Association of Neutrophil-to-Lymphocyte Ratio and Lymphocyte-to-Monocyte Ratio with Treatment Modalities of Acute Ischaemic Stroke: A Pilot Study
Abstract
1. Introduction
2. Materials and Methods
2.1. Subjects
2.2. Methods
2.3. Data Analysis
3. Results
3.1. Demographic and Clinical Data of the Study Group
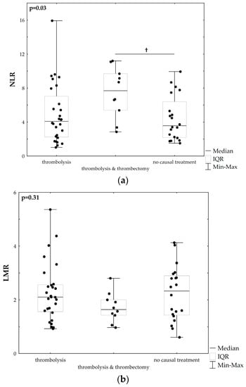
3.2. Neutrophil-to-Lymphocyte Ratio (NLR) and Lymphocyte-to-Monocyte Ratio (LMR) in Treatment Subgroups
3.3. NLR, LMR and High-Sensitivity C-Reactive Protein (hs-CRP)
3.4. NLR, LMR and the Severity of Stroke on the First Day after Treatment
3.5. NLR, LMR and Classifications of Stroke
3.6. NLR, LMR and Ischaemic Stroke Comorbidities
3.7. Correlation Analysis
4. Discussion
5. Conclusions
Author Contributions
Conflicts of Interest
References
- Bembenek, J.P.; Karlinski, M.; Mendel, T.A.; Niewada, M.; Sarzynska-Dlugosz, I.; Kobayashi, A.; Baranowska, A.; Czlonkowska, A. Temporal trends in vascular risk factors and etiology of urban Polish stroke patients from 1995 to 2013. J. Neurol. Sci. 2015, 357, 126–130. [Google Scholar] [CrossRef] [PubMed]
- Chamorro, A.; Hallenbeck, J. The harms and benefits of inflammatory and immune responses in vascular disease. Stroke 2006, 37, 291–293. [Google Scholar] [CrossRef] [PubMed]
- Kim, J.Y.; Park, J.; Chang, J.Y.; Kim, S.H.; Lee, J.E. Inflammation after ischemic stroke: The role of leukocytes and glial cells. Exp. Neurobiol. 2016, 25, 241–251. [Google Scholar] [CrossRef] [PubMed]
- Anuk, T.; Assayag, E.B.; Rotstein, R.; Fusman, R.; Zeltser, D.; Berliner, S.; Avitzour, D.; Shapira, I.; Arber, N.; Bornstein, N.M. Prognostic implication of admission inflammatory profile in acute ischemic neurological events. Acta Neurol. Scand. 2002, 106, 196–199. [Google Scholar] [CrossRef] [PubMed]
- Emsley, H.C.; Smith, C.J.; Gavin, C.M.; Georgiu, R.F.; Vail, A.; Barberan, E.M.; Hallenbeck, J.M.; del Zoppo, G.J.; Rothwell, N.J.; Tyrrell, P.J.; et al. An early and sustained peripheral inflammatory response in acute ischemic stroke: relationships with infection and atherosclerosis. J. Neuroimmunol. 2003, 139, 93–101. [Google Scholar] [CrossRef]
- Afari, M.E.; Bath, T. Neutrophil to lymphocyte ratio (NLR) and cardiovascular diseases: an update. Expert Rev. Cardiovasc. Ther. 2016, 14, 573–577. [Google Scholar] [CrossRef] [PubMed]
- Paquissi, F.C. The role of inflammation in cardiovascular diseases: The predictive value of neutrophil-lymphocyte ratio as a marker in peripheral arterial disease. Ther. Clin. Risk Manag. 2016, 12, 851–860. [Google Scholar] [CrossRef]
- Xue, J.; Huang, W.; Chen, X.; Li, Q.; Cai, Z.; Yu, T.; Shao, B. Neutrophil-to-lymphocyte ratio is a prognostic marker in acute ischemic stroke. J. Stroke Cerebrovasc. Dis. 2017, 26, 650–657. [Google Scholar] [CrossRef]
