Triterpenoids from Chios Mastiha Resin Against MASLD—A Molecular Docking Survey
Abstract
1. Introduction
2. Materials and Methods
2.1. Overview of Important Pathways and Factors That Contribute to MASLD
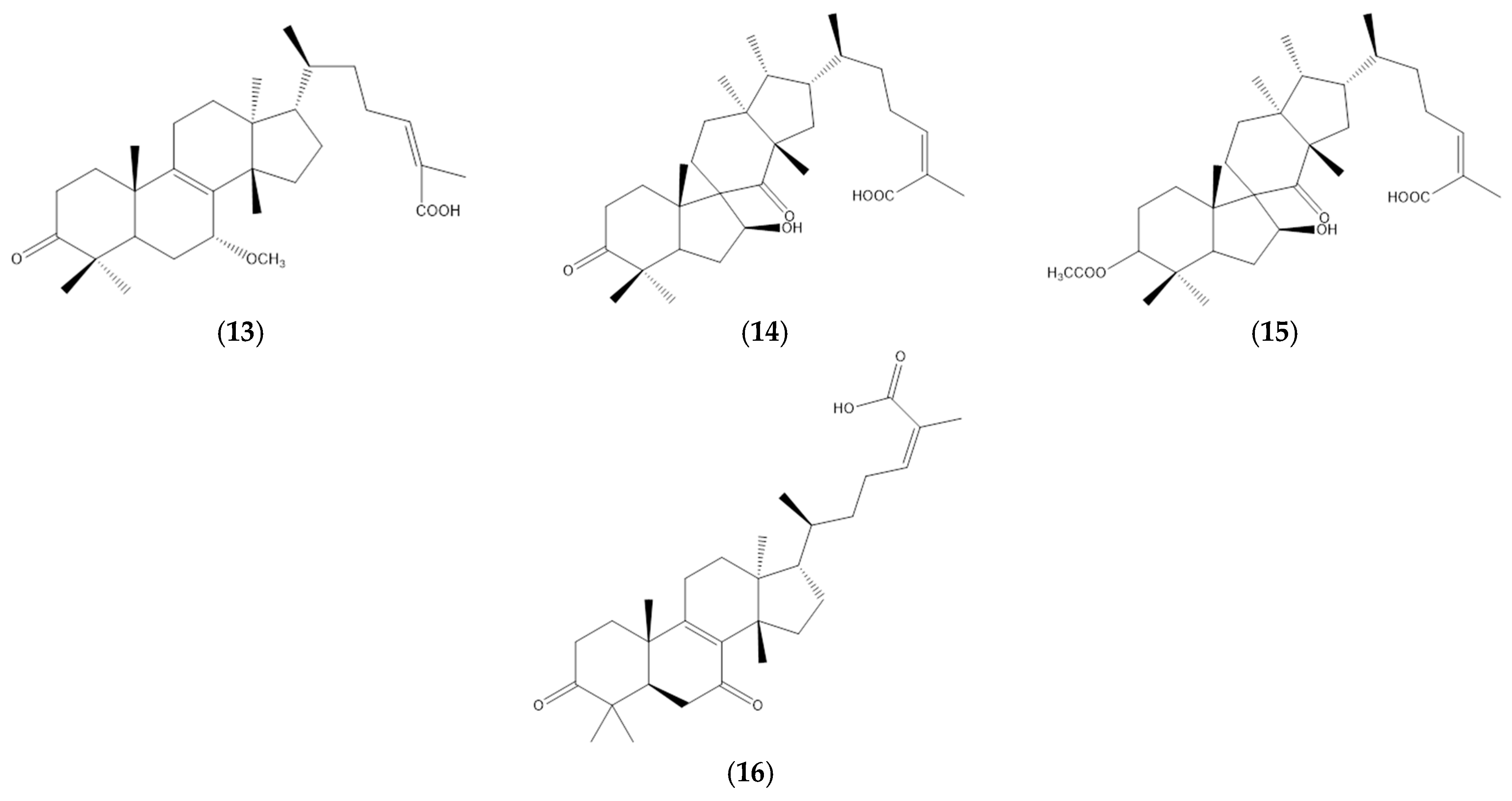
2.2. Analyzed Compounds
2.3. Molecular Docking
3. Results
4. Discussion
5. Conclusions
Author Contributions
Funding
Institutional Review Board Statement
Informed Consent Statement
Data Availability Statement
Conflicts of Interest
References
- European Association for the Study of the Liver (EASL); European Association for the Study of Diabetes (EASD); European Association for the Study of Obesity (EASO). EASL–EASD–EASO Clinical Practice Guidelines for the management of nonalcoholic fatty liver disease. J. Hepatol. 2016, 64, 1388–1402. [Google Scholar] [CrossRef] [PubMed]
- Rinella, M.E.; Lazarus, J.V.; Ratziu, V.; Francque, S.M.; Sanyal, A.J.; Kanwal, F.; Romero, D.; Abdelmalek, M.F.; Anstee, Q.M.; Arab, J.P.; et al. A multisociety Delphi consensus statement on new fatty liver disease nomenclature. Hepatology 2023, 78, 1966–1986. [Google Scholar] [CrossRef] [PubMed]
- Gao, B.; Tsukamoto, H. Inflammation in Alcoholic and Nonalcoholic Fatty Liver Disease: Friend or Foe? Gastroenterology 2016, 150, 1704–1709. [Google Scholar] [CrossRef]
- Lei, L.; El Mourabit, H.; Housset, C.; Cadoret, A.; Lemoinne, S. Role of Angiogenesis in the Pathogenesis of NAFLD. J. Clin. Med. 2021, 10, 1338. [Google Scholar] [CrossRef]
- Pachi, V.K.; Mikropoulou, E.V.; Gkiouvetidis, P.; Siafakas, K.; Argyropoulou, A.; Angelis, A.; Mitakou, S.; Halabalaki, M. Traditional uses, phytochemistry and pharmacology of Chios mastic gum (Pistacia lentiscus var. Chia, Anacardiaceae): A review. J. Ethnopharmacol. 2020, 254, 112485. [Google Scholar] [CrossRef] [PubMed]
- Soulaidopoulos, S.; Tsiogka, A.; Chrysohoou, C.; Lazarou, E.; Aznaouridis, K.; Doundoulakis, I.; Tyrovola, D.; Tousoulis, D.; Tsioufis, K.; Vlachopoulos, C.; et al. Overview of Chios Mastic Gum (Pistacia lentiscus) Effects on Human Health. Nutrients 2022, 14, 590. [Google Scholar] [CrossRef]
- Dabos, K.J.; Sfika, E.; Vlatta, L.J.; Frantzi, D.; Amygdalos, G.I.; Giannikopoulos, G. Is Chios mastic gum effective in the treatment of functional dyspepsia? A prospective randomised double-blind placebo controlled trial. J. Ethnopharmacol. 2010, 127, 205–209. [Google Scholar] [CrossRef] [PubMed]
- Pachi, V.K.; Mikropoulou, E.V.; Dimou, S.; Dionysopoulou, M.; Argyropoulou, A.; Diallinas, G.; Halabalaki, M. Chemical Profiling of Pistacia lentiscus var. Chia Resin and Essential Oil: Ageing Markers and Antimicrobial Activity. Processes 2021, 9, 418. [Google Scholar] [CrossRef]
- Singh, R.; Sahu, N.; Tyagi, R.; Alam, P.; Akhtar, A.; Walia, R.; Chandra, A.; Madan, S. Integrative Network Pharmacology, Molecular Docking, and Dynamics Simulations Reveal the Mechanisms of Cinnamomum tamala in Diabetic Nephropathy Treatment: An In Silico Study. Curr. Issues Mol. Biol. 2024, 46, 11868–11889. [Google Scholar] [CrossRef] [PubMed]
