Enhancing Tetrahydrocannabinol’s Therapeutic Efficacy in Inflammatory Bowel Disease: The Roles of Cannabidiol and the Cannabinoid 1 Receptor Allosteric Modulator ZCZ011
Abstract
1. Introduction
2. Results
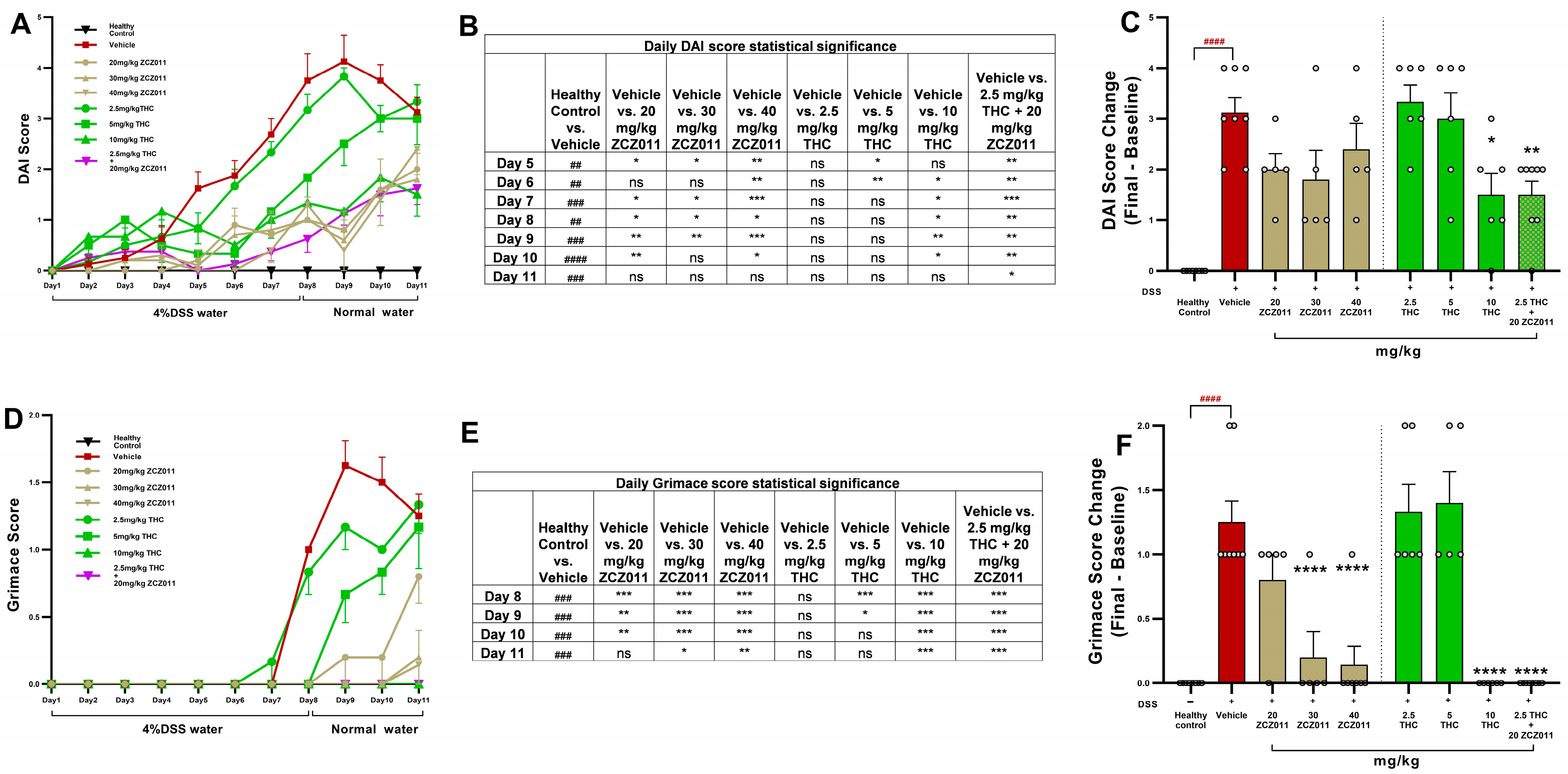
2.1. Low-Dose Combination of THC and ZCZ011 Reduces Clinical Markers of Acute Colitis in a Mouse Model
2.2. Lower-Dose Combination Treatments of THC with ZCZ011 or CBD Alleviated Clinical Colitis Scores in a Mouse Model of Chronic Colitis
2.3. A Lower-Dose Combination of THC and ZCZ011 Reduced Colon and Spleen Inflammation in Acute Colitis
2.4. THC Combination with Either ZCZ011 or CBD Reduced Colonic and Splenic Inflammation in Chronic Colitis
2.5. A Sub-Therapeutic Dose Combination of THC with ZCZ011 or CBD Reduced Colonic Cytokine and Chemokine Levels in Chronic Colitis
2.6. Lower-Dose THC and ZCZ011 Combination Restores GLP-1 Levels, Mitigating Weight Loss and Blood Sugar Dysregulation in Acute Colitis
2.7. The Combination Treatments of THC with ZCZ011 or CBD Normalise GLP-1 Levels and Maintain Glucose Homeostasis in Chronic Colitis
2.8. Impact of THC and ZCZ011 Alone or in Combination in Haematology, Liver and Kidney Function Parameters in Acute Colitis
2.9. A Sub-Therapeutic Dose Combination of THC with ZCZ011 or CBD Offers a Desirable Safety Profile
3. Discussion
4. Materials and Methods
4.1. Animal Care and Use
4.2. Dextran Sodium Sulphate (DSS) Solution Preparation
4.3. Induction of Colitis
4.4. Experimental Design and Pharmacological Treatments
4.5. Colitis Markers Assessment
4.5.1. Disease Activity Index Score
4.5.2. Pain Behaviours
4.6. Random Blood Glucose
4.7. Euthanasia and Tissue Collection
4.8. Measurement of Colon Length
4.9. Organ to Body Weight Ratio
4.10. Myeloperoxidase (MPO) Activity
4.11. Cytokine and Chemokine Quantification
4.12. GLP-1 Measurement
4.13. Haematology and Biochemistry
4.14. Statistical Analysis
5. Conclusions
Author Contributions
Funding
Institutional Review Board Statement
Informed Consent Statement
Data Availability Statement
Acknowledgments
Conflicts of Interest
References
- M’Koma, A.E. Inflammatory Bowel Disease: An Expanding Global Health Problem. Clin. Med. Insights Gastroenterol. 2013, 6, 33–47. [Google Scholar] [CrossRef] [PubMed]
- Al-Bawardy, B.; Shivashankar, R.; Proctor, D.D. Novel and Emerging Therapies for Inflammatory Bowel Disease. Front. Pharmacol. 2021, 12, 651415. [Google Scholar] [CrossRef] [PubMed]
- Alhouayek, M.; Muccioli, G.G. The Endocannabinoid System in Inflammatory Bowel Diseases: From Pathophysiology to Therapeutic Opportunity. Trends Mol. Med. 2012, 18, 615–625. [Google Scholar] [CrossRef] [PubMed]
- Ambrose, T.; Simmons, A. Cannabis, Cannabinoids and the Endocannabinoid System—Is There Therapeutic Potential for Inflammatory Bowel Disease? J. Crohn’s Colitis 2018, 13, 525–535. [Google Scholar] [CrossRef]
