Antidepressant- and Anxiolytic-like Effects in Mice of Alkaloids from Aerial Parts of Argemone platyceras Link & Otto
Abstract
1. Introduction
2. Results
2.1. Isolation and Standardization of the Method of Extraction
2.2. Chemical Composition by Mass Spectrometry Analysis
Direct Infusion Mass Spectrometry (DIESI) and UHPLC-ESI Analysis of AlkExt
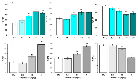
2.3. Pharmacological Evaluation
3. Discussion
4. Materials and Methods
4.1. Alkaloid Extraction and Quantitation [23]
4.2. Analysis of Methanol Extract of A. platyceras Link & Otto [30]
4.3. Animals

4.4. Evaluation of Depression-like Effects
4.4.1. Tail Suspension Test
4.4.2. Forced Swimming Test
4.5. Open Field Test
4.6. Anxiolytic-like Effects of AlkExt Were Evaluated in the Elevated Plus Maze (EPM) and Hole Board (HB) Tests
4.6.1. Elevated Plus Maze Test (EPM)
4.6.2. Hole Board Test
4.7. Data Analysis
5. Conclusions
Author Contributions
Funding
Institutional Review Board Statement
Informed Consent Statement
Data Availability Statement
Acknowledgments
Conflicts of Interest
References
- Xu, Y.; Li, R.; Hu, C.; He, Y.; Zhang, X.; Jin, L. Global, Regional, and National Incidence Trends of Depressive Disorder, 1990–2019: An Age-Period-Cohort Analysis Based on the Global Burden of Disease 2019 Study. Gen. Hosp. Psychiatry 2024, 88, 51–60. [Google Scholar] [CrossRef] [PubMed]
- Argueta, V.A.; Cano-Asselein, L.; Rodante, M.E. Atlas de Plantas de la Medicina Tradicional Mexicana; Instituto Nacional Indigenista: Ciudad de México, México, 1994; Volume 3.
- Guzmán, G.S.L.; Ricardo Reyes, C.R.; Bonilla, J.H. Medicinal plants for the treatment of “nervios”, anxiety, and depres-sion in Mexican Traditional Medicine. Rev. Bras. Farmacogn. 2014, 24, 591–608. [Google Scholar]
- Aguirre-Hernández, E.; Martínez, A.L.; González-Trujano, M.E.; Moreno, J.; Vibrans, H.; Soto-Hernández, M. Pharmaco-logical evaluation of the anxiolytic and sedative effects of Tilia americana L. var. mexicana in mice. J. Ethnopharmacol. 2007, 109, 140–145. [Google Scholar] [CrossRef] [PubMed]
- Alcántara, C.; Abelson, J.L.; Gone, J.P. Beyond anxious predisposition: Do padecer de nervios and ataque de nervios add incremental validity to predictions of current distress among Mexican mothers? Depress. Anxiety 2012, 29, 23–31. [Google Scholar] [CrossRef][Green Version]
- Weller, S.C.; Baer, R.D.; Garcia de Alba Garcia, J.; Salcedo Rocha, A.L. Susto and nervios: Expressions for stress and depression Cult. Med. Psychiatry 2008, 32, 406–420. [Google Scholar] [CrossRef]
- Lewis-Fernández, R.; Hinton, D.E.; Laria, A.J.; Patterson, E.H.; Hofmann, S.G.; Craske, M.G.; Stein, D.J.; Asnaani, A.; Liao, B. Culture and the Anxiety Disorders: Recommendations for DSM-V. Depress. Anxiety 2010, 27, 212–229. [Google Scholar] [CrossRef]
- American Psychiatric Association. Diagnostic and Statistical Manual of Mental Disorders; American Psychiatric Association: Arlington, VA, USA, 2013; ISBN 0-89042-555-8. [Google Scholar]
- Argueta, A.; Cano, L.; Rodarte, M. Atlas de las Plantas de la Medicina Tradicional Mexicana. Biblioteca Digital de la Me-dicina Tradicional Mexicana. Universidad Nacional Autónoma de México. Available online: http://www.medicinatradicionalmexicana.unam.mx/apmtm/index.html (accessed on 6 December 2024).
