Ethnic variation in self-rated health–mortality association: Results from a 17-year follow-up study in Estonia
Abstract
1. Introduction
2. Materials and methods
2.1. Data
2.2. Measures
2.3. Statistical analysis
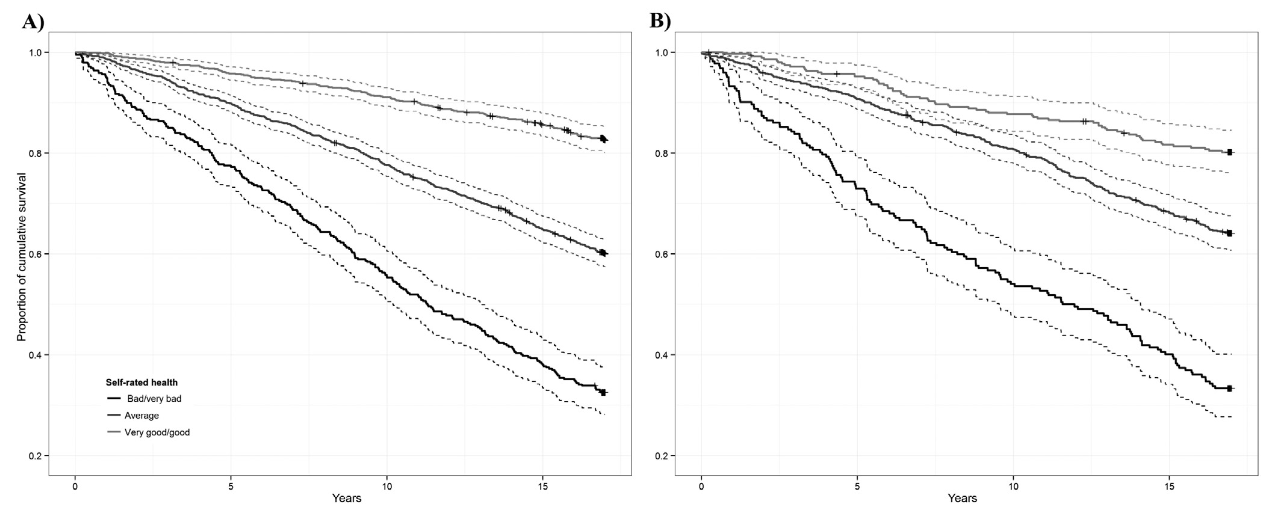
3. Results
4. Discussion
5. Conclusions
Authors’ contribution
Conflict of interest
Acknowledgments
R E F E R E N C E S
- Idler, EL; Benyamini, Y. Self-rated health and mortality: a review of twenty-seven community studies. J Health Soc Behav 1997, 38, 21–37. [Google Scholar] [CrossRef] [PubMed]
- Dowd, JB; Zajacova, A. Does self-rated health mean the same thing across socioeconomic groups? Evidence from biomarker data. Ann Epidemiol 2010, 20, 743–9. [Google Scholar] [CrossRef] [PubMed]
- Nielsen, AB; Siersma, V; Hiort, LC; Drivsholm, T; Kreiner, S; Hollnagel, H. Self-rated general health among 40-year-old Danes and its association with all-cause mortality at 10-, 20-, and 29 years’ follow-up. Scand J Public Health 2008, 36, 3–11. [Google Scholar] [CrossRef] [PubMed]
- Bopp, M; Braun, J; Gutzwiller, F; Faeh, D. Health risk or resource? Gradual and independent association between self-rated health and mortality persists over 30 years. PLoS ONE 2012, 7, 9. [Google Scholar] [CrossRef] [PubMed]
- Dalen, JD; Huijts, T; Krokstad, S; Eikemo, TA. Are there educational differences in the association between self-rated health and mortality in Norway? The HUNT Study. Scand J Public Health 2012, 40, 641–7. [Google Scholar] [CrossRef] [PubMed]
- McFadden, E; Luben, R; Bingham, S; Wareham, N; Kinmonth, AL; Khaw, KT. Does the association between self-rated health and mortality vary by social class? Soc Sci Med 2009, 68, 275–80. [Google Scholar] [CrossRef] [PubMed]
- van Doorslaer, E; Gerdtham, U-G. Does inequality in self-assessed health predict inequality in survival by income? Evidence from Swedish data. Soc Sci Med 2003, 57, 1621–9. [Google Scholar] [CrossRef]
- Dowd, JB; Zajacova, A. Does the predictive power of self-rated health for subsequent mortality risk vary by socioeconomic status in the US? Int J Epidemiol 2007, 36, 1214–21. [Google Scholar] [CrossRef] [PubMed]
- Singh-Manoux, A; Dugravot, A; Shipley, MJ; Dugravot, A; Ferrie, JE; Martikainen, P; Goldberg, M; et al. The association between self-rated health and mortality in different socioeconomic groups in the GAZEL cohort study. Int J Epidemiol 2007, 36, 1222–8. [Google Scholar] [CrossRef] [PubMed]
- Suresh, S; Sabanayagam, C; Shankar, A. Socioeconomic status, self-rated health, and mortality in a multiethnic sample of US adults. J Epidemiol 2011, 21, 337–45. [Google Scholar] [CrossRef] [PubMed]
- Jylhä, M. What is self-rated health and why does it predict mortality? Towards a unified conceptual model. Soc Sci Med 2009, 69, 307–16. [Google Scholar]
