Changes in Serum Creatinine Levels Can Help Distinguish Hypovolemic from Euvolemic Hyponatremia
Abstract
:1. Introduction
2. Materials and Methods
2.1. Criteria of Inclusion
2.2. Criteria of Exclusion
2.3. Data Collection
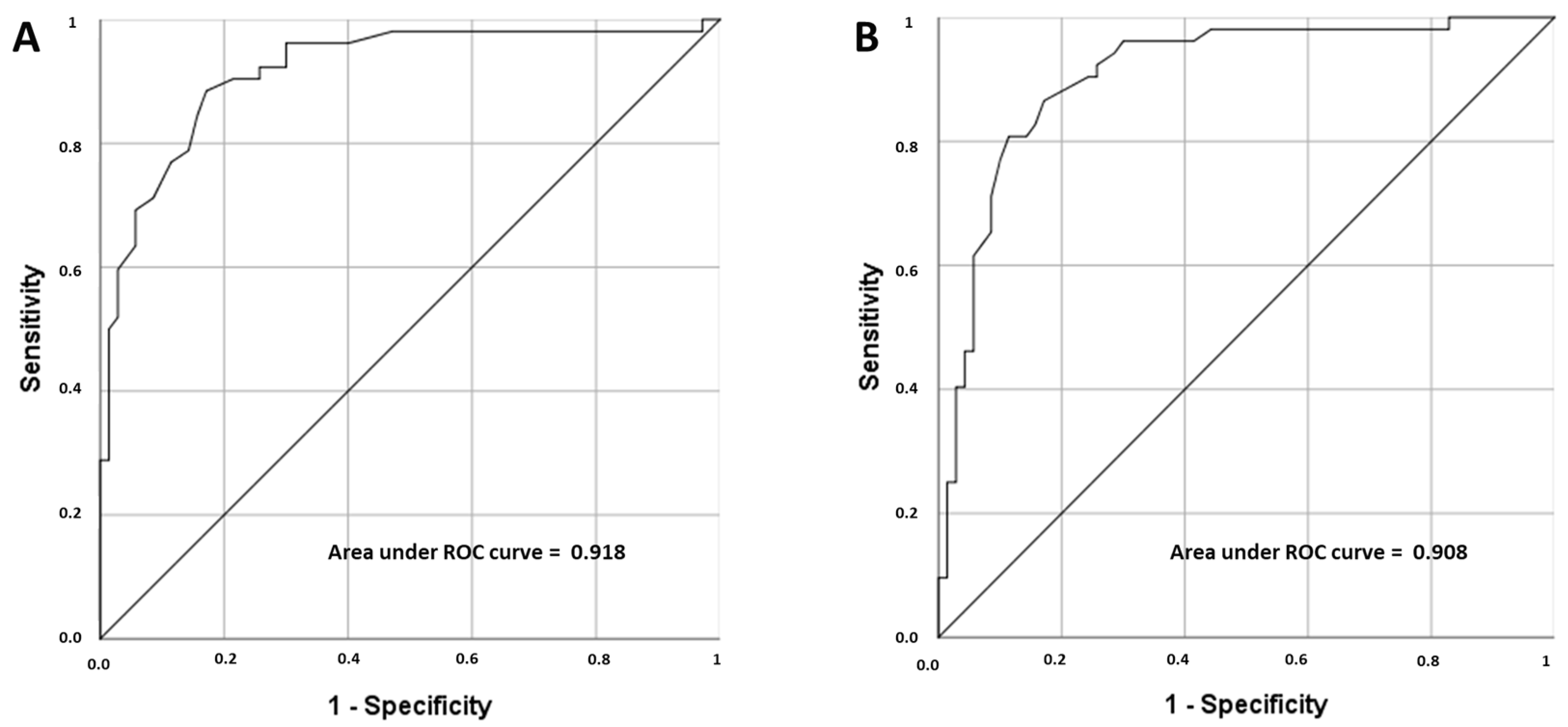
2.4. Statistical Analysis
2.5. Laboratory Methodology
3. Results
4. Discussion
5. Conclusions
Author Contributions
Funding
Institutional Review Board Statement
Informed Consent Statement
Data Availability Statement
Acknowledgments
Conflicts of Interest
References
- Spasovski, G.; Vanholder, R.; Allolio, B.; Annane, D.; Ball, S.; Bichet, D.; Decaux, G.; Fenske, W.; Hoorn, E.J.; Ichai, C.; et al. Clinical practice guideline on diagnosis and treatment of hyponatraemia. Nephrol. Dial. Transplant. 2014, 29, i1–i39. [Google Scholar] [CrossRef] [PubMed] [Green Version]
- Verbalis, J.G.; Goldsmith, S.R.; Greenberg, A.; Korzelius, C.; Schrier, R.W.; Sterns, R.H.; Thompson, C.J. Diagnosis, evaluation, and treatment of hyponatremia: Expert panel recommendations. Am. J. Med. 2013, 126, S1–S42. [Google Scholar] [CrossRef] [PubMed]
- Hoorn, E.J.; Halperin, M.L.; Zietse, R. Diagnostic approach to a patient with hyponatraemia: Traditional versus physiology-based options. QJM Int. J. Med. 2005, 98, 529–540. [Google Scholar] [CrossRef] [Green Version]
- Adrogué, H.J.; Madias, N.E. Hyponatremia. N. Engl. J. Med. 2000, 342, 1581–1589. [Google Scholar] [CrossRef]
- Chung, H.-M.; Kluge, R.; Schrier, R.W.; Anderson, R.J. Clinical assessment of extracellular fluid volume in hyponatremia. Am. J. Med. 1987, 83, 905–908. [Google Scholar] [CrossRef]
- Hoorn, E.J.; Zietse, R. Diagnosis and treatment of hyponatremia: Compilation of the guidelines. J. Am. Soc. Nephrol. 2017, 28, 1340–1349. [Google Scholar] [CrossRef]
- Gharaibeh, K.A.; Brewer, J.M.; Agarwal, M.; Fülöp, T. Risk factors, complication and measures to prevent or reverse catastrophic sodium overcorrection in chronic hyponatremia. Am. J. Med. Sci. 2015, 349, 170–175. [Google Scholar] [CrossRef]
- Adrogué, H.J.; Madias, N.E. The Challenge of Hyponatremia. J. Am. Soc. Nephrol. 2012, 23, 1140–1148. [Google Scholar] [CrossRef] [PubMed] [Green Version]
- Musch, W.; Thimpont, J.; Vandervelde, D.; Verhaeverbeke, I.; Berghmans, T.; Decaux, G. Combined fractional excretion of sodium and urea better predicts response to saline in hyponatremia than do usual clinical and biochemical parameters. Am. J. Med. 1995, 99, 348–355. [Google Scholar] [CrossRef]
