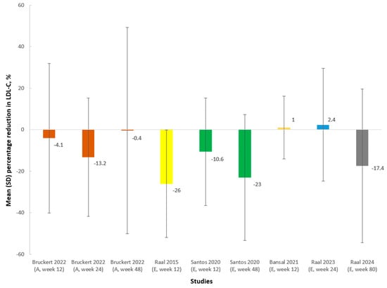
3.3. Efficacy Outcomes
3.4. Safety Data
4. Discussion
5. Conclusions
Author Contributions
Funding
Institutional Review Board Statement
Informed Consent Statement
Data Availability Statement
Acknowledgments
Conflicts of Interest
References
- Defesche, J.C.; Gidding, S.S.; Harada-Shiba, M.; Hegele, R.A.; Santos, R.D.; Wierzbicki, A.S. Familial hypercholesterolaemia. Nat. Rev. Dis. Primers 2017, 3, 17093. [Google Scholar] [CrossRef] [PubMed]
- Beheshti, S.O.; Madsen, C.M.; Varbo, A.; Nordestgaard, B.G. Worldwide Prevalence of Familial Hypercholesterolemia: Meta-Analyses of 11 Million Subjects. J. Am. Coll. Cardiol. 2020, 75, 2553–2566. [Google Scholar] [CrossRef] [PubMed]
- Hu, P.; Dharmayat, K.I.; Stevens, C.A.T.; Sharabiani, M.T.A.; Jones, R.S.; Watts, G.F.; Genest, J.; Ray, K.K.; Vallejo-Vaz, A.J. Prevalence of Familial Hypercholesterolemia among the General Population and Patients with Atherosclerotic Cardiovascular Disease: A Systematic Review and Meta-Analysis. Circulation 2020, 141, 1742–1759. [Google Scholar] [CrossRef]
- Wiegman, A.; Gidding, S.S.; Watts, G.F.; Chapman, M.J.; Ginsberg, H.N.; Cuchel, M.; Ose, L.; Averna, M.; Boileau, C.; Borén, J.; et al. European Atherosclerosis Society Consensus Panel. Familial hypercholesterolaemia in children and adolescents: Gaining decades of life by optimizing detection and treatment. Eur. Heart J. 2015, 36, 2425–2437. [Google Scholar] [CrossRef]
- Cuchel, M.; Raal, F.J.; Hegele, R.A.; Al-Rasadi, K.; Arca, M.; Averna, M.; Bruckert, E.; Freiberger, T.; Gaudet, D.; Harada-Shiba, M.; et al. 2023 Update on European Atherosclerosis Society Consensus Statement on Homozygous Familial Hypercholesterolaemia: New treatments and clinical guidance. Eur. Heart J. 2023, 44, 2277–2291. [Google Scholar] [CrossRef]
- Khera, A.V.; Won, H.H.; Peloso, G.M.; Lawson, K.S.; Bartz, T.M.; Deng, X.; van Leeuwen, E.M.; Natarajan, P.; Emdin, C.A.; Bick, A.G.; et al. Diagnostic yield and clinical utility of sequencing familial hypercholesterolemia genes in patients with severe hypercholesterolemia. J. Am. Coll. Cardiol. 2016, 67, 2578–2589. [Google Scholar] [CrossRef] [PubMed]
- Luirink, I.K.; Wiegman, A.; Kusters, D.M.; Hof, M.H.; Groothoff, J.W.; de Groot, E.; Kastelein, J.J.P.; Hutten, B.A. 20-year follow-up of statins in children with familial hypercholesterolemia. N. Engl. J. Med. 2019, 381, 1547–1556. [Google Scholar] [CrossRef]
- Rodenburg, J.; Vissers, M.N.; Wiegman, A.; van Trotsenburg, A.S.; van der Graaf, A.; de Groot, E.; Wijburg, F.A.; Kastelein, J.J.; Hutten, B.A. Statin treatment in children with familial hypercholesterolemia: The younger, the better. Circulation 2007, 116, 664–668. [Google Scholar] [CrossRef]
- Grundy, S.M.; Stone, N.J.; Bailey, A.L.; Beam, C.; Birtcher, K.K.; Blumenthal, R.S.; Braun, L.T.; de Ferranti, S.; Faiella-Tommasino, J.; Forman, D.E.; et al. 2018 AHA/ACC/AACVPR/AAPA/ABC/ACPM/ADA/AGS/APhA/ASPC/NLA/PCNA guideline on the management of blood cholesterol: Executive summary: A report of the American College of Cardiology/American Heart Association Task Force on Clinical Practice Guidelines. J. Am. Coll. Cardiol. 2019, 73, 3168–3209. [Google Scholar] [CrossRef]