- Bzostek, S; Goldman, N; Pebley, A. Why do Hispanics in the USA report poor health? Soc Sci Med 2007, 65, 990–1003. [Google Scholar] [CrossRef] [PubMed]
- Do, DP; Frank, R; Finch, BK. Does SES explain more of the black/white health gap than we thought? Revisiting our approach toward understanding racial disparities in health. Soc Sci Med 2012, 74, 1385–93. [Google Scholar] [CrossRef] [PubMed]
- Regidor, E; Guallar-Castillón, P; Gutiérrez-Fisac, JL; Banegas, JR; Rodríguez-Artalejo, F. Socioeconomic variation in the magnitude of the association between self-rated health and mortality. Ann Epidemiol 2010, 20, 395–400. [Google Scholar] [CrossRef] [PubMed]
- Franks, P; Gold, MR; Fiscella, K. Sociodemographics, self-rated health, and mortality in the US. Soc Sci Med 2003, 56, 2505–14. [Google Scholar] [CrossRef]
- Su, D; Wen, M; Markides, KS. Is self-rated health comparable between non-Hispanic whites and Hispanics? Evidence from the Health and Retirement Study. J Gerontol Ser B: Psychol Sci Soc Sci 2013, 68, 622–32. [Google Scholar] [CrossRef] [PubMed]
- Woo, H; Zajacova, A. Predictive strength of self-rated health for mortality risk among older adults in the United States: does it differ by race and ethnicity? Res Aging 2016. http://dx.doi.org/10.1177/0164027516637410.
- Dowd, JB; Todd, M. Does self-reported health bias the measurement of health inequalities in U.S. adults? Evidence using anchoring vignettes from the Health and Retirement Study. J Gerontol Ser B: Psychol Sci Soc Sci 2011, 66B, 478–89. [Google Scholar] [CrossRef] [PubMed]
- Assari, S; Lankarani, MM; Burgard, S. Black-white difference in long-term predictive power of self-rated health on all-cause mortality in United States. Ann Epidemiol 2016, 26, 106–14. [Google Scholar] [CrossRef] [PubMed]
- DeSalvo, KB; Bloser, N; Reynolds, K; He, J; Muntner, P. Mortality prediction with a single general self-rated health question. A meta-analysis. J Gen Intern Med 2006, 21, 267–75. [Google Scholar] [CrossRef] [PubMed]
- Balabanova, DC; McKee, M. Self-reported health in Bulgaria: levels and determinants. Scand J Public Health 2002, 30, 306–12. [Google Scholar] [CrossRef] [PubMed]
- Monden, C. Socioeconomic health inequalities in Latvia: a cross-sectional study. Scand J Public Health 2004, 32, 217–23. [Google Scholar] [CrossRef] [PubMed]
- Parna, K; Ringmets, I. Comparison of socioeconomic differences in self-perceived health in Estonia and Finland. Scand J Public Health 2010, 38, 129–34. [Google Scholar] [CrossRef] [PubMed]
- Leinsalu, M. Social variation in self-rated health in Estonia: a cross-sectional study. Soc Sci Med 2002, 55, 847–61. [Google Scholar] [CrossRef]
