BDNF/Cyclin D1 Signaling System and Cognitive Performance After Perampanel and Lacosamide Treatment Singly or in Combination in an Experimental Model of Temporal Lobe Epilepsy
Abstract
1. Introduction
2. Materials and Methods
2.1. Reagents and Drugs
2.2. Animals
2.3. Generation of Chronic Epilepsy Rats
- ◦
- 1st group—C-veh (control animals treated only with saline 1 mL/kg p.os.);
- ◦
- 2nd group—Li-Pilo-veh (this group was with the model of post-SE-induced TLE triggered by the i.p. administration of LiCl 127 mg/kg and Pilocarpine 30 mg/kg i.p. and was treated with saline 1 mL/kg p.os.);
- ◦
- 3rd group—Li-Pilo-PRM (this group was with the model of post-SE-induced TLE triggered by the i.p. administration of LiCl 127 mg/kg and Pilocarpine 30 mg/kg i.p. and was treated with perampanel 3 mg/kg p.os.);
- ◦
- 4th group—Li-Pilo-LCM (this group was with the model of post-SE-induced TLE triggered by the i.p. administration of LiCl 127 mg/kg and Pilocarpine 30 mg/kg i.p. and was treated with lacosamide 30 mg/kg p.os.);
- ◦
- 5th group—Li-Pilo-PRM-LCM (this group was with the model of post-SE-induced TLE triggered by the i.p. administration of LiCl 127 mg/kg and Pilocarpine 30 mg/kg i.p. and was treated with perampanel 0.5 mg/kg p.os + lacosamide 3 mg/kg p.os).

2.4. Behavioral Tests
2.4.1. Object Recognition Test
2.4.2. Y-Maze
2.4.3. One-Way Step-Through Passive Avoidance Test with Negative Reinforcement
2.4.4. Elevated Plus Maze Test
2.5. Immunohistochemistry
2.6. Quantitative Analysis of the Intensity of Immunohistochemical Reactions
2.7. Statistical Analysis
3. Results
3.1. Object Recognition Test
3.2. Y-Maze Test
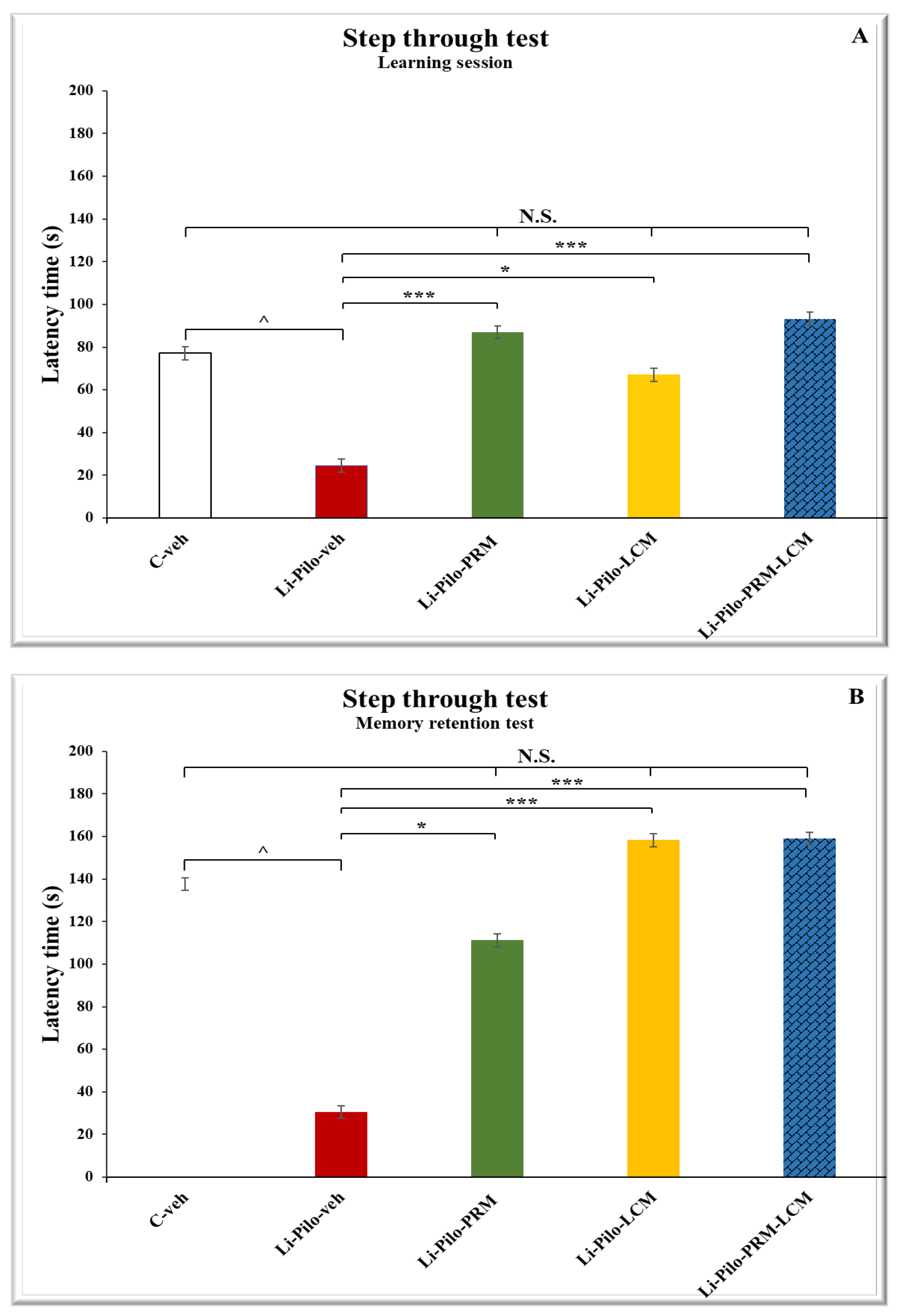
3.3. One-Way Step-Through Passive Avoidance Test with Negative Reinforcement
3.4. Elevated Plus Maze (EPM) Test
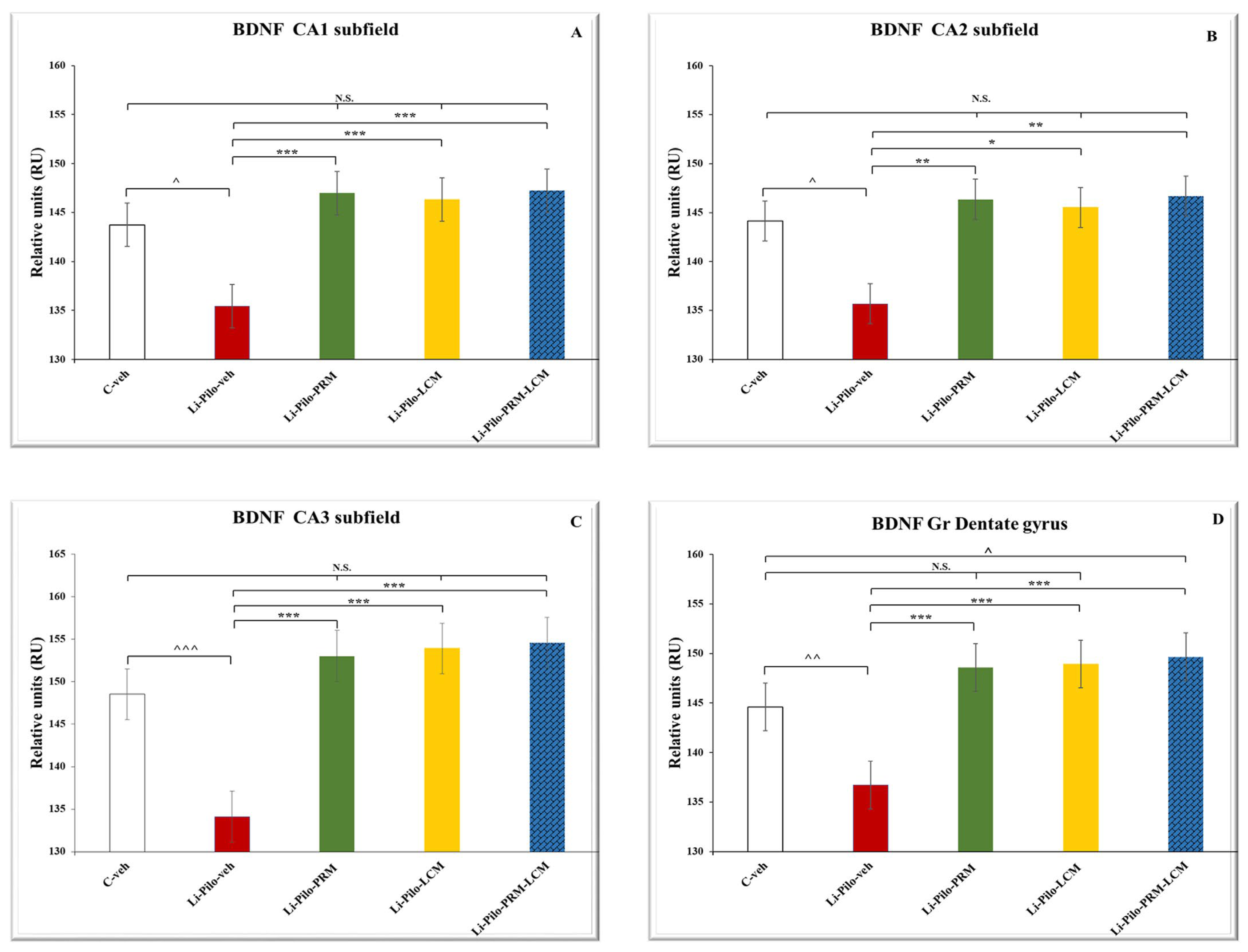
3.5. BDNF Immunohistochemical Expression
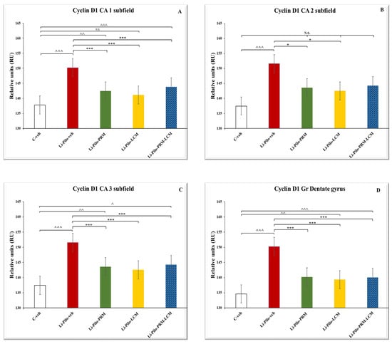
3.6. Cyclin D1 Immunohistochemical Expression
4. Discussion
5. Conclusions
Supplementary Materials
Author Contributions
Funding
Institutional Review Board Statement
Data Availability Statement
Acknowledgments
Conflicts of Interest
References
- Pascual, M.R. Temporal lobe epilepsy: Clinical semiology and neurophysiological studies. Semin. Ultrasound CT MR 2007, 28, 416–423. [Google Scholar] [CrossRef] [PubMed]
- Kim, J.E.; Lee, D.S.; Park, H.; Kim, T.H.; Kang, T.C. AMPA Receptor Antagonists Facilitate NEDD4-2-Mediated GRIA1 Ubiquitination by Regulating PP2B-ERK1/2-SGK1 Pathway in Chronic Epilepsy Rats. Biomedicines 2021, 9, 1069. [Google Scholar] [CrossRef] [PubMed]
- Wu, T.; Ido, K.; Ohgoh, M.; Hanada, T. Mode of seizure inhibition by sodium channel blockers, an SV2A ligand, and an AMPA receptor antagonist in a rat amygdala kindling model. Epilepsy Res. 2019, 154, 42–49. [Google Scholar] [CrossRef] [PubMed]
