Next Article in Journal
Cu2O Nanoparticles as Nanocarriers and Its Antibacterial Efficacy
Next Article in Special Issue
Use of TLC and Computational Methods to Determine Lipophilicity Parameters of Selected Neuroleptics: Comparison of Experimental and Theoretical Studies
Previous Article in Journal
Antibiotic Resistance in Gram-Negative Bacteria: The Threat from the Pink Corner
Previous Article in Special Issue
N-(coumarin-3-yl)cinnamamide Promotes Immunomodulatory, Neuroprotective, and Lung Function-Preserving Effects during Severe Malaria
 
 
Font Type:
Arial Georgia Verdana
Font Size:
Aa Aa Aa
Line Spacing:
Column Width:
Background:
Article

Thiophene-Linked 1,2,4-Triazoles: Synthesis, Structural Insights and Antimicrobial and Chemotherapeutic Profiles †

by
Nada A. El-Emam
1,
Mahmoud B. El-Ashmawy
1,*,
Ahmed A. B. Mohamed
1,
El-Sayed E. Habib
2,
Subbiah Thamotharan
3,
Mohammed S. M. Abdelbaky
4,
Santiago Garcia-Granda
5,* and
Mohamed A. A. Moustafa
1
1
Department of Medicinal Chemistry, Faculty of Pharmacy, Mansoura University, Mansoura 35516, Egypt
2
Department of Microbiology and Immunology, Faculty of Pharmacy, Mansoura University, Mansoura 35516, Egypt
3
Biomolecular Crystallography Laboratory and DBT-Bioinformatics Center, School of Chemical and Biotechnology, SASTRA Deemed University, Thanjavur 613 401, India
4
Department of Physical Chemistry, Faculty of Chemical Sciences, University of Salamanca, 37008 Salamanca, Spain
5
Department of Physical and Analytical Chemistry, Faculty of Chemistry, University of Oviedo-CINN (CSIC), 33006 Oviedo, Spain
*
Authors to whom correspondence should be addressed.
Dedicated to the memory of Professor Jose R. García (Rubén).
Pharmaceuticals 2024, 17(9), 1123; https://doi.org/10.3390/ph17091123
Submission received: 25 July 2024 / Revised: 15 August 2024 / Accepted: 22 August 2024 / Published: 25 August 2024

Abstract

The reaction of thiophene-2-carbohydrazide 1 or 5-bromothiophene-2-carbohydrazide 2 with various haloaryl isothiocyanates and subsequent cyclization by heating in aqueous sodium hydroxide yielded the corresponding 4-haloaryl-5-(thiophen-2-yl or 5-bromothiophen-2-yl)-2,4-dihydro-3H-1,2,4-triazole-3-thione 5a-e. The triazole derivatives 5a and 5b were reacted with different secondary amines and formaldehyde solution to yield the corresponding 2-aminomethyl-4-haloaryl-2,4-dihydro-3H-1,2,4-triazole-3-thiones 6ae, 7ae, 8, 9, 10a and 10b in good yields. The in vitro antimicrobial activity of compounds 5ae, 6ae, 7ad, 8, 9, 10a and 10b was evaluated against a panel of standard pathogenic bacterial and fungal strains. Compounds 5a, 5b, 5e, 5f, 6ae, 7ad, 8, 9, 10a and 10b showed marked activity, particularly against the tested Gram-positive bacteria and the Gram-negative bacteria Escherichia coli, and all the tested compounds were almost inactive against all the tested fungal strains. In addition, compounds 5e, 6ae, 7ad and 10a exhibited potent anti-proliferative activity, particularly against HepG-2 and MCF-7 cancer cell lines (IC50 < 25 μM). A detailed structural insight study based on the single crystals of compounds 5a, 5b, 6a, 6d and 10a is also reported. Molecular docking studies of the highly active antibacterial compounds 5e, 6b, 6d, 7a and 7d showed a high affinity for DNA gyrase. Meanwhile, the potent anti-proliferative activity of compounds 6d, 6e and 7d may be attributed to their high affinity for cyclin-dependent kinase 2 (CDK2).

1. Introduction

1,2,4-Triazole heterocycle was early identified as the crucial core of numerous therapeutically interesting drugs with a wide spectrum of chemotherapeutic activities [1,2]. Triazole-based drugs are widely used as a useful medication for the treatment of topical and systemic fungal diseases [3,4]. Fluconazole [5], itraconazole [6], voriconazole [7] and posaconazole [8] are among the currently used antifungal agents. In addition, 1,2,4-triazole-based derivatives were reported to endow potent anticancer activity [9,10]. Bemcentinib [11], letrozole [12], vorozole [13], and anastrazole [14] are currently used as an efficient treatment for different cancers. In addition, the specific tankyrase inhibitor G007-LK was recently approved for clinical trials for the treatment of breast and colorectal cancers [15] (Figure 1).
In recent years, some novel 1,2,4-triazoles have been reported to demonstrate marked antibacterial [16,17,18] and anti-tuberculosis activities [19]. Furthermore, ribavirin [20] and other related 1,2,4-triazole derivatives [21] were recognized as potent antiviral agents (Figure 1).
On the other hand, thiophene heterocycle constitutes a major building block of many drugs [22,23,24]. The thiophene–triazole hybrid analog PF-4989216, a potent and selective PI3K kinase inhibitor, was discovered as an effective anticancer agent [25]. OSI-930 is an orally active anticancer agent acting by inhibitors of c-Kit and VEGFR-2, and it shows broad efficacy in tumor models representative of small cell lung cancer, glioblastoma, colorectal, renal, head and neck, non-small cell lung cancer and gastric cancers [26,27]. MCL0527 was identified as a potent anti-proliferative agent via p53-MDM2 binding inhibition [28]. The thiophene-based antifungal drugs tioconazole [29] and sertaconazole [30] are currently used for the treatment of fungal skin infections. The non-nucleoside polymerase inhibitor lomibuvir (VX-222) is currently used for the treatment of chronic hepatitis C virus (HCV) infections [31] (Figure 2).
In view of the aforementioned findings, we describe herein the synthesis, characterization, preliminary antimicrobial and anti-proliferative activities of a series of thiophene-linked 1,2,4-triazole derivatives. In addition, the single-crystal X-ray structures of five representative compounds were studied to investigate various intermolecular interactions including N–H···S hydrogen bond and C–H···S/N/F/π interactions. Additionally, the σ-hole interactions such as halogen (Br···F) and chalcogen bonds (S···S/π) [32,33,34] were also investigated.

2. Results and Discussion

2.1. Chemical Synthesis

Thiophene-2-carbohydrazide 3a and 5-bromothiophene-2-carbohydrazide 3b were prepared starting with their corresponding carboxylic acids 1a and 1b via esterification to their corresponding esters 2a and 2b, and subsequent hydrazinolysis following the previously reported procedures [35,36]. Treatment of the carbohydrazides 3a and 3b with the corresponding haloaryl isothiocyanate by heating in ethanol yielded the intermediate N-aryl-2-(thiophene-2-carbonyl or 5-bromothiophene-2-carbonyl)hydrazine-1-carbothioamides 4ae in almost quantitative yields. The target 4-haloaryl-5-(thiophen-2-yl or 5-bromothiophene-2-yl)-2,4-dihydro-3H-1,2,4-triazole-3-thiones 5ae were obtained in good overall yields by cyclization of compounds 4ae via heating in 10% aqueous sodium hydroxide for two hours (Scheme 1, Table 1).
The 1H NMR spectra of compounds 5ae showed the NH protons as broad singlets at δ 11.45–11.98 ppm and their 13C NMR spectra showed the C=S carbons at δ 168.02–169.79 ppm, confirming the existence of these compounds as the thione tautomers A rather than the thiol tautomers B. Full details of 1H NMR and 13C NMR spectral data of compounds 5a-e, which were in full agreement with their structures, shown in Section 3.2.
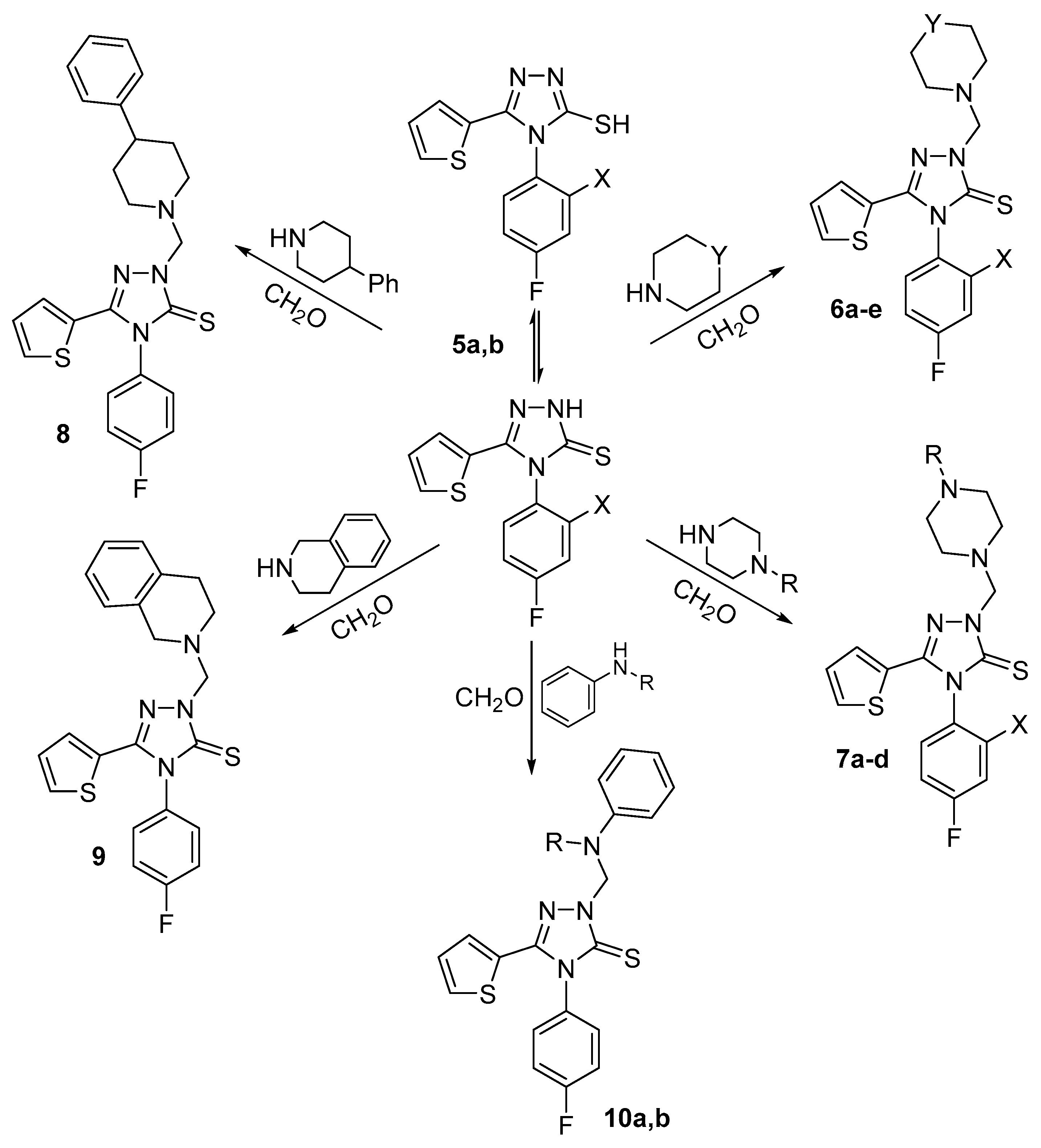
5-Substituted-2,4-dihydro-3H-1,2,4-triazole-3-thiones were reported to react with primary or secondary amines and formaldehyde to yield the corresponding 2-aminomethyl-2,4-dihydro-3H-1,2,4-triazole-3-thiones (N-Mannich bases) [37,38,39,40,41,42,43]. Thus, compounds 5a and 5b were reacted with piperidine, morpholine, thiomorpholine or 1-substituted piperazines and 37% formaldehyde solution in ethanol to yield the corresponding N-Mannich bases 6ae and 7ae in good yields. The N-Mannich bases 8, 9, 10a and 10b were similarly prepared via the reaction of compound 5a with 4-phenylpiperidine, 1,2,3,4-tetrahydroisoquinoline, N-methylaniline or N-benzylaniline and formaldehyde, respectively (Scheme 2, Table 1).
The common 1H NMR spectral features of the N-Mannich bases 6ae, 7ae, 8, 9, 10a and 10b are characterized by the presence of methylene bridge protons (NCH2N) as sharp peaks at δ 5.02–5.95 ppm. In addition, the 13C NMR spectra showed the methylene bridge carbons at δ 66.52–72.70 ppm. Meanwhile, the cyclic thione carbons were shown at δ 169.26–170.64 ppm. Full details of 1H NMR and 13C NMR spectral data of compounds 6ae, 7ad, 8, 9, 10a and 10b, which were in full agreement with their structures, are shown in Section 3.3.