- Leinsalu, M; Stirbu, I; Vagero, D; Kalediene, R; Kovacs, K; Wojtyniak, B; et al. Educational inequalities in mortality in four Eastern European countries: divergence in trends during the post-communist transition from 1990 to 2000. Int J Epidemiol 2009, 38, 512–25. [Google Scholar] [CrossRef] [PubMed]
- Leinsalu, M; Vagero, D; Kunst, AE. Increasing ethnic differences in mortality in Estonia after the collapse of the Soviet Union. J Epidemiol Community Health 2004, 58, 583–9. [Google Scholar] [CrossRef] [PubMed][Green Version]
- Appels, A; Bosma, H; Grabauskas, V; Gostautas, A; Sturmans, F. Self-rated health and mortality in a Lithuanian and a Dutch population. Soc Sci Med 1996, 42, 681–9. [Google Scholar] [CrossRef]
- Perlman F, Bobak M. Determinants of self rated health and mortality in Russia–are they the same? Int J Equity Health 2008, 7, 1475–9276. [Google Scholar] [CrossRef] [PubMed]
- Reile, R; Stickley, A; Leinsalu, M. Large variation in predictors of mortality by levels of self-rated health: results from an 18-year follow-up study. Public Health 2017, 145, 59–66. [Google Scholar] [CrossRef] [PubMed]
- Leinsalu, M; Grintšak, M; Noorkõiv, R; Silver, B. Estonian Health Interview Survey. Methodological report. Institute of Experimental and Clinical Medicine: Tallinn, 1998. [Google Scholar]
- Tuma, N; Titma, M; Murakas, R. Transitional economies and income inequality: the case of Estonia. In Transition to democracy in Eastern Europe and Russia: impact on politics, economy and culture; Wejnert, B, Ed.; Praeger: Westport, 2002; pp. 111–40. [Google Scholar]
- Jylha, M; Guralnik, JM; Ferrucci, L; Jokela, J; Heikkinen, E. Is self-rated health comparable across cultures and genders? J Gerontol Ser B: Psychol Sci Soc Sci 1998, 53, S144–52. [Google Scholar] [CrossRef]
- Kulik, MC; Hoffmann, R; Judge, K; Looman, C; Menvielle, G; Kulhanova, I; et al. Smoking and the potential for reduction of inequalities in mortality in Europe. Eur J Epidemiol 2013, 28, 959–71. [Google Scholar] [CrossRef] [PubMed]
- Lang, K. Ethnic differences in cancer incidence in Estonia: two cross-sectional unlinked census-based cancer incidence analyses. Popul Health Metr 2009, 7, 10. http://dx.doi.org/10.1186/1478-7954-7-10. [CrossRef] [PubMed]
- Flegal, KM; Kit, BK; Orpana, H; Graubard, BI. Association of all-cause mortality with overweight and obesity using standard body mass index categories: a systematic review and meta-analysis. JAMA 2013, 309, 71–82. [Google Scholar] [CrossRef] [PubMed]
- Schenkeveld, L; Magro, M; Oemrawsingh, RM; Lenzen, M; de Jaegere, P; van Geuns, R-J; et al. The influence of optimal medical treatment on the ’obesity paradox’, body mass index and long-term mortality in patients treated with percutaneous coronary intervention: a prospective cohort study. BMJ Open 2012, 2. http://dx.doi.org/10.1136/bmjopen-2011-000535. [CrossRef] [PubMed]