- Kaur, R.; Ambwani, S.R.; Singh, S. Endocannabinoid System: A Multi-Facet Therapeutic Target. Curr. Clin. Pharmacol. 2016, 11, 110–117. [Google Scholar] [CrossRef]
- DiPatrizio, N.V. Endocannabinoids in the Gut. Cannabis Cannabinoid Res. 2016, 1, 67–77. [Google Scholar] [CrossRef]
- Wright, K.L.; Duncan, M.; Sharkey, K.A. Cannabinoid CB2 Receptors in the Gastrointestinal Tract: A Regulatory System in States of Inflammation. Br. J. Pharmacol. 2008, 153, 263–270. [Google Scholar] [CrossRef]
- Pertwee, R.G.; Ross, R.A. Cannabinoid Receptors and Their Ligands. Prostaglandins Leukot. Essent. Fat. Acids (PLEFA) 2002, 66, 101–121. [Google Scholar] [CrossRef]
- Cuddihey, H.; MacNaughton, W.K.; Sharkey, K.A. Role of the Endocannabinoid System in the Regulation of Intestinal Homeostasis. Cell. Mol. Gastroenterol. Hepatol. 2022, 14, 947–963. [Google Scholar] [CrossRef]
- Hryhorowicz, S.; Kaczmarek-Ryś, M.; Zielińska, A.; Scott, R.J.; Słomski, R.; Pławski, A. Endocannabinoid System as a Promising Therapeutic Target in Inflammatory Bowel Disease—A Systematic Review. Front. Immunol. 2021, 12, 790803. [Google Scholar] [CrossRef]
- Marzo, V.D.; Bifulco, M.; Petrocellis, L.D. The Endocannabinoid System and Its Therapeutic Exploitation. Nat. Rev. Drug Discov. 2004, 3, 771–784. [Google Scholar] [CrossRef] [PubMed]
- Howlett, A.C.; Barth, F.; Bonner, T.I.; Cabral, G.; Casellas, P.; Devane, W.A.; Felder, C.C.; Herkenham, M.; Mackie, K.; Martin, B.R.; et al. International Union of Pharmacology. XXVII. Classification of Cannabinoid Receptors. Pharmacol. Rev. 2002, 54, 161–202. [Google Scholar] [CrossRef] [PubMed]
- Howlett, A.C.; Breivogel, C.S.; Childers, S.R.; Deadwyler, S.A.; Hampson, R.E.; Porrino, L.J. Cannabinoid Physiology and Pharmacology: 30 Years of Progress. Neuropharmacology 2004, 47 (Suppl. 1), 345–358. [Google Scholar] [CrossRef] [PubMed]
- Jamontt, J.; Molleman, A.; Pertwee, R.; Parsons, M. The Effects of Δ9-Tetrahydrocannabinol and Cannabidiol Alone and in Combination on Damage, Inflammation and in Vitro Motility Disturbances in Rat Colitis: Δ9-Tetrahydrocannabinol and Cannabidiol in Rat Colitis. Br. J. Pharmacol. 2010, 160, 712–723. [Google Scholar] [CrossRef]
- Hunt, C.A.; Jones, R.T. Tolerance and Disposition of Tetrahydrocannabinol in Man. J. Pharmacol. Exp. Ther. 1980, 215, 35–44. [Google Scholar]
- Gonzalez, S.; Cebeira, M.; Fernandez-Ruiz, J. Cannabinoid Tolerance and Dependence: A Review of Studies in Laboratory Animals. Pharmacol. Biochem. Behav. 2005, 81, 300–318. [Google Scholar] [CrossRef]
- Compton, D.R.; Dewey, W.L.; Martin, B.R. Cannabis Dependence and Tolerance Production. Adv. Alcohol Subst. Abus. 1990, 9, 129–147. [Google Scholar] [CrossRef]
- Thapa, D.; Warne, L.N.; Falasca, M. Pharmacohistory of Cannabis Use-A New Possibility in Future Drug Development for Gastrointestinal Diseases. Int. J. Mol. Sci. 2023, 24, 14677. [Google Scholar] [CrossRef]