2.2. Single-Crystal XRD Study and Structural Insights

The crystallographic data and refinement parameters for compounds 5a and 5b are summarized in Table S1. X-ray analysis revealed that both compounds crystallize in the triclinic crystal system with the space group P-1. The ORTEP representation of compounds 5a and 5b is depicted in Figure 3a and Figure 3b, respectively. In compound 5a, the 1,2,4-triazole ring forms coplanarity with the mean plane of the thiophene ring (2.67°), while such a coplanarity is not observed in compound 5b (12.39°). The dihedral angle between the mean planes of the triazole ring and the substituted phenyl ring is 73.97° and the corresponding angle is found to be 87.71° in compound 5b. The structures of compounds 5a and 5b are overlaid with respect to the triazole ring, indicating a slight rotation around the thiophene and substituted phenyl ring (Figure 3c).
In the crystalline state, both compounds showed similar packing features. Molecules 5a and 5b are arranged in a ladder-like architecture, as shown in Figure 4. The ladder-like pattern is seen along the crystallographic bc plane in 5a, whereas a similar pattern is observed along the crystallographic ac plane in 5b (Figure 4a,b). The intermolecular interactions that stabilize the crystal structures of 5a and 5b are summarized in Table 2. The former structure stabilizes with intermolecular N–H···S, C–H···N and C–H···F hydrogen bonds and a C–S···S chalcogen bond. The latter structure also stabilizes with the above interactions in addition to the C12–H12···C5 hydrogen bond and hetero halogen bond (Br···F). This halogen is established due to the presence of an additional organic Br substituent in 5b.
In compound 5a, the amine group of the triazole ring is involved in N–H···S hydrogen bonds with the thione group producing  R 2 2 (8) motif. The adjacent N–H···S hydrogen-bonded dimers are interconnected by C–S···S chalcogen bonds, involving the thiophene S atom acting as a donor (σ-hole) and the thione S atom acting an acceptor. The N–H···S hydrogen bond and C–S···S chalcogen bond generate a supramolecular sheet, as shown in Figure 4c. The same kind of supramolecular sheet is also formed in 5b, utilizing N–H···S hydrogen bond and C–S···S chalcogen bond. This supramolecular sheet is further supported by intermolecular C–H···C(π) interactions (involving thiophene and substituted phenyl rings) as shown in Figure 4d.
In addition to the above interactions, both compounds 5a and 5b also exhibit a dimer, which is formed by intermolecular C–H···N interaction with the graph set motif of  R 2 2 (12) (Figure 5a,b). In compound 5a, the adjacent dimers (mediated by C–H···N interaction) are further interlinked by an intermolecular C–H···N interaction. The triazole N3 atom is involved in three-centered interactions (Figure 5a) and these C–H···N interactions generate alternate  R 2 2 (12)- R 4 2 (10)- R 2 2 (12) motifs. In compound 5b, only  R 2 2 (12) motif is formed and it is not extended further (Figure 5b). It is of interest to note that the halogen bond is formed between the Br1 and F1 atoms. This interaction links the 5b molecules into a chain, as shown in Figure 5c.
The crystallographic data and refinement parameters for compounds 6a, 6d and 10a are presented in Table S2. The X-ray analysis revealed that compounds 6a, 6d and 10a crystallize in the monoclinic crystal system with the space group P21/c. In the asymmetric unit of 6a, there are two crystallographically independent molecules (molecules A and B), while one molecule is present in the asymmetric units of compounds 6d and 10a. In all three cases, the thiophene ring was disordered over two positions (~180° rotation).
In both the crystallographically independent molecules of compound 6a, the thiophene ring was disordered in two orientations with a refined occupancy ratio of 0.613 (4):0.387 (4) in molecule A. The corresponding occupancy ratio of 0.579 (4):0.421 (4) in molecule B. The ORTEP diagram shows the major and minor disordered components of molecules A and B of 6a (Figure 6).
The major disordered component was used for further analysis. The major disordered components of molecules A and B overlaid very well with the RMSD value of 0.07 Å. In molecule A, the thiophene ring is twisted with respect to the mean plane of the central triazole ring with a dihedral angle of 31.53° (29.52° in molecule B) and the observed twist is relatively large compared to compounds 5a and 5b. The dihedral angle between the mean planes of the triazole and the fluorophenyl rings is 70.24° (70.74° in molecule B). Furthermore, the piperidine ring exhibits a typical chair conformation. The mean plane formed by the piperidine ring and the central triazole ring makes an angle of 59.75° (62.58° in molecule B).
Figure 7a shows the columnar packing mode of compound 6a along the crystallographic bc plane. The intermolecular interactions (C–H···S/F/π interactions and a short S(lp)···C(π) contact) that stabilize the crystal structure of 6a are summarized in Table 3. In the solid state, molecule A and its counterparts related to symmetry generate a supramolecular chain by intermolecular C–H···S, C–H···π (involving thiophene ring π-center as an acceptor) interactions and a short S(lp)···C(π) contact (Figure 7b). A similar type of supramolecular chain and interactions formed between molecule B and its partners related to symmetry (Figure 7c). The intermolecular S(lp)···C(π) contact was also observed earlier in 1,2,4-triazole derivatives [44]. Furthermore, molecule B interacts with its symmetry equivalent molecule through intermolecular C–H···S and C–H···F interactions to produce a molecular dimer (Figure 7d). Molecular A and molecule B interact via intermolecular C–H···F interactions, as shown in Figure 7e.
In compound 6d, the thiophene ring was disordered in two orientations with a refined occupancy ratio of 0.667 (5):0.333 (5). The ORTEP diagram shows the major and minor disordered components of 6d (Figure 8). The major disordered component was used for further analysis. The morpholine ring adopts a typical chair conformation. The thiophene and the central triazole ring are oriented at an angle of 17.92°. The disubstituted phenyl ring is inclined at an angle of 83.58° with respect to the mean plane of the triazole ring. The corresponding angle is 72.31° between the mean planes of the triazole and morpholine rings. As shown in Figure 8c, 6d molecules were columnarly packed along the crystallographic ac plane with an interesting packing feature. In each column, the morpholine rings come closer to each other. The disubstituted phenyl rings are closer together between two adjacent columns. The intermolecular interactions that stabilize the crystal structure of 6d are summarized in Table 3. In the solid state, centrosymmetrically related molecules form a molecular dimer stabilized by O(lp)···C(π) contacts (involving morpholine ring and triazole rings) (Figure 8d). This structure also exhibits a halogen bond involving Br and F atoms that link the molecules into a supramolecular chain (Figure 8e). In addition to these interactions, the intermolecular C–H···S/F interactions generate a molecular dimer of 6d, as shown in Figure 8f.
In compound 10a also, the thiophene ring was disordered over two orientations with a refined occupancy ratio of 0.634 (2):0.366 (2). The ORTEP diagram shows the major and minor disordered components of 10d (Figure 9). The major disordered component was used for further analysis. The dihedral angle between the mean planes of the thiophene and the central triazole rings is 27.17°. The triazole ring makes an angle of 79.50° and 64.86° with respect to the mean plane of the fluorophenyl and phenyl rings, respectively. Figure 9a shows the columnar packing mode of compound 10a along the crystallographic ac plane. The intermolecular interactions that stabilize the crystal structure of 10a are summarized in Table 3.
In the crystalline state of compound 10a, molecules related by center of inversion (−x, −y, −z) form a dimer through intermolecular C–H···F interactions (involving the thiophene and the F-substituted rings). In addition, a molecular dimer is formed by intermolecular C–H···N interaction and a chalcogen bond between the S atom of the thiophene ring and one of the C atoms of the phenyl ring. A similar type (C–S···π) of chalcogen bond was observed in the 1,2,4-triazolo [3,4-b][1,3,4]thiadiazole derivative [45]. As shown in Figure 10a, this dimer and the former center of the inversion-related dimer are alternately linked, generating a supramolecular chain. Further, there are other two dimers also observed in 10a, which help to stabilize the crystal structure. One of the dimers stabilizes with chalcogen bonds involving the thione S atom and centroid of the F-substituted phenyl ring (Figure 10b) and other dimer stabilizes with C–H···S/F interactions in which methyl and F-substituted phenyl ring act as a donor for these interactions (Figure 10c).