- Khan, M.A.; Azam, M.; Younus, H. In Silico and In Vitro Studies to Explore the Effect of Thymoquinone on Isocitrate Lyase, Biofilm Formation, and the Expression of Some Virulence Genes in Candida albicans. Curr. Issues Mol. Biol. 2024, 46, 12951–12967. [Google Scholar] [CrossRef] [PubMed]
- Lu, J.; Zhang, X.; Dong, P.; Mei, C.; Yang, Y.; Yu, C.; Song, L. Single-Cell Analysis Reveals the Cellular and Molecular Changes of Liver Injury and Fibrosis in Mice During the Progression of Schistosoma japonicum Infection. Curr. Issues Mol. Biol. 2024, 46, 11906–11926. [Google Scholar] [CrossRef] [PubMed]
- Kapusta, K.; McGowan, A.; Banerjee, S.; Wang, J.; Kolodziejczyk, W.; Leszczynski, J. Benchmark Investigation of SARS-CoV-2 Mutants’ Immune Escape with 2B04 Murine Antibody: A Step Towards Unraveling a Larger Picture. Curr. Issues Mol. Biol. 2024, 46, 12550–12573. [Google Scholar] [CrossRef] [PubMed]
- Cione, E.; Michelini, S.; Abrego-Guandique, D.M.; Vaia, N.; Michelini, S.; Puleo, V.; Bertelli, M.; Caroleo, M.C.; Cannataro, R. Identification of Specific microRNAs in Adipose Tissue Affected by Lipedema. Curr. Issues Mol. Biol. 2024, 46, 11957–11974. [Google Scholar] [CrossRef]
- Milošević, N.; Milanović, M.; Pavlović, N.; Đurić, L.; Cacciola, N.A.; Borrelli, F.; Milić, N. Indian ayurvedic herb, Boerhaavia diffusa as BCPR inhibitor: The story behind the curtains. J. Mol. Struct. 2022, 1249, 131564. [Google Scholar] [CrossRef]
- Wu, Y.; Lou, L.; Xie, Z.R. A Pilot Study of All-Computational Drug Design Protocol-From Structure Prediction to Interaction Analysis. Front. Chem. 2020, 8, 81. [Google Scholar] [CrossRef]
- Amerikanou, C.; Kanoni, S.; Kaliora, A.C.; Barone, A.; Bjelan, M.; D’Auria, G.; Gioxari, A.; Gosalbes, M.J.; Mouchti, S.; Stathopoulou, M.G.; et al. Effect of Mastiha supplementation on NAFLD: The MAST4HEALTH Randomised, Controlled Trial. Mol. Nutr. Food Res. 2021, 65, e2001178. [Google Scholar] [CrossRef] [PubMed]
- Amerikanou, C.; Papada, E.; Gioxari, A.; Smyrnioudis, I.; Kleftaki, S.A.; Valsamidou, E.; Bruns, V.; Banerjee, R.; Trivella, M.G.; Milic, N.; et al. Mastiha has efficacy in immune-mediated inflammatory diseases through a microRNA-155 Th17 dependent action. Pharmacol. Res. 2021, 171, 105753. [Google Scholar] [CrossRef] [PubMed]
- Kanoni, S.; Kumar, S.; Amerikanou, C.; Kurth, M.J.; Stathopoulou, M.G.; Bourgeois, S.; Masson, C.; Kannt, A.; Cesarini, L.; Kontoe, M.S.; et al. Nutrigenetic Interactions Might Modulate the Antioxidant and Anti-Inflammatory Status in Mastiha-Supplemented Patients with NAFLD. Front. Immunol. 2021, 12, 683028. [Google Scholar] [CrossRef]
- Li, X.; Wang, H. Multiple organs involved in the pathogenesis of non-alcoholic fatty liver disease. Cell Biosci. 2020, 10, 140. [Google Scholar] [CrossRef] [PubMed]
