Ranking as a Procedure for Selecting a Replacement Variable in the Score Predicting the Survival of Patients Treated with Curative Intent for Colorectal Liver Metastases
Abstract
:1. Introduction
2. Materials and Methods
2.1. Materials
2.1.1. Patients
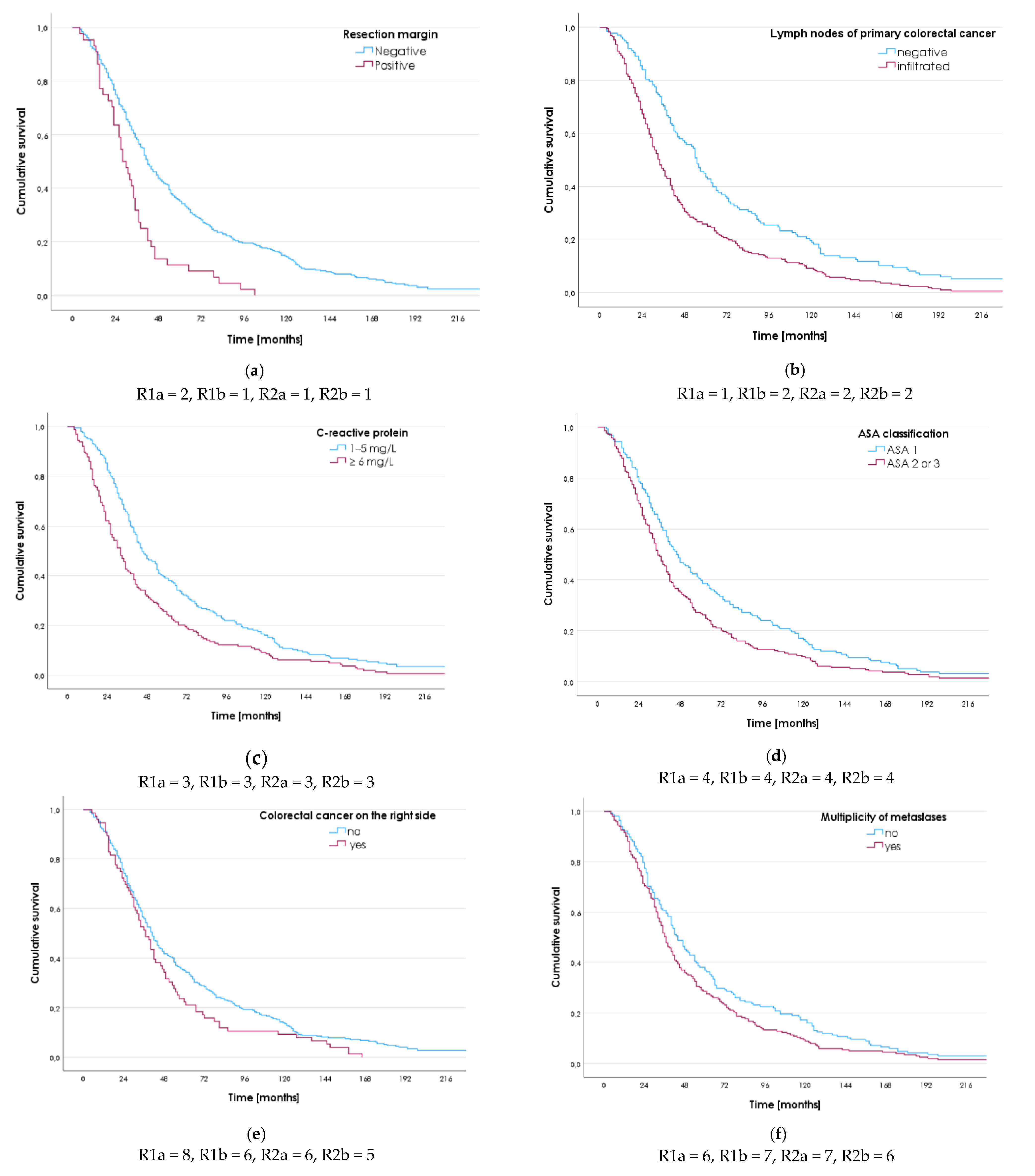
2.1.2. The Liverpool Score
- The American Society of Anesthesiologists Classification (ASA classification) [21];