- Thapa, D.; Cairns, E.A.; Szczesniak, A.-M.; Kulkarni, P.M.; Straiker, A.J.; Thakur, G.A.; Kelly, M.E.M. Allosteric Cannabinoid Receptor 1 (CB1) Ligands Reduce Ocular Pain and Inflammation. Molecules 2020, 25, 417. [Google Scholar] [CrossRef]
- Ignatowska-Jankowska, B.M.; Baillie, G.L.; Kinsey, S.; Crowe, M.; Ghosh, S.; Owens, R.A.; Damaj, I.M.; Poklis, J.; Wiley, J.L.; Zanda, M.; et al. A Cannabinoid CB1 Receptor-Positive Allosteric Modulator Reduces Neuropathic Pain in the Mouse with No Psychoactive Effects. Neuropsychopharmacol. Off. Publ. Am. Coll. Neuropsychopharmacol. 2015, 40, 2948–2959. [Google Scholar] [CrossRef]
- Khurana, L.; Mackie, K.; Piomelli, D.; Kendall, D.A. Modulation of CB1 Cannabinoid Receptor by Allosteric Ligands: Pharmacology and Therapeutic Opportunities. Neuropharmacology 2017, 124, 3–12. [Google Scholar] [CrossRef] [PubMed]
- Nguyen, T.; Li, J.X.; Thomas, B.F.; Wiley, J.L.; Kenakin, T.P.; Zhang, Y. Allosteric Modulation: An Alternate Approach Targeting the Cannabinoid CB1 Receptor. Med. Res. Rev. 2017, 37, 441–474. [Google Scholar] [CrossRef] [PubMed]
- Thapa, D.; Patil, M.; Warne, L.N.; Carlessi, R.; Falasca, M. Comprehensive Assessment of Cannabidiol and HU308 in Acute and Chronic Colitis Models: Efficacy, Safety, and Mechanistic Innovations. Cells 2024, 13, 2013. [Google Scholar] [CrossRef] [PubMed]
- Britch, S.C.; Babalonis, S.; Walsh, S.L. Cannabidiol: Pharmacology and Therapeutic Targets. Psychopharmacology 2021, 238, 9–28. [Google Scholar] [CrossRef]
- Castillo-Arellano, J.; Canseco-Alba, A.; Cutler, S.J.; León, F. The Polypharmacological Effects of Cannabidiol. Molecules 2023, 28, 3271. [Google Scholar] [CrossRef]
- Hoffmann, M.; Schwertassek, U.; Seydel, A.; Weber, K.; Falk, W.; Hauschildt, S.; Lehmann, J. A Refined and Translationally Relevant Model of Chronic DSS Colitis in BALB/c Mice. Lab Anim. 2018, 52, 240–252. [Google Scholar] [CrossRef]
- Alharbi, S.H. Anti-Inflammatory Role of Glucagon-like Peptide 1 Receptor Agonists and Its Clinical Implications. Ther. Adv. Endocrinol. 2024, 15, 20420188231222367. [Google Scholar] [CrossRef]
- Lee, Y.-S.; Jun, H.-S. Anti-Inflammatory Effects of GLP-1-Based Therapies beyond Glucose Control. Mediat. Inflamm. 2016, 2016, 1–11. [Google Scholar] [CrossRef]
- Wang, W.; Zhang, C.; Zhang, H.; Li, L.; Fan, T.; Jin, Z. The Alleviating Effect and Mechanism of GLP-1 on Ulcerative Colitis. Aging 2023, 15, 8044–8060. [Google Scholar] [CrossRef]
- Roblin, X.; Little, R.D.; Mathieu, N.; Paul, S.; Nancey, S.; Barrau, M.; Sparrow, M.P. Therapeutic Drug Monitoring in Inflammatory Bowel Disease: Recent Developments. Expert Rev. Gastroenterol. Hepatol. 2024, 18, 575–586. [Google Scholar] [CrossRef]
- Selinger, C.P.; Rosiou, K.; Lenti, M.V. Biological Therapy for Inflammatory Bowel Disease: Cyclical Rather than Lifelong Treatment? BMJ Open Gastroenterol. 2024, 11, e001225. [Google Scholar] [CrossRef] [PubMed]
- Lian, J.; Casari, I.; Falasca, M. Modulatory Role of the Endocannabinoidome in the Pathophysiology of the Gastrointestinal Tract. Pharmacol. Res. 2022, 175, 106025. [Google Scholar] [CrossRef] [PubMed]