- Kawaguchi, T.; Tsutsumi, T.; Nakano, D.; Torimura, T. MAFLD: Renovation of clinical practice and disease awareness of fatty liver. Hepatol. Res. 2022, 52, 422–432. [Google Scholar] [CrossRef]
- Huang, Q.; Zou, X.; Wen, X.; Zhou, X.; Ji, L. NAFLD or MAFLD: Which Has Closer Association with All-Cause and Cause-Specific Mortality?—Results from NHANES III. Front. Med. 2021, 8, 693507. [Google Scholar] [CrossRef]
- Yilmaz, Y.; Younossi, Z.M. Obesity-associated nonalcoholic fatty liver disease. Clin. Liver Dis. 2014, 18, 19–31. [Google Scholar] [CrossRef] [PubMed]
- Young, S.; Tariq, R.; Provenza, J.; Satapathy, S.K.; Faisal, K.; Choudhry, A.; Friedman, S.L.; Singal, A.K. Prevalence and Profile of Nonalcoholic Fatty Liver Disease in Lean Adults: Systematic Review and Meta-Analysis. Hepatol. Commun. 2020, 4, 953–972. [Google Scholar] [CrossRef]
- Hazlehurst, J.M.; Woods, C.; Marjot, T.; Cobbold, J.F.; Tomlinson, J.W. Non-alcoholic fatty liver disease and diabetes. Metabolism 2016, 65, 1096–1108. [Google Scholar] [CrossRef]
- Watt, M.J.; Miotto, P.M.; De Nardo, W.; Montgomery, M.K. The Liver as an Endocrine Organ-Linking NAFLD and Insulin Resistance. Endocr. Rev. 2019, 40, 1367–1393. [Google Scholar] [CrossRef]
- Day, C.P.; James, O.F. Steatohepatitis: A tale of two “hits”? Gastroenterology 1998, 114, 842–845. [Google Scholar] [CrossRef] [PubMed]
- Hong, F.; Pan, S.; Guo, Y.; Xu, P.; Zhai, Y. PPARs as Nuclear Receptors for Nutrient and Energy Metabolism. Molecules 2019, 24, 2545. [Google Scholar] [CrossRef] [PubMed]
- Fiévet, C.; Fruchart, J.C.; Staels, B. PPARα and PPARγ dual agonists for the treatment of type 2 diabetes and the metabolic syndrome. Curr. Opin. Pharmacol. 2006, 6, 606–614. [Google Scholar] [CrossRef] [PubMed]
- Pawlak, M.; Lefebvre, P.; Staels, B. Molecular mechanism of PPARα action and its impact on lipid metabolism, inflammation and fibrosis in non-alcoholic fatty liver disease. J. Hepatol. 2015, 62, 720–733. [Google Scholar] [CrossRef] [PubMed]
- Ferré, P.; Foufelle, F. SREBP-1c transcription factor and lipid homeostasis: Clinical perspective. Horm. Res. 2007, 68, 72–82. [Google Scholar] [CrossRef]
- Ip, E.; Farrell, G.; Hall, P.; Robertson, G.; Leclercq, I. Administration of the potent PPARα agonist, Wy-14,643, reverses nutritional fibrosis and steatohepatitis in mice. Hepatology 2004, 39, 1286–1296. [Google Scholar] [CrossRef] [PubMed]
- Tzani, A.; Konstantopoulos, P.; Doulamis, I.; Liakea, A.; Minia, A.; Antoranz, A.; Korou, L.-M.; Kavantzas, N.; Alexopoulos, L.; Stamatelopoulos, K.; et al. Chios mastic gum inhibits diet-induced non-alcoholic steatohepatitis in mice via activation of PPAR-α. Atherosclerosis 2020, 315, e47–e48. [Google Scholar] [CrossRef]
- Kalliora, C.; Drosatos, K. The Glitazars Paradox: Cardiotoxicity of the Metabolically Beneficial Dual PPARα and PPARγ Activation. J. Cardiovasc. Pharmacol. 2020, 76, 514–526. [Google Scholar] [CrossRef]
