Assessing Liver Fibrosis Using 2D-SWE Liver Ultrasound Elastography and Dynamic Liver Scintigraphy with 99mTc-mebrofenin: A Comparative Prospective Single-Center Study
Abstract
1. Introduction
Aim
2. Materials and Methods
3. Results
3.1. Patients
3.2. Histological Examination
3.3. Imaging Studies
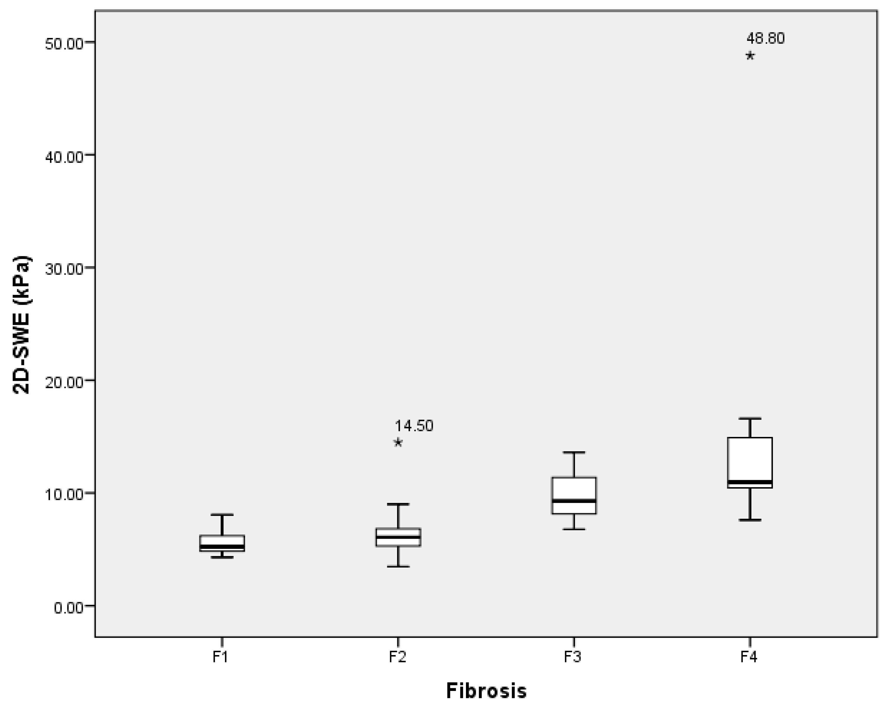
3.3.1. Ultrasound Elastography: 2D-SWE Findings
3.3.2. Dynamic Liver Scintigraphy with 99mTc-mebrofenin
3.3.3. Comparison between Imaging Studies
3.4. Combination of Two Imaging Tests
4. Discussion
5. Conclusions
Author Contributions
Funding
Institutional Review Board Statement
Informed Consent Statement
Data Availability Statement
Conflicts of Interest
Abbreviations
| 2D-SWE | two-dimensional shear wave elastography |
| 99mTc | metastable nuclear isomer of technetium-99 |
| ANOVA | a one-way analysis of variance |
| AUROC | area under receiver operator characteristics curve |
| BMI | body mass index |
| BSA | body surface area |
| CLD | chronic liver disease |
| CT | computed tomography |
| Gd-EOB-DTPA | gadolinium ethoxybenzyl diethylenetriaminepentaacetic acid |
| HBV | hepatitis B virus |
| HCV | hepatitis C virus |
| HIV | human immunodeficiency virus |
| kPa | kilopascal |
| LA | liver area |
| LCL | liver clearance |
| LEHR | low energy high resolution |
| METAVIR | meta-analysis of histological data in viral hepatitis |
| MRE | magnetic resonance elastography |
| MRI | magnetic resonance imaging |
| mRNA | messenger ribonucleic acid |
| NAFLD | nonalcoholic fatty liver disease |
| NASH | nonalcoholic steatohepatitis |
| OATP | organic anion transporter polypeptide |
| pSWE | point shear wave elastography |
| ROC | receiver operator characteristics curve |
| ROI | region of interest |
| SPECT | single photon emission computed tomography |
| TE | transient elastography |
| USE | ultrasound elastography |
References