2.3. In Vitro Antimicrobial Activity

The in vitro antibacterial and antifungal activities of the newly synthesized compounds 5ae, 6ae, 7ad, 8, 9, 10a and 10b were evaluated against a panel of standard pathogenic bacterial and fungal strains of the Institute of Fermentation of Osaka (IFO), namely Staphylococcus aureus IFO 3060, Bacillus subtilis IFO 3007 and Micrococcus luteus IFO 3232 (Gram-positive bacteria); Escherichia coli IFO 3301 and Pseudomonas aeruginosa IFO 3448 (Gram-negative bacteria); and the pathogenic fungi Candida albicans IFO 0583, Aspergillus oryzae IFO 4177 and Aspergillus niger IFO 4414. The initial screening was carried out using the semi-quantitative agar disk-diffusion method using the Mueller–Hinton agar medium [46]. The results of the initial antimicrobial screening of compounds 5ae, 6ae, 7ae, 8, 9, 10a and 10b (200 μg/disc); the antibacterial antibiotics Ampicillin trihydrate and Ciprofloxacin; and the antifungal drug Fluconazole (100 μg/disc) are shown in Table 4.
The results showed variable grades of inhibition against the tested microorganisms. In general, marked antibacterial activity was shown by compounds 5a, 5b, 5e, 5f, 6ae, 7ad, 8, 9, 10a and 10b, which showed growth inhibition zones ≥ 18 mm, particularly against the tested Gram-positive bacteria S. aureus and B. subtilis. Meanwhile, marked inhibitory activity was displayed by compounds 5a, 5b, 5e, 6a, 6d, 6e, 6d, 6e, 7a, 7d and 8 against the Gram-negative bacteria E. coli with lower activity against P. aeuroginosa. All the tested compounds were found to be almost inactive against all the tested fungal strains.
In the 4-aryl-5-(thiophen-2-yl or 5-bromothiophen-2-yl)-2,4-dihydro-3H-1,2,4-triazole-3-thiones series 5ae, it was noticed that replacement of the 4-fluorophenyl, 2-bromo-4-fluorophenyl and 4-bromophenyl substituents at position 4 of the core triazole ring with 3- or 4-chlorophenyl moieties (compounds 5c and 5d) greatly deteriorated the antibacterial activity. In addition, an additional bromine atom on the thiophene ring (compounds 5ce) did not influence the potency and spectrum of the antibacterial activity.
The antibacterial activity of the 2-aminomethy derivatives 6ae, 7ad, 8, 9, 10a and 10b (N-Mannich bases) was generally superior to their precursors 5a and 5b. In the piperidinomethyl, morpholinomethyl and thiomorpholinomethyl derivatives 6ae, it was observed that replacement of the 4-fluorophenyl substituent at position 4 of the core triazole ring with 2-bromo-4-fluorophenyl enhanced activity against M. luteus. Potent and broad-spectrum antibacterial activity was attained in the piperzinomethyl derivatives 7ad. As noticed in compounds 6ae, replacement of the 4-fluorophenyl substituent at position 4 of the core triazole ring with the 2-bromo-4-fluorophenyl moiety in compounds 7ad enhanced activity against M. luteus. The optimum antibacterial activity was shown by the 4-methylpiperazino and the 4-(2-methoxyphenyl)piperazino analogs 7a and 7d, which exhibited potent antibacterial activity against S. aureus, B. subtilis and E. coli and retained moderate activity against Pseudomonas aeuroginosa (growth inhibition zones 14–17 mm). The antibacterial activity of the 4-phenylpiperazino derivative 8 and its annulated derivative 9 was almost similar, with potent activity against S. aureus, B. subtilis and E. coli. The N-methylanilino derivative 10a displayed potent activity against the Gram-positive bacteria S. aureus and B. subtilis. Meanwhile, the activity of the N-benzylanilino analog 10b was slightly altered against the Gram-positive bacteria with moderate potency (growth inhibition zones 10–13 mm) against Gram-negative bacteria E. coli.
The minimal inhibitory concentrations (MIC) and the minimal bactericidal concentrations (MBC) for the active compound against the same microorganism used in the primary screening were carried out using the microdilution susceptibility method in Mueller–Hinton Broth and Sabouraud Liquid Medium [47,48]. The MIC and MBC values of compounds 5a, 5b, 5e, 6be, 7ad, 8, 9 and 10a (which showed inhibition zones > 20 mm) and the antibacterial antibiotics Ampicillin trihydrate and Ciprofloxacin (Table 5) were consistent with the results of the initial screening.
Antimicrobial standards state that an agent is typically categorized as fungicidal or bactericidal if the MIC/MBC ratio is less than 4 [49]. The MIC/MBC ratio for all the active compounds 5a, 5b, 5e, 6be, 7ad, 8, 9 and 10a were found to be less than 4. Accordingly, these compounds are considered potential antibacterial candidates for further studies.

2.4. In Vitro Anti-Proliferative Activity

Compounds 5ae, 6ae, 7ae, 8, 9, 10a and 10b were tested for in vitro anti-proliferative activity against four human cancer cell lines, namely hepatocellular carcinoma (HePG-2), breast cancer (MCF-7), prostate cancer (PC-3) and colorectal cancer (HCT-116), by means of the 3-[4,5-dimethylthiazol-2-yl]-2,5-diphenyltetrazolium bromide (MTT) colorimetric assay [50,51]. Table 6 presents the results of the anti-proliferative activity of compounds 5ae, 6ae, 7ae, 8, 9, 10a and 10b as well as the anticancer drug Doxorubicin [52].
As indicated by the anti-proliferative activity results, the tested compounds displayed variable degrees of activity against the tested cancer cell lines. Generally speaking, the compounds exhibited potent anti-proliferative activity against HePG-2 and MCF-7. In addition, the N-Mannich bases 6ae, 7ae, 8, 9, 10a and 10b had higher activity than their precursors 5a and 5b. Compounds 5e, 6ae, 7ad and 10a exhibited potent activity with IC50 < 25 μM.
Within the 5-substituted-2,4-dihydro-3H-1,2,4-triazole-3-thiones 5ae, the optimal activity was attained by compound 5e, which showed potent activity against HePG-2 and retained moderate activity (IC50 26–50 μM) or weak activity (IC50 51–100 μM) against MCF-7, PC-3 and HCT-116 cell lines.
In the 2-aminomethyl derivatives 6ae, 7ad, 8, 9, 10a and 10b, the anti-proliferative activity was mainly dependent on the nature of the haloaryl substituents at position 4 of the core triazole nucleus and the peripheral amino moieties. The anti-proliferative activity of the 4-(2-bromo-4-fluorophenyl) analogs (6d, 6e, 7c and 7d) was higher than the 4-(4-fluorophenyl) analogs (6ac, 7a and 7b). Regarding the peripheral amino moieties, the anti-proliferative activity of the piperidine, morpholine and piperazine derivatives (6ae and 7ad) was generally higher than their 4-phenylpiperidine 8, tetrahydroisoquinoline 9, N-methylaniline 10a and N-benzylaniline 10b analogs. However, N-methylaniline 10a retained good activity against HePG-2, moderate activity against MCF-7, weak activity against PC-3 and lacked activity against HCT-116 cell lines.

2.5. Molecular Docking Analysis

To corroborate the in vitro antibacterial activity of the most active compounds (5e, 6b, 6d and 7d), we performed a molecular docking simulation to predict the favorable pose of these compounds at the active site of the DNA gyrase subunit B of Staphylococcus aureus. The CB-Dock2 program combines cavity detection and molecular docking with Autodock vina for the given protein target [53,54,55]. In this study, the 3D structure of DNA gyrase subunit B (PDB ID: 3G75) from Staphylococcus aureus was retrieved from the protein data bank. The co-crystallized ligand (ligand ID: B38) was used as a control to assess the binding affinity of select title compounds. Figure 11 shows the predicted pose of these compounds and overlaps with the position of the control inhibitor B38 (4-methyl-5-[3-(methylsulfanyl)-1H-pyrazol-5-yl]-2-thiophen-2-yl-1,3-thiazole). The docking score of these compounds and the co-crystallized inhibitor B38 is summarized in Table 7. The result suggests that compound 7d showed a relatively better affinity for the target DNA gyrase subunit B compared to our other compounds and the control inhibitor. The intermolecular interactions between protein–ligand complexes were analyzed using the predicted poses with the PLIP web server [56].
Compound 5e establishes four hydrophobic interactions and one hydrogen bond. Residues Asn 54, Ile 86 and Ile 175 are involved in hydrophobic interactions. The backbone O atom and the triazole N atom are engaged in a hydrogen bond. It is noted that in the remaining compounds (6b, 6d, 7a and 7d), the active site residues Asn 54 are involved in a hydrogen bond with the ligands, mostly with the bulky substitution region introduced in the triazole nucleus. The residues Glu 50 and Val 131 are involved in hydrophobic contacts with 6b. Similarly, residues Glu 58 and Pro 87 are hydrophobic, whereas the side chain O atom of Asp 57 acts as an acceptor for a halogen bond with the Br atom in 6d. In 7a, the side chain of Asp 81 (O atom) establishes a short contact with F of 7a. Furthermore, Ile 86 and Asn 54 also participate in hydrophobic interactions. As seen in Figure 11f, there is a relatively greater number of interactions between 7d and the active site residues; therefore, the affinity is slightly stronger compared to other compounds. In this complex, the methoxy group is involved in a hydrogen bond with the side chain of Asn 54. The other residues are involved in hydrophobic contacts.
We also explored the anti-proliferative potential of compounds 6d, 6e and 7d against one of the cancer targets, namely cyclin-dependent kinase 2 (CDK2), a class of cell cycle regulators implicated in multiple cancers [57]. The 3D structure of human CDK2 was retrieved from the protein data bank with accession ID: 8OY2. This protein was complexed with an inhibitor molecule (ligand id: W5W; (1S,2S,11aS)-1-methoxy-1,4,7,10-tetramethyl-2,9-bis(oxidanyl)-2,11a-dihydrobenzo[b][1,4]benzodioxepine-3,6-dione. The molecular docking simulation correctly identified the active site and placed the ligand at the active site. The experimental conformation of W5W and the predicted pose of this molecule overlap very well, indicating the effectiveness of the program. The docking score revealed that compounds 6d, 6e and 7d showed a relatively better binding affinity than the control inhibitor W5W (Table 8). The predicted pose of these molecules was used to analyze the intermolecular interactions formed between active site residues and the ligand molecules (Figure 12).
Compound 6d interacts with the active site residues via hydrophobic (Asn 132 and Val 18) interactions and a salt bridge between the N atom of the morpholine and carboxylate of the Asp 86. The same set of residues is also involved in interactions with compound 6e. Relatively, compound 7d establishes a greater number of contacts with the active site residues. Residues Leu 134, Ala 31, Ile 10, Val 18, Ala 149 and Asp 127 are involved in hydrophobic interactions, while Asp 145 participates in salt bridge interaction with one of the N atoms of the piperazine.
Taken as a whole, compound 7d exhibits both antibacterial and anti-proliferative potentials, as revealed by in vitro and in silico studies.

3. Materials and Methods

3.1. General Information

Melting points (°C, uncorrected) were determined in open-glass capillaries using a Stuart SMP30 electro–thermal melting point apparatus (Nottingham, UK). Nuclear magnetic resonance (NMR) spectra were determined in CDCl3 on Bruker RMN AV600 and Bruker Avance III HD FT-high resolution NMR instruments (Billerica, MA, USA) at δ 600.15 MHz for 1H and 150.36 MHz for 13C, δ 400.20 MHz for 1H and 100.64 MHz for 13C, respectively. Elemental analyses (C, H, N and S) were in agreement with the proposed structures within ±0.3% of the theoretical values (Table S3). Monitoring of the reactions and checking of the purity of the final products was carried out with thin layer chromatography (TLC) using silica gel-precoated aluminum sheets 60 F254 (Merck, Darmstadt, Germany) and visualization with ultraviolet light (UV) at 365 and 254 nm. All chemicals and solvents were purchased from commercial suppliers and used without additional purification. The reference drugs Ampicillin trihydrate (CAS # 7177-48-2) and Ciprofloxacin (CAS # 85721-33-1), Fluconazole (CAS # 86386-73-4) and Doxorubicin (CAS 23214-92-8) were purchased from Sigma-Aldrich Chemie GmbH (Taufkirchen, Germany). The synthesis of compound 5a was previously reported via the reaction of ethyl thiophene-2-carboxylate with thiosemicarbazide in anhydrous methanol in the presence of sodium methylate followed by heating for 5 min [58].