- Chicalote. Argemone Platyceras. Available online: https://mexico.inaturalist.org/taxa/273892-Argemone-platyceras (accessed on 6 December 2024).
- Brahmachari, G.; Gorai, D.; Roy, R. Argemone mexicana: Chemical and pharmacological aspects. Rev. Bras. Farmacogn. 2013, 23, 559–575. [Google Scholar] [CrossRef]
- Rahman, M.M.; Alam, M.J.; Sharmin, S.A.; Rahman, M.M.; Rahman, A.; Alam, M.F. In vitro antibacterial activity of Arge-mone mexicana L. (Papaveraceae). CMU J. Nat. Sci. 2009, 8, 77–84. [Google Scholar]
- Saranya, M.S.; Arun, T.; Iyappan, P. In vitro antibacterial activity and preliminary phytochemical analysis of leaf extracts of Argemone mexicana L.—A medicinal plant. Int. J. Curr. Pharm. Res. 2012, 4, 85–87. [Google Scholar]
- Chang, Y.C.; Hsieh, P.W.; Chang, F.R.; Wu, R.R.; Liaw, C.C.; Lee, K.H.; Wu, Y.C. Two new protopines argemexicaines A and B and the anti-HIV alkaloid 6-acetonyl dihydrochelerythrine from formasan Argemone mexicana. Planta Med. 2003, 69, 148–152. [Google Scholar] [CrossRef]
- Sukumar, D.; Nambi, R.A.; Sulochana, N. Studies on the leaves of Agremone mexicana. Fitoterapia 1984, 55, 325–353. [Google Scholar]
- Bhalke, R.D.; Gosavi, S.A. Anti-stress and antiallergic effect of Argemone mexicana stems in asthma. Arch. Pharm. Sci. Res. 2009, 1, 127–129. [Google Scholar]
- Das, S.; Sukul, N.C. Nematicidal effect of the oil from the seeds of Argemone mexicana. Environ. Ecol. 1998, 6, 194–197. [Google Scholar]
- Nayak, P.; Kar, D.M.; Maharana, L. Antidiabetic activity of aerial parts of Argemone mexicana L. in alloxan induced hypergly-caemic rats. Pharmacologyonline 2011, 1, 889–903. [Google Scholar]
- Rout, S.P.; Kar, D.M.; Mandal, P.K. Hypoglycaemic activity of aerial parts of Argemone mexicana L. in experimental rat models. Int. J. Pharm. Pharm. Sci. 2011, 3, 533–540. [Google Scholar]
- Israilov, I.A.; Yuhusov, M.S. Alkaloids of four Agremone species. Khim Prir. Soedin. 1986, 2, 204–206. [Google Scholar]
- Kenda, M.; Kočevar Glavač, N.; Nagy, M.; Sollner Dolenc, M. Medicinal Plants Used for Anxiety, Depression, or Stress Treatment: An Update. Molecules 2022, 27, 6021. [Google Scholar] [CrossRef]
- Castagné, V.; Moser, P.; Roux, S.; Porsolt, R.D. Rodent Models of Depression: Forced Swim and Tail Suspension Behavioral Despair Tests in Rats and Mice. Curr. Protoc. Pharmacol. 2010, 49, 5–8. [Google Scholar] [CrossRef]
- Estrada-Reyes, R.; Martínez-Vázquez, M.; Gallegos-Solís, A.; Heinze, G.; Moreno, J. Depressant Effects of Clinopodium Mexicanum Benth. Govaerts (Lamiaceae) on the Central Nervous System. J. Ethnopharmacol. 2010, 130, 1–8. [Google Scholar] [CrossRef]
- Cryan, J.F.; Mombereau, C.; Vassout, A. The Tail Suspension Test as a Model for Assessing Antidepressant Activity: Review of Pharmacological and Genetic Studies in Mice. Neurosci. Biobehav. Rev. 2005, 29, 571–625. [Google Scholar] [CrossRef]