- Pimpin, L.; Cortez-Pinto, H.; Negro, F.; Corbould, E.; Lazarus, J.V.; Webber, L.; Sheron, N.; The Members of the EASL HEPAHEALTH Steering Committee. Burden of liver disease in Europe: Epidemiology and analysis of risk factors to identify prevention policies. J. Hepatol. 2018, 69, 718–735. [Google Scholar] [CrossRef] [PubMed]
- Cheemerla, S.; Balakrishnan, M. Global Epidemiology of Chronic Liver Disease. Clin. Liver Dis. 2021, 17, 365–370. [Google Scholar] [CrossRef] [PubMed]
- Moon, A.M.; Singal, A.G.; Tapper, E.B. Contemporary Epidemiology of Chronic Liver Disease and Cirrhosis. Clin. Gastroenterol. Hepatol. 2020, 18, 2650–2666. [Google Scholar] [CrossRef] [PubMed]
- World Health Organization. Global Progress Report on HIV, Viral Hepatitis and Sexually Transmitted Infections, 2021: Accountability for the Global Health Sector Strategies 2016–2021: Actions for Impact. Published online. 2021. Available online: https://www.who.int/publications/i/item/9789240027077 (accessed on 14 February 2023).
- Rockey, D.C.; Bell, P.D.; Hill, J.A. Fibrosis—A Common Pathway to Organ Injury and Failure. N. Engl. J. Med. 2015, 372, 1138–1149. [Google Scholar] [CrossRef]
- Roehlen, N.; Crouchet, E.; Baumert, T.F. Liver Fibrosis: Mechanistic Concepts and Therapeutic Perspectives. Cells 2020, 9, 875. [Google Scholar] [CrossRef]
- Elpek, G.Ö. Cellular and molecular mechanisms in the pathogenesis of liver fibrosis: An update. World J. Gastroenterol. 2014, 20, 7260–7276. [Google Scholar] [CrossRef]
- Zhou, W.-C.; Zhang, Q.B.; Qiao, L. Pathogenesis of liver cirrhosis. World J. Gastroenterol. 2014, 20, 7312–7324. [Google Scholar] [CrossRef]
- Shipley, L.C.; Axley, P.D.; Singal, A.K. Fibrosis del hígado: Una actualización clínica. Rev. Médica Eur. Hepatol. 2019, 7, 105–117. [Google Scholar]
- Fauci, A.; Hauser, S.; Dan Longo, L. HARRISON’S Gastroenterology and Hepatology; McGraw Hill: New York, NY, USA.