- Fenske, W.; Störk, S.; Koschker, A.-C.; Blechschmidt, A.; Lorenz, D.; Wortmann, S.; Allolio, B. Value of fractional uric acid excretion in differential diagnosis of hyponatremic patients on diuretics. J. Clin. Endocrinol. Metab. 2008, 93, 2991–2997. [Google Scholar] [CrossRef] [Green Version]
- Musch, W.; Decaux, G. Utility and limitations of biochemical parameters in the evaluation of hyponatremia in the elderly. Int. Urol. Nephrol. 2001, 32, 475–493. [Google Scholar] [CrossRef] [PubMed]
- Fenske, W.; Störk, S.; Blechschmidt, A.; Maier, S.G.K.; Morgenthaler, N.G.; Allolio, B. Copeptin in the differential diagnosis of hyponatremia. J. Clin. Endocrinol. Metab. 2009, 94, 123–129. [Google Scholar] [CrossRef] [PubMed] [Green Version]
- Musch, W.; Decaux, G. Treating the syndrome of inappropriate ADH secretion with isotonic saline. QJM 1998, 91, 749–753. [Google Scholar] [CrossRef] [PubMed] [Green Version]
- Runkle, I.; Gomez-Hoyos, E.; Cuesta-Hernández, M.; Chafer-Vilaplana, J.; de Miguel, P. Hyponatraemia in older patients: A clinical and practical approach. Rev. Clin. Gerontol. 2015, 25, 31–52. [Google Scholar] [CrossRef]
- Tzoulis, P.; Runkle-De la Vega, I. The Diagnostic Approach to the Patient with Hyponatremia: Are the Correct Investigations Being Done? In Frontiers of Hormone Research. Disorders of Fluid and Electrolyte Metabolism. Focus on Hyponatremia; Peri, A., Thompson, C.J., Verbalis, J.G., Eds.; KARGER: Basel, Switzerland, 2019; pp. 190–199. [Google Scholar]
- Saotome, T.; Ishikawa, K.; May, C.N.; Birchall, I.E.; Bellomo, R. The impact of experimental hypoperfusion on subsequent kidney function. Intensive Care Med. 2010, 36, 533–540. [Google Scholar] [CrossRef]
- Hillier, T.A.; Abbott, R.D.; Barrett, E.J. Hyponatremia: Evaluating the correction factor for hyperglycemia. Am. J. Med. 1999, 106, 399–403. [Google Scholar] [CrossRef]
- Cui, H.; He, G.; Yang, S.; Lv, Y.; Jiang, Z.; Gang, X.; Wang, G. Inappropriate Antidiuretic Hormone Secretion and Cerebral Salt-Wasting Syndromes in Neurological Patients. Front. Neurosci. 2019, 13, 1170. [Google Scholar] [CrossRef] [Green Version]
- Narins, R.G.; Jones, E.R.; Stom, M.C.; Rudnick, M.R.; Bastl, C.P. Diagnostic strategies in disorders of fluid, electrolyte and acid-base homeostasis. Am. J. Med. 1982, 72, 496–520. [Google Scholar] [CrossRef]
- Meyer, T. Examination of the jugular venous pulse. In UpToDate; Drazner, M., Yeon, S., Eds.; Wolters Kluwer: Waltham, MA, USA, 2020. [Google Scholar]
- Avcil, M.; Kapci, M.; Dagli, B.; Omurlu, I.K.; Ozluer, E.; Karaman, K.; Yilmaz, A.; Zencir, C. Comparision of ultrasound-based methods of jugular vein and inferior vena cava for estimating central venous pressure. Int. J. Clin. Exp. Med. 2015, 8, 10586–10594. [Google Scholar]