- Lagace, T.A. PCSK9 and LDLR degradation: Regulatory mechanisms in circulation and in cells. Curr. Opin. Lipidol. 2014, 25, 387–393. [Google Scholar] [CrossRef]
- Toth, P.P.; Hamon, S.C.; Jones, S.R.; Martin, S.S.; Joshi, P.H.; Kulkarni, K.R.; Banerjee, P.; Hanotin, C.; Roth, E.M.; McKenney, J.M. Effect of alirocumab on specific lipoprotein non-high-density lipoprotein cholesterol and subfractions as measured by the vertical auto profile method: Analysis of 3 randomized trials versus placebo. Lipids Health Dis. 2016, 15, 28. [Google Scholar] [CrossRef] [PubMed]
- Toth, P.P.; Sattar, N.; Blom, D.J.; Martin, S.S.; Jones, S.R.; Monsalvo, M.L.; Elliott, M.; Davis, M.; Somaratne, R.; Preiss, D. Effect of evolocumab on lipoprotein particles. Am. J. Cardiol. 2018, 121, 308–314. [Google Scholar] [CrossRef]
- Cohen, J.C.; Boerwinkle, E.; Mosley, T.H., Jr.; Hobbs, H.H. Sequence variations in PCSK9, low LDL, and protection against coronary heart disease. N. Engl. J. Med. 2006, 354, 1264–1272. [Google Scholar] [CrossRef] [PubMed]
- Banach, M.; Patti, A.M.; Giglio, R.V.; Cicero, A.F.G.; Atanasov, A.G.; Bajraktari, G.; Bruckert, E.; Descamps, O.; Djuric, D.M.; Ezhov, M.; et al. International Lipid Expert Panel (ILEP). The role of nutraceuticals in statin intolerant patients. J. Am. Coll. Cardiol. 2018, 72, 96–118. [Google Scholar] [CrossRef] [PubMed]
- Schwartz, G.G.; Steg, P.G.; Szarek, M.; Bhatt, D.L.; Bittner, V.A.; Diaz, R.; Edelberg, J.M.; Goodman, S.G.; Hanotin, C.; Harrington, R.A.; et al. Alirocumab and cardiovascular outcomes after acute coronary syndrome. N. Engl. J. Med. 2018, 379, 2097–2107. [Google Scholar] [CrossRef]
- Sabatine, M.S.; Giugliano, R.P.; Keech, A.C.; Honarpour, N.; Wiviott, S.D.; Murphy, S.A.; Kuder, J.F.; Wang, H.; Liu, T.; Wasserman, S.M.; et al. Evolocumab and clinical outcomes in patients with cardiovascular disease. N. Engl. J. Med. 2017, 376, 1713–1722. [Google Scholar] [CrossRef]
- Santos, R.D.; Ruzza, A.; Hovingh, G.K.; Wiegman, A.; Mach, F.; Kurtz, C.E.; Hamer, A.; Bridges, I.; Bartuli, A.; Bergeron, J.; et al. Evolocumab in Pediatric Heterozygous Familial Hypercholesterolemia. N. Engl. J. Med. 2020, 383, 1317–1327. [Google Scholar] [CrossRef]
- Santos, R.D.; Wiegman, A.; Caprio, S.; Cariou, B.; Averna, M.; Poulouin, Y.; Scemama, M.; Manvelian, G.; Garon, G.; Daniels, S. Alirocumab in Pediatric Patients with Heterozygous Familial Hypercholesterolemia: A Randomized Clinical Trial. JAMA Pediatr. 2024, 178, 283–293. [Google Scholar] [CrossRef]
- Bruckert, E.; Caprio, S.; Wiegman, A.; Charng, M.J.; Zárate-Morales, C.A.; Baccara-Dinet, M.T.; Manvelian, G.; Ourliac, A.; Scemama, M.; Daniels, S.R. Efficacy and Safety of Alirocumab in Children and Adolescents with Homozygous Familial Hypercholesterolemia: Phase 3, Multinational Open-Label Study. Arterioscler. Thromb. Vasc. Biol. 2022, 42, 1447–1457. [Google Scholar] [CrossRef]
- Raal, F.J.; Hegele, R.A.; Ruzza, A.; López, J.A.G.; Bhatia, A.K.; Wu, J.; Wang, H.; Gaudet, D.; Wiegman, A.; Wang, J.; et al. Evolocumab Treatment in Pediatric Patients with Homozygous Familial Hypercholesterolemia: Pooled Data from Three Open-Label Studies. Arterioscler. Thromb. Vasc. Biol. 2024, 44, 1156–1164. [Google Scholar] [CrossRef]