- Hastie, CE; Padmanabhan, S; Slack, R; Pell, AC; Oldroyd, KG; Flapan, AD; et al. Obesity paradox in a cohort of 4880 consecutive patients undergoing percutaneous coronary intervention. Eur Heart J 2010, 31, 222–6. [Google Scholar] [CrossRef] [PubMed]
- Lee, S; Schwarz, N; Goldstein, LS. Culture-sensitive question order effects of self-rated health between older Hispanic and non-Hispanic adults in the United States. J Aging Health 2014. http://dx.doi.org/10.1177/0898264314532688. [CrossRef] [PubMed]
- Viruell-Fuentes, EA; Morenoff, JD; Williams, DR; House, JS. Language of interview, self-rated health, and the other Latino health puzzle. Am J Public Health 2011, 101, 1306–13. [Google Scholar] [CrossRef] [PubMed]
- Baburin, A; Lai, T; Leinsalu, M. Avoidable mortality in Estonia: exploring the differences in life expectancy between Estonians and non-Estonians in 2005–2007. Public Health 2011, 125, 754–62. [Google Scholar] [CrossRef] [PubMed]
- Chenet, L; Britton, A; Kalediene, R; Petrauskiene, J. Daily variations in deaths in Lithuania: the possible contribution of binge drinking. Int J Epidemiol 2001, 30, 743–8. [Google Scholar] [CrossRef] [PubMed][Green Version]
- Nery Guimaraes, JM; Chor, D; Werneck, GL; Carvalho, MS; Coeli, CM; Lopes, CS; et al. Association between self-rated health and mortality: 10 years follow-up to the Pro-Saude cohort study. BMC Public Health 2012, 12, 1471–2458. [Google Scholar] [CrossRef] [PubMed]
- Benyamini, Y; Blumstein, T; Lusky, A; Modan, B. Gender differences in the self-rated health-mortality association: is it poor self-rated health that predicts mortality or excellent self-rated health that predicts survival? Gerontologist 2003, 43, 396–405. [Google Scholar] [CrossRef] [PubMed]

| Total number (n = 3983) | Estonians, % (n = 2642) | Non-Estonians, % (n = 1341) | Less-than-good SRH, % | Deaths, % | |
| Self-rated health | |||||
| Very good/good | 1273 | 35.1 | 26.5 | NA | 18.0 |
| Average | 2073 | 50.2 | 56.8 | NA | 38.7 |
| Bad/very bad | 609 | 14.7 | 16.7 | NA | 67.7 |
| Age | |||||
| 25–39 | 1054 | 26.8 | 25.7 | 42.1 | 5.2 |
| 40–59 | 1315 | 31.7 | 35.7 | 67.4 | 21.6 |
| 60–79 | 1614 | 41.5 | 38.6 | 85.1 | 69.8 |
| Gender | |||||
| Men | 1778 | 44.6 | 44.7 | 64.5 | 40.6 |
| Women | 2205 | 55.4 | 55.3 | 70.5 | 33.7 |
| Ethnicity | |||||
| Estonian | 2642 | NA | NA | 64.9 | 36.5 |
| Non-Estonian | 1341 | NA | NA | 73.5 | 37.3 |
| Education | |||||
| University | 577 | 15.8 | 11.9 | 51.0 | 22.5 |
| Upper secondary | 1982 | 46.3 | 56.7 | 60.3 | 23.6 |
| ≤Lower secondary | 1422 | 37.9 | 31.3 | 85.4 | 60.9 |
| Income quartiles | |||||
| I (highest) | 1013 | 27.5 | 23.0 | 50.0 | 13.3 |