- Bose, S.K.; Hutson, I.; Harris, C.A. Hepatic glucocorticoid receptor plays a greater role than adipose GR in metabolic syndrome despite renal compensation. Endocrinology 2016, 157, 4943–4960. [Google Scholar] [CrossRef]
- Koorneef, L.L.; van den Heuvel, J.K.; Kroon, J.; Boon, M.R.; ’t Hoen, P.A.C.; Hettne, K.M.; van de Velde, N.M.; Kolenbrander, K.B.; Streefland, T.C.M.; Mol, I.M.; et al. Selective Glucocorticoid Receptor Modulation Prevents and Reverses Nonalcoholic Fatty Liver Disease in Male Mice. Endocrinology 2018, 159, 3925–3936. [Google Scholar] [PubMed]
- Smith, B.K.; Marcinko, K.; Desjardins, E.M.; Lally, J.S.; Ford, R.J.; Steinberg, G.R. Treatment of nonalcoholic fatty liver disease: Role of AMPK. Am. J. Physiol. Endocrinol. Metab. 2016, 311, E730–E740. [Google Scholar] [CrossRef]
- Garcia, D.; Hellberg, K.; Chaix, A.; Wallace, M.; Herzig, S.; Badur, M.G.; Lin, T.; Shokhirev, M.N.; Pinto, A.F.M.; Ross, D.S.; et al. Genetic Liver-Specific AMPK Activation Protects against Diet-Induced Obesity and NAFLD. Cell Rep. 2019, 26, 192–208.e6. [Google Scholar] [CrossRef]
- Woods, A.; Williams, J.R.; Muckett, P.J.; Mayer, F.V.; Liljevald, M.; Bohlooly-Y, M.; Carling, D. Liver-Specific Activation of AMPK Prevents Steatosis on a High-Fructose Diet. Cell Rep. 2017, 18, 3043–3051. [Google Scholar] [CrossRef] [PubMed]
- Esquejo, R.M.; Salatto, C.T.; Delmore, J.; Albuquerque, B.; Reyes, A.; Shi, Y.; Moccia, R.; Cokorinos, E.; Peloquin, M.; Monetti, M.; et al. Activation of Liver AMPK with PF-06409577 Corrects NAFLD and Lowers Cholesterol in Rodent and Primate Preclinical Models. EBioMedicine 2018, 31, 122–132. [Google Scholar] [CrossRef] [PubMed]
- Pinyopornpanish, K.; Leerapun, A.; Pinyopornpanish, K.; Chattipakorn, N. Effects of Metformin on Hepatic Steatosis in Adults with Nonalcoholic Fatty Liver Disease and Diabetes: Insights from the Cellular to Patient Levels. Gut Liver 2021, 15, 827–840. [Google Scholar] [CrossRef]
- Itoh, M.; Suganami, T.; Nakagawa, N.; Tanaka, M.; Yamamoto, Y.; Kamei, Y.; Terai, S.; Sakaida, I.; Ogawa, Y. Melanocortin 4 receptor-deficient mice as a novel mouse model of nonalcoholic steatohepatitis. Am. J. Pathol. 2011, 179, 2454–2463. [Google Scholar] [CrossRef] [PubMed]
- Morita, S.; Sakamaki, A.; Koyama, K.; Shibata, O.; Owaki, T.; Oda, C.; Kimura, A.; Nakaya, T.; Ohbuchi, K.; Fujitsuka, N.; et al. Daisaikoto improves fatty liver and obesity in melanocortin-4 receptor gene-deficient mice via the activation of brown adipose tissue. Sci. Rep. 2022, 12, 10105. [Google Scholar] [CrossRef]
- Ni, M.; Zhang, B.; Zhao, J.; Feng, Q.; Peng, J.; Hu, Y.; Zhao, Y. Biological mechanisms and related natural modulators of liver X receptor in nonalcoholic fatty liver disease. Biomed. Pharmacother. 2019, 113, 108778. [Google Scholar] [CrossRef]
- Baranowski, M.; Zabielski, P.; Błachnio-Zabielska, A.U.; Harasim, E.; Chabowski, A.; Górski, J. Insulin-sensitizing effect of LXR agonist T0901317 in high-fat fed rats is associated with restored muscle GLUT4 expression and insulin-stimulated AS160 phosphorylation. Cell Physiol. Biochem. 2014, 33, 1047–1057. [Google Scholar] [CrossRef] [PubMed]