- Michaelis, E.K. Molecular biology of glutamate receptors in the central nervous system and their role in excitotoxicity, oxidative stress and aging. Prog. Neurobiol. 1998, 54, 369–415. [Google Scholar] [CrossRef] [PubMed]
- Kim, J.E.; Choi, H.C.; Song, H.K.; Kang, T.C. Perampanel Affects Up-Stream Regulatory Signaling Pathways of GluA1 Phosphorylation in Normal and Epileptic Rats. Front. Cell. Neurosci. 2019, 13, 80. [Google Scholar] [CrossRef]
- Ahn, S.J.; Kim, T.J.; Cha, K.S.; Jun, J.S.; Byun, J.I.; Shin, Y.W.; Sunwoo, J.-S.; Lee, S.; Yu, K.-S.; Jang, I.-J. Effects of perampanel on cognition and quantitative electroencephalography in patients with epilepsy. Epilepsy Behav. 2021, 115, 107514. [Google Scholar] [CrossRef]
- Witt, J.A.; Helmstaedter, C. The impact of perampanel on cognition: A systematic review of studies employing standardized tests in patients with epilepsy. Seizure 2022, 94, 107–111. [Google Scholar] [CrossRef]
- Licko, T.; Seeger, N.; Zellinger, C.; Russmann, V.; Matagne, A.; Potschka, H. Lacosamide treatment following status epilepticus attenuates neuronal cell loss and alterations in hippocampal neurogenesis in a rat electrical status epilepticus model. Epilepsia 2013, 54, 1176–1185. [Google Scholar] [CrossRef]
- Rogawski, M.A.; Tofighy, A.; White, H.S.; Matagne, A.; Wolff, C. Current understanding of the mechanism of action of the antiepileptic drug lacosamide. Epilepsy Res. 2015, 110, 189–205. [Google Scholar] [CrossRef]
- Villanueva, V.; Giráldez, B.G.; Toledo, M.; De Haan, G.J.; Cumbo, E.; Gambardella, A.; De Backer, M.; Joeres, L.; Brunnert, M.; Dedeken, P.; et al. Lacosamide monotherapy in clinical practice: A retrospective chart review. Acta Neurol. Scand. 2018, 138, 186–194. [Google Scholar] [CrossRef]
- Keezer, M.R.; Sisodiya, S.M.; Sander, J.W. Comorbidities of epilepsy: Current concepts and future perspectives. Lancet Neurol. 2016, 15, 106–115. [Google Scholar] [CrossRef] [PubMed]
- Mahajan, S.S.; Prakash, A.; Sarma, P.; Niraj, N.; Bhattacharyya, A.; Medhi, B. Efficacy, tolerability and safety of perampanel in population with pharmacoresistant focal seizures: A systematic review and meta-analysis. Epilepsy Res. 2022, 182, 106895. [Google Scholar] [CrossRef] [PubMed]
- Russmann, V.; Salvamoser, J.D.; Rettenbeck, M.L.; Komori, T.; Potschka, H. Synergism of perampanel and zonisamide in the rat amygdala kindling model of temporal lobe epilepsy. Epilepsia 2016, 57, 638–647. [Google Scholar] [CrossRef] [PubMed]
- Kaplan, D.; Miller, F. Neurotrophin signal transduction in the nervous system. Curr. Opin. Neurobiol. 2000, 10, 381–391. [Google Scholar] [CrossRef]
- Mowla, S.J.; Farhadi, H.F.; Pareek, S.; Atwal, J.K. Biosynthesis and post-translational processing of the precursor to brain-derived neurotrophic factor. J. Biol. Chem. 2001, 276, 12660–12666. [Google Scholar] [CrossRef]