- Higgins, J.P.T.; Thomas, J.; Chandler, J.; Cumpston, M.; Li, T.; Page, M.J.; Welch, V.A. (Eds.) Cochrane Handbook for Systematic Reviews of Interventions, version 6.4 (updated August 2023); Cochrane; 2023; Available online: www.training.cochrane.org/handbook (accessed on 30 July 2024).
- Moher, D.; Liberati, A.; Tetzlaff, J.; Altman, D.G.; PRISMA Group. Preferred reporting items for systematic reviews and meta-analyses: The PRISMA statement. Ann. Intern. Med. 2009, 151, 264–269, W64. [Google Scholar] [CrossRef]
- Stang, A. Critical evaluation of the Newcastle-Ottawa scale for the assessment of the quality of nonrandomized studies in meta-analyses. Eur. J. Epidemiol. 2010, 25, 603–605. [Google Scholar] [CrossRef] [PubMed]
- Raal, F.J.; Honarpour, N.; Blom, D.J.; Hovingh, G.K.; Xu, F.; Scott, R.; Wasserman, S.M.; Stein, E.A.; TESLA Investigators. Inhibition of PCSK9 with evolocumab in homozygous familial hypercholesterolaemia (TESLA Part B): A randomised, double-blind, placebo-controlled trial. Lancet 2015, 385, 341–350. [Google Scholar] [CrossRef]
- Gaudet, D.; Ruzza, A.; Bridges, I.; Maruff, P.; Schembri, A.; Hamer, A.; Mach, F.; Bergeron, J.; Gaudet, I.; Pierre, J.S.; et al. Cognitive function with evolocumab in pediatric heterozygous familial hypercholesterolemia. J. Clin. Lipidol. 2022, 16, 676–684. [Google Scholar] [CrossRef] [PubMed]
- Bansal, S.; Ruzza, A.; Sawhney, J.; Kulkarni, G.; Iyengar, S.; Mehta, V.; Hamer, A.; Wu, Y.; Raal, F.J. Evolocumab in patients with homozygous familial hypercholesterolemia in India. J. Clin. Lipidol. 2021, 15, 814–821. [Google Scholar] [CrossRef] [PubMed]
- Daniels, S.; Caprio, S.; Chaudhari, U.; Manvelian, G.; Baccara-Dinet, M.T.; Brunet, A.; Scemama, M.; Loizeau, V.; Bruckert, E. PCSK9 inhibition with alirocumab in pediatric patients with heterozygous familial hypercholesterolemia: The ODYSSEY KIDS study. J. Clin. Lipidol. 2020, 14, 322–330.e5. [Google Scholar] [CrossRef] [PubMed]
- Raal, F.J.; Mehta, V.; Kayikcioglu, M.; Blom, D.J.; Gupta, P.; Durst, R.; Asprusten, E.A.; Turner, T.; Bahassi, E.M.; Vest, J.; et al. Response to PCSK9 Inhibition in Homozygous Familial Hypercholesterolemia Patients is Variable in Different Regions of the World and According to Age. Circulation 2023, 148 (Suppl. S1), A15073. [Google Scholar] [CrossRef]
- Santos, R.D.; Stein, E.A.; Hovingh, G.K.; Blom, D.J.; Soran, H.; Watts, G.F.; López, J.A.G.; Bray, S.; Kurtz, C.E.; Hamer, A.W.; et al. Long-Term Evolocumab in Patients with Familial Hypercholesterolemia. J. Am. Coll. Cardiol. 2020, 75, 565–574. [Google Scholar] [CrossRef]
- Raal, F.; Bruckert, E.; Blom, D.; Kurtz, C.; Coll, B.; Tang, L.; Somaratne, R.; Stein, E.A. Evolocumab treatment in paediatric patients with homozygous familial hypercholesterolaemia: The Trial Assessing long-term Use of PCSK9 inhibition in Subjects with Genetic LDL disorders (TAUSSIG). Eur. Heart J. 2017, 38 (Suppl. S1), 644. [Google Scholar] [CrossRef]