- Maczewsky, J.; Sikimic, J.; Bauer, C.; Krippeit-Drews, P.; Wolke, C.; Lendeckel, U.; Barthlen, W.; Drews, G. The LXR Ligand T0901317 Acutely Inhibits Insulin Secretion by Affecting Mitochondrial Metabolism. Endocrinology 2017, 158, 2145–2154. [Google Scholar] [CrossRef] [PubMed]
- Leik, C.E.; Carson, N.L.; Hennan, J.K.; Basso, M.D.; Liu, Q.-Y.; Crandall, D.L.; Nambi, P. GW3965, a synthetic liver X receptor (LXR) agonist, reduces angiotensin II-mediated pressor responses in Sprague-Dawley rats. Br. J. Pharmacol. 2007, 151, 450–456. [Google Scholar] [CrossRef]
- Welch, R.D.; Billon, C.; Losby, M.; Bedia-Diaz, G.; Fang, Y.; Avdagic, A.; Elgendy, B.; Burris, T.P.; Griffett, K. Emerging Role of Nuclear Receptors for the Treatment of NAFLD and NASH. Metabolites 2022, 12, 238. [Google Scholar] [CrossRef] [PubMed]
- Kim, W.; Kim, B.G.; Lee, J.S.; Lee, C.K.; Yeon, J.E.; Chang, M.S.; Kim, J.H.; Kim, H.; Yi, S.; Lee, J.; et al. Randomised clinical trial: The efficacy and safety of oltipraz, a liver X receptor alpha-inhibitory dithiolethione in patients with non-alcoholic fatty liver disease. Aliment. Pharmacol. Ther. 2017, 45, 1073–1083. [Google Scholar] [CrossRef] [PubMed]
- Bilotta, M.T.; Petillo, S.; Santoni, A.; Cippitelli, M. Liver X Receptors: Regulators of Cholesterol Metabolism, Inflammation, Autoimmunity, and Cancer. Front. Immunol. 2020, 11, 584303. [Google Scholar] [CrossRef] [PubMed]
- Griffett, K.; Welch, R.D.; Flaveny, C.A.; Kolar, G.R.; Neuschwander-Tetri, B.A.; Burris, T.P. The LXR inverse agonist SR9238 suppresses fibrosis in a model of non-alcoholic steatohepatitis. Mol. Metab. 2015, 4, 353–357. [Google Scholar] [CrossRef] [PubMed]
- Coulon, S.; Francque, S.; Colle, I.; Verrijken, A.; Blomme, B.; Heindryckx, F.; De Munter, S.; Prawitt, J.; Caron, S.; Staels, B.; et al. Evaluation of inflammatory and angiogenic factors in patients with non-alcoholic fatty liver disease. Cytokine 2012, 59, 442–449. [Google Scholar] [CrossRef] [PubMed]
- Coulon, S.; Legry, V.; Heindryckx, F.; Van Steenkiste, C.; Casteleyn, C.; Olievier, K.; Libbrecht, L.; Carmeliet, P.; Jonckx, B.; Stassen, J.M.; et al. Role of vascular endothelial growth factor in the pathophysiology of nonalcoholic steatohepatitis in two rodent models. Hepatology 2013, 57, 1793–1805. [Google Scholar] [CrossRef]
- Hong, W.; Li, S.; Wu, L.; He, B.; Jiang, J.; Chen, Z. Prediction of VEGF-C as a Key Target of Pure Total Flavonoids from Citrus Against NAFLD in Mice via Network Pharmacology. Front. Pharmacol. 2019, 10, 582. [Google Scholar] [CrossRef] [PubMed]
- Delli Bovi, A.P.; Marciano, F.; Mandato, C.; Siano, M.A.; Savoia, M.; Vajro, P. Oxidative Stress in Non-alcoholic Fatty Liver Disease. An Updated Mini Review. Front. Med. 2021, 8, 595371. [Google Scholar] [CrossRef]