- Schuppan, D.; Afdhal, N.H. Seminar Liver cirrhosis. Lancet 2008, 371, 838–851. [Google Scholar] [CrossRef]
- Wang, L.; Wang, M.; Zhao, W.; Shi, Y.; Sun, Y.; Wu, X.; You, H.; Jia, J. Key points of 2015 EASL-ALEH clinical practice guidelines: Non invasive tests for evaluation of liver severity and prognosis. Zhonghua Gan Zang Bing Za Zhi 2015, 23, 488–492. [Google Scholar]
- Tapper, E.B.; Lok, A.S.-F. Use of Liver Imaging and Biopsy in Clinical Practice. N. Engl. J. Med. 2017, 377, 756–768. [Google Scholar] [CrossRef] [PubMed]
- Mendes, L.C.; Stucchi, R.S.; Vigani, A.G. Diagnosis and staging of fibrosis in patients with chronic hepatitis C: Comparison and critical overview of current strategies. Hepatic Med. Évid. Res. 2018, 10, 13–22. [Google Scholar] [CrossRef] [PubMed]
- Berzigotti, A.; Tsochatzis, E.; Boursier, J.; Castera, L.; Cazzagon, N.; Friedrich-Rust, M.; Petta, S.; Thiele, M. EASL Clinical Practice Guidelines on non-invasive tests for evaluation of liver disease severity and prognosis–2021 update. J. Hepatol. 2021, 75, 659–689. [Google Scholar] [CrossRef] [PubMed]
- Dietrich, C.F.; Bamber, J.; Berzigotti, A.; Bota, S.; Cantisani, V.; Castera, L.; Cosgrove, D.; Ferraioli, G.; Friedrich-Rust, M.; Gilja, O.H.; et al. EFSUMB Guidelines and Recommendations on the Clinical Use of Liver Ultrasound Elastography, Update 2017 (Long Version). Ultraschall der Med.-Eur. J. Ultrasound 2017, 38, e16–e47. [Google Scholar] [CrossRef]
- Chin, J.L.; Pavlides, M.; Moolla, A.; Ryan, J.D. Non-invasive Markers of Liver Fibrosis: Adjuncts or Alternatives to Liver Biopsy? Front. Pharmacol. 2016, 7, 159. [Google Scholar] [CrossRef]
- Smith, A.D.; Porter, K.K.; Elkassem, A.A.; Sanyal, R.; Lockhart, M.E. Current Imaging Techniques for Noninvasive Staging of Hepatic Fibrosis. Am. J. Roentgenol. 2019, 213, 77–89. [Google Scholar] [CrossRef]
- Luo, Q.-T.; Zhu, Q.; Zong, X.-D.; Li, M.-K.; Yu, H.-S.; Jiang, C.-Y.; Liao, X. Diagnostic Performance of Transient Elastography Versus Two-Dimensional Shear Wave Elastography for Liver Fibrosis in Chronic Viral Hepatitis: Direct Comparison and a Meta-Analysis. BioMed. Res. Int. 2022, 2022, 1960244. [Google Scholar] [CrossRef]
- Ferraioli, G.; Wong, V.W.-S.; Castera, L.; Berzigotti, A.; Sporea, I.; Dietrich, C.F.; Choi, B.I.; Wilson, S.R.; Kudo, M.; Barr, R.G. Liver Ultrasound Elastography: An Update to the World Federation for Ultrasound in Medicine and Biology Guidelines and Recommendations. Ultrasound Med. Biol. 2018, 44, 2419–2440. [Google Scholar] [CrossRef]
- Panel, A.H.G. Hepatitis C guidance: AASLD-IDSA recommendations for testing, managing, and treating adults infected with hepatitis C virus. Hepatology 2015, 62, 932–954. [Google Scholar] [CrossRef]
- Terrault, N.A.; Lok, A.S.F.; McMahon, B.J.; Chang, K.-M.; Hwang, J.P.; Jonas, M.M.; Brown, R.S., Jr.; Bzowej, N.H.; Wong, J.B. Update on prevention, diagnosis, and treatment of chronic hepatitis B: AASLD 2018 hepatitis B guidance. Hepatology 2018, 67, 1560–1599. [Google Scholar] [CrossRef]