3.2. General Procedure for the Synthesis of 4-Haloaryl-5-(thiophen-2-yl or 5-Bromothiophen-2-yl)-2,4-dihydro-3H-1,2,4-triazole-3-thiones 5ae

The appropriate haloaryl isothiocyanate (0.01 mole) was added to a solution of thiophene-2-carbohydrazide 3a or 5-bromothiophene-2-carbohydrazide 3b (0.01 mole) in ethanol (15 mL) and the mixture was heated under reflux with stirring for 1 h. The solvent was distilled off in vacuo to yield the intermediates N-aryl-2-(thiophene-2-carbonyl or 5-bromothiophene-2-carbonyl)hydrazine-1-carbothioamides 4ae in almost quantitative yields. Aqueous sodium hydroxide solution (10%, 15 mL) was added to compounds 4ae and the mixture was heated under reflux for 2 h and then filtered hot. On cooling, the mixture was acidified with hydrochloric acid and the precipitated crude product was filtered, washed with water, dried and crystallized from ethanol to yield the target products 5ae.
4-(4-Fluorophenyl)-5-(thiophen-2-yl)-2,4-dihydro-3H-1,2,4-triazole-3-thione 5a. 1H NMR (600.15 MHz): δ 6.86 (d, 1H, Thiophene-H, J = 3.9 Hz), 6.94 (t, 1H, Thiophene-H, J = 3.9 Hz), 7.26–7.40 (m, 5H, Ar-H and Thiophene-H), 11.45 (br. s, 1H, NH). 13C NMR (150.91 MHz): δ 117.22, 126.38, 127.66, 129.12, 129.84, 130.77, 144.41, 147.05, 162.71 (Ar-C, Thiophene-C and Triazole-C5), 169.78 (C=S).
4-(2-Bromo-4-fluorophenyl)-5-(thiophen-2-yl)-2,4-dihydro-3H-1,2,4-triazole-3-thione 5b. 1H NMR (400.20 MHz): δ 6.90 (d, 1H, Thiophene-H, J = 4.0 Hz), 6.96 (t, 1H, Thiophene-H, J = 4.0 Hz), 7.28–7.44 (m, 4H, Ar-H and Thiophene-H), 11.65 (br. s, 1H, NH). 13C NMR (100.64 MHz): δ 116.94, 122.03, 124.68, 128.05, 129.78, 132.58, 135.38, 143.95, 149.16, 162.37, 164.36 (Ar-C, Thiophene-C and Triazole-C5), 169.79 (C=S).
5-(5-Bromothiophen-2-yl)-4-(3-chlorophenyl)-2,4-dihydro-3H-1,2,4-triazole-3-thione 5c. 1H NMR (400.20 MHz): δ 7.08 (d, 1H, Thiophene-H, J = 4.0 Hz), 7.10–7.22 (m, 4H, Ar-H and Thiophene-H), 7.38 (s, 1H, Ar-H), 11.68 (br. s, 1H, NH). 13C NMR (100.64 MHz): δ 116.20, 126.0, 127.22, 128.06, 129.36, 130.12, 130.84, 131.88, 133.0, 135.22, 138.42 (Ar-C, Thiophene-C and Triazole-C5), 168.62 (C=S).
5-(5-Bromothiophen-2-yl)-4-(4-chlorophenyl)-2,4-dihydro-3H-1,2,4-triazole-3-thione 5d. 1H NMR (400.20 MHz): δ 7.01 (d, 1H, Thiophene-H, J = 3.9 Hz), 7.08–7.36 (m, 5H, Ar-H and Thiophene-H), 11.80 (br. s, 1H, NH). 13C NMR (100.64 MHz): δ 115.98, 126.68, 127.0, 128.02, 129.24, 133.10, 136.66, 139.58 (Ar-C, Thiophene-C and Triazole-C5), 168.44 (C=S).
4-(4-Bromophenyl)-5-(5-bromothiophen-2-yl)-2,4-dihydro-3H-1,2,4-triazole-3-thione 5e. 1H NMR (400.20 MHz): δ 7.33–7.42 (m, 2H, Ar-H and Thiophene-H), 7.04 (d, 1H, Thiophene-H, J = 4.0 Hz), 7.32 (d, 2H, Ar-H), 7.35–7.37 (m, 3H, Ar-H and Thiophene-H), 11.98 (br. s, 1H, NH). 13C NMR (100.63 MHz): δ 114.98, 123.68, 127.0, 128.02, 129.24, 133.10, 135.12, 136.66, 139.58 (Ar-C, Thiophene-C and Triazole-C5), 168.02 (C=S).

3.3. General Procedure for the Synthesis of 2-Aminomethyl-4-aryl-5-(thiophen-2-yl or 5-Bromothiophen-2-yl)-2,4-dihydro-3H-1,2,4-triazole-3-thiones 6ae, 7ad, 8, 9, 10a and 10b