- Vinci, A.; Ingravalle, F.; Bardhi, D.; Cesaro, N.; Frassino, S.; Licata, F.; Valvano, M. Cannabinoid Therapeutic Effects in Inflammatory Bowel Diseases: A Systematic Review and Meta-Analysis of Randomized Controlled Trials. Biomedicines 2022, 10, 2439. [Google Scholar] [CrossRef] [PubMed]
- Krohn, R.M.; Parsons, S.A.; Fichna, J.; Patel, K.D.; Yates, R.M.; Sharkey, K.A.; Storr, M.A. Abnormal Cannabidiol Attenuates Experimental Colitis in Mice, Promotes Wound Healing and Inhibits Neutrophil Recruitment. J. Inflamm. 2016, 13, 21. [Google Scholar] [CrossRef]
- Camilleri, M.; Zheng, T. Cannabinoids and the Gastrointestinal Tract. Clin. Gastroenterol. Hepatol. 2023, 21, 3217–3229. [Google Scholar] [CrossRef]
- Thapa, D.; Cairns, E.A.; Szczesniak, A.M.; Toguri, J.T.; Caldwell, M.D.; Kelly, M.E.M. The Cannabinoids Delta(8)THC, CBD, and HU-308 Act via Distinct Receptors to Reduce Corneal Pain and Inflammation. Cannabis Cannabinoid Res. 2018, 3, 11–20. [Google Scholar] [CrossRef]
- Kim, J.J.; Shajib, M.S.; Manocha, M.M.; Khan, W.I. Investigating Intestinal Inflammation in DSS-Induced Model of IBD. JoVE 2012, 60, 3678. [Google Scholar] [CrossRef]
- Sanchez-Muñoz, F.; Dominguez-Lopez, A.; Yamamoto-Furusho, J.K. Role of Cytokines in Inflammatory Bowel Disease. WJG 2008, 14, 4280. [Google Scholar] [CrossRef]
- Toguri, J.T.; Lehmann, C.; Laprairie, R.B.; Szczesniak, A.M.; Zhou, J.; Denovan-Wright, E.M.; Kelly, M.E. Anti-Inflammatory Effects of Cannabinoid CB(2) Receptor Activation in Endotoxin-Induced Uveitis. Br. J. Pharmacol. 2014, 171, 1448–1461. [Google Scholar] [CrossRef]
- Toguri, J.T.; Moxsom, R.; Szczesniak, A.M.; Zhou, J.; Kelly, M.E.; Lehmann, C. Cannabinoid 2 Receptor Activation Reduces Leukocyte Adhesion and Improves Capillary Perfusion in the Iridial Microvasculature during Systemic Inflammation. Clin. Hemorheol. Microcirc. 2015, 61, 237–249. [Google Scholar] [CrossRef]
- Adolph, T.E.; Meyer, M.; Jukic, A.; Tilg, H. Heavy Arch: From Inflammatory Bowel Diseases to Metabolic Disorders. Gut 2024, 73, 1376–1387. [Google Scholar] [CrossRef] [PubMed]
- Hyun, C.-K. Molecular and Pathophysiological Links between Metabolic Disorders and Inflammatory Bowel Diseases. Int. J. Mol. Sci. 2021, 22, 9139. [Google Scholar] [CrossRef] [PubMed]
- Shi, J.; Fan, J.; Su, Q.; Yang, Z. Cytokines and Abnormal Glucose and Lipid Metabolism. Front. Endocrinol. 2019, 10, 703. [Google Scholar] [CrossRef] [PubMed]
- Mehdi, S.F.; Pusapati, S.; Anwar, M.S.; Lohana, D.; Kumar, P.; Nandula, S.A.; Nawaz, F.K.; Tracey, K.; Yang, H.; LeRoith, D.; et al. Glucagon-like Peptide-1: A Multi-Faceted Anti-Inflammatory Agent. Front. Immunol. 2023, 14, 1148209. [Google Scholar] [CrossRef] [PubMed]
- Biagioli, M.; Marchianò, S.; Roselli, R.; Di Giorgio, C.; Bellini, R.; Bordoni, M.; Distrutti, E.; Catalanotti, B.; Zampella, A.; Graziosi, L.; et al. GLP-1 Mediates Regulation of Colonic ACE2 Expression by the Bile Acid Receptor GPBAR1 in Inflammation. Cells 2022, 11, 1187. [Google Scholar] [CrossRef]