- Rizkallah, J.; Jack, M.; Saeed, M.; Shafer, L.A.; Vo, M.; Tam, J. Non-Invasive Bedside Assessment of Central Venous Pressure: Scanning into the Future. PLoS ONE 2014, 9, e109215. [Google Scholar] [CrossRef] [Green Version]
- Soni, S.S.; Adikey, G.K.; Raman, A.S. Fractional excretion of uric acid as a therapeutic monitor in cerebral salt wasting syndrome. Saudi J. Kidney Dis. Transpl. 2008, 19, 106–108. [Google Scholar] [PubMed]
- Ruiz, S.J.G.; Cuesta, M.; De, M.P.; Perez, X.; Moraga, I.; de Sáez, P.M.; Fernández, L.; Calle-Pascual, L.; Runkle, I. Isolated acquired hypoaldosteronism as a cause of hypovolemic hyponatremia with urinary sodium loss. Endocr. Abstr. 2020, 70. [Google Scholar] [CrossRef]
- Khorvash, F.; Moeinzadeh, F.; Saffaei, A.; Hakamifard, A. Trimethoprim-sulfamethoxazole Induced Hyponatremia and Hyperkalemia, the Necessity of Electrolyte Follow-up in Every Patient. Iran. J. Kidney Dis. 2019, 13, 277–280. [Google Scholar] [PubMed]
- Mori, H.; Kuroda, Y.; Imamura, S.; Toyoda, A.; Yoshida, I.; Kawakami, M.; Tabei, K. Hyponatremia and/or Hyperkalemia in Patients Treated with the Standard Dose of Trimethoprim-sulfamethoxazole. Intern. Med. 2003, 42, 665–669. [Google Scholar] [CrossRef] [PubMed] [Green Version]
- Kaufman, A.M.; Hellman, G.; Abramson, R.G. Renal salt wasting and metabolic acidosis with trimethoprim-sulfamethoxazole therapy. Mt. Sinai J. Med. 1983, 50, 238–239. [Google Scholar]
- Penso, R.; Ortola, A.; Amengual, A.; Crespo, I.; Ruiz-Gracia, T.; Cuesta-Hernandez, M.; Gomez-Hoyos, E.; Marcuello, C.; Calle, A.; Runkle, I. Moderate/severe Hypovolemic Hyponatremia with urinary sodium loss secondary to Hypoaldosteronism: Analysis of 28 cases. Endocr. Abstr. 2016, 41, EP38. [Google Scholar] [CrossRef]
- Milionis, H.J.; Liamis, G.L.; Elisaf, M.S. The hyponatremic patient: A systematic approach to laboratory diagnosis. CMAJ 2002, 166, 1056–1062. [Google Scholar]
- Manoeuvrier, G.; Bach-Ngohou, K.; Batard, E.; Masson, D.; Trewick, D. Diagnostic performance of serum blood urea nitrogen to creatinine ratio for distinguishing prerenal from intrinsic acute kidney injury in the emergency department. BMC Nephrol. 2017, 18, 173. [Google Scholar] [CrossRef] [Green Version]
- Ruiz-Sánchez, J.G.; Meneses, D.; Álvarez-Escolá, C.; Cuesta, M.; Calle-Pascual, A.L.; Runkle, I. The Effect of the Dose of Isotonic Saline on the Correction of Serum Sodium in the Treatment of Hypovolemic Hyponatremia. J. Clin. Med. 2020, 9, 3567. [Google Scholar] [CrossRef]