The appropriate secondary amine piperidine, morpholine, thiomorpholine, 1-methylpiperazine, 1-phenylpiperazine, 1-(2-methoxyphenyl)lpiperazine, 4-phenylpiperidine, 1,2,3,4-tetrahydroisoquinoline, N-methylaniline or N-benzylaniline (0.01 mole) and 37% formaldehyde solution (1.0 mL) were added to a hot solution of 4-(4-fluorophenyl)-5-(thiophen-2-yl)-2,4-dihydro-3H-1,2,4-triazole-3-thione 5a or 4-(2-bromo-4-fluorophenyl)-5-(thiophen-2-yl)-2,4-dihydro-3H-1,2,4-triazole-3-thione 5b (0.01 mole) in ethanol (15 mL) and the mixture was heated under reflux for 10 min then stirred at room temperature for 5 h and allowed to stand overnight. The precipitated crude products were filtered, washed with water, dried and crystallized from ethanol or aqueous ethanol.
4-(4-Fluorophenyl)-2-(piperidin-1-ylmethyl)-5-(thiophen-2-yl)-2,4-dihydro-3H-1,2,4-triazole-3-thione 6a. 1H NMR (600.15 MHz): δ 1.41–1.44 (m, 2H, Piperidine-CH2), 1.59–1.63 (m, 4H, Piperidine-CH2), 2.85 (t, 4H, Piperidine-CH2, J = 5.4 Hz), 5.88 (s, 2H, NCH2N), 6.88 (d, 1H, Thiophene-H, J = 2.0 Hz), 6.93 (t, 1H, Thiophene-H, J = 2.0 Hz), 7.25–7.27 (m, 2H, Ar-H), 7.36–7.38 (m, 3H, Ar-H and Thiophene-H). 13C NMR (150.36 MHz): δ 23.80, 25.99, 51.87 (Piperidine-C), 71.04 (NCH2N), 117.09, 126.71, 127.58, 129.0, 130.78, 130.89, 130.94, 144.82, 162.59, 164.26 (Ar-C, Thiophene-C and Triazole-C5), 170.38 (C=S).
4-(4-Fluorophenyl)-2-(morpholinomethyl)-5-(thiophen-2-yl)-2,4-dihydro-3H-1,2,4-triazole-3-thione 6b. 1H NMR (400.20 MHz): δ 2.68 (t, 4H, Morpholine-CH2, J = 5.0 Hz), 3.18 (t, 4H, Morpholine-CH2, J = 5.0 Hz), 5.20 (s, 2H, NCH2N), 6.90–6.98 (m, 2H, Ar-H and Thiophene-H), 7.16–7.34 (m, 2H, Ar-H and Thiophene-H), 7.39–7.39 (m, 3H, Ar-H and Thiophene-H). 13C NMR (100.46 MHz): δ 50.70, 71.19 (Morpholine-C), 71.0 (NCH2N), 116.42, 121.52, 127.73, 128.60, 129.22, 132.20, 132.84, 144.58, 162.14, 164.20 (Ar-C, Thiophene-C and Triazole-C5), 169.64 (C=S).
4-(4-Fluorophenyl)-2-(thiomorpholinomethyl)-5-(thiophen-2-yl)-2,4-dihydro-3H-1,2,4-triazole-3-thione 6c. 1H NMR (400.20 MHz): δ 2.70 (t, 4H, Thiomorpholine-CH2, J = 4.0 Hz), 3.18 (t, 4H, Morpholine-CH2, J = 4.0 Hz), 5.21 (s, 2H, NCH2N), 6.84 (d, 1H, Thiophene-H, J = 4.0 Hz), 6.92 (t, 1H, Thiophene-H, J = 4.0 Hz), 7.24–7.38 (m, 5H, Ar-H and Thiophene-H). 13C NMR (100.64 MHz): δ 28.05, 52.84 (Thiomorpholine-C), 71.39 (NCH2N), 117.22, 126.48, 127.73, 129.20, 130.87, 130.96, 145.10, 162.24. 164.74 (Ar-C, Thiophene-C and Triazole-C5), 170.32 (C=S).
4-(2-Bromo-4-fluorophenyl)-2-(morpholinomethyl)-5-(thiophen-2-yl)-2,4-dihydro-3H-1,2,4-triazole-3-thione 6d. 1H NMR (600.15 MHz): δ 2.87–97 (m, 4H, Morpholine-CH2), 3.72 (t, 4H, Morpholine-CH2, J = 4.0 Hz), 5.34 (d, 2H, NCH2N, J = 6.0 Hz), 6.94–6.98 (m, 2H, Ar-H and Thiophene-H), 7.27–7.30 (m, 2H, Ar-H and Thiophene-H), 7.39–7.55 (m, 2H, Ar-H and Thiophene-H). 13C NMR (150.36 MHz): δ 50.67, 66.93 (Morpholine-C), 69.80 (NCH2N), 116.47, 121.57, 124.74, 126.19, 127.77, 128.66, 129.26, 130.29, 144.63, 162.37, 164.07 (Ar-C, Thiophene-C and Triazole-C5), 169.98 (C=S).
4-(2-Bromo-4-fluorophenyl)-2-(thiomorpholinomethyl)-5-(thiophen-2-yl)-2,4-dihydro-3H-1,2,4-triazole-3-thione 6e. 1H NMR (400.20 Hz): δ 2.64 (t, 4H, Thiomorpholine-CH2, J = 4.7 Hz), 3.11–3.21 (m, 4H, Thiomorpholine-CH2), 5.26 (d, 2H, NCH2N, J = 6.2 Hz), 6.90–6.94 (m, 2H, Ar-H and Thiophene-H), 7.22–7.26 (m, 1H, Ar-H), 7.35 (d, 1H, Thiophene-H, J = 4.5 Hz), 7.36–51 (m, 2H, Ar-H). 13C NMR (100.64 Hz): δ 28.75, 52.86 (Thiophene-C), 71.35 (NCH2N), 116.86, 121.68, 124.85, 127.90, 128.76, 129.39, 132.37, 132.45, 144.74, 162.31, 164.35 (Ar-C, Thiophene-C and Triazole-C5), 169.80 (C=S).
4-(4-Fluorophenyl)-2-[(4-methylpiperazin-1-yl)methyl]-5-(thiophen-2-yl)-2,4-dihydro-3H-1,2,4-triazole-3-thione 7a. 1H NMR (400.20 MHz): δ 1.76–1.91 (m, 7H, CH3 and Piperazine-CH2), 2.44–2.67 (m, 4H, Piperazine-CH2), 5.30 (s, 2H, NCH2N), 6.89 (d, 1H, Thiophene-H, J = 4.0 Hz), 6.95 (t, 1H, Thiophene-H, J = 4.0), 7.20–7.43 (m, 5H, Ar-H and Thiophene-H). 13C NMR (100.64 MHz): δ 33.53, 51.75 (Piperazine-C), 42.09 (CH3), 70.66 (NCH2N), 117.25, 126.30, 127.77, 128.56, 129.20, 130.97, 146.32, 162.30, 164.81 (Ar-C, Thiophene-C and Triazole-C5), 170.51 (C=S).
4-(4-Fluorophenyl)-2-[(4-phenylpiperazin-1-yl)methyl]-5-(thiophen-2-yl)-2,4-dihydro-3H-1,2,4-triazole-3-thione 7b. 1H NMR (400.20 Hz): δ 3.12 (s, 4H, Piperazine-CH2), 3.28 (t, 4H, Piperazine-CH2, J = 5.2 Hz), 5.30 (s, 2H, NCH2N), 6.84 (d, 1H, Thiophene-H, J = 3.6 Hz), 6.87–6.93 (m, 2H, Ar-H), 6.96 (d, 1H, Thiophene-H, J = 4.0 Hz), 7.23–7.26 (m, 5H, Ar-H and Thiophene-H), 7.33–7.37 (m, 3H, Ar-H). 13C NMR (100.63 Hz): δ 49.68, 50.55 (Piperazine-C), 69.82 (NCH2N), 116.67, 117.30, 126.52, 127.78, 129.30, 129.34, 130.77, 130.80, 130.94, 131.03, 145.18, 162.32, 164.83 (Ar-C, Thiophene-C and Triazole-C5), 170.64 (C=S).
4-(2-Bromo-4-fluorophenyl)-2-[(4-phenylpiperazin-1-yl)methyl]-5-(thiophen-2-yl)-2,4-dihydro-3H-1,2,4-triazole-3-thione 7c. 1H NMR (400.20 Hz): δ 2.36–2.42 (m, 4H, Piperazine-CH2), 3.28–3.36 (m, 4H, Piperazine-CH2), 5.20 (d, 2H, NCH2N, J = 6.2 Hz), 6.90 (d, 1H, Thiophene-H, J = 3.8 Hz), 6.98–7.44 (m, 6H, Ar-H andThiophene-H), 7.47–7.67 (m, 4H, Ar-H and Thiophene-H). 13C NMR (100.63 Hz): δ 50.08, 52.40 (Piperazine-C), 72.70 (NCH2N), 114.02, 116.46, 120.68, 122.0, 124.48, 126.98, 127.50, 128.60, 130.98, 137.46, 145.22, 148.0, 162.90, 164.62 (Ar-C, Thiophene-C and Triazole-C5), 169.88 (C=S).
4-(2-Bromo-4-fluorophenyl)-2-{[(4-(2-methoxyphenyl)piperazin-1-yl]methyl}-5-(thiophen-2-yl)-2,4-dihydro-3H-1,2,4-triazole-3-thione 7d. 1H NMR (400.20 MHz): δ 2.86 (t, 4H, Piperazine-CH2, J = 4.8 Hz), 3.20 (t, 4H, Piperazine-CH2, J = 4.8 Hz), 3.96 (s, 3H, OCH3), 5.02 (d, 2H, NCH2N, J = 6.0 Hz), 6.89–7.13 (m, 5H, Ar-H and Thiophene-H), 7.23–7.39 (m, 3H, Ar-H and Thiophene-H), 7.40–7.55 (m, 2H, Ar-H and Thiophene-H). 13C NMR (100.63 MHz): δ 51.86, 52.44 (Piperazine-C), 54.20 (OCH3), 70.28 (NCH2N), 114.04, 115.84, 121.10, 121.86, 123.0, 124.02, 124.98, 126.42, 128.46, 129.86, 130.46, 136.82, 139.90, 140.96, 148.20, 161.46, 163.02 (Ar-C, Thiophene-C and Triazole-C5), 169.40 (C=S).
4-(4-Fluorophenyl)-2-[(4-phenylpiperidin-1-yl)methyl]-5-(thiophen-2-yl)-2,4-dihydro-3H-1,2,4-triazole-3-thione 8. 1H NMR (400.20 MHz): δ 1.76–1.91 (m, 5H, Piperidine-H), 2.67–2.74 (m, 2H, Piperidine-H), 3.36–3.41 (m, 2H, Piperidine-H), 5.30 (s, 2H, NCH2N), 6.89 (d, 1H, Thiophene-H, J = 4.0 Hz), 6.95 (t, 1H, Thiophene-H, J = 4.0 Hz), 7.20–7.40 (m, 10H, Ar-H and Thiophene-H). 13C NMR (100.64 MHz): δ 33.53, 42.10, 51.76 (Piperidine-C), 70.66 (NCH2N), 117.25, 126.30, 126.94, 127.77, 128.56, 129.20, 129.24, 130.97, 131.06, 145.07, 146.32, 162.30, 164.81 (Ar-C, Thiophene-C and Triazole-C5), 170.51 (C=S).
2-[(3,4-Dihydroisoquinolin-2(1H)-yl)methyl]-4-(4-fluorophenyl)-5-(thiophen-2-yl)-2,4-dihydro-3H-1,2,4-triazole-3-thione 9. 1H NMR (400.20 Hz): δ 2.96 (t, 2H, Isoquinoline-CH2, J = 6.0 Hz), 3.27 (t, 2H, Isoquinoline-CH2, J = 6.0 Hz), 4.16 (s, 2H, Isoquinoline-CH2), 5.45 (s, 2H, NCH2N), 6.89 (d, 1H, Thiophene-H, J = 3.2 Hz), 6.95 (t, 1H, Thiophene-H, J = 3.6 Hz), 7.13–7.15 (m, 5H, Ar-H), 7.26–7.40 (m, 5H, Ar-H and Thiophene-H). 13C NMR (100.63 Hz): δ 29.35, 48.72, 52.56 (Isoquinoline-CH2), 69.89 (NCH2N), 117.15, 125.72, 126.16, 126.54, 126.71, 127.68, 128.85, 129.22, 130.74, 130.90, 133.91, 134.48, 145.11, 162.22, 164.72 (Ar-C, Thiophene-C, Triazole-C5 and Triazole-C5), 170.49 (C=S).
4-(4-Fluorophenyl)-2-[(N-methylanilino)methyl]-5-(thiophen-2-yl)-2,4-dihydro-3H-1,2,4-triazole-3-thione 10a. 1H NMR (600.15 MHz): δ 3.40 (s, 3H, CH3), 5.85 (s, 2H, NCH2N), 6.83–6.86 (m, 3H, Ar-H and Thiophene-H), 6.91 (t, 1H, Thiophene-H, J = 4.3), 7.18 (d, 2H, Ar-H, J = 8.4 Hz), 7.24–7.36 (m, 6H, Ar-H and Thiophene-H). 13C NMR (150.36 MHz): δ 39.56 (CH3), 66.52 (NCH2N), 113.60, 117.12, 117.31, 118.58, 126.58, 127.53, 129.11, 129.24, 130.88, 130.94, 145.34, 147.35, 162.63, 164.40 (Ar-C, Thiophene-C and Triazole-C5), 169.26 (C=S).
4-(4-Fluorophenyl)-2-[(N-benzylanilino)methyl]-5-(thiophen-2-yl)-2,4-dihydro-3H-1,2,4-triazole-3-thione 10b. 1H NMR (400.20 MHz): δ 5.10 (s, 2H, Benzylic CH2), 5.95 (s, 2H, NCH2N), 6.81–6.93 (m, 3H, Ar-H and Thiophene-H), 7.17–7.36 (m, 15H, Ar-H and Thiophene-H). 13C NMR (100.64 MHz): δ 55.13 (CH2), 64.97 (NCH2N), 114.05, 117.16, 118.87, 126.61, 126.99, 127.67, 129.26, 129.29, 129.52, 130.53, 130.94, 131.03, 138.54, 145.46, 147.02, 162.28, 164.78 (Ar-C, Thiophene-C and Triazole-C5), 169.39 (C=S).

3.4. Single-Crystal XRD Studies

Suitable single crystals for X-ray diffraction were obtained by slow evaporation of a solution of compounds 5a, 5b, 6a, 6d and 10a in ethanol:chloroform (1:1, v/v) at room temperature. The crystal data and structure refinement parameters are shown in Table S1 (compounds 5a and 5b) and Table S2 (compounds 6a, 6d and 10a). The X-ray intensity data were collected on a Rigaku OD SuperNova/Atlas area-detector diffractometer using Cu Kα radiation (λ = 1.54184 Å) from a micro-focus X-ray source (for compound 5b) and on Excalibur, Ruby and Gemini diffractometers for the remaining crystals. Using Olex2 [59], the structure was solved with the SHELXT small molecule structure solution program [60] and refined with the SHELXL2018/3 program package [61] by full-matrix least-squares minimization on F2. In 5a and 5b, the amino H atom was located from a difference Fourier map and refined freely with its isotropic displacement parameters. In the remaining compounds, the H atoms were placed in calculated positions and were constrained to ride on their parent atoms, with Uiso(H) = 1.2Ueq(C). The methyl H atoms were constrained to an ideal geometry with Uiso(H) = 1.5Ueq(C) but were allowed to rotate freely about the C–C bonds. In compounds 6a, 6d and 10d, the thiophene ring was disordered over two orientations. These structures were refined with suitable disorder models using the appropriate restraints and satisfactory models were obtained for these compounds. The crystal structure of 5b was refined as a two-component twin. The twin matrix is (−1.000 0 0 0 −1 0 0.4610.838 1) and the twin scales are 0.759(3) and 0.241(3).

Supplementary Materials

The following supporting information can be downloaded at: https://www.mdpi.com/article/10.3390/ph17091123/s1, Table S1: Crystal data and structure refinement parameters of compounds 5a and 5b. Table S2: Crystal data and structure refinement parameters of compounds 6a, 6d and 10a. Table S3: Molecular formulae, molecular weights and elemental analyses data of compounds 5ae, 6ae, 7ad, 8, 9, 10a and 10b. The experimental details for determination of in vitro antimicrobial activity of compounds 5ae, 6ae, 7ad, 8, 9, 10a and 10b (agar disc-diffusion method). The experimental details for determination of minimal inhibitory concentrations (MIC) and the minimal bactericidal concentrations (MBC) for compounds 5a, 5b, 5e, 6be, 7ad, 8, 9, 10a, 10b (micro-dilution susceptibility method). The experimental details for determination of in vitro anti-proliferative activity of compounds 5ae, 6ae, 7ad, 8, 9, 10a and 10b (MTT assay). In addition, copies of the 1H NMR and 13C NMR spectra are included.