- Wong, C.K.; McLean, B.A.; Baggio, L.L.; Koehler, J.A.; Hammoud, R.; Rittig, N.; Yabut, J.M.; Seeley, R.J.; Brown, T.J.; Drucker, D.J. Central Glucagon-like Peptide 1 Receptor Activation Inhibits Toll-like Receptor Agonist-Induced Inflammation. Cell Metab. 2024, 36, 130–143.e5. [Google Scholar] [CrossRef]
- Zatorski, H.; Sałaga, M.; Fichna, J. Role of Glucagon-like Peptides in Inflammatory Bowel Diseases—Current Knowledge and Future Perspectives. Naunyn-Schmiedeberg’s Arch Pharmacol. 2019, 392, 1321–1330. [Google Scholar] [CrossRef]
- Kuhre, R.E.; Deacon, C.F.; Holst, J.J.; Petersen, N. What Is an L-Cell and How Do We Study the Secretory Mechanisms of the L-Cell? Front. Endocrinol. 2021, 12, 694284. [Google Scholar] [CrossRef]
- Hunt, J.E.; Holst, J.J.; Jeppesen, P.B.; Kissow, H. GLP-1 and Intestinal Diseases. Biomedicines 2021, 9, 383. [Google Scholar] [CrossRef]
- Zatorski, H.; Salaga, M.; Zielińska, M.; Mokrowiecka, A.; Jacenik, D.; Krajewska, W.M.; Małecka-Panas, E.; Fichna, J. Colonic Inflammation Induces Changes in Glucose Levels through Modulation of Incretin System. Pharmacol. Rep. 2021, 73, 1670–1679. [Google Scholar] [CrossRef]
- Cheng, Y.-H.; Ho, M.-S.; Huang, W.-T.; Chou, Y.-T.; King, K. Modulation of Glucagon-like Peptide-1 (GLP-1) Potency by Endocannabinoid-like Lipids Represents a Novel Mode of Regulating GLP-1 Receptor Signaling. J. Biol. Chem. 2015, 290, 14302–14313. [Google Scholar] [CrossRef] [PubMed]
- Chia, C.W.; Carlson, O.D.; Liu, D.D.; González-Mariscal, I.; Santa-Cruz Calvo, S.; Egan, J.M. Incretin Secretion in Humans Is under the Influence of Cannabinoid Receptors. Am. J. Physiol.-Endocrinol. Metab. 2017, 313, E359–E366. [Google Scholar] [CrossRef] [PubMed]
- Montoya-Alatriste, C.A.; Alarcon-Aguilar, F.J. Cannabis and Cannabinoids as an Alternative Remedy in Metabolic Syndrome. Braz. J. Pharm. Sci. 2022, 58, e20161. [Google Scholar] [CrossRef]
- Adlimoghaddam, A.; Sabbir, M.G.; Albensi, B.C. Ammonia as a Potential Neurotoxic Factor in Alzheimer’s Disease. Front. Mol. Neurosci. 2016, 9, 57. [Google Scholar] [CrossRef]
- Chen, T.; Pan, F.; Huang, Q.; Xie, G.; Chao, X.; Wu, L.; Wang, J.; Cui, L.; Sun, T.; Li, M.; et al. Metabolic Phenotyping Reveals an Emerging Role of Ammonia Abnormality in Alzheimer’s Disease. Nat. Commun. 2024, 15, 3796. [Google Scholar] [CrossRef]
- Duan, Y.; Wu, X.; Liang, S.; Jin, F. Elevated Blood Ammonia Level Is a Potential Biological Risk Factor of Behavioral Disorders in Prisoners. Behav. Neurol. 2015, 2015, 797862. [Google Scholar] [CrossRef]
- Jin, Y.Y.; Singh, P.; Chung, H.-J.; Hong, S.-T. Blood Ammonia as a Possible Etiological Agent for Alzheimer’s Disease. Nutrients 2018, 10, 564. [Google Scholar] [CrossRef]