- The location of primary colorectal cancer in the right colon (cecum, ascending colon, hepatic flexure, and proximal two-thirds of the transverse colon) or the left colon and rectum;
- The malignant infiltration of primary colorectal cancer lymph nodes;
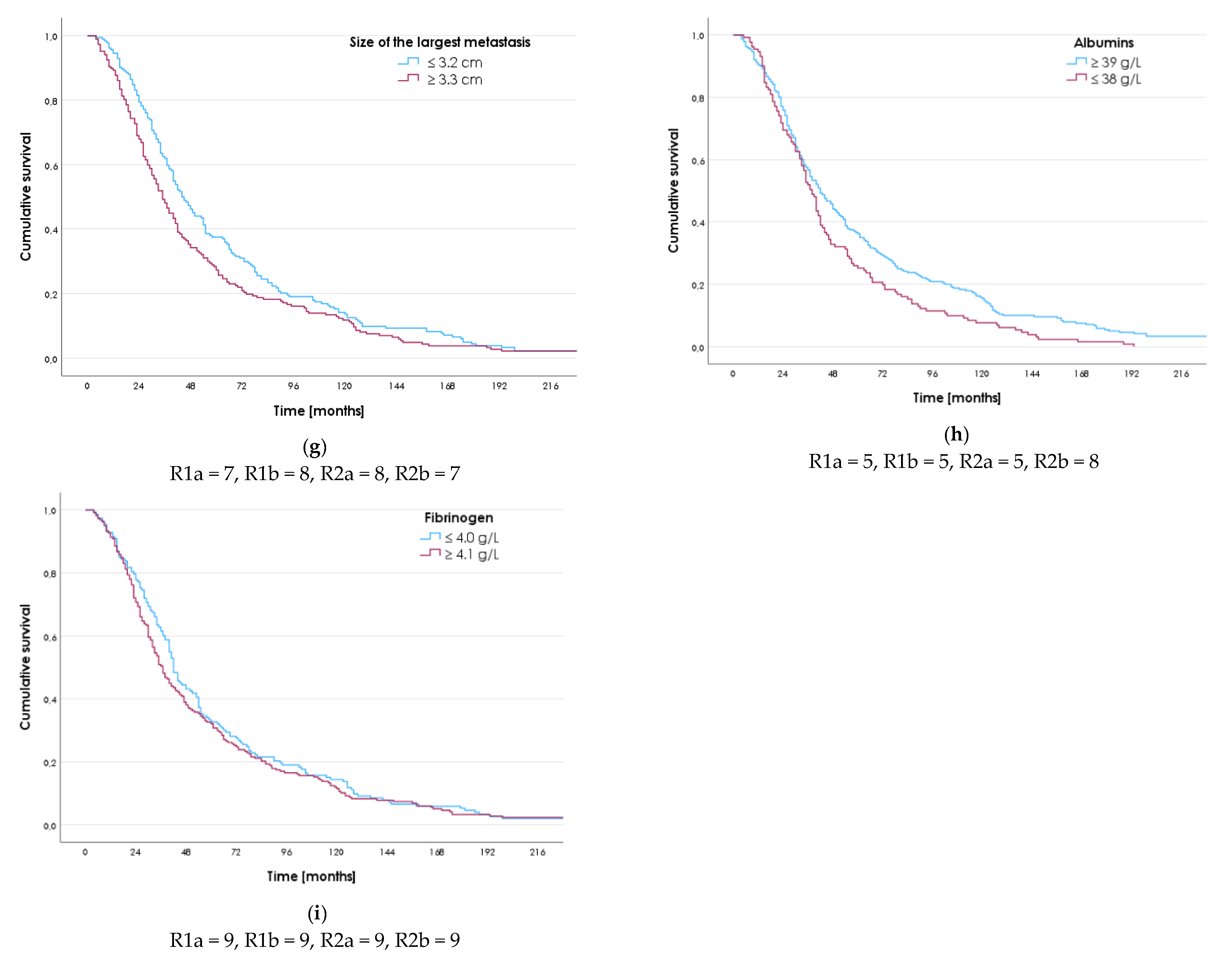
- Size of the largest colorectal liver metastasis;
- The multiplicity of colorectal liver metastases;
- The neutrophil–lymphocyte ratio.