Author Contributions

Conceptualization, M.A.A.M. and M.B.E.-A.; methodology, N.A.E.-E., E.-S.E.H. and M.S.M.A.; software, S.G.-G. and S.T.; validation, A.A.B.M., M.A.A.M. and M.B.E.-A.; formal analysis, N.A.E.-E., S.T. and A.A.B.M.; investigation, M.A.A.M., M.B.E.-A. and S.G.-G.; resources, M.S.M.A. and S.G.-G.; data curation, E.-S.E.H. and A.A.B.M.; writing—original draft preparation, N.A.E.-E. and A.A.B.M.; writing—review and editing, M.A.A.M. and M.B.E.-A.; visualization, S.G.-G. and S.T.; validation; supervision, M.A.A.M. and M.B.E.-A.; project administration, M.A.A.M. and M.B.E.-A.; funding acquisition, S.G.-G. All authors have read and agreed to the published version of the manuscript.

Funding

The State Research Agency (AEI), Spanish Ministry of Science, Innovation and Universities (Project No. PID2020-113558RB-C41).

Institutional Review Board Statement

Not applicable.

Informed Consent Statement

Not applicable.

Data Availability Statement

The full crystallographic data could be obtained free of charge from the Cambridge Crystallographic Data Centre (www.ccdc.cam.ac.uk/data_request/cif, accessed on 30 January 2022) using the accession numbers, CCDC-2343567 (compound 5a), CCDC-2343568 (compound 5b), CCDC-2343570 (compound 6a), CCDC-2343571 (compound 6d) and CCDC-2343572 (compound 10a).

Acknowledgments

M.S.M. Abdelbaky and S. Garcia-Granda acknowledge the financial support of the State Research Agency (AEI), Spanish Ministry of Science, Innovation and Universities.

Conflicts of Interest

The authors declare no conflicts of interest.