- Chen, Z.; Tian, R.; She, Z.; Cai, J.; Li, H. Role of oxidative stress in the pathogenesis of nonalcoholic fatty liver disease. Free Radic. Biol. Med. 2020, 152, 116–141, Erratum in: Free Radic. Biol. Med. 2021, 162, 174. [Google Scholar] [CrossRef] [PubMed]
- Brieudes, V.; Mikropoulou, E.V.; Kallergis, E.; Kaliora, A.C.; Papada, E.; Gkiouvetidis, P.; Angelis, A.; Halabalaki, M. Development, Validation and Application of a UHPLC-MS Method for the Quantification of Chios Mastic Gum Triterpenoids in Human Plasma. Planta Med. 2021, 87, 1101–1109. [Google Scholar] [CrossRef]
- Liu, W.; Gao, J.; Li, M.; Aisa, H.A.; Yuan, T. Tirucallane triterpenoids from the mastic (Pistacia lentiscus) and their anti-inflammatory and cytotoxic activities. Phytochemistry 2021, 182, 112596. [Google Scholar] [CrossRef]
- Sierra, M.L.; Beneton, V.; Boullay, A.B.; Boyer, T.; Brewster, A.G.; Donche, F.; Forest, M.C.; Fouchet, M.H.; Gellibert, F.J.; Grillot, D.A.; et al. Substituted 2-[(4-aminomethyl)phenoxy]-2-methylpropionic acid PPARα agonists. 1. Discovery of a novel series of potent HDLc raising agents. J. Med. Chem. 2007, 50, 685–695. [Google Scholar] [CrossRef]
- Weidner, C.; de Groot, J.C.; Prasad, A.; Freiwald, A.; Quedenau, C.; Kliem, M.; Witzke, A.; Kodelja, V.; Han, C.T.; Giegold, S.; et al. Amorfrutins are potent antidiabetic dietary natural products. Proc. Natl. Acad. Sci. USA 2012, 109, 7257–7262. [Google Scholar] [CrossRef] [PubMed]
- Suino-Powell, K.; Xu, Y.; Zhang, C.; Tao, Y.G.; Tolbert, W.D.; Simons, S.S., Jr.; Xu, H.E. Doubling the size of the glucocorticoid receptor ligand binding pocket by deacylcortivazol. Mol. Cell Biol. 2008, 28, 1915–1923. [Google Scholar] [CrossRef] [PubMed]
- Yu, J.; Gimenez, L.E.; Hernandez, C.C.; Wu, Y.; Wein, A.H.; Han, G.W.; McClary, K.; Mittal, S.R.; Burdsall, K.; Stauch, B.; et al. Determination of the melanocortin-4 receptor structure identifies Ca2+ as a cofactor for ligand binding. Science 2020, 368, 428–433. [Google Scholar] [CrossRef] [PubMed]
- Fadera, X.; Vu, D.; Nimz, O.; Skene, R.; Hosfield, D.; Wynands, R. X-Ray Structures of the LXRα LBD in Its Homodimeric Form and Implications for Heterodimer Signaling. J. Mol. Biol. 2010, 399, 120–132. [Google Scholar] [CrossRef]
- Williams, S.; Bledsoe, R.K.; Collins, J.L.; Boggs, S.; Lambert, M.H.; Miller, A.B.; Moore, J.; McKee, D.D.; Moore, L.; Nichols, J.; et al. X-ray crystal structure of the liver X receptor beta ligand binding domain: Regulation by a histidine-tryptophan switch. J. Biol. Chem. 2003, 278, 27138–27143. [Google Scholar] [CrossRef]
- Xiao, B.; Sanders, M.J.; Carmena, D.; Bright, N.J.; Haire, L.F.; Underwood, E.; Patel, B.R.; Heath, R.B.; Walker, P.A.; Hallen, S.; et al. Structural basis of AMPK regulation by small molecule activators. Nat. Commun. 2013, 4, 3017. [Google Scholar] [CrossRef] [PubMed]