2.1.3. Proteinaceous Inflammatory Markers
2.1.4. Inclusion and Exclusion Criteria
2.2. Methods
2.2.1. Statistical Analysis
2.2.2. Ranking Method #1
2.2.3. Ranking Method #2
2.2.4. Ranking Method #3
2.2.5. Ranking Method #4
3. Results
3.1. Study Population
3.2. Ranking of Survival Factors
4. Discussion
5. Conclusions
Author Contributions
Funding
Institutional Review Board Statement
Informed Consent Statement
Data Availability Statement
Acknowledgments
Conflicts of Interest
References
- Sung, H.; Ferlay, J.; Siegel, R.L.; Laversanne, M.; Soerjomataram, I.; Jemal, A.; Bray, F. Global Cancer Statistics 2020: GLOBOCAN Estimates of Incidence and Mortality Worldwide for 36 Cancers in 185 Countries. CA Cancer J. Clin. 2021, 71, 209–249. [Google Scholar] [CrossRef] [PubMed]
- Kow, A.W.C. Hepatic metastasis from colorectal cancer. J. Gastrointest. Oncol. 2019, 10, 1274–1298. [Google Scholar] [CrossRef] [PubMed]
- Lipsyc, M.; Yaeger, R. Impact of somatic mutations on patterns of metastasis in colorectal cancer. J. Gastrointest. Oncol. 2015, 6, 645–649. [Google Scholar] [CrossRef]
- Takeda, Y.; Mise, Y.; Takahashi, Y.; Ito, H.; Inoue, Y.; Yoshioka, R.; Ono, Y.; Saiura, A. Limited Prognostic Value of KRAS in Patients Undergoing Hepatectomy for Colorectal Liver Metastases. Ann. Surg. Oncol. 2022, 29, 2383–2391. [Google Scholar] [CrossRef] [PubMed]
- Correia, M.M.; Choti, M.A.; Rocha, F.G.; Wakabayashi, G. Colorectal Cancer Liver Metastases. A Comprehensive Guide to Management; Springer International Publishing: Cham, Switzerland, 2020; 598p. [Google Scholar]
- Donadon, M.; Lleo, A.; Di Tommaso, L.; Soldani, C.; Franceschini, B.; Roncalli, M.; Torzilli, G. The Shifting Paradigm of Prognostic Factors of Colorectal Liver Metastases: From Tumor-Centered to Host Immune-Centered Factors. Front. Oncol. 2018, 8, 181. [Google Scholar] [CrossRef] [PubMed]
- Mao, R.; Zhao, J.-J.; Bi, X.-Y.; Zhang, Y.-F.; Li, Z.-Y.; Huang, Z.; Zhou, J.-G.; Zhao, H.; Cai, J.-Q. A Low Neutrophil to Lymphocyte Ratio Before Preoperative Chemotherapy Predicts Good Outcomes After the Resection of Colorectal Liver Metastases. J. Gastrointest. Surg. 2019, 23, 563–570. [Google Scholar] [CrossRef] [PubMed]
- Peng, J.; Li, H.; Ou, Q.; Lin, J.; Wu, X.; Lu, Z.; Yuan, Y.; Wan, D.; Fang, Y.; Pan, Z. Preoperative lymphocyte-to-monocyte ratio represents a superior predictor compared with neutrophil-to-lymphocyte and platelet-to-lymphocyte ratios for colorectal liver-only metastases survival. OncoTargets Ther. 2017, 10, 3789–3799. [Google Scholar] [CrossRef]
- McMillan, D.C.; Canna, K.; McArdle, C.S. Systemic inflammatory response predicts survival following curative resection of colorectal cancer. Br. J. Surg. 2003, 90, 215–219. [Google Scholar] [CrossRef]
- Nasr, R.; Hammoud, M.S.; Nassar, F.; Mukherji, D.; Shamseddine, A.; Temraz, S. Inflammatory Markers and MicroRNAs: The Backstage Actors Influencing Prognosis in Colorectal Cancer Patients. Int. J. Mol. Sci. 2018, 19, 1867. [Google Scholar] [CrossRef]
- Dolan, R.D.; McSorley, S.T.; Park, J.H.; Watt, D.G.; Roxburgh, C.S.; Horgan, P.G.; McMillan, D.C. The prognostic value of systemic inflammation in patients undergoing surgery for colon cancer: Comparison of composite ratios and cumulative scores. Br. J. Cancer 2018, 119, 40–51. [Google Scholar] [CrossRef]