- Chalasani, N.; Younossi, Z.; LaVine, J.E.; Charlton, M.; Cusi, K.; Rinella, M.; Harrison, S.A.; Brunt, E.M.; Sanyal, A.J. The diagnosis and management of nonalcoholic fatty liver disease: Practice guidance from the American Association for the Study of Liver Diseases. Hepatology 2018, 67, 328–357. [Google Scholar] [CrossRef] [PubMed]
- Barr, R.G.; Wilson, S.R.; Rubens, D.; Garcia-Tsao, G.; Ferraioli, G. Update to the Society of Radiologists in Ultrasound Liver Elastography Consensus Statement. Radiology 2020, 296, 263–274. [Google Scholar] [CrossRef] [PubMed]
- Pickhardt, P.J.; Malecki, K.; Kloke, J.; Lubner, M.G. Accuracy of Liver Surface Nodularity Quantification on MDCT as a Noninvasive Biomarker for Staging Hepatic Fibrosis. Am. J. Roentgenol. 2016, 207, 1194–1199. [Google Scholar] [CrossRef] [PubMed]
- Smith, A.D.; Branch, C.R.; Zand, K.; Subramony, C.; Zhang, H.; Thaggard, K.; Hosch, R.; Bryan, J.; Vasanji, A.; Griswold, M.; et al. Liver Surface Nodularity Quantification from Routine CT Images as a Biomarker for Detection and Evaluation of Cirrhosis. Radiology 2016, 280, 771–781. [Google Scholar] [CrossRef] [PubMed]
- Wang, J.-C.; Fu, R.; Tao, X.-W.; Mao, Y.-F.; Wang, F.; Zhang, Z.-C.; Yu, W.-W.; Chen, J.; He, J.; Sun, B.-C. A radiomics-based model on non-contrast CT for predicting cirrhosis: Make the most of image data. Biomark. Res. 2020, 8, 47. [Google Scholar] [CrossRef]
- Huber, A.T.; Ebner, L.; Heverhagen, J.; Christe, A. State-of-the-art imaging of liver fibrosis and cirrhosis: A comprehensive review of current applications and future perspectives. Eur. J. Radiol. Open 2015, 2, 90–100. [Google Scholar] [CrossRef]
- Tang, A.; Cloutier, G.; Szeverenyi, N.M.; Sirlin, C.B. Ultrasound Elastography and MR Elastography for Assessing Liver Fibrosis: Part 1, Principles and Techniques. Am. J. Roentgenol. 2015, 205, 22–32. [Google Scholar] [CrossRef]
- Tang, A.; Cloutier, G.; Szeverenyi, N.M.; Sirlin, C.B. Ultrasound Elastography and MR Elastography for Assessing Liver Fibrosis: Part 2, Diagnostic Performance, Confounders, and Future Directions. Am. J. Roentgenol. 2015, 205, 33–40. [Google Scholar] [CrossRef]
- Pickhardt, P.J.; Graffy, P.M.; Said, A.; Jones, D.; Welsh, B.; Zea, R.; Lubner, M.G. Multiparametric CT for Noninvasive Staging of Hepatitis C Virus–Related Liver Fibrosis: Correlation With the Histopathologic Fibrosis Score. Am. J. Roentgenol. 2019, 212, 547–553. [Google Scholar] [CrossRef]
- Luthra, K.; Galge, A.; Lele, V. Radionuclide methods for evaluation of chronic liver disease—A comparison between colloid & hepatobiliary scans. J. Nucl. Med. 2007, 48 (Suppl. S2), 176. Available online: http://jnm.snmjournals.org/content/48/supplement_2/176P.4.abstract (accessed on 14 February 2023).