- McTigue, M.; Murray, B.W.; Chen, J.H.; Deng, Y.L.; Solowiej, J.; Kania, R.S. Molecular conformations, interactions, and properties associated with drug efficiency and clinical performance among VEGFR TK inhibitors. Proc. Natl. Acad. Sci. USA 2012, 109, 18281–18289. [Google Scholar] [CrossRef] [PubMed]
- Singh, N.; Villoutreix, B.O. A Hybrid Docking and Machine Learning Approach to Enhance the Performance of Virtual Screening Carried out on Protein-Protein Interfaces. Int. J. Mol. Sci. 2022, 23, 14364. [Google Scholar] [CrossRef] [PubMed]
- Berenger, F.; Tsuda, K. An ANI-2 enabled open-source protocol to estimate ligand strain after docking. J. Comput. Chem. 2025, 46, e27478. [Google Scholar] [CrossRef]
- Paravati, M.R.; Procopio, A.C.; Milanović, M.; Scarlata, G.G.M.; Milošević, N.; Ružić, M.; Milić, N.; Abenavoli, L. Onion Polyphenols as Multi-Target-Directed Ligands in MASLD: A Preliminary Molecular Docking Study. Nutrients 2024, 16, 1226. [Google Scholar] [CrossRef] [PubMed]
- Korb, O.; Stützle, T.; Exner, T.E. Empirical scoring functions for advanced protein-ligand docking with PLANTS. J. Chem. Inf. Model. 2009, 49, 84–96. [Google Scholar] [CrossRef] [PubMed]
- Amanatidou, A.I.; Kaliora, A.C.; Amerikanou, C.; Stojanoski, S.; Milosevic, N.; Vezou, C.; Beribaka, M.; Banerjee, R.; Kalafati, I.P.; Smyrnioudis, I.; et al. Association of Dietary Patterns with MRI Markers of Hepatic Inflammation and Fibrosis in the MAST4HEALTH Study. Int. J. Environ. Res. Public Health 2022, 19, 971. [Google Scholar] [CrossRef] [PubMed]
- Makri, E.; Goulas, A.; Polyzos, S.A. Epidemiology, Pathogenesis, Diagnosis and Emerging Treatment of Nonalcoholic Fatty Liver Disease. Arch. Med. Res. 2021, 52, 25–37. [Google Scholar] [CrossRef]
- Tarantino, G.; Sinatti, G.; Citro, V.; Santini, S.J.; Balsano, C. Sarcopenia, a condition shared by various diseases: Can we alleviate or delay the progression? Intern. Emerg. Med. 2023, 18, 1887–1895. [Google Scholar] [CrossRef] [PubMed]




| Receptor (Code) Compound | PPARα (2P54) | PPARγ (2YFE) | GR (3BQD) | MC4R (6W25) |
|---|---|---|---|---|
| GW | 98.5022 | |||
| amorfrutin 1 | 95.3068 | |||
| deacylcortivazol | 122.6605 | |||
| SHU9119 | 69.1986 | |||
| 1 | 54.0050 | 70.6616 | 82.8365 | 67.2488 |
| 2 | 52.7068 | 75.7911 | 87.8871 | 66.8322 |
| 3 | 54.8065 | 74.5059 | 84.3943 | 68.0783 |
| 4 | 52.8967 | 74.1974 | 84.8618 | 67.9963 |
| 5 | 53.7275 | 70.0614 | 79.9776 | 70.8568 |
| 6 | 56.7780 | 70.1652 | 72.0166 | 76.4401 |
| 7 | 56.5781 | 68.7686 | 67.6894 | 73.6959 |
| 8 | 54.9620 | 66.6752 | 64.5330 | 73.9571 |
| 9 | 56.0697 | 67.3736 | 76.6749 | 71.7798 |
| 10 | 50.3439 | 67.5160 | 65.7566 | 70.2063 |
| 11 | 50.6076 | 69.9708 | 81.2989 | 64.5848 |
| 12 | 34.0140 | 69.3329 | 68.9301 | 64.0505 |
| 13 | 51.5451 | 69.4731 | 76.4200 | 67.5745 |
| 14 | 40.3146 | 61.5978 | 68.2356 | 68.1883 |
| 15 | 50.3570 | 63.0744 | 46.5814 | 71.5788 |
| 16 | 56.9901 | 76.5888 | 75.2126 | 69.4968 |
| Receptor (Code) Compound | AMPK (4CFF) |
|---|---|
| STU1552 | 99.7299 |
| 1 | 57.3378 |
| 2 | 51.6196 |