References

  1. Küçükgüzel, Ş.G.; Çıkla-Süzgün, P. Recent advances bioactive 1,2,4-triazole-3-thiones. Eur. J. Med. Chem. 2015, 97, 830–870. [Google Scholar] [CrossRef] [PubMed]
  2. Aggarwal, R.; Sumran, G. An insight on medicinal attributes of 1,2,4-triazoles. Eur. J. Med. Chem. 2020, 205, 112652. [Google Scholar] [CrossRef] [PubMed]
  3. Tratrat, C. 1,2,4-Triazole: A privileged scaffold for the development of potent antifungal agents—A brief review. Curr. Top. Med. Chem. 2020, 20, 2235–2258. [Google Scholar] [CrossRef]
  4. Lass-Flörl, C. Triazole antifungal agents in invasive fungal infections: A comparative review. Drugs 2011, 71, 2405–2419. [Google Scholar] [CrossRef] [PubMed]
  5. Charlier, C.; Hart, E.; Lefort, A.; Ribaud, P.; Dromer, F.; Denning, D.W.; Lortholary, O. Fluconazole for the management of invasive candidiasis: Where do we stand after 15 years? J. Antimicrob. Chemother. 2006, 57, 384–410. [Google Scholar] [CrossRef]
  6. Lestner, J.; Hope, W.W. Itraconazole: An update on pharmacology and clinical use for treatment of invasive and allergic fungal infections. Expert Opin. Drug Metab. Toxicol. 2013, 9, 911–926. [Google Scholar] [CrossRef]
  7. Elewa, H.; El-Mekaty, E.; El-Bardissy, A.; Ensom, M.H.; Wilby, K.J. Therapeutic drug monitoring of voriconazole in the management of invasive fungal infections: A critical review. Clin. Pharmacokinet. 2015, 54, 1223–1235. [Google Scholar] [CrossRef]
  8. Rachwalski, E.J.; Wieczorkiewicz, J.T.; Scheetz, M.H. Posaconazole: An oral triazole with an extended spectrum of activity. Ann. Pharmacother. 2008, 42, 1429–1438. [Google Scholar] [CrossRef]
  9. Rathod, B.; Kumar, K. Synthetic and medicinal perspective of 1,2,4-triazole as anticancer agents. Chem. Biodivers. 2022, 19, 202200679. [Google Scholar] [CrossRef]
  10. Wen, X.; Zhou, Y.; Zeng, J.; Liu, X. Recent development of 1,2,4-triazole-containing compounds as anticancer agents. Curr. Top. Med. Chem. 2020, 20, 1441–1460. [Google Scholar] [CrossRef]
  11. Rao, L.; Mak, V.C.Y.; Zhou, Y.; Zhang, D.; Li, X.; Fung, C.C.Y.; Sharma, R.; Gu, C.; Lu, Y.; Tipoe, G.L.; et al. p85β regulates autophagic degradation of AXL to activate oncogenic signaling. Nat. Commun. 2020, 11, 2291. [Google Scholar] [CrossRef] [PubMed]
  12. Rugo, H.S.; Finn, R.S.; Diéras, V.; Ettl, J.; Lipatov, O.; Joy, A.A.; Harbeck, N.; Castrellon, A.; Iyer, S.; Lu, D.R.; et al. Palbociclib plus letrozole as first-line therapy in estrogen receptor-positive/human epidermal growth factor receptor 2-negative advanced breast cancer with extended follow-up. Breast Cancer Res. Treat. 2019, 174, 719–729. [Google Scholar] [CrossRef]
  13. Knott, K.K.; McGinley, J.N.; Lubet, R.A.; Steele, V.E.; Thompson, H.J. Effect of the aromatase inhibitor vorozole on estrogen and progesterone receptor content of rat mammary carcinomas induced by 1-methyl-1-nitrosourea. Breast Cancer Res. Treat. 2001, 70, 171–183. [Google Scholar] [CrossRef] [PubMed]
  14. Mehta, R.S.; Barlow, W.E.; Albain, K.S.; Vandenberg, T.A.; Dakhil, S.R.; Tirumali, N.R.; Lew, D.L.; Hayes, D.F.; Gralow, J.R.; Linden, H.H.; et al. Overall survival with fulvestrant plus anastrozole in metastatic breast cancer. N. Engl. J. Med. 2019, 380, 1226–1234. [Google Scholar] [CrossRef]
  15. Voronkov, A.; Holsworth, D.D.; Waaler, J.; Wilson, S.R.; Ekblad, B.; Perdreau-Dahl, H.; Dinh, H.; Drewes, G.; Hopf, C.; Morth, J.P.; et al. Structural basis and SAR for G007-LK, a lead stage 1,2,4-triazole based specific tankyrase 1/2 inhibitor. J. Med. Chem. 2023, 56, 3012–3023. [Google Scholar] [CrossRef] [PubMed]
  16. Tian, G.; Song, Q.; Liu, Z.; Guo, J.; Cao, S.; Long, S. Recent advances in 1,2,3- and 1,2,4-triazole hybrids as antimicrobials and their SAR: A critical review. Eur. J. Med. Chem. 2023, 259, 115603. [Google Scholar] [CrossRef] [PubMed]
  17. Strzelecka, M.; Świątek, P. 1,2,4-Triazoles as important antibacterial agents. Pharmaceuticals 2021, 14, 224. [Google Scholar] [CrossRef]
  18. Ge, X.; Xu, Z. 1,2,4-Triazole hybrids with potential antibacterial activity against methicillin-resistant Staphylococcus aureus. Arch. Pharm. (Weinheim) 2021, 354, 2000223. [Google Scholar] [CrossRef]
  19. Cao, Y.; Lu, H. Advances in the application of 1,2,4-triazole-containing hybrids as anti-tuberculosis agents. Future Med. Chem. 2021, 13, 2107–2124. [Google Scholar] [CrossRef]
  20. Paeshuyse, J.; Dallmeier, K.; Neyts, J. Ribavirin for the treatment of chronic hepatitis C virus infection: A review of the proposed mechanisms of action. Curr. Opin. Virol. 2011, 1, 590–598. [Google Scholar] [CrossRef]
  21. Aly, A.A.; Hassan, A.; Makhlouf, M.M.; Bräse, S. Chemistry and biological activities of 1,2,4-triazolethiones-antiviral and anti-infective drugs. Molecules 2020, 25, 3036. [Google Scholar] [CrossRef]
  22. Gramec, D.; Peterlin Mašič, L.; Dolenc, M.S. Bioactivation potential of thiophene-containing drugs. Chem. Res. Toxicol. 2014, 27, 1344–1358. [Google Scholar] [CrossRef] [PubMed]
  23. Bhilare, N.V.; Auti, P.B.; Marulkar, V.S.; Pise, V.J. Diverse thiophenes as scaffolds in anti-cancer drug development: A concise review. Mini Rev. Med. Chem. 2021, 21, 217–232. [Google Scholar] [CrossRef] [PubMed]
  24. Bozorov, K.; Nie, L.F.; Zhao, J.; Aisa, H.A. 2-Aminothiophene scaffolds: Diverse biological and pharmacological attributes in medicinal chemistry. Eur. J. Med. Chem. 2017, 140, 465–493. [Google Scholar] [CrossRef] [PubMed]
  25. Wu, C.P.; Murakami, M.; Hsiao, S.H.; Chou, A.W.; Li, Y.Q.; Huang, Y.H.; Hung, T.H.; Ambudkar, S.V. Overexpression of ATP-binding cassette subfamily g member 2 confers resistance to phosphatidylinositol 3-kinase inhibitor PF-4989216 in cancer cells. Mol. Pharm. 2017, 14, 2368–2377. [Google Scholar] [CrossRef] [PubMed]
  26. Garton, A.J.; Crew, A.P.; Franklin, M.; Cooke, A.R.; Wynne, G.M.; Castaldo, L.; Kahler, J.; Winski, S.L.; Franks, A.; Brown, E.N.; et al. OSI-930: A novel selective inhibitor of Kit and kinase insert domain receptor tyrosine kinases with antitumor activity in mouse xenograft models. Cancer Res. 2006, 66, 1015–1024. [Google Scholar] [CrossRef]
  27. Yap, T.A.; Arkenau, H.T.; Camidge, D.R.; George, S.; Serkova, N.J.; Gwyther, S.J.; Spratlin, J.L.; Lal, R.; Spicer, J.; Desouza, N.M.; et al. First-in-human phase I trial of two schedules of OSI-930, a novel multikinase inhibitor, incorporating translational proof-of-mechanism studies. Clin. Cancer Res. 2013, 19, 909–919. [Google Scholar] [CrossRef]
  28. Wang, W.; Shangguan, S.; Qiu, N.; Hu, C.; Zhang, L.; Hu, Y. Design, synthesis and biological evaluation of novel 3,4,5-trisubstituted aminothiophenes as inhibitors of p53-MDM2 interaction. Part 1. Bioorg. Med. Chem. 2013, 21, 2879–2885. [Google Scholar] [CrossRef]
  29. Beggs, W.H. Fungicidal activity of tioconazole in relation to growth phase of Candida albicans and Candida parapsilosis. Antimicrob. Agents Chemother. 1984, 26, 699–701. [Google Scholar] [CrossRef]
  30. Carrillo-Muñoz, A.J.; Torres-Rodriguez, J.M. In-vitro antifungal activity of sertaconazole, econazole, and bifonazole against Candida spp. J. Antimicrob. Chemother. 1995, 36, 713–716. [Google Scholar] [CrossRef][Green Version]
  31. Di Bisceglie, A.M.; Sulkowski, M.; Gane, E.; Jacobson, I.M.; Nelson, D.; DeSouza, C.; Alves, K.; George, S.; Kieffer, T.; Zhang, E.Z.; et al. VX-222, a non-nucleoside NS5B polymerase inhibitor, in telaprevir-based regimens for genotype 1 hepatitis C virus infection. Eur. J. Gastroenterol. Hepatol. 2014, 26, 761–773. [Google Scholar] [CrossRef] [PubMed]
  32. Politzer, P.; Murray, J.S.; Clark, T. Halogen bonding and other σ -hole interactions: A perspective. Phys. Chem. Chem. Phys. 2013, 15, 11178. [Google Scholar] [CrossRef]
  33. Vogel, L.; Wonner, P.; Huber, S.M. Chalcogen bonding: An overview. Angew. Chem. Int. Ed. 2019, 58, 1880–1891. [Google Scholar] [CrossRef] [PubMed]
  34. Politzer, P.; Murray, J.S. σ-Hole interactions: Perspectives and misconceptions. Crystals 2017, 7, 212. [Google Scholar] [CrossRef]
  35. Reid, J.R.; Heindel, N.D. Improved syntheses of 5-substituted-4-amino-3-mercapto-(4H)-1,3,4-triazoles. J. Heterocycl. Chem. 1976, 13, 925–926. [Google Scholar] [CrossRef]
  36. Makwana, H.; Naliapara, Y.T. Synthesis, characterization and antimicrobial activity of N’-benzylidene-5-bromothiophene-2-carbohydrazide derivatives. Int. Lett. Chem. Phys. Astron. 2014, 14, 99–105. [Google Scholar] [CrossRef]
  37. El-Emam, A.A.; Al-Tamimi, A.M.; Al-Omar, M.A.; Alrashood, K.A.; Habib, E.E. Synthesis and antimicrobial activity of novel 5-(1-adamantyl)-2-aminomethyl-4-substituted-1,2,4-triazoline-3-thiones. Eur. J. Med. Chem. 2013, 68, 96–102. [Google Scholar] [CrossRef]
  38. Al-Abdullah, E.S.; Al-Tuwaijri, H.M.; Hassan, H.M.; Haiba, M.E.; Habib, E.E.; El-Emam, A.A. Antimicrobial and hypoglycemic activities of novel N-Mannich bases derived from 5-(1-adamantyl)-4-substituted-1,2,4-triazoline-3-thiones. Int. J. Mol. Sci. 2014, 15, 22995–223010. [Google Scholar] [CrossRef]
  39. Al-Abdullah, E.S.; Asiri, H.H.; Lahsasni, S.; Habib, E.E.; Ibrahim, T.M.; El-Emam, A.A. Synthesis, antimicrobial, and anti-inflammatory activity, of novel S-substituted and N-substituted 5-(1-adamantyl)-1,2,4-triazole-3-thiols. Drug Des. Devel. Ther. 2014, 8, 505–518. [Google Scholar] [CrossRef]
  40. Plech, T.; Wujec, M.; Majewska, M.; Kosikowska, U.; Malm, A. Microbiologically active Mannich bases derived from 1,2,4-triazoles. The effect of C-5 substituent on antibacterial activity. Med. Chem. Res. 2013, 22, 2531–2537. [Google Scholar] [CrossRef]
  41. Popiołek, Ł.; Rzymowska, J.; Kosikowska, U.; Hordyjewska, A.; Wujec, M.; Malm, A. Synthesis, antiproliferative and antimicrobial activity of new Mannich bases bearing 1,2,4-triazole moiety. J. Enzyme Inhib. Med. Chem. 2014, 29, 786–795. [Google Scholar] [CrossRef] [PubMed][Green Version]
  42. Milošev, M.Z.; Jakovljević, K.; Joksović, M.D.; Stanojković, T.; Matić, I.Z.; Perović, M.; Tešić, V.; Kanazir, S.; Mladenović, M.; Rodić, M.V.; et al. Mannich bases of 1,2,4-triazole-3-thione containing adamantane moiety: Synthesis, preliminary anticancer evaluation, and molecular modeling studies. Chem. Biol. Drug Des. 2017, 89, 943–952. [Google Scholar] [CrossRef] [PubMed]
  43. Albelwi, F.F.; Teleb, M.; Abu-Serie, M.M.; Moaty, M.N.A.A.; Alsubaie, M.S.; Zakaria, M.A.; El Kilany, Y.; Aouad, M.R.; Hagar, M.; Rezki, N. Halting tumor progression via novel non-hydroxamate triazole-based Mannich bases mmp-2/9 inhibitors; design, microwave-assisted synthesis, and biological evaluation. Int. J. Mol. Sci. 2021, 22, 10324. [Google Scholar] [CrossRef]
  44. Al-Wahaibi, L.H.; Karthikeyan, S.; Blacque, O.; El-Masry, A.A.; Hassan, H.M.; Percino, M.J.; El-Emam, A.A.; Thamotharan, S. Structural and energetic properties of weak noncovalent interactions in two closely related 3,6-disubstituted-[1,2,4]triazolo[3,4-b][1,3,4]thiadiazole derivatives: In vitro cyclooxygenase activity, crystallography, and computational investigations. ACS Omega 2022, 7, 34506–34520. [Google Scholar] [CrossRef] [PubMed]
  45. Al-Wahaibi, L.H.; Akilandeswari, G.; Anusha, R.; Al-Shaalan, N.H.; Alkmali, O.M.; El-Emam, A.A.; Percino, J.M.; Thamotharan, S. Insights into the nature of weak noncovalent interactions in 3-(4-fluorophenyl)-6-(2-fluorophenyl)-1,2,4-triazolo[3,4-b][1,3,4]thiadiazole, a potential bioactive agent: X-ray, QTAIM and molecular docking analysis. J. Mol. Struct. 2019, 1183, 331–341. [Google Scholar] [CrossRef]
  46. Murray, P.R.; Baron, E.J.; Pfaller, M.A.; Tenover, F.C.; Yolken, R.H. Manual of Clinical Microbiology; Wood, G.L., Washington, J.A., Eds.; American Society for Microbiology: Washington, DC, USA, 1995. [Google Scholar]
  47. Wiegand, I.; Hilpert, K.; Hancock, R.E. Agar and broth dilution methods to determine the minimal inhibitory concentration (MIC) of antimicrobial substances. Nat. Protoc. 2008, 3, 163–175. [Google Scholar] [CrossRef]
  48. Andrews, J.M. Determination of minimum inhibitory concentrations. J. Antimicrob. Chemother. 2001, 48, 5–16. [Google Scholar] [CrossRef]
  49. French, G.L. Bactericidal agents in the treatment of MRSA infections—The potential role of daptomycin. J. Antimicrob. Chemother. 2006, 58, 1107–1117. [Google Scholar] [CrossRef]