- Li, S.; Sun, X.; Chen, M.; Ying, Z.; Wan, Y.; Pi, L.; Ren, B.; Cao, Q. Liver Fibrosis Conventional and Molecular Imaging Diagnosis Update. J. Liver 2019, 8, 1–10. [Google Scholar] [CrossRef]
- de Graaf, W.; Bennink, R.J.; Veteläinen, R.; van Gulik, T.M. Nuclear Imaging Techniques for the Assessment of Hepatic Function in Liver Surgery and Transplantation. J. Nucl. Med. 2010, 51, 742–752. [Google Scholar] [CrossRef] [PubMed]
- Iguchi, T.; Sato, S.; Kouno, Y.; Okumura, Y.; Akaki, S.; Tsuda, T.; Kobayashi, K.; Kanazawa, S.; Hiraki, Y. Comparison of Tc-99m-GSA scintigraphy with hepatic fibrosis and regeneration in patients with hepatectomy. Ann. Nucl. Med. 2003, 17, 227–233. [Google Scholar] [CrossRef] [PubMed]
- Geisel, D.; Lüdemann, L.; Fröling, V.; Malinowski, M.; Stockmann, M.; Baron, A.; Gebauer, B.; Seehofer, D.; Prasad, V.; Denecke, T. Imaging-based evaluation of liver function: Comparison of ⁹⁹mTc-mebrofenin hepatobiliary scintigraphy and Gd-EOB-DTPA-enhanced MRI. Eur Radiol. 2015, 25, 1384–1391. [Google Scholar] [CrossRef]
- de Graaf, W.; van Lienden, K.P.; van Gulik, T.M.; Bennink, R.J. 99mTc-Mebrofenin Hepatobiliary Scintigraphy with SPECT for the Assessment of Hepatic Function and Liver Functional Volume Before Partial Hepatectomy. J. Nucl. Med. 2010, 51, 229–236. [Google Scholar] [CrossRef]
- Rassam, F.; Olthof, P.B.; Richardson, H.; van Gulik, T.M.; Bennink, R.J. Practical guidelines for the use of technetium-99m mebrofenin hepatobiliary scintigraphy in the quantitative assessment of liver function. Nucl. Med. Commun. 2019, 40, 297–307. [Google Scholar] [CrossRef]
- Jocius, D.; Vajauskas, D.; Mikelis, K.; Jokubauskiene, S.; Jakutiene, J.; Strupas, K.; Tamosiunas, A.E. Quantitative Assessment of Liver Impairment in Chronic Viral Hepatitis with [99mTc]Tc-Mebrofenin: A Noninvasive Attempt to Stage Viral Hepatitis-Associated Liver Fibrosis. Medicina 2022, 58, 1333. [Google Scholar] [CrossRef]
- Ekman, M.; Fjälling, M.; Friman, S.; Carlson, S.; Volkmann, R. Liver uptake function measured by IODIDA clearance rate in liver transplant patients and healthy volunteers. Nucl. Med. Commun. 1996, 17, 235–242. [Google Scholar] [CrossRef]
- Delong, E.R.; Delong, D.M.; Clarke-Pearson, D.L. Comparing the Areas under Two or More Correlated Receiver Operating Characteristic Curves: A Nonparametric Approach. Biometrics 1988, 44, 837–845. [Google Scholar] [CrossRef]
- Roldán-Nofuentes, J.A. Compbdt: An R program to compare two binary diagnostic tests subject to a paired design. BMC Med. Res. Methodol. 2020, 20, 143. [Google Scholar] [CrossRef]
- Hajian-Tilaki, K. Sample size estimation in diagnostic test studies of biomedical informatics. J. Biomed. Inform. 2014, 48, 193–204. [Google Scholar] [CrossRef]
- Anteby, R.; Klang, E.; Horesh, N.; Nachmany, I.; Shimon, O.; Barash, Y.; Kopylov, U.; Soffer, S. Deep learning for noninvasive liver fibrosis classification: A systematic review. Liver Int. 2021, 41, 2269–2278. [Google Scholar] [CrossRef] [PubMed]