- Santos, R.D.; Ruzza, A.; Hovingh, G.K.; Stefanutti, C.; Mach, F.; Descamps, O.S.; Bergeron, J.; Wang, B.; Bartuli, A.; Buonuomo, P.S.; et al. Paediatric patients with heterozygous familial hypercholesterolaemia treated with evolocumab for 80 weeks (HAUSER-OLE): A single-arm, multicentre, open-label extension of HAUSER-RCT. Lancet Diabetes Endocrinol. 2022, 10, 732–740. [Google Scholar] [CrossRef]
- Wiegman, A.; Ruzza, A.; Hovingh, G.K.; Santos, R.D.; Mach, F.; Stefanutti, C.; Luirink, I.; Bridges, I.; Wang, B.; Bhatia, A.K.; et al. Evolocumab treatment reduces carotid intima-media thickness in paediatric patients with heterozygous familial hypercholesterolaemia. Eur. Respir. J. 2022, 60 (Suppl. S66), 2375. [Google Scholar] [CrossRef]
- Santos, R.D.; Ruzza, A.; Wang, B.; Maruff, P.; Schembri, A.; Bhatia, A.K.; Mach, F.; Bergeron, J.; Gaudet, I.; St Pierre, J.; et al. Evolocumab in paediatric heterozygous familial hypercholesterolaemia: Cognitive function during 80 weeks of open-label extension treatment. Eur. J. Prev. Cardiol. 2024, 31, 302–310. [Google Scholar] [CrossRef] [PubMed]
- de Ferranti, S.D.; Shrader, P.; Linton, M.F.; Knowles, J.W.; Hudgins, L.C.; Benuck, I.; Kindt, I.; O’Brien, E.C.; Peterson, A.L.; Ahmad, Z.S.; et al. Children with heterozygous familial hypercholesterolemia in the United States: Data from the Cascade Screening for Awareness and Detection-FH Registry. J. Pediatr. 2021, 229, 70–77. [Google Scholar] [CrossRef] [PubMed]
- Ramaswami, U.; Futema, M.; Bogsrud, M.P.; Holven, K.B.; Roeters van Lennep, J.; Wiegman, A.; Descamps, O.S.; Vrablik, M.; Freiberger, T.; Dieplinger, H.; et al. Comparison of the characteristics at diagnosis and treatment of children with heterozygous familial hypercholesterolaemia (FH) from eight European countries. Atherosclerosis 2020, 292, 178–187. [Google Scholar] [CrossRef] [PubMed]
- Bogsrud, M.P.; Langslet, G.; Wium, C.; Johansen, D.; Svilaas, A.; Holven, K.B. Treatment goal attainment in children with familial hypercholesterolemia: A cohort study of 302 children in Norway. J. Clin. Lipidol. 2018, 12, 375–382. [Google Scholar] [CrossRef]
- Horton, A.E.; Martin, A.C.; Srinivasan, S.; Justo, R.N.; Poplawski, N.K.; Sullivan, D.; Brett, T.; Chow, C.K.; Nicholls, S.J.; Pang, J.; et al. Integrated guidance to enhance the care of children and adolescents with familial hypercholesterolaemia: Practical advice for the community clinician. J. Paediatr. Child Health 2022, 58, 1297–1312. [Google Scholar] [CrossRef]
- Ridker, P.M.; Revkin, J.; Amarenco, P.; Brunell, R.; Curto, M.; Civeira, F.; Flather, M.; Glynn, R.J.; Gregoire, J.; Jukema, J.W.; et al. Cardiovascular efficacy and safety of bococizumab in high-risk patients. N. Engl. J. Med. 2017, 376, 1527–1539. [Google Scholar] [CrossRef]
- Reijman, M.D.; Schweizer, A.; Peterson, A.L.H.; Bruckert, E.; Stratz, C.; Defesche, J.C.; Hegele, R.A.; Wiegman, A. Rationale and design of two trials assessing the efficacy, safety, and tolerability of inclisiran in adolescents with homozygous and heterozygous familial hypercholesterolaemia. Eur. J. Prev. Cardiol. 2022, 29, 1361–1368. [Google Scholar] [CrossRef]
- Kastelein, J.J.; Ginsberg, H.N.; Langslet, G.; Hovingh, G.K.; Ceska, R.; Dufour, R.; Blom, D.; Civeira, F.; Krempf, M.; Lorenzato, C.; et al. ODYSSEY FH I and FH II: 78 week results with alirocumab treatment in 735 patients with heterozygous familial hypercholesterolaemia. Eur. Heart J. 2015, 36, 2996–3003. [Google Scholar] [CrossRef]