- Bhattarai, P.; Cosacak, M.I.; Mashkaryan, V.; Demir, S.; Popova, S.D.; Govindarajan, N.; Brandt, K.; Zhang, Y.; Chang, W.; Ampatzis, K.; et al. Neuron-glia interaction through Serotonin-BDNF-NGFR axis enables regenerative neurogenesis in Alzheimer’s model of adult zebrafish brain. PLoS Biol. 2020, 18, e3000585. [Google Scholar] [CrossRef]
- Wang, L.; Chang, X.; She, L.; Xu, D.; Huang, W.; Poo, M.M. Autocrine action of BDNF on dendrite development of adult-born hippocampal neurons. J. Neurosci. 2015, 35, 8384–8393. [Google Scholar] [CrossRef]
- Onodera, J.; Nagata, H.; Nakashima, A.; Ikegaya, Y.; Koyama, R. Neuronal brain-derived neurotrophic factor manipulates microglial dynamics. Glia 2021, 69, 890–904. [Google Scholar] [CrossRef]
- Charlton, T.; Prowse, N.; McFee, A.; Heiratifar, N.; Fortin, T.; Paquette, C.; Hayley, S. Brain-derived neurotrophic factor (BDNF) has direct anti-inflammatory effects on microglia. Front. Cell. Neurosci. 2023, 17, 1188672. [Google Scholar] [CrossRef]
- Parkhurst, C.N.; Yang, G.; Ninan, I.; Savas, J.N.; Yates, J.R., 3rd; Lafaille, J.J.; Hempstead, B.L.; Littman, D.R.; Gan, W.-B. Microglia promote learning-dependent synapse formation through brain-derived neurotrophic factor. Cell 2013, 155, 1596–1609. [Google Scholar] [CrossRef]
- Ferrini, F.; De Koninck, Y. Microglia control neuronal network excitability via BDNF signalling. Neural Plast. 2013, 2013, 429815. [Google Scholar] [CrossRef]
- Bozec, A.; Chuzel, F.; Chater, S.; C Paulin, C.; Bars, R.; Benahmed, M.; Mauduit, C. The mitochondrial-dependent pathway is chronically affected in testicular germ cell death in adult rats exposed in utero to anti-androgens. J. Endocrinol. 2004, 183, 79–90. [Google Scholar] [CrossRef] [PubMed]
- de Oliveira, L.; Spiazzi, C.M.; Bortolin, T.; Canever, L.; Petronilho, F.; Mina, F.G.; Dal-Pizzol, F.; Quevedo, J.; Zugno, A.I. Different sub-anaesthetic doses of ketamine increase oxidative stress in the brain of rats. Prog. Neuropsychopharmacol. Biol. Psychiatry 2009, 33, 1003–1008. [Google Scholar] [CrossRef] [PubMed]
- Herrup, K.; Yang, Y. Cell cycle regulation in the postmitotic neuron: Oxymoron or new biology? Nat. Rev. Neurosci. 2007, 8, 368–378. [Google Scholar] [CrossRef] [PubMed]
- Koeller, H.; Elizabeth-Ross, M.; Glickstein, S. Cyclin D1 in Excitatory Neurons of the Adult Brain Enhances Kainate-induced Neurotoxicity. Neurobiol. Dis. 2008, 31, 230–241. [Google Scholar] [CrossRef] [PubMed][Green Version]
- Beumer, T.L.; Roepers-Gajadien, H.L.; Gademan, I.S.; Kal, H.B.; de Rooij, D.G. Involvement of the D-type cyclins in germ cell proliferation and differentiation in the mouse. Biol. Reprod. 2000, 63, 1893–1898. [Google Scholar] [CrossRef][Green Version]