- Gibriel, A.A.; Ismail, M.F.; Sleem, H.; Zayed, N.; Yosry, A.; El-Nahaas, S.M.; Shehata, N.I. Diagnosis and staging of HCV associated fibrosis, cirrhosis and hepatocellular carcinoma with target identification for miR-650, 552–553p, 676–3p, 512–515p and 147b. Cancer Biomark. 2022, 34, 413–430. [Google Scholar] [CrossRef] [PubMed]
- Hagström, H.; Talbäck, M.; Andreasson, A.; Walldius, G.; Hammar, N. Ability of Noninvasive Scoring Systems to Identify Individuals in the Population at Risk for Severe Liver Disease. Gastroenterology 2020, 158, 200–214. [Google Scholar] [CrossRef] [PubMed]
- De Graaf, W.; Van Lienden, K.P.; Dinant, S.; Roelofs, J.; Busch, O.R.C.; Gouma, D.J.; Bennink, R.J.; Van Gulik, T.M. Assessment of Future Remnant Liver Function Using Hepatobiliary Scintigraphy in Patients Undergoing Major Liver Resection. J. Gastrointest. Surg. 2009, 14, 369–378. [Google Scholar] [CrossRef]
- Gupta, M.; Choudhury, P.; Singh, S.; Hazarika, D. Liver functional volumetry by Tc-99m mebrofenin hepatobiliary scintigraphy before major liver resection: A game changer. Indian J. Nucl. Med. 2018, 33, 277–283. [Google Scholar] [CrossRef]
- Olthof, P.B.; Tomassini, F.; Huespe, P.E.; Truant, S.; Pruvot, F.-R.; Troisi, R.I.; Castro-Benitez, C.; Schadde, E.; Axelsson, R.; Sparrelid, E.; et al. Hepatobiliary scintigraphy to evaluate liver function in associating liver partition and portal vein ligation for staged hepatectomy: Liver volume overestimates liver function. Surgery 2017, 162, 775–783. [Google Scholar] [CrossRef]
- Cieslak, K.P.; Bennink, R.J.; de Graaf, W.; van Lienden, K.P.; Besselink, M.G.; Busch, O.R.; Gouma, D.J.; van Gulik, T.M. Measurement of liver function using hepatobiliary scintigraphy improves risk assessment in patients undergoing major liver resection. HPB 2016, 18, 773–780. [Google Scholar] [CrossRef]
- Babu, A.S.; Wells, M.L.; Teytelboym, O.M.; Mackey, J.E.; Miller, F.H.; Yeh, B.M.; Ehman, R.L.; Venkatesh, S.K. Elastography in Chronic Liver Disease: Modalities, Techniques, Limitations, and Future Directions. Radiographics 2016, 36, 1987–2006. [Google Scholar] [CrossRef]
- Heyens, L.J.M.; Busschots, D.; Koek, G.H.; Robaeys, G.; Francque, S. Liver Fibrosis in Non-alcoholic Fatty Liver Disease: From Liver Biopsy to Non-invasive Biomarkers in Diagnosis and Treatment. Front. Med. 2021, 8, 615978. [Google Scholar] [CrossRef]
- de Graaf, W.; Häusler, S.; Heger, M.; van Ginhoven, T.M.; van Cappellen, G.; Bennink, R.J.; Kullak-Ublick, G.A.; Hesselmann, R.; van Gulik, T.M.; Stieger, B. Transporters involved in the hepatic uptake of 99mTc-mebrofenin and indocyanine green. J. Hepatol. 2011, 54, 738–745. [Google Scholar] [CrossRef] [PubMed]
- Bs, A.A.-R.; Roda, G.; Fogueri, U.; Kiser, J.J.; Joy, M.S. Effect of Disease Pathologies on Transporter Expression and Function. J. Clin. Pharmacol. 2016, 56, S205–S221. [Google Scholar] [CrossRef]
- Wang, L.; Collins, C.; Kelly, E.J.; Chu, X.; Ray, A.S.; Salphati, L.; Xiao, G.; Lee, C.; Lai, Y.; Liao, M.; et al. Transporter Expression in Liver Tissue from Subjects with Alcoholic or Hepatitis C Cirrhosis Quantified by Targeted Quantitative Proteomics. Drug Metab. Dispos. 2016, 44, 1752–1758. [Google Scholar] [CrossRef] [PubMed]