- Maestrini, I.; Strbian, D.; Gautier, S.; Haapaniemi, B.; Moulin, S.; Sairanen, T.; Dequatre-Ponchelle, N.; Sibolt, G.; Cordonnier, C.; Melkas, S.; et al. Higher neutrophil counts before thrombolysis for cerebral ischemia predict worse outcomes. Neurology 2015, 85, 1408–1416. [Google Scholar] [CrossRef]
- Zhang, J.; Ren, Q.; Song, Y.; He, M.; Zeng, Y.; Liu, Z.; Xu, J. Prognostic role of neutrophil-lymphocyte ratio in patients with acute ischemic stroke. Medicine (Baltimore) 2017, 96, 8624. [Google Scholar] [CrossRef]
- Sacco, R.L.; Kasner, S.E.; Broderick, J.P.; Caplan, L.R.; Connors, J.J.; Culebras, A.; Elkind, M.S.; George, M.G.; Hamdan, A.D.; Higashida, R.T.; et al. An updated definition of stroke for the 21st century: A statement for healthcare professionals from the American Heart Association/American Stroke Association. Stroke 2013, 44, 2064–2089. [Google Scholar] [CrossRef] [PubMed]
- Adams, H.P., Jr.; Bendixen, B.H.; Kappelle, L.J.; Biller, J.; Love, B.B.; Gordon, D.L.; Marsh, E.E., 3rd. Classification of subtype of acute ischemic stroke. Definitions for use in a multicenter clinical trial. TOAST. Trial of Org 10172 in Acute Stroke Treatment. Stroke 1993, 24, 35–41. [Google Scholar] [CrossRef] [PubMed]
- Bamford, J.; Sandercock, P.; Dennis, M.; Burn, J.; Warlow, C. Classification and natural history of clinically identifiable subtypes of cerebral infarction. Lancet 1991, 337, 1521–1526. [Google Scholar] [CrossRef]
- Powers, W.J.; Derdeyn, C.P.; Biller, J.; Coffey, C.S.; Hoh, B.L.; Jauch, E.C.; Johnston, K.C.; Johnston, S.C.; Khalessi, A.A.; Kidwell, C.S.; et al. 2015 American Heart Association/American Stroke Association Focused Update of the 2013 guidelines for the early management of patients with acute ischemic stroke regarding endovascular treatment: A guideline for healthcare professionals from the American Heart Association/American Stroke Association. Stroke 2015, 46, 3020–3035. [Google Scholar] [PubMed]
- Sun, Y.; You, S.; Zhong, C.; Huang, Z.; Hu, L.; Zhang, X.; Shi, J.; Cao, Y.; Liu, C.F. Neutrophil to lymphocyte ratio and the hematoma volume and stroke severity in acute intracerebral hemorrhage patients. Am. J. Emerg. Med. 2017, 35, 429–433. [Google Scholar] [CrossRef]
- Huang, Y.; Jing, J.; Zhao, X.Q.; Wang, C.X.; Wang, Y.L.; Liu, G.F.; Wang, C.J.; Liu, L.P.; Yang, X.M.; Jiao, Y.; et al. High-sensitivity C-reactive protein is a strong risk factor for death after acute ischemic stroke among Chinese. CNS Neurosci. Ther. 2012, 18, 261–266. [Google Scholar] [CrossRef] [PubMed]