- Timsit, S.; Rivera, S.; Ouaghi, P.; Guischard, F.; Tremblay, E.; Ben-Ari, Y.; Khrestchatisky, M. Increased cyclin D1 in vulnerable neurons in the hippocampus after ischaemia and epilepsy: A modulator of in vivo programmed cell death? Eur. J. Neurosci. 1999, 11, 263–278. [Google Scholar] [CrossRef]
- Ciapa, B.; Granon, S. Expression of Cyclin-D1 in Astrocytes Varies During Aging. Front. Aging Neurosci. 2018, 10, 104. [Google Scholar] [CrossRef]
- Smolensky, I.V.; Zubareva, O.E.; Kalemenev, S.V.; Lavrentyeva, V.V.; Dyomina, A.V.; Karepanov, A.A.; Zaitsev, A.V. Impairments in cognitive functions and emotional and social behaviors in a rat lithium-pilocarpine model of temporal lobe epilepsy. Behav. Brain Res. 2019, 372, 112044. [Google Scholar] [CrossRef]
- Sharma, H.; Reeta, K.H.; Sharma, U.; Suri, V.; Singh, S. AMPA receptor modulation through sequential treatment with perampanel and aniracetam mitigates post-stroke damage in experimental model of ischemic stroke. Naunyn. Schmiedebergs Arch. Pharmacol. 2023, 396, 3529–3545. [Google Scholar] [CrossRef]
- Guignet, M.; Campbell, A.; Vuong, J.; Whittington, D.; White, H.S. Perampanel’s forgiveness factor in a variable medication adherence paradigm in a rat model of chronic epilepsy. J. Transl. Med. 2023, 21, 642. [Google Scholar] [CrossRef] [PubMed]
- Racine, R.J. Modification of seizure activity by electrical stimulation. II. Motor seizure. Electroencephalogr. Clin. Neurophysiol. 1972, 32, 281–294. [Google Scholar] [CrossRef] [PubMed]
- Mareš, P.; Kubová, H. Perampanel exhibits anticonvulsant action against pentylentetrazol-induced seizures in immature rats. Epilepsy Res. 2021, 169, 106523. [Google Scholar] [CrossRef] [PubMed]
- Shishmanova-Doseva, M.; Atanasova, D.; Uzunova, Y.; Yoanidu, L.; Peychev, L.; Marinov, P.; Tchekalarova, J. Effects of Lacosamide Treatment on Epileptogenesis, Neuronal Damage and Behavioral Comorbidities in a Rat Model of Temporal Lobe Epilepsy. Int. J. Mol. Sci. 2021, 22, 4667. [Google Scholar] [CrossRef]
- Shishmanova-Doseva, M.; Atanasova, D.; Ioanidu, L.; Uzunova, Y.; Atanasova, M.; Peychev, L.; Tchekalarova, J. The anticonvulsant effect of chronic treatment with topiramate after pilocarpine-induced status epilepticus is accompanied by a suppression of comorbid behavioral impairments and robust neuroprotection in limbic regions in rats. Epilepsy Behav. 2022, 134, 108802. [Google Scholar] [CrossRef]
- Miedel, C.J.; Patton, J.M.; Miedel, A.N.; Miedel, E.S.; Levenson, J.M. Assessment of Spontaneous Alternation, Novel Object Recognition and Limb Clasping in Transgenic Mouse Models of Amyloid-β and Tau Neuropathology. J. Vis. Exp. 2017, 28, 55523. [Google Scholar] [CrossRef] [PubMed] [PubMed Central]
- Moosavi, M.; SoukhakLari, R.; Moezi, L.; Pirsalami, F. Scopolamine-induced passive avoidance memory retrieval deficit is accompanied with hippocampal MMP2, MMP-9 and MAPKs alteration. Eur. J. Pharmacol. 2018, 819, 248–253. [Google Scholar] [CrossRef]