- Raal, F.J.; Stein, E.A.; Dufour, R.; Turner, T.; Civeira, F.; Burgess, L.; Langslet, G.; Scott, R.; Olsson, A.G.; Sullivan, D.; et al. PCSK9 inhibition with evolocumab (AMG 145) in heterozygous familial hypercholesterolaemia (RUTHERFORD-2): A randomised, double-blind, placebo-controlled trial. Lancet 2015, 385, 331–340. [Google Scholar] [CrossRef]
- Glavinovic, T.; Thanassoulis, G.; de Graaf, J.; Couture, P.; Hegele, R.A.; Sniderman, A.D. Physiological bases for the superiority of apolipoprotein B over low-density lipoprotein cholesterol and non-high-density lipoprotein cholesterol as a marker of cardiovascular risk. J. Am. Heart Assoc. 2022, 11, e025858. [Google Scholar] [CrossRef] [PubMed]
- Ghasempour, G.; Zamani-Garmsiri, F.; Shaikhnia, F.; Soleimani, A.A.; Hosseini Fard, S.R.; Leila, J.; Teimuri, S.; Parvaz, N.; Mohammadi, P.; Najafi, M. Efficacy and Safety of Alirocumab and Evolocumab as Proprotein Convertase Subtilisin/Kexin Type 9 (PCSK9) Inhibitors in Familial Hypercholesterolemia: A Systematic Review and Meta-Analysis. Curr. Med. Chem. 2024, 31, 223–241. [Google Scholar] [CrossRef] [PubMed]
- Vuorio, A.; Watts, G.F.; Schneider, W.J.; Tsimikas, S.; Kovanen, P.T. Familial hypercholesterolemia and elevated lipoprotein(a): Double heritable risk and new therapeutic opportunities. J. Intern. Med. 2020, 287, 2–18. [Google Scholar] [CrossRef]
- Dai, H.; Zhu, Y.; Chen, Z.; Yan, R.; Liu, J.; He, Z.; Zhang, L.; Zhang, F.; Yan, S. Impact of alirocumab/evolocumab on lipoprotein (a) concentrations in patients with familial hypercholesterolaemia: A systematic review and meta-analysis of randomized controlled trials. Endokrynol. Polska 2023, 74, 234–242. [Google Scholar] [CrossRef] [PubMed]
- Blom, D.J.; Harada-Shiba, M.; Rubba, P.; Gaudet, D.; Kastelein, J.J.P.; Charng, M.J.; Pordy, R.; Donahue, S.; Ali, S.; Dong, Y.; et al. Efficacy and safety of alirocumab in adults with homozygous familial hypercholesterolemia: The odyssey hofh trial. J. Am. Coll. Cardiol. 2020, 76, 131–142. [Google Scholar] [CrossRef]
- Koren, M.J.; Sabatine, M.S.; Giugliano, R.P.; Langslet, G.; Wiviott, S.D.; Ruzza, A.; Ma, Y.; Hamer, A.W.; Wasserman, S.M.; Raal, F.J. Long-term efficacy and safety of evolocumab in patients with hypercholesterolemia. J. Am. Coll. Cardiol. 2019, 74, 2132–2146. [Google Scholar] [CrossRef]
- Roth, E.M.; Goldberg, A.C.; Catapano, A.L.; Torri, A.; Yancopoulos, G.D.; Stahl, N.; Brunet, A.; Lecorps, G.; Colhoun, H.M. Antidrug antibodies in patients treated with alirocumab. N. Engl. J. Med. 2017, 376, 1589–1590. [Google Scholar] [CrossRef]
- Buonuomo, P.S.; Mastrogiorgio, G.; Leone, G.; Rana, I.; Gonfiantini, M.V.; Macchiaiolo, M.; Vecchio, D.; Gnazzo, M.; Bartuli, A. Evolocumab in the management of children <10 years of age affected by homozygous familial hypercholesterolemia. Atherosclerosis 2021, 324, 148–150. [Google Scholar]

indicated low risk of bias. (B) Review authors’ judgements about each risk of bias item were presented as percentages across all included studies.