- Martinez-Mota, L.; Cruz-Tavera, A.; Dorantes-Barrón, A.M.; Arrieta-Báez, D.; Ramírez-Salado, I.; Cruz-Aguilar, M.A.; Mayagoitia-Novales, L.; Cassani, J.; Estrada-Reyes, R. Calea Zacatechichi Schltdl. (Compositae) Produces Anxiolytic- and Antidepressant-like Effects, and Increases the Hippocampal Activity during REM Sleep in Rodents. J. Ethnopharmacol. 2021, 265, 113316. [Google Scholar] [CrossRef] [PubMed]
- Juergens, S. Alprazolam and Diazepam: Addiction Potential. J. Subst. Abuse Treat. 1991, 8, 43–51. [Google Scholar] [CrossRef] [PubMed]
- Dunlop, B.W.; Nemeroff, C.B. The role of dopamine in the pathophysiology of depression. Arch. Gen. Psychiatry 2007, 64, 327–337. [Google Scholar] [CrossRef] [PubMed]
- Martínez-Vázquez, M.; Estrada-Reyes, R.; Araujo Escalona, A.G.; Ledesma Velázquez, I.; Martínez-Mota, L.; Moreno, J.; Heinze, G. Antidepressant-like Effects of an Alkaloid Extract of the Aerial Parts of Annona Cherimolia in Mice. J. Ethnopharmacol. 2012, 139, 164–170. [Google Scholar] [CrossRef]
- Cho, H.-U.; Kim, S.; Sim, J.; Yang, S.; An, H.; Nam, M.-H.; Jang, D.-P.; Lee, C.J. Redefining Differential Roles of MAO-A in Dopamine Degradation and MAO-B in Tonic GABA Synthesis. Exp. Mol. Med. 2021, 53, 1148–1158. [Google Scholar] [CrossRef]
- Cárdenas, J.; Reyes-Pérez, V.; Hernández-Navarro, M.D.; Dorantes-Barrón, A.M.; Almazán, S.; Estrada-Reyes, R. Anxiolytic- and Antidepressant-like Effects of an Aqueous Extract of Tanacetum parthenium L. Schultz-Bip (Asteraceae) in Mice. J. Ethnopharmacol. 2017, 200, 22–30. [Google Scholar] [CrossRef]
- Lister, R.G. The Use of a Plus-Maze to Measure Anxiety in the Mouse. Psychopharmacology 1987, 92, 180–185. [Google Scholar] [CrossRef]






| Material Collected | MeOH Fc | Yield |
|---|---|---|
| 1 December 2023 (500 g) | 123.4 g | 24.68% 1 |
| 2 February 2024 (500 g) | 115.8 g | 23.16% 1 |
| Material Collected | AlkExt | Yield |
|---|---|---|
| 1 December 2023 (100 g) | 2.4 | 2.4% 1 |
| 2 February 2024 (100 g) | 3.1 | 3.1% 1 |
| Rt | Formula | [M + H]+ MWdetected | [M − H]+ MWexact | % Relative |
|---|---|---|---|---|
| 6.1 | C19H21NO4 | 328.1577 | 328.1543 | 5.8 |
| 7.4 | C19H21NO4 | 328.1570 | 328.1543 | 37.6 |
| 8.3 | C20H23NO5 | 358.1693 | 358.1649 | 2.2 |
| 8.5 | C21H25NO4 | 356.1894 | 356.1856 | 18.3 |
| 8.7 | C20H23NO4 | 342.1725 | 342.1699 | 3.1 |
| 8.9 | C20H23NO5 | 358.1581 | 358.1649 | 3.8 |
| 14.4 | C20H23NO5 | 358.1668 | 358.1649 | 6.0 |
| 14.7 | C20H23NO5 | 358.1664 | 358.1649 | 23.2 |
| Treatment/Doses (mg/kg) | Rearing Number | Count Number |
|---|---|---|
| CLT/0 | 29.2 ± 2.87 | 48.1 ± 3.15 |
| AlkExt/1.25 | 34.0 ± 1.85 | 54.5 ± 4.54 |
| AlkExt/2.25 | 33.25 ± 2.98 | 58.37 ± 3.42 |
| AlkExt/5.0 | 32.7 ± 3.43 | 58.0 ± 5.39 |
| AlkExt/10.0 | 38.75 ± 2.92 | 61.25 ± 3.39 |
| F(4,41) = 1.45, p = 0.23 | F(4, 41) = 1.45, p = 0.23 | |
| CIM/CTL | 42.00 + 2.98 | 52.12 + 3.28 |