- Chen, C.; Liu, Y.; Han, P.; Cui, B. Research Progress of Preoperative FPR, FAR or AFR in Patients with Colorectal Cancer. Cancer Manag. Res. 2021, 13, 1791–1801. [Google Scholar] [CrossRef] [PubMed]
- Dupre, A.; Berhane, S.; Chan, A.; Rivoire, M.; Chong, C.; Lai, P.; Cucchetti, A.; Poston, G.J.; Malik, H.; Johnson, P. Multicentre validation of a clinical prognostic score integrating the systemic inflammatory response to the host for patients treated with curative-intent for colorectal liver metastases: The Liverpool score. Eur. J. Surg. Oncol. 2019, 45, 999–1004. [Google Scholar] [CrossRef] [PubMed]
- Gomez, D.; Cameron, I.C. Prognostic scores for colorectal liver metastasis: Clinically important or an academic exercise? HPB 2010, 12, 227–238. [Google Scholar] [CrossRef] [PubMed]
- Held, U.; Kessels, A.; Aymerich, J.G.; Basagaña, X.; Ter Riet, G.; Moons, K.G.M.; Puhan, M.A. Methods for Handling Missing Variables in Risk Prediction Models. Am. J. Epidemiology 2016, 184, 545–551. [Google Scholar] [CrossRef] [PubMed]
- Plahuta, I.; Magdalenić, T.; Turk, Š.; Potrč, S.; Ivanecz, A. Achievements in surgical treatment for colorectal liver metastases from 2000 until 2020 = Dosežki kirurškega zdravljenja bolnikov z jetrnimi zasevki raka debelega črevesa in danke od 2000 do 2020. AMB 2022, 15, 41–53. [Google Scholar] [CrossRef]
- Ivanecz, A.; Krebs, B.; Stozer, A.; Jagric, T.; Plahuta, I.; Potrc, S. Simultaneous Pure Laparoscopic Resection of Primary Colorectal Cancer and Synchronous Liver Metastases: A Single Institution Experience with Propensity Score Matching Analysis. Radiol. Oncol. 2018, 52, 42–53. [Google Scholar] [CrossRef] [PubMed]
- Strasberg, S.; Belghiti, J.; Clavien, P.-A.; Gadzijev, E.; Garden, J.; Lau, W.-Y.; Makuuchi, M.; Strong, R. The Brisbane 2000 Terminology of Liver Anatomy and Resections. HPB 2000, 2, 333–339. [Google Scholar] [CrossRef]
- Torzilli, G.; Viganò, L.; Gatti, A.; Costa, G.; Cimino, M.; Procopio, F.; Donadon, M.; Del Fabbro, D. Twelve-year experience of “radical but conservative” liver surgery for colorectal metastases: Impact on surgical practice and oncologic efficacy. HPB 2017, 19, 775–784. [Google Scholar] [CrossRef]
- Fruhling, P.; Hellberg, K.; Ejder, P.; Stromberg, C.; Urdzik, J.; Isaksson, B. The prognostic value of C-reactive protein and albumin in patients undergoing resection of colorectal liver metastases. A retrospective cohort study. HPB 2021, 23, 970–978. [Google Scholar] [CrossRef]
- Doyle, D.J.; Hendrix, J.M.; Garmon, E.H. American Society of Anesthesiologists Classification. In StatPearls [Internet]; StatPearls Publishing LLC: Treasure Island, FL, USA, 2022. [Google Scholar]
- Viganò, L.; Costa, G.; Cimino, M.M.; Procopio, F.; Donadon, M.; Del Fabbro, D.; Belghiti, J.; Kokudo, N.; Makuuchi, M.; Vauthey, J.-N.; et al. R1 Resection for Colorectal Liver Metastases: A Survey Questioning Surgeons about Its Incidence, Clinical Impact, and Management. J. Gastrointest. Surg. 2018, 22, 1752–1763. [Google Scholar] [CrossRef]