| II | 948 | 24.4 | 23.9 | 64.6 | 28.4 |
| III | 991 | 24.4 | 27.2 | 81.9 | 60.8 |
| IV (lowest) | 955 | 23.7 | 25.9 | 78.2 | 48.0 |
| Occupation | |||||
| Non-manual | 1936 | 50.4 | 46.0 | 63.6 | 28.6 |
| Manual | 2023 | 49.6 | 54.0 | 72.0 | 44.6 |
| Limiting illness | |||||
| No | 3439 | 86.6 | 85.8 | 63.7 | 30.8 |
| Yes | 544 | 13.4 | 14.2 | 95.4 | 74.6 |
| Smoking | |||||
| Never | 2136 | 54.0 | 53.1 | 71.7 | 38.1 |
| Ever | 1842 | 46.0 | 46.9 | 63.3 | 35.2 |
| BMI | |||||
| Normal | 1801 | 46.3 | 45.5 | 61.5 | 31.9 |
| Underweight | 63 | 1.9 | 1.1 | 69.4 | 31.7 |
| Overweight | 1396 | 36.0 | 35.0 | 70.0 | 39.4 |
| Obese | 655 | 15.8 | 18.5 | 81.4 | 45.2 |
| Estonians | Non-Estonians | |||||
| Model 1 HR (95% CI) | Model 2 HR (95% CI) | Model 3 HR (95% CI) | Model 1 HR (95% CI) | Model 2 HR (95% CI) | Model 3 HR (95% CI) | |
| Self-rated health | ||||||
| Very good/good | 1.00 | 1.00 | 1.00 | 1.00 | 1.00 | 1.00 |
| Average | 1.37 (1.08–1.75) | 1.21 (0.94–1.55) | 1.16 (0.90–1.49) | 1.05 (0.74–1.49) | 0.97 (0.68 –1.37) | 0.94 (0.66–1.34) |
| Bad/very bad | 2.22 (1.67–2.96) | 1.74 (1.29–2.33) | 1.57 (1.14–2.16) | 1.40 (0.92–12.13) | 1.14 (0.74–1.74) | 0.99 (0.63–1.55) |
| Age | ||||||
| Age (cont.) | 1.08 (1.08–1.09) | 1.07 (1.06–1.08) | 1.07 (1.06–1.08) | 1.08 (1.06–1.09) | 1.07 (1.06–1.09) | 1.07 (1.06–1.09) |
| Education | ||||||
| University | 1.00 | 1.00 | 1.00 | 1.00 | ||
| Upper secondary | 0.97 (0.67 –1.39) | 0.96 (0.66–1.38) | 1.73 (1.01–2.96) | 1.73 (1.01–2.97) | ||
| ≤Lower secondary | 1.13 (0.75–1.69) | 1.14 (0.76–1.71) | 1.98 (1.10–3.57) | 2.09 (1.15–3.77) | ||
| Income quartiles | ||||||
| I (highest) | 1.00 | 1.00 | 1.00 | 1.00 | ||
| II | 1.54 (1.11–2.14) | 1.42 (1.02–1.98) | 1.56 (1.06–2.30) | 1.52 (1.03–2.24) | ||
| III | 1.60 (1.14–2.23) | 1.56 (1.12–2.18) | 1.30 (0.88–1.92) | 1.24 (0.86–1.84) | ||
| IV (lowest) | 2.12 (1.51–2.99) | 2.06 (1.47–2.90) | 1.92 (1.27–2.90) | 1.84 (1.22–2.80) | ||
| Occupation | ||||||
| Non-manual | 1.00 | 1.00 | 1.00 | 1.00 | ||
| Manual | 1.29 (0.89–1.62) | 1.15 (0.85–1.55) | 1.16 (0.80–1.69) | 1.10 (0.75–1.62) | ||
| Limiting illness | ||||||
| No | 1.00 | 1.00 | ||||
| Yes | 1.18 (0.92–1.52) | 1.32 (0.93–1.87) | ||||
| Smoking | ||||||
| Never | 1.00 | 1.00 | ||||
| Ever | 1.47 (1.19–1.82) | 1.14 (0.84–1.54) | ||||
| BMI | ||||||
| Normal | 1.00 | 1.00 | ||||
| Underweight | 1.25 (0.45–3.44) | 1.33 (0.32–5.57) | ||||
| Overweight | 1.00 (0.81–1.22) | 0.87 (0.66–1.15) | ||||
| Obese | 1.02 (0.77–1.34) | 0.88 (0.57–1.34) | ||||
| Estonians | Non-Estonians | |||||
| Model 1 HR (95% CI) | Model 2 HR (95% CI) | Model 3 HR (95% CI) | Model 1 HR (95% CI) | Model 2 HR (95% CI) | Model 3 HR (95% CI) | |
| Self-rated health | ||||||