indicated low risk of bias. (B) Review authors’ judgements about each risk of bias item were presented as percentages across all included studies.




| Study Reference | Study Design | Intervention/Comparator | Treatment Duration | Mean Age (Years ± SD) | Disease Type | Background Treatment | Mean Baseline LDL-C ± SD (mg/dL) | Risk of Bias a |
|---|---|---|---|---|---|---|---|---|
| Raal et al., 2015 [24] TESLA B NCT01588496 | Multicenter, international, double-blind, placebo-controlled RCT | E: 420 mg Q4w (n = 7) PBO: Q4W (n = 3) | 12 w | 15.1 ± 1.4 | HoFH | NA | E: 324.8 ± 132.7 PBO: 385.3 ± 166.6 | See Figure 2 |
| Santos et al., 2020 [17] HAUSER-RCT NCT02392559 Gaudet et al., 2022 [25] | Multicenter, international, double-blind, placebo-controlled RCT | E: 420 mg Q4w (n = 104) PBO: Q4W (n = 53) | 24 w | 13.7 ± 2.4 | HeFH | Statin (n = 124) Ezetimibe (n = 21) | E: 185.0 ± 45.0 PBO: 183.0 ± 47.2 | See Figure 2 |
| Santos et al., 2024 [18] NCT03510884 | Multicenter, international, double-blind placebo-controlled RCT | A: 40 mg (<50 kg) or 75 mg (≥50 kg) Q2w (n = 49) PBO: Q2W (n = 25) | 24 w | 12.8 ± 2.6 | HeFH | Statin (n = 73) Ezetimibe (n = 5) | A: 169.7 ± 46.7 PBO: 175.3 ± 50.2 | See Figure 2 |
| A: 150 mg (<50 kg) or 300 mg (≥50 kg) Q4W (n = 52) PBO: Q4W (n = 27) | 24 w | 13.0 ± 3.0 | HeFH | Statin (n = 72) Ezetimibe (n = 16) | A: 176.8 ± 53.9 PBO: 176.6 ± 49.0 | |||
| Bansal et al., 2021 [26] RAMAN NCT03403374 Raal et al., 2024 [20] | Multicenter, single-country (India), open-label, single-arm trial | E: 420 mg Q4W (n = 13) | 12 w | NA | HoFH | NA | NA | High (6) |
| Bruckert et al., 2022 [19] NCT03510715 | Multicenter, international, open-label, single-arm trial | A: 75 mg (<50 kg) or 150 mg (≥50 kg) Q2W (n = 18) | 48 w | 12.4 ± 2.8 | HoFH | Statin (n = 18) Ezetimibe (n = 15) Apheresis (n = 6) | 373.0 ± 193.5 | High (6) |
| Daniels et al., 2020 [27] ODYSSEY KIDS NCT02890992 | Multicenter, international, open-label, dose-finding study | A: 30 mg (<50 kg) or 50 mg (≥50 kg) Q2W (n = 10) | 8 w | 12.7 ± 2.8 | HeFH | Statin (n = 7) Ezetimibe (n = 4) | 180.3 ±13.2 | High (6) |
| A: 40 mg (<50 kg) or 75 mg (≥50 kg) Q2W (n = 10) | 8 w | 13.1 ± 2.6 | HeFH | Statin (n = 10) | 160.0 ±12.0 | |||
| A: 75 mg (<50 kg) or 150 mg (≥50 kg) Q2W (n = 11) | 8 w | 11.6 ± 2.7 | HeFH | Statin (n = 11) | 172.8 ±13.4 | |||
| A: 150 mg (<50 kg) or 300 mg (≥50 kg) Q2W (n = 11) | 12 w | 12.4 ± 2.3 | HeFH | Statin (n = 11) | 188.9 ± 11.9 | |||
| Raal et al., 2023 [28] LIBerate-HoFH trial [Abstract] | International, randomized, cross-over trial | E: 420 mg Q4W (n = 19) | 24 w | NA | HoFH | NA | 482 ± 30.7 | NA |