- Hamilton, T.D.; Leugner, D.; Kopciuk, K.; Dixon, E.; Sutherland, F.R.; Bathe, O.F. Identification of prognostic inflammatory factors in colorectal liver metastases. BMC Cancer 2014, 14, 542. [Google Scholar] [CrossRef] [PubMed]
- Al-Shaiba, R.; McMillan, D.C.; Angerson, W.J.; Leen, E.; McArdle, C.S.; Horgan, P. The relationship between hypoalbuminaemia, tumour volume and the systemic inflammatory response in patients with colorectal liver metastases. Br. J. Cancer 2004, 91, 205–207. [Google Scholar] [CrossRef]
- Besser, M.W.; MacDonald, S.G. Acquired hypofibrinogenemia: Current perspectives. J. Blood Med. 2016, 7, 217–225. [Google Scholar] [CrossRef]
- Li, M.; Wu, Y.; Zhang, J.; Huang, L.; Wu, X.; Yuan, Y. Prognostic value of pretreatment plasma fibrinogen in patients with colorectal cancer: A systematic review and meta-analysis. Medicine 2019, 98, e16974. [Google Scholar] [CrossRef] [PubMed]
- Bewick, V.; Cheek, L.; Ball, J. Statistics review 12: Survival analysis. Crit. Care 2004, 8, 389. [Google Scholar] [CrossRef] [PubMed]
- Saks, S. Theory of the Integral, 2nd ed.; Dover Publication: New York, NY, USA, 1964; 343p. [Google Scholar]
- Nordlinger, B.; Guiguet, M.; Vaillant, J.C.; Balladur, P.; Boudjema, K.; Bachellier, P.; Jaeck, D.; Association Francaise de Chirurgie. Surgical resection of colorectal carcinoma metastases to the liver: A prognostic scoring system to improve case selection, based on 1568 patients. Cancer 1996, 77, 1254–1262. [Google Scholar] [CrossRef]
- Ivanecz, A.; Kavalar, R.; Palfy, M.; Pivec, V.; Sremec, M.; Horvat, M.; Potrč, S. Can we improve the clinical risk score? The prognostic value of p53, Ki-67 and thymidylate synthase in patients undergoing radical resection of colorectal liver metastases. HPB 2014, 16, 235–242. [Google Scholar] [CrossRef]
- Ivanecz, A.; Plahuta, I.; Magdalenić, T.; Mencinger, M.; Peruš, I.; Potrč, S.; Krebs, B. The external validation of a difficulty scoring system for predicting the risk of intraoperative complications during laparoscopic liver resection. BMC Surg. 2019, 19, 179. [Google Scholar] [CrossRef]
- Ivanecz, A.; Plahuta, I.; Magdalenić, T.; Ilijevec, B.; Mencinger, M.; Peruš, I.; Potrč, S. Evaluation of the Iwate Model for Predicting the Difficulty of Laparoscopic Liver Resection: Does Tumor Size Matter? J. Gastrointest. Surg. 2020, 25, 1451–1460. [Google Scholar] [CrossRef]
- Ivanecz, A.; Plahuta, I.; Mencinger, M.; Perus, I.; Magdalenic, T.; Turk, S.; Potrc, S. The learning curve of laparoscopic liver resection utilising a difficulty score. Radiol. Oncol. 2021, 56, 111–118. [Google Scholar] [CrossRef]
- Minici, R.; Siciliano, M.A.; Ammendola, M.; Santoro, R.C.; Barbieri, V.; Ranieri, G.; Laganà, D. Prognostic Role of Neutrophil-to-Lymphocyte Ratio (NLR), Lymphocyte-to-Monocyte Ratio (LMR), Platelet-to-Lymphocyte Ratio (PLR) and Lymphocyte-to-C Reactive Protein Ratio (LCR) in Patients with Hepatocellular Carcinoma (HCC) undergoing Chemoembolizations (TACE) of the Liver: The Unexplored Corner Linking Tumor Microenvironment, Biomarkers and Interventional Radiology. Cancers 2022, 15, 257. [Google Scholar] [CrossRef] [PubMed]
- Halazun, K.; Aldoori, A.; Malik, H.; Al-Mukhtar, A.; Prasad, K.; Toogood, G.; Lodge, J. Elevated preoperative neutrophil to lymphocyte ratio predicts survival following hepatic resection for colorectal liver metastases. Eur. J. Surg. Oncol. 2008, 34, 55–60. [Google Scholar] [CrossRef] [PubMed]