| Variable | Value |
|---|---|
| Age (years) | 45 years (SD 13.4) |
| Gender | |
| Male | 45 (62.5%) |
| Female | 27 (37.5%) |
| Weight (kg) | 82.28 kg (SD 17.6) |
| BMI (kg/m2) | 26.5 kg/m2 (17.51–42 kg/m2) |
| BSA (m2) | 1.98 m2 (SD 0.23) |
| Virus type in patient population | |
| HBV | 4 (5%) |
| HCV | 68 (95%) |
| HIV coinfection | 9 (12%) |
| F1 | F2 | F3 | F4 | |
|---|---|---|---|---|
| METAVIR | 14 (19.4%) | 38 (52.8%) | 12 (16.7%) | 7 (9.7%) |
| Liver Fibrosis | 2D-SWE Value (kPa) | AUROC | Sensitivity (%) | Specificity (%) |
|---|---|---|---|---|
| F1 vs. F2-F4 | 5.4 kPa | 0.75 | 82% | 65% |
| F1-F2 vs. F3-F4 | 7.16 kPa | 0.93 | 89% | 79% |
| F1-F3 vs. F4 | 9.9 kPa | 0.91 | 85% | 91% |
| Liver Fibrosis | LCL (%/min/m2/dm2) | AUROC | Sensitivity (%) | Specificity (%) |
|---|---|---|---|---|
| F1 vs. F2–F4 | 3.76 | 0.67 | 71% | 60% |
| F1–F2 vs. F3–F4 | 3.29 | 0.83 | 82% | 74% |
| F1–F3 vs. F4 | 2.85 | 0.96 | 87% | 99% |
Disclaimer/Publisher’s Note: The statements, opinions and data contained in all publications are solely those of the individual author(s) and contributor(s) and not of MDPI and/or the editor(s). MDPI and/or the editor(s) disclaim responsibility for any injury to people or property resulting from any ideas, methods, instructions or products referred to in the content. |
© 2023 by the authors. Licensee MDPI, Basel, Switzerland. This article is an open access article distributed under the terms and conditions of the Creative Commons Attribution (CC BY) license (https://creativecommons.org/licenses/by/4.0/).
Share and Cite
Jocius, D.; Vajauskas, D.; Samuilis, A.; Mikelis, K.; Jokubauskiene, S.; Strupas, K.; Tamosiunas, A.E. Assessing Liver Fibrosis Using 2D-SWE Liver Ultrasound Elastography and Dynamic Liver Scintigraphy with 99mTc-mebrofenin: A Comparative Prospective Single-Center Study. Medicina 2023, 59, 479. https://doi.org/10.3390/medicina59030479
Jocius D, Vajauskas D, Samuilis A, Mikelis K, Jokubauskiene S, Strupas K, Tamosiunas AE. Assessing Liver Fibrosis Using 2D-SWE Liver Ultrasound Elastography and Dynamic Liver Scintigraphy with 99mTc-mebrofenin: A Comparative Prospective Single-Center Study. Medicina. 2023; 59(3):479. https://doi.org/10.3390/medicina59030479
Chicago/Turabian StyleJocius, Donatas, Donatas Vajauskas, Artūras Samuilis, Kipras Mikelis, Skirmante Jokubauskiene, Kestutis Strupas, and Algirdas E. Tamosiunas. 2023. "Assessing Liver Fibrosis Using 2D-SWE Liver Ultrasound Elastography and Dynamic Liver Scintigraphy with 99mTc-mebrofenin: A Comparative Prospective Single-Center Study" Medicina 59, no. 3: 479. https://doi.org/10.3390/medicina59030479
APA StyleJocius, D., Vajauskas, D., Samuilis, A., Mikelis, K., Jokubauskiene, S., Strupas, K., & Tamosiunas, A. E. (2023). Assessing Liver Fibrosis Using 2D-SWE Liver Ultrasound Elastography and Dynamic Liver Scintigraphy with 99mTc-mebrofenin: A Comparative Prospective Single-Center Study. Medicina, 59(3), 479. https://doi.org/10.3390/medicina59030479