- DeGraba, T.J.; Hallenbeck, J.M.; Pettigrew, K.D.; Dutka, A.J.; Kelly, B.J. Progression in acute stroke: value of the initial NIH stroke scale score on patient stratification in future trials. Stroke 1999, 30, 1208–1212. [Google Scholar] [CrossRef]
- Iadecola, C.; Alexander, M. Cerebral ischemia and inflammation. Curr. Opin. Neurol. 2001, 14, 89–94. [Google Scholar] [CrossRef]
- Emerich, D.F.; Dean, R.L., 3rd; Bartus, R.T. The role of leukocytes following cerebral ischemia: pathogenic variable or bystander reaction to emerging infarct? Exp. Neurol. 2002, 173, 168–181. [Google Scholar] [CrossRef]
- Kolaczkowska, E.; Kubes, P. Neutrophil recruitment and function in health and inflammation. Nat. Rev. Immunol. 2013, 13, 159–175. [Google Scholar] [CrossRef]
- Nilupul Perera, M.; Ma, H.K.; Arakawa, S.; Howells, D.W.; Markus, R.; Rowe, C.C.; Donnan, G.A. Inflammation following stroke. J. Clin. Neurosci. 2006, 13, 1–8. [Google Scholar] [CrossRef] [PubMed]
- De Simoni, M.G. Two-way communication pathways between the brain and the immune system. Neurosci. Res. Common. 1997, 21, 163–172. [Google Scholar] [CrossRef]
- Kuntze Söderqvist, A.; Kaijser, M.; Söderman, M.; Holmin, S.; Wahlgren, N.; Andersson, T. Mechanical thrombectomy in acute ischemic stroke-experience from 6 years of practice. Neuroradiology 2014, 56, 477–486. [Google Scholar] [CrossRef] [PubMed]
- Cao, J.J.; Thach, C.; Manolio, T.A.; Psaty, B.M.; Kuller, L.H.; Chaves, P.H.; Polak, J.F.; Sutton-Tyrrell, K.; Herrington, D.M.; Price, T.R.; et al. C-reactive protein, carotid intima-media thickness, and incidence of ischemic stroke in the elderly: The Cardiovascular Health Study. Circulation 2003, 108, 166–170. [Google Scholar] [CrossRef] [PubMed]
- Eikelboom, J.W.; Hankey, G.J.; Baker, R.I.; Mc Quillan, A.; Thom, J.; Staton, J.; Cole, V.; Yi, Q. C-reactive protein in ischemic stroke and its etiologic subtypes. J. Stroke Cerebrovasc. Dis. 2003, 12, 74–81. [Google Scholar] [CrossRef] [PubMed]
- Pandey, A.; Shrivastava, A.K.; Saxena, K. Neuron specific enolase and c-reactive protein levels in stroke and its subtypes: Correlation with degree of disability. Neurochem. Res. 2014, 39, 1426–1432. [Google Scholar] [CrossRef]
- Luo, Y.; Wang, Z.; Li, J.; Xu, Y. Serum CRP concentrations and severity of ischemic stroke subtypes. Can. J. Neurol. Sci. 2012, 39, 69–73. [Google Scholar] [CrossRef]
- Fang, Y.N.; Tong, M.S.; Sung, P.H.; Chen, Y.L.; Chen, C.H.; Tsai, N.W.; Huang, C.J.; Chang, Y.T.; Chen, S.F.; Chang, W.N.; et al. Higher neutrophil counts and neutrophil-to-lymphocyte ratio predict prognostic outcomes in patients after non-atrial fibrillation-caused ischemic stroke. Biomed. J. 2017, 40, 154–162. [Google Scholar] [CrossRef]