- Hoyle, G.E.; Chua, M.; Soiza, R.L. Volaemic assessment of the elderly hyponatraemic patient: Reliability of clinical assessment and validation of bioelectrical impedance analysis. QJM 2011, 104, 35–39. [Google Scholar] [CrossRef] [Green Version]
- Cumming, K.; Hoyle, G.E.; Hutchison, J.D.; Soiza, R.L. Bioelectrical impedance analysis is more accurate than clinical examination in determining the volaemic status of elderly patients with fragility fracture and hyponatraemia. J. Nutr. Health Aging 2014, 18, 744–750. [Google Scholar] [CrossRef] [PubMed]
- Lopez, N.C.; Vadillo, S.; Villareal, A.; Sánchez, J.G.R.; Cuesta, M.; Perez, C.X.; Barrio, E.; Larrad, A.; Calle, P.A.; Runkle, I. Inspection of the internal jugular vein pulse appears to be superior to impedance analysis for determination of volemia in a Hyponatremia outpatient clinic. Endocr. Abstr. 2020, 70, EP281. [Google Scholar] [CrossRef]
- Vasko, R.; Müller, G.A.; Ratliff, B.B.; Jung, K.; Gauczinski, S.; Koziolek, M.J. Clinical judgment is the most important element in overhydration assessment of chronic hemodialysis patients. Clin. Exp. Nephrol. 2013, 17, 563–568. [Google Scholar] [CrossRef] [PubMed] [Green Version]
- Applefeld, M.M. The Jugular Venous Pressure and Pulse Contour; Butterworths: London, UK, 1990; ISBN 040990077X. [Google Scholar]
- Nik Muhamad, N.A.; Safferi, R.S.; Robertson, C.E. Internal Jugular Vein Height and Inferior Vena Cava Diameter Measurement using Ultrasound to Determine Central Venous Pressure: A Correlation Study. Med. J. Malays. 2015, 70, 63–66. [Google Scholar]



| Hypovolemic Patients (N = 52) | |
|---|---|
| Thirst, n | 38 |
| Orthostatism, n | 21 |
| Decreased eye tone, n | 48 |
| Hypotension, n | 2 |
| Tachycardia, n | 6 |
| HIJP below the sternal angle, n | 38 |
| UNa, ≤30 mmol/L, n | 8 |
| Criterion 1 for hipovolemia, n * | 38 |
| Criterion 2 for hypovolemia, n ** | 14 |
| Euvolemic Hyponatremia (N = 70) | Hypovolemic Hyponatremia (N = 52) | pa | |
|---|---|---|---|
| Age, years | 80 (72–86) | 77 (67–84) | 0.15 |
| Female, n (%) | 38 (54.3) | 19 (36.5) | 0.05 * |
| Eunatremia | |||
| SNa, mmol/L | 138 (137–140) | 138 (137–139) | 0.44 |
| SC mg/dL | 0.8 (0.71–0.94) | 0.93 (0.72–1.34) | 0.01 * |
| Hyponatremic episode | |||
| SNa, mmol/L | 131 (128–133) | 129 (124–133) | 0.23 |
| SK, mmol/L | 4.5 (4.3–4.8) | 5.1 (4.6–5.3) | <0.001 * |
| POsm, mOsm/kg | 272 (267–282) | 280 (275–288) | 0.002 * |
| SC, mg/dL | 0.76 (0.6–0.87) | 1.28 (0.83–1.64) | <0.001 * |
| pb | <0.001 * | <0.001 * | |
| ∆SC, mg/dL | −0.07 (−0.15–0.02) | +0.18 (0.09–0.39) | <0.001 * |
| ∆SC% | −8 (−16.2–2.5) | +16.5 (10–41.3) | <0.001 * |