- Kostner, A.H.; Kersten, C.; Lowenmark, T.; Ydsten, K.A.; Peltonen, R.; Isoniemi, H.; Haglund, C.; Gunnarsson, U.; Isaksson, B. The prognostic role of systemic inflammation in patients undergoing resection of colorectal liver metastases: C-reactive protein (CRP) is a strong negative prognostic biomarker. J. Surg. Oncol. 2016, 114, 895–899. [Google Scholar] [CrossRef] [PubMed]
- Rees, M.; Tekkis, P.P.; Welsh, F.K.; O’Rourke, T.; John, T.G. Evaluation of long-term survival after hepatic resection for metastatic colorectal cancer: A multifactorial model of 929 patients. Ann. Surg. 2008, 247, 125–135. [Google Scholar] [CrossRef]
- Fong, Y.; Fortner, J.; Sun, R.L.; Brennan, M.F.; Blumgart, L.H. Clinical score for predicting recurrence after hepatic resection for metastatic colorectal cancer: Analysis of 1001 consecutive cases. Ann. Surg. 1999, 230, 309–318, discussion 318–321. [Google Scholar] [CrossRef] [PubMed]
- Gomez, D.; Morris-Stiff, G.; Wyatt, J.; Toogood, G.J.; Lodge, J.P.; Prasad, K.R. Surgical technique and systemic inflammation influences long-term disease-free survival following hepatic resection for colorectal metastasis. J. Surg. Oncol. 2008, 98, 371–376. [Google Scholar] [CrossRef]
- Malik, H.Z.; Prasad, K.R.; Halazun, K.J.; Aldoori, A.; Al-Mukhtar, A.; Gomez, D.; Lodge, J.P.A.; Toogood, G.J. Preoperative prognostic score for predicting survival after hepatic resection for colorectal liver metastases. Ann. Surg. 2007, 246, 806–814. [Google Scholar] [CrossRef]
- Velázquez, G.F.; Velázquez, G.F.; Schiele, S.; Schiele, S.; Gerken, M.; Gerken, M.; Neumaier, S.; Neumaier, S.; Hackl, C.; Hackl, C.; et al. Predictive preoperative clinical score for patients with liver-only oligometastatic colorectal cancer. ESMO Open 2022, 7, 100470. [Google Scholar] [CrossRef]
- Pope, J.E.; Choy, E.H. C-reactive protein and implications in rheumatoid arthritis and associated comorbidities. Semin. Arthritis Rheum. 2021, 51, 219–229. [Google Scholar] [CrossRef]
- Yuan, Y.; Wang, Y.; Zhang, N.; Mao, X.; Huang, Y.; Huang, J.; Ji, N. Influence of American Society of Anesthesiologists Score on Oncologic Outcomes in Patients With Upper Tract Urothelial Carcinoma After Radical Nephroureterectomy: A Large-Sample Study in Two Institutions. Front. Oncol. 2021, 11, 723669. [Google Scholar] [CrossRef]
- McCracken, E.K.E.; Samsa, G.P.; Fisher, D.A.; Farrow, N.E.; Landa, K.; Shah, K.N.; Blazer, D.G.; Zani, S. Prognostic significance of primary tumor sidedness in patients undergoing liver resection for metastatic colorectal cancer. HPB 2019, 21, 1667–1675. [Google Scholar] [CrossRef] [PubMed]
- Gasser, E.; Braunwarth, E.; Riedmann, M.; Cardini, B.; Fadinger, N.; Presl, J.; Klieser, E.; Ellmerer, P.; Dupré, A.; Imai, K.; et al. Primary tumour location affects survival after resection of colorectal liver metastases: A two-institutional cohort study with international validation, systematic meta-analysis and a clinical risk score. PLoS ONE 2019, 14, e0217411. [Google Scholar] [CrossRef] [PubMed]