- Celikbilek, A.; Ismailogullari, S.; Zararsiz, G. Neutrophil to lymphocyte ratio predicts poor prognosis in ischemic cerebrovascular disease. J. Clin. Lab. Anal. 2014, 28, 27–31. [Google Scholar] [CrossRef]
- Malhotra, K.; Goyal, N.; Chang, J.J.; Broce, M.; Pandhi, A.; Kerro, A.; Shahripour, R.B.; Alexandrov, A.V.; Tsivgoulis, G. Differential leukocyte counts on admission predict outcomes in patients with acute ischaemic stroke treated with intravenous thrombolysis. Eur. J. Neurol. 2018, 25, 1417–1424. [Google Scholar] [CrossRef]
- Brooks, S.D.; Spears, C.; Cummings, C.; VanGilder, R.L.; Stinehart, K.R.; Gutmann, L.; Domico, J.; Culp, S.; Carpenter, J.; Rai, A.; et al. Admission neutrophil-lymphocyte ratio predicts 90 day outcome after endovascular stroke therapy. J. Neurointerv. Surg. 2014, 6, 578–583. [Google Scholar] [CrossRef] [PubMed]
- Tokgoz, S.; Keskin, S.; Kayrak, M.; Seyithanoglu, A.; Ogmegul, A. Is neutrophil/lymphocyte ratio predict to short-term mortality in acute cerebral infarct independently from infarct volume? J. Stroke Cerebrovasc. Dis. 2014, 23, 2163–2168. [Google Scholar] [CrossRef] [PubMed]
- Deb, P.; Sharma, S.; Hassan, K.M. Pathophysiologic mechanisms of acute ischemic stroke: An overview with emphasis on therapeutic significance beyond thrombolysis. Pathophysiology 2010, 17, 197–218. [Google Scholar] [CrossRef] [PubMed]
- Buck, B.H.; Liebeskind, D.S.; Saver, J.L.; Bang, O.Y.; Yun, S.W.; Starkman, S.; Ali, L.K.; Kim, D.; Villablanca, J.P.; Salamon, N.; et al. Early neutrophilia is associated with volume of ischemic tissue in acute stroke. Stroke 2008, 39, 355–360. [Google Scholar] [CrossRef] [PubMed]
- Lattanzi, S.; Brigo, F.; Trinka, E.; Cagnetti, C.; Di Napoli, M.; Silvestrini, M. Neutrophil-to-lymphocyte ratio in acute cerebral hemorrhage: A system review. Transl. Stroke. Res. 2019, 10, 137–145. [Google Scholar] [CrossRef] [PubMed]
- Lattanzi, S.; Cagnetti, C.; Provinciali, L.; Silvestrini, M. Neutrophil-to-lymphocyte ratio and neurological deterioration following acute cerebral hemorrhage. Oncotarget 2017, 8, 57489–57494. [Google Scholar] [CrossRef]
- Lattanzi, S.; Cagnetti, C.; Rinaldi, C.; Angelocola, S.; Provinciali, L.; Silvestrini, M. Neutrophil-to-lymphocyte ratio and outcome prediction in acute intracerebral hemorrhage. J. Neurol. Sci. 2018, 387, 98–102. [Google Scholar] [CrossRef]
- Lattanzi, S.; Cagnetti, C.; Provinciali, L.; Silvestrini, M. Neutrophil-to-lymphocyte ratio predicts the outcome of acute intracerebral hemorrhage. Stroke 2016, 47, 1654–1657. [Google Scholar] [CrossRef]


| Parameter (unit) | Whole Cohort (n = 58) | Type of Treatment | ||||
|---|---|---|---|---|---|---|