| Very good/good | 1.00 | 1.00 | 1.00 | 1.00 | 1.00 | 1.00 |
| Average | 1.56 (1.20–2.03) | 1.49 (1.14–1.95) | 1.53 (1.16–2.02) | 1.03 (0.66–1.61) | 1.07 (0.68–1.68) | 1.02 (0.63–1.65) |
| Bad/very bad | 2.07 (1.54–2.76) | 1.87 (1.39–2.52) | 1.60 (1.16–2.20) | 1.77 (1.11–2.83) | 1.78 (1.11–2.83) | 1.48 (0.89–2.46) |
| Age | ||||||
| Age (cont.) | 1.11 (1.10–1.12) | 1.10 (1.09–1.11) | 1.10 (1.08–1.11) | 1.09 (1.08–1.11) | 1.08 (1.07–1.10) | 1.09 (1.07–1.10) |
| Education | ||||||
| University | 1.00 | 1.00 | 1.00 | 1.00 | ||
| Upper secondary | 0.89 (0.61–1.28) | 0.88 (0.61–1.29) | 1.47 (0.78–2.78) | 1.31 (0.69–2.49) | ||
| ≤Lower secondary | 1.05 (0.72–1.54) | 1.11 (0.76–1.63) | 1.17 (0.61–2.83) | 1.01 (0.52–1.95) | ||
| Income quartiles | ||||||
| I (highest) | 1.00 | 1.00 | 1.00 | 1.00 | ||
| II | 1.80 (1.02–3.14) | 1.97 (1.10–3.54) | 1.35 (0.45–4.06) | 1.36 (0.45–4.12) | ||
| III | 2.07 (1.19–3.59) | 2.20 (1.25–3.89) | 3.17 (1.13–8.86) | 3.27 (1.16–9.19) | ||
| IV (lowest) | 2.20 (1.26–3.86) | 2.26 (1.27–4.02) | 3.42 (1.22–9.58) | 3.53 (1.25–9.95) | ||
| Occupation | ||||||
| Non-manual | 1.00 | 1.00 | 1.00 | 1.00 | ||
| Manual | 1.09 (0.90–1.34) | 1.05 (0.86–1.29) | 1.22 (0.91–1.63) | 1.38 (1.02–1.86) | ||
| Limiting illness | ||||||
| No | 1.00 | 1.00 | ||||
| Yes | 1.68 (1.35–2.10) | 1.73 (1.27–2.37) | ||||
| Smoking | ||||||
| Never | 1.00 | 1.00 | ||||
| Ever | 1.36 (1.06–1.73) | 1.17 (0.77–1.79) | ||||
| BMI | ||||||
| Normal | 1.00 | 1.00 | ||||
| Underweight | 1.50 (0.81–2.79) | 1.70 (0.40–7.30) | ||||
| Overweight | 0.80 (0.65–0.99) | 0.70 (0.50–0.97) | ||||
| Obese | 0.96 (0.75–1.22) | 0.95 (0.68–1.31) | ||||
© 2017 The Lithuanian University of Health Sciences. Production and hosting by Elsevier Sp. z o.o. This is an open access article under the CC BY-NC-ND license (http://creativecommons.org/licenses/by-nc-nd/4.0/).
Share and Cite
Reile, R.; Leinsalu, M. Ethnic variation in self-rated health–mortality association: Results from a 17-year follow-up study in Estonia. Medicina 2017, 53, 114-121. https://doi.org/10.1016/j.medici.2017.04.003
Reile R, Leinsalu M. Ethnic variation in self-rated health–mortality association: Results from a 17-year follow-up study in Estonia. Medicina. 2017; 53(2):114-121. https://doi.org/10.1016/j.medici.2017.04.003
Chicago/Turabian StyleReile, Rainer, and Mall Leinsalu. 2017. "Ethnic variation in self-rated health–mortality association: Results from a 17-year follow-up study in Estonia" Medicina 53, no. 2: 114-121. https://doi.org/10.1016/j.medici.2017.04.003
APA StyleReile, R., & Leinsalu, M. (2017). Ethnic variation in self-rated health–mortality association: Results from a 17-year follow-up study in Estonia. Medicina, 53(2), 114-121. https://doi.org/10.1016/j.medici.2017.04.003