| CIM/6.25 | 33.25 + 189 | 52.87 + 3.30 |
| CIM/12.5 | 34.37 + 2.06 | 55.75 + 4.42 |
| CIM/25.0 | 35.12 + 2.74 | 50.50 + 4.14 |
| F(3,28) = 2.57, p = 0.07 | F(3,28) = 0.33, p = 0.80 |
| AlkExt | Rearing Number | Head-Dipping Time (s) | Head-Dipping Number |
|---|---|---|---|
| CTL | 27.37 ± 2.7 | 21.68 ± 2.5 | 19.00 ± 1.7 |
| 2.5 | 32.12 ± 1.0 | 23.83 ± 2.0 *** | 21.60 ± 1.5 ** |
| 5.0 | 32.75 ± 2.0 | 33.56 ± 1.7 ** | 27.75 ± 1.5 ** |
| 10.0 | 38.87 ± 1.7 *** | 41.90 ± 1.8 *** | 30.50 ± 1.5 *** |
| 20.0 | 36.25 ± 2.1 *** | 34.68 ± 2.3 *** | 27.87 ± 1.3 ** |
| F(4, 35) = 12.0, p ≤ 0.001 | F(4, 35) = 14.9, p ≤ 0.001 | F(4,35) = 9.6, p ≤ 0.001 | |
| DZ | Rearing number | Head-dipping time (s) | Head-dipping number |
| CTL | 17.28 ± 0.47 | 22.15 ± 1.9 | 17.28 ± 0.4 |
| 0.25 | 19.28 ± 0.83 | 27.78 ± 3.16 | 19.28 ± 0.8 |
| 0.5 | 21.57 ± 0.68 *** | 35.92 ± 1.8 *** | 21.57 ± 0.6 * |
| 1.0 | 26.00 ± 1.49 *** | 63.24 ± 2.5 *** | 26.0 ± 1.4 *** |
| F(3,24) = 15.43, p ≤ 0.001 | F(3,24) = 55.61, p ≤ 0.001 | F(3,24) = 15.43, p ≤ 0.001 |
Disclaimer/Publisher’s Note: The statements, opinions and data contained in all publications are solely those of the individual author(s) and contributor(s) and not of MDPI and/or the editor(s). MDPI and/or the editor(s) disclaim responsibility for any injury to people or property resulting from any ideas, methods, instructions or products referred to in the content. |
© 2025 by the authors. Licensee MDPI, Basel, Switzerland. This article is an open access article distributed under the terms and conditions of the Creative Commons Attribution (CC BY) license (https://creativecommons.org/licenses/by/4.0/).
Share and Cite
Gómez-Patiño, M.B.; Estrada-Reyes, R.; Hernández-Mendoza, H.H.; Suarez-Rojas, Á.; Arrieta-Baez, D. Antidepressant- and Anxiolytic-like Effects in Mice of Alkaloids from Aerial Parts of Argemone platyceras Link & Otto. Pharmaceuticals 2025, 18, 49. https://doi.org/10.3390/ph18010049
Gómez-Patiño MB, Estrada-Reyes R, Hernández-Mendoza HH, Suarez-Rojas Á, Arrieta-Baez D. Antidepressant- and Anxiolytic-like Effects in Mice of Alkaloids from Aerial Parts of Argemone platyceras Link & Otto. Pharmaceuticals. 2025; 18(1):49. https://doi.org/10.3390/ph18010049
Chicago/Turabian StyleGómez-Patiño, Mayra Beatriz, Rosa Estrada-Reyes, Héctor Hugo Hernández-Mendoza, Ángela Suarez-Rojas, and Daniel Arrieta-Baez. 2025. "Antidepressant- and Anxiolytic-like Effects in Mice of Alkaloids from Aerial Parts of Argemone platyceras Link & Otto" Pharmaceuticals 18, no. 1: 49. https://doi.org/10.3390/ph18010049
APA StyleGómez-Patiño, M. B., Estrada-Reyes, R., Hernández-Mendoza, H. H., Suarez-Rojas, Á., & Arrieta-Baez, D. (2025). Antidepressant- and Anxiolytic-like Effects in Mice of Alkaloids from Aerial Parts of Argemone platyceras Link & Otto. Pharmaceuticals, 18(1), 49. https://doi.org/10.3390/ph18010049