| Thrombolysis (n = 28) | Thrombolysis and Thrombectomy (n = 10) | No Causal Treatment (n = 20) | p | |||
| Age (years) | 67 (60–77) | 62 (45–75) | 68 (62–77) | 71 (64–79) | 0.10 | |
| SEX—male (%) | 29 (50) | 12 (43) | 5 (50) | 12 (60) | 0.50 | |
| BMI (kg/m2) | 28 (24–31) | 27 (23–31) | 27 (25–33) | 29 (26–30) | 0.85 | |
| SBP (mmHg) | 130 (120–140) | 130 (130–135) | 130 (120–160) | 130 (125–140) | 0.99 | |
| DBP (mmHg) | 80 (80–80) | 80 (80–80) | 80 (80–90) | 80 (73–80) | 0.03 | |
| LVEF (%) | 63 (55–67) | 65 (55–67) | 53 (45–60) | 65 (53–69) | 0.09 | |
| TOAST n (%) | LAA | 13 (22) | 2 (7) | 5 (50) | 6 (30) | 0.14 |
| SVO | 5 (9) | 4 (14) | 1 (10) | 0 | ||
| CE | 12 (21) | 6 (21) | 2 (20) | 4 (20) | ||
| SOE | 4 (7) | 3 (11) | 0 | 1 (5) | ||
| SUE | 24 (41) | 13 (46) | 2 (20) | 9 (45) | ||
| OSCP | LACI | 18 (31) | 12 (43) | 1 (10) | 5 (25) | 0.08 |
| PACI | 24 (41) | 12 (43) | 4 (40) | 8 (40) | ||
| TACI | 5 (9) | 0 | 3 (30) | 2 (10) | ||
| POCI | 11 (19) | 4 (14) | 2 (20) | 5 (25) | ||
| TICI | TICI 0 | 1 (10) | - | |||
| TICI 2b | 6 (60) | |||||
| TICI 3 | 3 (30) | |||||
| Stroke scales | NIHSS at admission before treatment | 7 (4–13) | 6 (4–9) a | 14 (11–15) a,b | 5 (4–11) b | 0.006 |
| NIHSS on the first day after treatment | 4 (3–11) | 3 (2–6) a | 15 (9–18) a | 5 (3–9) | 0.002 | |
| mRS at admission before treatment | 0 (0–0) | 0 (0–0) | 0 (0–0) | 0 (0–1) | 0.45 | |
| 90–day mRS | 1 (1–3) | 1 (1–2) a | 4 (1–5) a | 1 (1–3) | 0.02 | |
| ASPECTS at admission | 10 (9–10) | 10 (9–10) | 6 (5–9) | 10 (10–10) | 0.03 | |
| AST (U/L) | 18 (16–24) | 18 (16–24) | 22 (18–26) | 18 (14–23) | 0.33 | |
| ALT (U/L) | 17 (13–22) | 16 (13–23) | 17 (17–23) | 17 (11–22) | 0.48 | |
| sCr (mg/dL) | 0.85 (0.71–1.08) | 0.86 (0.72–1.01) | 0.79 (0.66–1.11) | 0.85 (0.70–1.11) | 0.95 | |
| LDL (mg/dL) | 102 (74–138) | 104 (74–140) | 89 (77–119) | 102 (74–132) | 0.89 | |
| CBC | WBCs [103/μL] | 9.88 (8.31–11.32) | 10.43 (8.45–12.83) | 10.36 (8.64–13.46) | 8.97 (7.66–10.39) | 0.22 |
| NEUTs [103/μL] | 7.08 (5.02–9.04) | 7.60 (4.68–9.13) | 8.85 (6.51–12.49) | 6.52 (5.34–6.94) | 0.08 | |
| LYMPHs [103/μL] | 1.69 (1.20–2.22) | 1.91 (1.36–2.43) a | 1.15 (0.87–1.45) a | 1.62 (1.21–2.19) | 0.03 | |
| MONOs [103/μL] | 0.85 (0.64–1.02) | 0.93 (0.73–1.13) | 0.85 (0.51–1.03) | 0.79 (0.62–0.92) | 0.36 | |
| RBCs [106/μL] | 4.41 (4.10–4.87) | 4.37 (4.06–4.75) | 4.35 (3.99–4.52) | 4.66 (4.18–4.90) | 0.58 | |
| PLTs [103/μL] | 232 (189-261) | 240 (208-262) | 221 (164-333) | 215 (184-253) | 0.66 | |
| Current smokers, n (%) | 18 (31) | 8 (29) | 2 (20) | 8 (40) | 0.50 | |
| Medical history, n (%) | CAD | 10 (17) | 3 (11) | 4 (40) | 3 (15) | 0.10 |