| Santos et al., 2020 [29] TAUSSIG NCT01624142 Raal et al., 2017 [30] [Abstract] Raal et al., 2024 [20] | Multicenter, international, open-label, single-arm trial | E: 420 mg Q4W (n = 10) or Q2W (n = 4) (Q2W for patients on apheresis) | 260 w | NA | HoFH | Statin (n = 14) Ezetimibe (n = 13) Apheresis (n = 4) | 351.9 ± 127.6 | High (6) |
| Santos et al., 2022 [31] HAUSER-OLE NCT02624869 Wiegman et al., 2022 [32] [Abstract] Santos et al., 2024 [33] Raal et al., 2024 [20] | Multicenter, international, single-arm, open-label extension of HAUSER-RCT | E: 420 mg Q4W (n = 150) | 80 w | 14·0 ± 3.0 | HeFH | Statin (n = 149) Ezetimibe (n = 21) | 185.6 ± 46.4 | High (6) |
| E: 420 mg Q4W or Q2W (n = 12) | 80 w | 11.9 ± 1.7 | HoFH | Statin (n = 12) Ezetimibe (n = 12) | 406.8 ± 110.1 |
Disclaimer/Publisher’s Note: The statements, opinions and data contained in all publications are solely those of the individual author(s) and contributor(s) and not of MDPI and/or the editor(s). MDPI and/or the editor(s) disclaim responsibility for any injury to people or property resulting from any ideas, methods, instructions or products referred to in the content. |
© 2024 by the authors. Published by MDPI on behalf of the Lithuanian University of Health Sciences. Licensee MDPI, Basel, Switzerland. This article is an open access article distributed under the terms and conditions of the Creative Commons Attribution (CC BY) license (https://creativecommons.org/licenses/by/4.0/).
Share and Cite
Xiao, G.; Gao, S.; Xie, Y.; Wang, Z.; Shu, M. Efficacy and Safety of Evolocumab and Alirocumab as PCSK9 Inhibitors in Pediatric Patients with Familial Hypercholesterolemia: A Systematic Review and Meta-Analysis. Medicina 2024, 60, 1646. https://doi.org/10.3390/medicina60101646
Xiao G, Gao S, Xie Y, Wang Z, Shu M. Efficacy and Safety of Evolocumab and Alirocumab as PCSK9 Inhibitors in Pediatric Patients with Familial Hypercholesterolemia: A Systematic Review and Meta-Analysis. Medicina. 2024; 60(10):1646. https://doi.org/10.3390/medicina60101646
Chicago/Turabian StyleXiao, Guoguang, Shan Gao, Yongmei Xie, Zhiling Wang, and Min Shu. 2024. "Efficacy and Safety of Evolocumab and Alirocumab as PCSK9 Inhibitors in Pediatric Patients with Familial Hypercholesterolemia: A Systematic Review and Meta-Analysis" Medicina 60, no. 10: 1646. https://doi.org/10.3390/medicina60101646
APA StyleXiao, G., Gao, S., Xie, Y., Wang, Z., & Shu, M. (2024). Efficacy and Safety of Evolocumab and Alirocumab as PCSK9 Inhibitors in Pediatric Patients with Familial Hypercholesterolemia: A Systematic Review and Meta-Analysis. Medicina, 60(10), 1646. https://doi.org/10.3390/medicina60101646