- Turk, S.; Plahuta, I.; Magdalenic, T.; Spanring, T.; Laufer, K.; Mavc, Z.; Potrc, S.; Ivanecz, A. Two-stage hepatectomy in resection of colorectal liver metastases—A single-institution experience with case-control matching and review of the literature. Radiol. Oncol. 2023, 57, 270–278. [Google Scholar] [CrossRef]
- Schindl, M.; Wigmore, S.J.; Currie, E.J.; Laengle, F.; Garden, O.J. Prognostic scoring in colorectal cancer liver metastases: Development and validation. Arch. Surg. 2005, 140, 183–189. [Google Scholar] [CrossRef] [PubMed]
- Tang, L.; Liu, K.; Wang, J.; Wang, C.; Zhao, P.; Liu, J. High preoperative plasma fibrinogen levels are associated with distant metastases and impaired prognosis after curative resection in patients with colorectal cancer. J. Surg. Oncol. 2010, 102, 428–432. [Google Scholar] [CrossRef]
- Robea, M.A.; Balmus, I.-M.; Girleanu, I.; Huiban, L.; Muzica, C.; Ciobica, A.; Stanciu, C.; Cimpoesu, C.D.; Trifan, A. Coagulation Dysfunctions in Non-Alcoholic Fatty Liver Disease-Oxidative Stress and Inflammation Relevance. Medicina 2023, 59, 1614. [Google Scholar] [CrossRef]
- Yamashita, H.; Kitayama, J.; Taguri, M.; Nagawa, H. Effect of preoperative hyperfibrinogenemia on recurrence of colorectal cancer without a systemic inflammatory response. World J. Surg. 2009, 33, 1298–1305. [Google Scholar] [CrossRef]
- Pedrazzani, C.; Mantovani, G.; Salvagno, G.L.; Baldiotti, E.; Ruzzenente, A.; Iacono, C.; Lippi, G.; Guglielmi, A. Elevated fibrinogen plasma level is not an independent predictor of poor prognosis in a large cohort of Western patients undergoing surgery for colorectal cancer. World J. Gastroenterol. 2016, 22, 9994–10001. [Google Scholar] [CrossRef]
- Brecelj, E.; Velenik, V.; Reberšek, M.; Boc, N.; Oblak, I.; Zadnik, V.; Krajc, M.; Frković Grazio, S.; Gašljević, G.; Novaković, S.; et al. Priporočila za obravnavo bolnikov z rakom debelega črevesa in danke = Recommendations for the diagnosis and treatment of patients with colorectal cancer. Onkologija 2020, 24, 60–92. [Google Scholar]
- Wullaert, L.; van Rees, J.M.; Martens, J.W.M.; Verheul, H.M.W.; Grünhagen, D.J.; Wilting, S.M.; Verhoef, C. Circulating Tumour DNA as Biomarker for Colorectal Liver Metastases: A Systematic Review and Meta-Analysis. Cells 2023, 12, 2520. [Google Scholar] [CrossRef]
- Frühling, P.; Urdzik, J.; Strömberg, C.; Isaksson, B. Composite Score: Prognostic tool to predict survival in patients undergoing surgery for colorectal liver metastases. BJS Open 2021, 5, zrab104. [Google Scholar] [CrossRef] [PubMed]


| (a) Kaplan-Meier Analysis | (b) Integral | |||||
|---|---|---|---|---|---|---|
| Variable | N (%) | Chi-Square | p Value | Rank | (Months) | Rank |
| Infiltrated lymph nodes of a primary tumor | 233 (62.8%) | 21.6 | <0.001 | 1 | 26.6 | 2 |
| Positive resection margin | 44 (11.9%) | 20.0 | <0.001 | 2 | 28.1 | 1 |
| C-reactive protein ≥ 6 mg/L | 164 (44.2%) | 16.5 | <0.001 | 3 | 20.6 | 3 |
| ASA classification 2 or 3 | 213 (57.4%) | 8.4 | 0.004 | 4 | 16.6 | 4 |
| Albumins ≤ 38 g/L | 131 (35.3%) | 6.7 | 0.010 | 5 | 14.7 | 5 |
| The multiplicity of liver metastasis | 203 (54.7%) | 5.1 | 0.024 | 6 | 12.3 | 7 |
| The largest liver metastasis ≥ 3.30 cm | 187 (50.4%) | 4.8 | 0.028 | 7 | 11.1 | 8 |
| Primary tumors on the right side | 76 (20.4%) | 4.2 | 0.040 | 8 | 13.3 | 6 |