| Previous AIS | 12 (21) | 3 (11) | 2 (20) | 7 (35) | 0.12 | |
| Hypertension | 45 (78) | 21 (75) | 7 (70) | 17 (85) | 0.58 | |
| Diabetes mellitus | 16 (28) | 8 (29) | 3 (30) | 5 (25) | 0.95 | |
| Dyslipidemia | 32 (55) | 20 (71) | 3 (30) | 9 (45) | 0.04 | |
| AF | 11 (19) | 5 (18) | 4 (40) | 2 (10) | 0.14 | |
| Parameter | NIHSS ≤ 7 (n = 39) | NIHSS > 7 (n = 19) | p |
|---|---|---|---|
| NLR | 3.74 (2.12–5.30) | 8.68 (3.73–9.61) | 0.0002 |
| LMR | 2.18 (1.53–2.83) | 1.89 (1.23–2.23) | 0.18 |
| Parameter | SUE (n = 24) | LAA (n = 13) | CE (n = 12) | SOE (n = 4) | SVO (n = 5) | p |
|---|---|---|---|---|---|---|
| NLR | 3.85 (2.34–6.65) | 4.85 (2.31–9.15) | 6.37 (4.22–9.36) | 3.66 (2.58–5.89) | 3.41 (1.70–4.72) | 0.23 |
| LMR | 2.19 (1.43–2.81) | 2.00 (1.58–2.56) | 1.63 (1.33–2.14) | 2.02 (1.27–3.04) | 2.49 (1.59–2.58) | 0.77 |
| Parameter | LACI (n = 18) | PACI (n = 24) | POCI (n = 11) | TACI (n = 5) | p |
|---|---|---|---|---|---|
| NLR | 4.34 a (1.70–5.53) | 4.31 (2.66–8.87) | 3.40 (2.53–6.61) | 9.93 a (9.15–11.09) | 0.025 |
| LMR | 2.38 (1.57–2.97) | 2.10 (1.33–2.55) | 1.69 (1.46–2.48) | 1.70 (1.58–2.00) | 0.81 |
© 2019 by the authors. Licensee MDPI, Basel, Switzerland. This article is an open access article distributed under the terms and conditions of the Creative Commons Attribution (CC BY) license (http://creativecommons.org/licenses/by/4.0/).
Share and Cite
Świtońska, M.; Słomka, A.; Korbal, P.; Piekuś-Słomka, N.; Sinkiewicz, W.; Sokal, P.; Żekanowska, E. Association of Neutrophil-to-Lymphocyte Ratio and Lymphocyte-to-Monocyte Ratio with Treatment Modalities of Acute Ischaemic Stroke: A Pilot Study. Medicina 2019, 55, 342. https://doi.org/10.3390/medicina55070342
Świtońska M, Słomka A, Korbal P, Piekuś-Słomka N, Sinkiewicz W, Sokal P, Żekanowska E. Association of Neutrophil-to-Lymphocyte Ratio and Lymphocyte-to-Monocyte Ratio with Treatment Modalities of Acute Ischaemic Stroke: A Pilot Study. Medicina. 2019; 55(7):342. https://doi.org/10.3390/medicina55070342
Chicago/Turabian StyleŚwitońska, Milena, Artur Słomka, Piotr Korbal, Natalia Piekuś-Słomka, Władysław Sinkiewicz, Paweł Sokal, and Ewa Żekanowska. 2019. "Association of Neutrophil-to-Lymphocyte Ratio and Lymphocyte-to-Monocyte Ratio with Treatment Modalities of Acute Ischaemic Stroke: A Pilot Study" Medicina 55, no. 7: 342. https://doi.org/10.3390/medicina55070342
APA StyleŚwitońska, M., Słomka, A., Korbal, P., Piekuś-Słomka, N., Sinkiewicz, W., Sokal, P., & Żekanowska, E. (2019). Association of Neutrophil-to-Lymphocyte Ratio and Lymphocyte-to-Monocyte Ratio with Treatment Modalities of Acute Ischaemic Stroke: A Pilot Study. Medicina, 55(7), 342. https://doi.org/10.3390/medicina55070342