- Rogler, G.; Singh, A.; Kavanaugh, A.; Rubin, D.T. Extraintestinal Manifestations of Inflammatory Bowel Disease: Current Concepts, Treatment, and Implications for Disease Management. Gastroenterology 2021, 161, 1118–1132. [Google Scholar] [CrossRef]
- Anand, A.C.; Acharya, S.K. The Story of Ammonia in Liver Disease: An Unraveling Continuum. J. Clin. Exp. Hepatol. 2024, 14, 101361. [Google Scholar] [CrossRef]
- Greuter, T.; Rieder, F.; Kucharzik, T.; Peyrin-Biroulet, L.; Schoepfer, A.M.; Rubin, D.T.; Vavricka, S.R. Emerging Treatment Options for Extraintestinal Manifestations in IBD. Gut 2021, 70, 796–802. [Google Scholar] [CrossRef]
- Mukhopadhyay, P.; Rajesh, M.; Horvath, B.; Batkai, S.; Park, O.; Tanchian, G.; Gao, R.Y.; Patel, V.; Wink, D.A.; Liaudet, L.; et al. Cannabidiol Protects against Hepatic Ischemia/Reperfusion Injury by Attenuating Inflammatory Signaling and Response, Oxidative/Nitrative Stress, and Cell Death. Free Radic. Biol. Med. 2011, 50, 1368–1381. [Google Scholar] [CrossRef] [PubMed]
- Fan, W.; Hong, S.; Wei, T.; Yang, Y.; Weng, M.; Zhang, J.; Su, F.; Niroj, M. Protective Role of Cannabinoids against Diabetic Nephropathy Induced in Rats by Streptozotocin. Trop. J. Pharm. Res. 2022, 20, 1473–1480. [Google Scholar] [CrossRef]
- Fernandes, C.D.A.L.; Paulo, D.G.; Alves, L.F. Exploring the Role of the Endocannabinoid System in Chronic Kidney Disease: Implications for Therapeutic Interventions. JAMMR 2023, 35, 14–22. [Google Scholar] [CrossRef]
- Tam, J. The Emerging Role of the Endocannabinoid System in the Pathogenesis and Treatment of Kidney Diseases. J. Basic Clin. Physiol. Pharmacol. 2016, 27, 267–276. [Google Scholar] [CrossRef]
- Dawidowicz, A.L.; Olszowy-Tomczyk, M.; Typek, R. CBG, CBD, Δ9-THC, CBN, CBGA, CBDA and Δ9-THCA as Antioxidant Agents and Their Intervention Abilities in Antioxidant Action. Fitoterapia 2021, 152, 104915. [Google Scholar] [CrossRef]
- Jîtcă, G.; Ősz, B.E.; Vari, C.E.; Rusz, C.-M.; Tero-Vescan, A.; Pușcaș, A. Cannabidiol: Bridge between Antioxidant Effect, Cellular Protection, and Cognitive and Physical Performance. Antioxidants 2023, 12, 485. [Google Scholar] [CrossRef]
- Marsicano, G.; Moosmann, B.; Hermann, H.; Lutz, B.; Behl, C. Neuroprotective Properties of Cannabinoids against Oxidative Stress: Role of the Cannabinoid Receptor CB1. J. Neurochem. 2002, 80, 448–456. [Google Scholar] [CrossRef]
- Pagano, C.; Savarese, B.; Coppola, L.; Navarra, G.; Avilia, G.; Laezza, C.; Bifulco, M. Cannabinoids in the Modulation of Oxidative Signaling. Int. J. Mol. Sci. 2023, 24, 2513. [Google Scholar] [CrossRef]
- Kasten, C.R.; Zhang, Y.; Boehm, S.L. Acute Cannabinoids Produce Robust Anxiety-Like and Locomotor Effects in Mice, but Long-Term Consequences Are Age- and Sex-Dependent. Front. Behav. Neurosci. 2019, 13, 32. [Google Scholar] [CrossRef]
- Langford, D.J.; Bailey, A.L.; Chanda, M.L.; Clarke, S.E.; Drummond, T.E.; Echols, S.; Glick, S.; Ingrao, J.; Klassen-Ross, T.; LaCroix-Fralish, M.L.; et al. Coding of Facial Expressions of Pain in the Laboratory Mouse. Nat. Methods 2010, 7, 447–449. [Google Scholar] [CrossRef]