- Jadhav, R.; Kulkarni, Y.A. Effects of baicalein with memantine on aluminium chloride-induced neurotoxicity in Wistar rats. Front. Pharmacol. 2023, 14, 1034620. [Google Scholar] [CrossRef]
- Mendiburu-Eliçabe, M.; García-Sancha, N.; Corchado-Cobos, R.; Martínez-López, A.; Chang, H.; Mao, J.H.; Blanco-Gómez, A.; García-Casas, A.; Castellanos-Martín, A.; Salvador, N.; et al. NCAPH drives breast cancer progression and identifies a gene signature that predicts luminal a tumour recurrence. Clin. Transl. Med. 2024, 14, e1554. [Google Scholar] [CrossRef]
- Operto, F.F.; Pastorino, G.M.G.; Viggiano, A.; Dell’Isola, G.B.; Dini, G.; Verrotti, A.; Coppola, G. Epilepsy and Cognitive Impairment in Childhood and Adolescence: A Mini-Review. Curr. Neuropharmacol. 2023, 21, 1646–1665. [Google Scholar] [CrossRef]
- Holmes, G.L. Cognitive impairment in epilepsy: The role of network abnormalities. Epileptic Disord. 2015, 17, 101–116. [Google Scholar] [CrossRef] [PubMed]
- Sandouka, S.; Singh, P.K.; Saadi, A.; Taiwo, R.O.; Sheeni, Y.; Zhang, T.; Deeb, L.; Guignet, M.; White, S.H. Repurposing dimethyl fumarate as an antiepileptogenic and disease-modifying treatment for drug-resistant epilepsy. J. Transl. Med. 2023, 21, 796. [Google Scholar] [CrossRef] [PubMed]
- Mohammad, H.; Sekar, S.; Wei, Z.; Moien-Afshari, F.; Taghibiglou, C. Perampanel but Not Amantadine Prevents Behavioral Alterations and Epileptogenesis in Pilocarpine Rat Model of Status Epilepticus. Mol. Neurobiol. 2019, 56, 2508–2523. [Google Scholar] [CrossRef] [PubMed]
- Nakajima, M.; Suda, S.; Sowa, K.; Sakamoto, Y.; Nito, C.; Nishiyama, Y.; Aoki, J.; Ueda, M.; Yokobori, S.; Yamada, M.; et al. AMPA Receptor Antagonist Perampanel Ameliorates Post-Stroke Functional and Cognitive Impairments. Neuroscience 2018, 386, 256–264. [Google Scholar] [CrossRef] [PubMed]
- Martins, C.W.; de Melo Rodrigues, L.C.; Nitsche, M.A.; Nakamura-Palacios, E.M. AMPA receptors are involved in prefrontal direct current stimulation effects on long-term working memory and GAP-43 expression. Behav. Brain Res. 2019, 362, 208–212. [Google Scholar] [CrossRef]
- Aida, V.; Niedzielko, T.L.; Szaflarski, J.P.; Floyd, C.L. Acute administration of perampanel, an AMPA receptor antagonist, reduces cognitive impairments after traumatic brain injury in rats. Exp. Neurol. 2020, 327, 113222. [Google Scholar] [CrossRef]
- Gibson, B.M.; Mair, R. A pathway for spatial memory encoding. Learn. Behav. 2016, 44, 97–98. [Google Scholar] [CrossRef]
- Kim, G.H.; Byeon, J.H.; Eun, B.L. Neuroprotective Effect of Lacosamide on Hypoxic-Ischemic Brain Injury in Neonatal Rats. J. Clin. Neurol. 2017, 13, 138–143. [Google Scholar] [CrossRef]