| Fibrinogen ≥ 4.1 g/L | 218 (58.7%) | 0.5 | 0.467 | 9 | 3.2 | 9 |
| (a) The Univariate Cox Analysis | (b) The Multivariate Cox Analysis | |||||||||
|---|---|---|---|---|---|---|---|---|---|---|
| p Value | Rank | p Value | Rank | |||||||
| Lower | Upper | Lower | Upper | |||||||
| Positive resection margin | <0.001 | 2.04 | 1.5 | 2.8 | 1 | <0.001 | 1.79 | 1.3 | 2.5 | 1 |
| Infiltrated lymph nodes of a primary tumor | <0.001 | 1.65 | 1.3 | 2.0 | 2 | <0.001 | 1.55 | 1.2 | 1.9 | 2 |
| C-reactive protein ≥ 6 mg/L | <0.001 | 1.53 | 1.2 | 1.9 | 3 | 0.012 | 1.35 | 1.1 | 1.7 | 3 |
| ASA classification 2 or 3 | 0.004 | 1.35 | 1.1 | 1.7 | 4 | 0.009 | 1.33 | 1.1 | 1.6 | 4 |
| Albumins ≤ 38 g/L | 0.011 | 1.33 | 1.1 | 1.6 | 5 | 0.270 | 1.14 | 0.9 | 1.4 | 8 |
| Primary tumor on the right side | 0.042 | 1.30 | 1.0 | 1.7 | 6 | 0.137 | 1.24 | 0.9 | 1.6 | 5 |
| The multiplicity of liver metastasis | 0.026 | 1.26 | 1.0 | 1.6 | 7 | 0.087 | 1.21 | 1.0 | 1.5 | 6 |
| The largest liver metastasis ≥ 3.30 cm | 0.030 | 1.25 | 1.0 | 1.5 | 8 | 0.217 | 1.14 | 0.9 | 1.4 | 7 |
| Fibrinogen ≥ 4.1 g/L | 0.471 | 1.080 | 0.9 | 1.3 | 9 | 0.872 | 0.982 | 0.8 | 1.2 | 9 |
Disclaimer/Publisher’s Note: The statements, opinions and data contained in all publications are solely those of the individual author(s) and contributor(s) and not of MDPI and/or the editor(s). MDPI and/or the editor(s) disclaim responsibility for any injury to people or property resulting from any ideas, methods, instructions or products referred to in the content. |
© 2023 by the authors. Licensee MDPI, Basel, Switzerland. This article is an open access article distributed under the terms and conditions of the Creative Commons Attribution (CC BY) license (https://creativecommons.org/licenses/by/4.0/).
Share and Cite
Plahuta, I.; Mencinger, M.; Peruš, I.; Magdalenić, T.; Turk, Š.; Brumec, A.; Potrč, S.; Ivanecz, A. Ranking as a Procedure for Selecting a Replacement Variable in the Score Predicting the Survival of Patients Treated with Curative Intent for Colorectal Liver Metastases. Medicina 2023, 59, 2003. https://doi.org/10.3390/medicina59112003
Plahuta I, Mencinger M, Peruš I, Magdalenić T, Turk Š, Brumec A, Potrč S, Ivanecz A. Ranking as a Procedure for Selecting a Replacement Variable in the Score Predicting the Survival of Patients Treated with Curative Intent for Colorectal Liver Metastases. Medicina. 2023; 59(11):2003. https://doi.org/10.3390/medicina59112003
Chicago/Turabian StylePlahuta, Irena, Matej Mencinger, Iztok Peruš, Tomislav Magdalenić, Špela Turk, Aleks Brumec, Stojan Potrč, and Arpad Ivanecz. 2023. "Ranking as a Procedure for Selecting a Replacement Variable in the Score Predicting the Survival of Patients Treated with Curative Intent for Colorectal Liver Metastases" Medicina 59, no. 11: 2003. https://doi.org/10.3390/medicina59112003
APA StylePlahuta, I., Mencinger, M., Peruš, I., Magdalenić, T., Turk, Š., Brumec, A., Potrč, S., & Ivanecz, A. (2023). Ranking as a Procedure for Selecting a Replacement Variable in the Score Predicting the Survival of Patients Treated with Curative Intent for Colorectal Liver Metastases. Medicina, 59(11), 2003. https://doi.org/10.3390/medicina59112003