| Haematology | Healthy Control | Vehicle | 2.5 mg/kg THC | 5 mg/kg THC | 10 mg/kg THC | 20 mg/kg ZCZ011 | 30 mg/kg ZCZ011 | 40 mg/kg ZCZ011 | 20 mg/kg ZCZ011 + 2.5 mg/kg THC |
|---|---|---|---|---|---|---|---|---|---|
| WBC (109/L) | 6.8 ± 0.9 | 5.5 ± 0.5 | 7.5 ± 0.7 | 7.4 ± 0.6 | 4.2 ± 0.5 | 3.9 ± 1.0 | 4.1 ± 0.9 | 7.3 ± 0.7 | 7.0 ± 0.7 |
| Lymphocytes (109/L) | 3.5 ± 1.2 | 3.8 ± 0.3 | 5.3 ± 0.6 | 5.1 ± 0.2 | 2.5 ± 0.6 | 3.2 ± 0.8 | 3.1 ± 0.6 | 4.9 ± 0.8 | 4.3 ± 1.1 |
| Monocytes (109/L) | 0.2 ± 0.1 | 0.3± 0.02 | 0.34 ± 0.02 | 0.34 ± 0.1 | 0.18 ± 0.04 | 0.25 ± 0.1 | 0.2 ± 0.01 | 0.42 ± 0.2 | 0.26 ± 0.1 |
| Granulocytes (109/L) | 3.1 ± 0.9 | 1.4 ± 0.1 | 1.9 ± 0.2 | 1.9 ± 0.4 | 1.5 ± 0.5 | 0.6 ± 0.2 | 0.9 ± 0.3 | 2.1 ± 0.4 | 2.5 ± 0.8 |
| RBC (1012/L) | 9.2 ± 0.1 | 9.5 ± 0.1 | 10 ± 0.1 | 10.1 ± 0.1 | 9.7 ± 0.3 | 8.9 ± 0.2 | 9.0 ± 0.2 | 9.8 ± 0.3 | 10.1 ± 0.1 |
| Haemoglobin (g/L) | 135.4 ± 2.1 | 143.0 ± 1.8 | 150.4 ± 1.8 | 151.4 ± 1.8 | 141.6 ± 4.6 | 145.5 ± 2.6 | 144.0 ± 4.2 | 152.8 ± 5.8 | 149.8 ± 1.8 |
| Haematocrit (%) | 42.0 ± 0.5 | 43.4 ± 0.8 | 45.3 ± 0.6 | 46.4 ± 0.4 | 44.1 ± 1.3 | 49.1 ± 1.3 | 47.2 ± 1.6 | 48.7 ± 1.3 | 47.0 ± 0.5 |
| Platelets (109/L) | 1006.7 ± 56.1 | 893.1 ± 102.3 | 915.8 ± 65.7 | 969.6 ± 62.5 | 955.6 ± 139.3 | 812.3 ± 56.2 | 901 ± 38.1 | 981 ± 49.6 | 1354.6 ± 148.3 ** |
| Mean platelet volume (fL) | 4.9 ± 0.02 | 5.3 ± 0.2 | 5.4 ± 0.1 | 5.1 ± 0.1 | 5.0 ± 0.1 | 5.7 ± 0.8 | 5.9 ± 0.5 | 5.8 ± 0.1 | 5.0 ± 0.1 |
| Platelet distribution width | 16.3 ± 0.1 | 16.7 ± 0.3 | 17.1 ± 0.3 | 16.5 ± 0.1 | 16.6 ± 0.2 | 17.1 ± 0.3 | 17.3 ± 0.1 | 17.3 ± 0.3 | 16.4 ± 0.1 |
| Procalcitonin (%) | 0.5 ± 0.01 | 0.4 ± 0.1 | 0.5 ± 0.03 | 0.5 ± 0.1 | 0.46 ± 0.07 | 0.4 ± 0.03 | 0.5 ± 0.02 | 0.5 ± 0.02 | 0.60 ± 0.03 ** |
| Haematology | Healthy Control | Vehicle | 20 mg/kg ZCZ011 + 2.5 mg/kg THC | 20 mg/kg ZCZ011 + 10 mg/kg CBD |
|---|---|---|---|---|
| WBC (109/L) | 6.9 ± 1.2 | 5.0 ± 0.4 | 5.6 ± 0.8 | 5.5 ± 0.5 |
| Lymphocytes (109/L) | 3.3 ± 1.4 | 2.8 ± 0.7 | 3.5 ± 0.8 | 4.1 ± 0.4 |
| Monocytes (109/L) | 0.3 ± 0.1 | 0.2± 0.06 | 0.2± 0.04 | 0.2 ± 0.02 |
| Granulocytes (109/L) | 3.3 ± 0.1 | 2.1 ± 0.5 | 1.7 ± 0.3 | 1.1 ± 0.2 |
| RBC (1012/L) | 9.4 ± 0.1 | 9.0 ± 0.2 | 9.4 ± 0.1 | 9.4 ± 0.2 |
| Haemoglobin (g/L) | 137.3 ± 2.0 | 134.1 ± 2.4 | 140.7 ± 1.7 | 141.8 ± 3.1 |
| Haematocrit (%) | 42.9 ± 0.5 | 41.4 ± 0.8 | 42.9 ± 0.4 | 42.9 ± 0.9 |
| Platelets (109/L) | 1057 ± 56.0 | 986.3 ± 105.2 | 1066.3 ± 98.2 | 1140.5 ± 187.4 |
| Mean platelet volume (fL) | 4.8 ± 0.03 | 5.2 ± 0.1 | 4.7 ± 0.02 | 5.0 ± 0.1 |
| Platelet distribution width | 16.3 ± 0.06 | 16.9 ± 0.2 | 16.1± 0.04 | 16.5 ± 0.2 |
| Procalcitonin (%) | 0.5 ± 0.03 | 0.4 ± 0.02 | 0.4 ± 0.01 | 0.4 ± 0.01 |
| Clinical Markers of Colitis | Scores | |||
|---|---|---|---|---|
| 0 | 1 | 2 | 3 | |
| Body weight loss | <5% | 5–10% | 11–15% | 16–20% |
| Diarrhoea/stool consistency | Normal | Mild–soft, but still formed | Very soft/sticky | Watery diarrhoea/loose |