| UNa, mmol/L | 91 (61–124) | 58 (38–79) | <0.001 * |
| UK, mmol/L | 32 (23–52) | 28 (23–41) | 0.51 |
| UOsm, mOsm/kg | 433 (328–581) | 375 (308–470) | 0.03 * |
| SS (%) | SP (%) | PPV (%) | NPV (%) | OR * [95%CI] | p * | |
|---|---|---|---|---|---|---|
| ∆SC Cut-off point | ||||||
| For hypovolemic hyponatremia: | ||||||
| ≥0.11 mg/dL | 69.2 | 94.3 | 90 | 80.5 | 37.1 [11.5 to 119.4] | <0.001 |
| For euvolemic hyponatremia: | ||||||
| ≤−0.05 mg/dL | 60 | 96.2 | 95.5 | 64.1 | 37.5 [8.4 to 166.7] | <0.001 |
| ∆SC% Cut-off point | ||||||
| For hypovolemic hyponatremia: | ||||||
| ≥10% | 73.1 | 91.4 | 86.4 | 82.1 | 29.0 [10.3 to 81.7] | <0.001 |
| For euvolemic hyponatremia: | ||||||
| ≤−3% | 70 | 96.2 | 96.1 | 70.4 | 68.3 [13.0 to 262.2] | <0.001 |
Publisher’s Note: MDPI stays neutral with regard to jurisdictional claims in published maps and institutional affiliations. |
© 2022 by the authors. Licensee MDPI, Basel, Switzerland. This article is an open access article distributed under the terms and conditions of the Creative Commons Attribution (CC BY) license (https://creativecommons.org/licenses/by/4.0/).
Share and Cite
Ruiz-Sánchez, J.G.; Cuesta, M.; Gómez-Hoyos, E.; Cárdenas-Salas, J.; Rubio-Herrera, M.Á.; Martínez-González, E.; De Miguel Novoa, P.; Ternero-Vega, J.E.; Calle-Pascual, A.L.; Runkle, I. Changes in Serum Creatinine Levels Can Help Distinguish Hypovolemic from Euvolemic Hyponatremia. Medicina 2022, 58, 851. https://doi.org/10.3390/medicina58070851
Ruiz-Sánchez JG, Cuesta M, Gómez-Hoyos E, Cárdenas-Salas J, Rubio-Herrera MÁ, Martínez-González E, De Miguel Novoa P, Ternero-Vega JE, Calle-Pascual AL, Runkle I. Changes in Serum Creatinine Levels Can Help Distinguish Hypovolemic from Euvolemic Hyponatremia. Medicina. 2022; 58(7):851. https://doi.org/10.3390/medicina58070851
Chicago/Turabian StyleRuiz-Sánchez, Jorge Gabriel, Martín Cuesta, Emilia Gómez-Hoyos, Jersy Cárdenas-Salas, Miguel Ángel Rubio-Herrera, Estefanía Martínez-González, Paz De Miguel Novoa, Jara Eloisa Ternero-Vega, Alfonso Luis Calle-Pascual, and Isabelle Runkle. 2022. "Changes in Serum Creatinine Levels Can Help Distinguish Hypovolemic from Euvolemic Hyponatremia" Medicina 58, no. 7: 851. https://doi.org/10.3390/medicina58070851
APA StyleRuiz-Sánchez, J. G., Cuesta, M., Gómez-Hoyos, E., Cárdenas-Salas, J., Rubio-Herrera, M. Á., Martínez-González, E., De Miguel Novoa, P., Ternero-Vega, J. E., Calle-Pascual, A. L., & Runkle, I. (2022). Changes in Serum Creatinine Levels Can Help Distinguish Hypovolemic from Euvolemic Hyponatremia. Medicina, 58(7), 851. https://doi.org/10.3390/medicina58070851