- Savran, M.; Ozmen, O.; Erzurumlu, Y.; Savas, H.B.; Asci, S.; Kaynak, M. The Impact of Prophylactic Lacosamide on LPS-Induced Neuroinflammation in Aged Rats. Inflammation 2019, 42, 1913–1924. [Google Scholar] [CrossRef]
- Demiroz, S.; Ur, K.; Ulucan, A.; Bengu, A.S.; Ur, F.D.; Gergin, O.O.; Erdem, S. Neuroprotective Effects of Lacosamide in Experimental Traumatic Spinal Cord Injury in Rats. Turk. Neurosurg. 2019, 29, 718–723. [Google Scholar] [CrossRef]
- Hakami, T. Neuropharmacology of Antiseizure Drugs. Neuropsychopharmacol. Rep. 2021, 41, 336–351. [Google Scholar] [CrossRef] [PubMed]
- Dhir, A.; Bruun, D.A.; Guignet, M.; Tsai, Y.H.; González, E.; Calsbeek, J.; Vu, J.; Saito, N.; Tancredi, D.J.; Harvey, D.J.; et al. Allopregnanolone and perampanel as adjuncts to midazolam for treating diisopropylfluorophosphate-induced status epilepticus in rats. Ann. N. Y. Acad Sci. 2020, 1480, 183–206. [Google Scholar] [CrossRef] [PubMed]
- Bektas, N.; Arslan, R.; Alyu, F. The anxiolytic effect of perampanel and possible mechanisms mediating its anxiolytic effect in mice. Life Sci. 2020, 261, 118359. [Google Scholar] [CrossRef]
- Meirinho, S.; Rodrigues, M.; Santos, A.O.; Falcão, A.; Alves, G. Nose-to-brain delivery of perampanel formulated in a self-microemulsifying drug delivery system improves anticonvulsant and anxiolytic activity in mice. Int. J. Pharm. 2023, 642, 123145. [Google Scholar] [CrossRef]
- Perveen, N.; Alqahtani, F.; Ashraf, W.; Fawad Rasool, M.; Muhammad Muneeb Anjum, S.; Kaukab, I.; Ahmad, T.; Alqarni, S.A.; Imran, I. Perampanel increases seizure threshold in pentylenetetrazole-kindled mice and improves behavioral dysfunctions by modifying mRNA expression levels of BDNF/TrkB and inflammatory markers. Saudi Pharm. J. 2024, 32, 101930. [Google Scholar] [CrossRef]
- Moseley, B.D.; Cole, D.; Iwuora, O.; Strawn, J.R.; Privitera, M. The effects of lacosamide on depression and anxiety in patients with epilepsy. Epilepsy Res. 2015, 110, 115–118. [Google Scholar] [CrossRef]
- Rocamora, R.; Ley, M.; Molins, A.; Toledo, M.; Sansa, G.; Bertol, V.; Becerra, J.-L.; Carreño, M.; Mauri, J. Effect of lacosamide on depression and anxiety symptoms in patients with focal refractory epilepsy: A prospective multicenter study. Epilepsy Behav. 2018, 79, 87–92. [Google Scholar] [CrossRef]
- Alfaro, A.; Asensio, M.; García-Escrivá, A.; Medrano, V.; Salom, J.M.; Tortosa, D.; Palao, S.; Lezcano, M.; Berenguer, L.; Navarro, M.; et al. LAM study: Effects of lacosamide on behaviour and quality of life in patients with epilepsy. [Article in English, Spanish]. Neurologia 2019, 34, 1–6. [Google Scholar] [CrossRef]
- Pittenger, C.; Duman, R.S. Stress, depression, and neuroplasticity: A convergence of mechanisms. Neuropsychopharmacology 2008, 33, 88–109. [Google Scholar] [CrossRef]