| Faecal blood score/rectal bleeding | Normal colour stool/no rectal bleeding | Positive hemoccult—slight (brown colour)/slight blood spotting in the anus | Positive hemoccult—darker (reddish)/significant presence of blood in the anus | Visible trace of blood/rectal bleeding |
| Pain Features/Scores | Scores | ||
|---|---|---|---|
| 0 | 1 | 2 | |
| Orbital tightening | Not present | Closing of eyelid, narrowing of orbital area | Complete closure of eye with tightened orbital |
| Nose bulge | Not present | Slight bulging on the bridge of nose | Completely bulged nose |
| Cheek Bulge | Not present | Slight bulging of the cheek | Completely bulged |
| Ear position | Normal position | Ears moving towards the back | Folded ear forming a pointed shape |
| Whisker change | Normal whisker position | Whiskers pulled back/front | Clumping of whiskers |
| Movement/gait | Normal activity | Moves slowly | Moves only when provoked |
| Body position/hunching | Normal position | Slight tuck to abdomen | Fully hunched |
Disclaimer/Publisher’s Note: The statements, opinions and data contained in all publications are solely those of the individual author(s) and contributor(s) and not of MDPI and/or the editor(s). MDPI and/or the editor(s) disclaim responsibility for any injury to people or property resulting from any ideas, methods, instructions or products referred to in the content. |
© 2025 by the authors. Licensee MDPI, Basel, Switzerland. This article is an open access article distributed under the terms and conditions of the Creative Commons Attribution (CC BY) license (https://creativecommons.org/licenses/by/4.0/).
Share and Cite
Thapa, D.; Patil, M.; Warne, L.N.; Carlessi, R.; Falasca, M. Enhancing Tetrahydrocannabinol’s Therapeutic Efficacy in Inflammatory Bowel Disease: The Roles of Cannabidiol and the Cannabinoid 1 Receptor Allosteric Modulator ZCZ011. Pharmaceuticals 2025, 18, 148. https://doi.org/10.3390/ph18020148
Thapa D, Patil M, Warne LN, Carlessi R, Falasca M. Enhancing Tetrahydrocannabinol’s Therapeutic Efficacy in Inflammatory Bowel Disease: The Roles of Cannabidiol and the Cannabinoid 1 Receptor Allosteric Modulator ZCZ011. Pharmaceuticals. 2025; 18(2):148. https://doi.org/10.3390/ph18020148
Chicago/Turabian StyleThapa, Dinesh, Mohan Patil, Leon N Warne, Rodrigo Carlessi, and Marco Falasca. 2025. "Enhancing Tetrahydrocannabinol’s Therapeutic Efficacy in Inflammatory Bowel Disease: The Roles of Cannabidiol and the Cannabinoid 1 Receptor Allosteric Modulator ZCZ011" Pharmaceuticals 18, no. 2: 148. https://doi.org/10.3390/ph18020148
APA StyleThapa, D., Patil, M., Warne, L. N., Carlessi, R., & Falasca, M. (2025). Enhancing Tetrahydrocannabinol’s Therapeutic Efficacy in Inflammatory Bowel Disease: The Roles of Cannabidiol and the Cannabinoid 1 Receptor Allosteric Modulator ZCZ011. Pharmaceuticals, 18(2), 148. https://doi.org/10.3390/ph18020148