| 3 | 48.5665 |
| 4 | 53.1452 |
| 5 | 54.6183 |
| 6 | 56.0098 |
| 7 | 53.4016 |
| 8 | 50.1384 |
| 9 | 55.6748 |
| 10 | 49.7106 |
| 11 | 54.6937 |
| 12 | 54.7161 |
| 13 | 47.8341 |
| 14 | 50.1740 |
| 15 | 55.8715 |
| 16 | 62.0570 |
| Receptor (Code) Compound | LXRα (3IPS) | LXRβ (1P8D) |
|---|---|---|
| Benzisoxazole | 99.8329 | |
| 24(S),25-epoxycholesterol | 96.3293 | |
| 1 | 76.2498 | 90.3798 |
| 2 | 73.0104 | 85.7629 |
| 3 | 75.4276 | 87.6638 |
| 4 | 76.8951 | 88.1282 |
| 5 | 75.5349 | 87.5426 |
| 6 | 80.1341 | 94.7679 |
| 7 | 72.3868 | 94.1506 |
| 8 | 73.3147 | 94.8802 |
| 9 | 78.3528 | 96.6282 |
| 10 | 64.6718 | 90.4889 |
| 11 | 59.0236 | 82.4913 |
| 12 | 56.9901 | 73.6777 |
| 13 | 74.2402 | 89.7435 |
| 14 | 66.7384 | 77.9843 |
| 15 | 69.0156 | 78.0057 |
| 16 | 87.8329 | 88.7150 |
| Receptor (Code) Compound | VEGFR2 (4ASD) |
|---|---|
| Sorafenib | 107.7303 |
| 1 | 50.8489 |
| 2 | 47.5322 |
| 3 | 54.3167 |
| 4 | 48.4046 |
| 5 | 50.2772 |
| 6 | 49.4134 |
| 7 | 36.8851 |
| 8 | 37.1087 |
| 9 | 46.2666 |
| 10 | 40.0321 |
| 11 | 40.5274 |
| 12 | 32.1557 |
| 13 | 44.7827 |
| 14 | 31.6853 |
| 15 | 29.4592 |
| 16 | 47.5695 |
Disclaimer/Publisher’s Note: The statements, opinions and data contained in all publications are solely those of the individual author(s) and contributor(s) and not of MDPI and/or the editor(s). MDPI and/or the editor(s) disclaim responsibility for any injury to people or property resulting from any ideas, methods, instructions or products referred to in the content. |
© 2025 by the authors. Licensee MDPI, Basel, Switzerland. This article is an open access article distributed under the terms and conditions of the Creative Commons Attribution (CC BY) license (https://creativecommons.org/licenses/by/4.0/).
Share and Cite
Milošević, N.; Milanović, M.; Medić Stojanoska, M.; Tipmanee, V.; Smyrnioudis, I.; Dedoussis, G.V.; Milić, N. Triterpenoids from Chios Mastiha Resin Against MASLD—A Molecular Docking Survey. Curr. Issues Mol. Biol. 2025, 47, 51. https://doi.org/10.3390/cimb47010051
Milošević N, Milanović M, Medić Stojanoska M, Tipmanee V, Smyrnioudis I, Dedoussis GV, Milić N. Triterpenoids from Chios Mastiha Resin Against MASLD—A Molecular Docking Survey. Current Issues in Molecular Biology. 2025; 47(1):51. https://doi.org/10.3390/cimb47010051
Chicago/Turabian StyleMilošević, Nataša, Maja Milanović, Milica Medić Stojanoska, Varomyalin Tipmanee, Ilias Smyrnioudis, George V. Dedoussis, and Nataša Milić. 2025. "Triterpenoids from Chios Mastiha Resin Against MASLD—A Molecular Docking Survey" Current Issues in Molecular Biology 47, no. 1: 51. https://doi.org/10.3390/cimb47010051
APA StyleMilošević, N., Milanović, M., Medić Stojanoska, M., Tipmanee, V., Smyrnioudis, I., Dedoussis, G. V., & Milić, N. (2025). Triterpenoids from Chios Mastiha Resin Against MASLD—A Molecular Docking Survey. Current Issues in Molecular Biology, 47(1), 51. https://doi.org/10.3390/cimb47010051