- Duman, R.S.; Aghajanian, G.K.; Sanacora, G.; Krystal, J.H. Synaptic plasticity and depression: New insights from stress and rapid-acting antidepressants. Nat. Med. 2016, 22, 238–249. [Google Scholar] [CrossRef]
- Li, K.; Shen, S.; Ji, Y.T.; Li, X.Y.; Zhang, L.S.; Wang, X.D. Melatonin Augments the Effects of Fluoxetine on Depression-Like Behavior and Hippocampal BDNF-TrkB Signaling. Neurosci. Bull. 2018, 34, 303–311. [Google Scholar] [CrossRef] [PubMed]
- Tchekalarova, J.; Atanasova, M.; Ivanova, N.; Boyadjiev, N.; Mitreva, R.; Georgieva, K. Endurance training exerts time-dependent modulation on depressive responses and circadian rhythms of corticosterone and BDNF in the rats with pinealectomy. Brain Res. Bull. 2020, 162, 40–48. [Google Scholar] [CrossRef] [PubMed]
- McGonigal, A.; Becker, C.; Fath, J.; Hammam, K.; Baumstarck, K.; Fernandes, S.; Giusiano, B.; Dufau, S.; Rheims, S.; Maillard, L.; et al. BDNF as potential biomarker of epilepsy severity and psychiatric comorbidity: Pitfalls in the clinical population. Epilepsy Res. 2023, 195, 107200. [Google Scholar] [CrossRef] [PubMed]
- Shi, X.Y.; Wang, J.W.; Cui, H.; Li, B.M.; Lei, G.F.; Sun, R.P. Effects of antiepileptic drugs on mRNA levels of BDNF and NT-3 and cell neogenesis in the developing rat brain. Brain Dev. 2010, 32, 229–235. [Google Scholar] [CrossRef]
- Waterhouse, E.G.; An, J.J.; Orefice, L.L.; Baydyuk, M.; Liao, G.Y.; Zheng, K. BDNF promotes differentiation and maturation of adult-born neurons through GABAergic transmission. J. Neurosci. 2012, 32, 14318–14330. [Google Scholar] [CrossRef]
- Quesseveur, G.; David, D.J.; Gaillard, M.C.; Pla, P.; Wu, M.V.; Nguyen, H.T. BDNF overexpression in mouse hippocampal astrocytes promotes local neurogenesis and elicits anxiolytic-like activities. Transl. Psychiatry 2013, 3, e253. [Google Scholar] [CrossRef]
- Eyo, U.B.; Peng, J.; Murugan, M.; Mo, M.; Lalani, A.; Xie, P.; Xu, P.; Margolis, D.J.; Wu, L.J. Regulation of Physical Microglia-Neuron Interactions by Fractalkine Signaling after Status Epilepticus. eNeuro 2017, 3, ENEURO.0209-16.2016. [Google Scholar] [CrossRef]
- Streit, W.J.; Sammons, N.W.; Kuhns, A.J.; Sparks, D.L. Dystrophic microglia in the aging human brain. Glia 2004, 45, 208–212. [Google Scholar] [CrossRef]
- Streit, W.J.; Braak, H.; Xue, Q.; Bechmann, I. Dystrophic (senescent) rather than activated microglial cells are associated with tau pathology and likely precede neurodegeneration in Alzheimer’s disease. Acta Neuropathol. 2009, 118, 475–485. [Google Scholar] [CrossRef]
- Aroeira, R.I.; Sebastião, A.M.; Valente, C.A. BDNF, via truncated TrkB receptor, modulates GlyT1 and GlyT2 in astrocytes. Glia 2015, 63, 2181–2197. [Google Scholar] [CrossRef]
- Tadi, M.; Allaman, I.; Lengacher, S.; Grenningloh, G.; Magistretti, P.J. Learning-induced gene expression in the hippocampus reveals a role of neuron-astrocyte metabolic coupling in long term memory. PLoS ONE 2015, 10, e0141568. [Google Scholar] [CrossRef] [PubMed]
- Small, D.L.; Monette, R.; Fournier, M.C.; Zurakowski, B.; Fiander, H.; Morley, P. Characterization of cyclin D1 expression in a rat global model of cerebral ischemia. Brain Res. 2001, 900, 26–37. [Google Scholar] [CrossRef] [PubMed]
- Pittaras, E.; Callebert, J.; Chennaoui, M.; Rabat, A.; Granon, S. Individual behavioral and neurochemical markers of unadapted decisionmaking processes in healthy inbred mice. Brain Struct. Funct. 2016, 221, 4615–4629. [Google Scholar] [CrossRef] [PubMed]
- Kaya, S.S.; Mahmood, A.; Li, Y.; Yavuz, E.; Göksel, M.; Chopp, M. Apoptosis and expression of p53 response proteins and cyclin D1 after cortical impact in rat brain. Brain Res. 1999, 818, 23–33. [Google Scholar] [CrossRef]
- Ferrer, I. Cell signaling in the epileptic hippocampus. Rev. Neurol. 2002, 34, 544–550. [Google Scholar]










Disclaimer/Publisher’s Note: The statements, opinions and data contained in all publications are solely those of the individual author(s) and contributor(s) and not of MDPI and/or the editor(s). MDPI and/or the editor(s) disclaim responsibility for any injury to people or property resulting from any ideas, methods, instructions or products referred to in the content. |
© 2024 by the authors. Licensee MDPI, Basel, Switzerland. This article is an open access article distributed under the terms and conditions of the Creative Commons Attribution (CC BY) license (https://creativecommons.org/licenses/by/4.0/).
Share and Cite
Shishmanova-Doseva, M.; Barbutska, D. BDNF/Cyclin D1 Signaling System and Cognitive Performance After Perampanel and Lacosamide Treatment Singly or in Combination in an Experimental Model of Temporal Lobe Epilepsy. Curr. Issues Mol. Biol. 2024, 46, 14010-14032. https://doi.org/10.3390/cimb46120838
Shishmanova-Doseva M, Barbutska D. BDNF/Cyclin D1 Signaling System and Cognitive Performance After Perampanel and Lacosamide Treatment Singly or in Combination in an Experimental Model of Temporal Lobe Epilepsy. Current Issues in Molecular Biology. 2024; 46(12):14010-14032. https://doi.org/10.3390/cimb46120838
Chicago/Turabian StyleShishmanova-Doseva, Michaela, and Darina Barbutska. 2024. "BDNF/Cyclin D1 Signaling System and Cognitive Performance After Perampanel and Lacosamide Treatment Singly or in Combination in an Experimental Model of Temporal Lobe Epilepsy" Current Issues in Molecular Biology 46, no. 12: 14010-14032. https://doi.org/10.3390/cimb46120838
APA StyleShishmanova-Doseva, M., & Barbutska, D. (2024). BDNF/Cyclin D1 Signaling System and Cognitive Performance After Perampanel and Lacosamide Treatment Singly or in Combination in an Experimental Model of Temporal Lobe Epilepsy. Current Issues in Molecular Biology, 46(12), 14010-14032. https://doi.org/10.3390/cimb46120838