  50. Mosmann, T. Rapid colorimetric assay for cellular growth and survival: Application to proliferation and cytotoxicity assays. J. Immunol. Methods 1983, 65, 55–63. [Google Scholar] [CrossRef]
  51. Berridge, M.V.; Tan, A.S. Characterisation of the cellular reduction of 3-(4,5-dimethylthiazol-2-yl)-2,5-diphenyltetrazolium bromide (MTT): Subcellular localization, substrate dependence, and involvement of mitochondrial electron transport in MTT reduction. Arch. Biochem. Biophys. 1993, 303, 474–482. [Google Scholar] [CrossRef]
  52. Tacar, O.; Sriamornsak, P.; Dass, C.R. Doxorubicin: An update on anticancer molecular action, toxicity and novel drug delivery systems. J. Pharm. Pharmacol. 2013, 65, 157–170. [Google Scholar] [CrossRef] [PubMed]
  53. Eberhardt, J.; Santos-Martins, D.; Tillack, A.F.; Forli, S. AutoDock Vina 1.2.0: New docking methods, expanded force field, and python bindings. J. Chem. Inf. Model. 2021, 61, 3891–3898. [Google Scholar] [CrossRef] [PubMed]
  54. Trott, O.; Olson, A.J. AutoDock Vina: Improving the speed and accuracy ofdocking with a new scoring function, efficientoptimization, and multithreading. J. Comput. Chem. 2010, 31, 455–461. [Google Scholar] [CrossRef] [PubMed]
  55. Liu, Y.; Yang, X.; Gan, J.; Chen, S.; Xiao, Z.X.; Cao, Y. CB-Dock2: Improved protein-ligand blind docking by integrating cavity detection, docking and homologous template fitting. Nucleic Acids Res. 2022, 50, W159–W164. [Google Scholar] [CrossRef] [PubMed]
  56. Adasme, M.F.; Linnemann, K.L.; Bolz, S.N.; Kaiser, F.; Salentin, S.; Haupt, V.J.; Schroeder, M. PLIP 2021: Expanding the scope of the protein-ligand interaction profiler to DNA and RNA. Nucleic Acids Res. 2021, 49, W530–W534. [Google Scholar] [CrossRef]
  57. Dunbar, K.L.; Perlatti, B.; Liu, N.; Cornelius, A.; Mummau, D.; Chiang, Y.M.; Hon, L.; Nimavat, M.; Pallas, J.; Kordes, S.; et al. Resistance gene-guided genome mining reveals the roseopurpurins as inhibitors of cyclin-dependent kinases. Proc. Natl. Acad. Sci. USA 2023, 120, 2310522120. [Google Scholar] [CrossRef]
  58. Vasil’eva, E.B.; Sevenard, D.V.; Khomutov, O.G.; Kuznetsova, O.A.; Karpenko, N.S.; Filyakova, V.I. Synthesis of trifluoroalkyl- and fluoroaryl-substituted 4,5-dihydro-1H-1,2,4-triazole-5-thiones. Russ. J. Org. Chem. 2004, 40, 874–878. [Google Scholar] [CrossRef]
  59. Dolomanov, O.V.; Bourhis, L.J.; Gildea, R.J.; Howard, J.A.K.; Puschmann, H. OLEX2: A complete structure solution, refinement and analysis program. J. Appl. Crystallogr. 2009, 42, 339–341. [Google Scholar] [CrossRef]
  60. Sheldrick, G.M. SHELXT—Integrated space-group and crystal-structure determination. Acta Crystallogr. Sect. A 2015, 71, 3–8. [Google Scholar] [CrossRef]
  61. Sheldrick, G.M. Crystal structure refinement with SHELXL. Acta Crystallogr. Sect. C 2015, 71, 3–8. [Google Scholar] [CrossRef]
Figure 1. The structures of currently used 1,2,4-triazole-based chemotherapeutic drugs.
Figure 1. The structures of currently used 1,2,4-triazole-based chemotherapeutic drugs.
Pharmaceuticals 17 01123 g001
Figure 2. The structures of currently used thiophene-based chemotherapeutic agents.
Figure 2. The structures of currently used thiophene-based chemotherapeutic agents.
Pharmaceuticals 17 01123 g002
Scheme 1. Synthesis of compounds 5ae.
Scheme 1. Synthesis of compounds 5ae.
Pharmaceuticals 17 01123 sch001
Scheme 2. Synthesis of compounds 6ae, 7ad, 8, 9, 10a and 10b.
Scheme 2. Synthesis of compounds 6ae, 7ad, 8, 9, 10a and 10b.
Pharmaceuticals 17 01123 sch002
Figure 3. ORTEP representation of (a) compound 5a, (b) compound 5b with atom-labeling scheme and (c) structural overlay of compounds 5a and 5b with respect to the triazole ring.
Figure 3. ORTEP representation of (a) compound 5a, (b) compound 5b with atom-labeling scheme and (c) structural overlay of compounds 5a and 5b with respect to the triazole ring.
Pharmaceuticals 17 01123 g003
Figure 4. Ladder-like supramolecular architecture observed in compounds 5a (a) and 5b (b), and a supramolecular sheet is formed by intermolecular N–H···S, C–H···F and a chalcogen bond (C–S···S) in 5a (c) and by N–H···S, C–H···F/C and a chalcogen bond (C–S···S) in 5b (d).
Figure 4. Ladder-like supramolecular architecture observed in compounds 5a (a) and 5b (b), and a supramolecular sheet is formed by intermolecular N–H···S, C–H···F and a chalcogen bond (C–S···S) in 5a (c) and by N–H···S, C–H···F/C and a chalcogen bond (C–S···S) in 5b (d).
Pharmaceuticals 17 01123 g004
Figure 5. (a) Alternate  R 2 2 (12)-   R 4 2 (10)- R 2 2 (12) motifs in compound 5a generated by three-centered C–H···N interactions, (b R 2 2 (12) motif in compound 5b generated by intermolecular C–H···N interactions and (c) supramolecular chain is formed by a halogen bond (Br···F).
Figure 5. (a) Alternate  R 2 2 (12)-   R 4 2 (10)- R 2 2 (12) motifs in compound 5a generated by three-centered C–H···N interactions, (b R 2 2 (12) motif in compound 5b generated by intermolecular C–H···N interactions and (c) supramolecular chain is formed by a halogen bond (Br···F).
Pharmaceuticals 17 01123 g005
Figure 6. ORTEP representation of compound 6a showing the independent view of molecules A and B in the asymmetric unit. (a) Major disordered component of molecule A, (b) minor disordered component of molecule A, (c) major disordered component of molecule B, and (d) minor disordered component of molecule B.
Figure 6. ORTEP representation of compound 6a showing the independent view of molecules A and B in the asymmetric unit. (a) Major disordered component of molecule A, (b) minor disordered component of molecule A, (c) major disordered component of molecule B, and (d) minor disordered component of molecule B.
Pharmaceuticals 17 01123 g006
Figure 7. (a) Crystal packing of compound 6a (molecule A: grey and molecule B: green), (b) a supramolecular chain is formed by C–H···S/π and S···C short contact in molecules of A, (c) a supramolecular chain is formed by C–H···S/π and S···C short contact in molecules of B, (d) a basic structural motif is formed by intermolecular C–H···S/F interactions, and (e) molecules of A and B held together by an intermolecular C–H···F interaction.
Figure 7. (a) Crystal packing of compound 6a (molecule A: grey and molecule B: green), (b) a supramolecular chain is formed by C–H···S/π and S···C short contact in molecules of A, (c) a supramolecular chain is formed by C–H···S/π and S···C short contact in molecules of B, (d) a basic structural motif is formed by intermolecular C–H···S/F interactions, and (e) molecules of A and B held together by an intermolecular C–H···F interaction.
Pharmaceuticals 17 01123 g007
Figure 8. (a) ORTEP representation of compound 6d (a) major disordered component and (b) minor disordered component, (c) columnar packing of 6a along the crystallographic ac plane, (d) molecular dimer of 6d stabilizes with O(lp)···C(π) contacts, (e) supramolecular chain formed by Br···F halogen bond and (f) molecular dimer mediated by intermolecular C–H···S/F interactions.
Figure 8. (a) ORTEP representation of compound 6d (a) major disordered component and (b) minor disordered component, (c) columnar packing of 6a along the crystallographic ac plane, (d) molecular dimer of 6d stabilizes with O(lp)···C(π) contacts, (e) supramolecular chain formed by Br···F halogen bond and (f) molecular dimer mediated by intermolecular C–H···S/F interactions.
Pharmaceuticals 17 01123 g008
Figure 9. ORTEP representation of compound 10a (a) major disordered component and (b) minor disordered component, and (c) columnar packing of 10a along the crystallographic ac plane.
Figure 9. ORTEP representation of compound 10a (a) major disordered component and (b) minor disordered component, and (c) columnar packing of 10a along the crystallographic ac plane.
Pharmaceuticals 17 01123 g009
Figure 10. (a) A supramolecular chain is formed by C–H···F/N and a chalcogen bond in compound 10a, (b) chalcogen bond generates a molecular dimer and (c) a molecular dimer stabilizes with C–H···S/F interactions.
Figure 10. (a) A supramolecular chain is formed by C–H···F/N and a chalcogen bond in compound 10a, (b) chalcogen bond generates a molecular dimer and (c) a molecular dimer stabilizes with C–H···S/F interactions.
Pharmaceuticals 17 01123 g010
Figure 11. (a) Predicted orientations of control and selected title triazole-3-thione derivatives at the active sites of the DNA gyrase subunit B; intermolecular interactions are established between active site residues and (b) 5e, (c) 6b, (d) 6d, (e) 7a and (f) 7d.
Figure 11. (a) Predicted orientations of control and selected title triazole-3-thione derivatives at the active sites of the DNA gyrase subunit B; intermolecular interactions are established between active site residues and (b) 5e, (c) 6b, (d) 6d, (e) 7a and (f) 7d.
Pharmaceuticals 17 01123 g011
Figure 12. (a) Predicted orientations of control and select title triazole-3-thione derivatives at the active sites of the cyclin-dependent kinase 2 (CDK2); intermolecular interactions are established between the active site residues and (b) 6d, (c) 6e and (d) 7d.
Figure 12. (a) Predicted orientations of control and select title triazole-3-thione derivatives at the active sites of the cyclin-dependent kinase 2 (CDK2); intermolecular interactions are established between the active site residues and (b) 6d, (c) 6e and (d) 7d.
Pharmaceuticals 17 01123 g012
Table 1. Crystallization solvents, melting points, yield percentages, molecular formulae and molecular weights of compounds 5ae, 6ae, 7ad, 8, 9, 10a and 10b.
Table 1. Crystallization solvents, melting points, yield percentages, molecular formulae and molecular weights of compounds 5ae, 6ae, 7ad, 8, 9, 10a and 10b.
Pharmaceuticals 17 01123 i001
Compound No.XYRCryst. Solv.M.p. (°C)Yield (%) Mol. Formula (Mol. Wt.)
5aH4-F-EtOH176–17872C12H8FN3S2 (277.34)
5bH2-Br,4-F-EtOH256–25881C12H7BrFN3S2 (356.23)
5cBr3-Cl-EtOH187–18975C12H7BrClN3S2 (372.68)
5dBr4-Cl-EtOH193–19582C12H7BrClN3S2 (372.68)
5eBr4-Br-EtOH222–22489C12H7Br2N3S2 (417.14)
6aHCH2-EtOH/H2O174–17680C18H19FN4S2 (374.50)
6bHO-EtOH/H2O191–19372C17H17FN4OS2 (376.47)
6cHS-EtOH185–18776C17H17FN4S3 (392.53)
6dBrO-EtOH/H2O200–20278C17H16BrFN4OS2 (455.36)
6eBrS-EtOH180–18280C17H16BrFN4S3 (471.43)
7aH-CH3EtOH/H2O132–13464C18H20FN5S2 (389.51)
7bH-C6H5EtOH174–17582C23H22FN5S2 (451.58)
7cBr-C6H5EtOH/H2O188–19086C23H21BrFN5S2 (530.48)
7dBr-2-CH3OC6H4EtOH/H2O192–19490C24H23BrFN5OS2 (560.50)
8---EtOH169–17175C24H23FN4S2 (450.59)
9---EtOH191–19368C22H19FN4S2 (422.54)
10a--CH3EtOH162–16482C20H17FN4S2 (396.50)
10b--CH2C6H5EtOH183–18566C26H21FN4S2 (472.60)
Table 2. Intermolecular interaction geometry (Å, °) in compounds 5a and 5b.
Table 2. Intermolecular interaction geometry (Å, °) in compounds 5a and 5b.
D–H···AD–HH···AD···A∠D–H···ASymmetry
Compound 5a
N2–H2A···S10.83 (3)2.49 (3)3.3049 (19)170 (3)1 − x, 2 − y, −z
C1–H1···N30.932.593.482 (3)1621 − x, 1 − y, −z
C2–H2···N30.932.633.446 (3)147−1 + x, y, z
C10–H10···F10.932.393.103 (3)133−x, 1 − y, 1 − z
C9–S2···S1 3.4775 (9)142.66 (9)−1 + x, 1 + y, z
Compound 5b
N2–H2A···S10.83 (4)2.44 (4)3.264 (2)173 (4)2 − x, 1 − y, −z
C5–H5···N30.952.593.397 (4)1431 − x. 1 − y, −z
C10–H10···F10.952.643.060 (4)1071 − x, 2 − y, 1 − z
C1–Br1···F1 3.305 (2)157.63 (11)x, −1 + y, z
C12–H12···C50.952.863.801 (2)174−1 + x, −1 + y, −z
C7–S2···S1 3.339 (1)166.37 (11)−1 + x, −1 + y, −z
Table 3. Intermolecular interaction geometry (Å, °) in compounds 6a, 6d and 10a. Cg1: centroid of the thiophene ring (major disordered component; molecule A of 6a. Cg2: centroid of the thiophene ring (major disordered component; molecule B of 6a, Cg3: centroid of the F-substituted phenyl ring.
Table 3. Intermolecular interaction geometry (Å, °) in compounds 6a, 6d and 10a. Cg1: centroid of the thiophene ring (major disordered component; molecule A of 6a. Cg2: centroid of the thiophene ring (major disordered component; molecule B of 6a, Cg3: centroid of the F-substituted phenyl ring.
D–H···AD–HH···AD···A∠D–H···ASymmetry
Compound 6a
C12–H12···S20.952.833.748 (4)1631 + x, y, z
S1A···C2 3.374 (5) 1 + x, y, z
C8–H8···Cg10.952.703.565 (4)1.52−1 + x, y, z
C29–H29···S40.952.873.738 (4)1521 − x, 2 − y, −z
C34–H34A···F20.992.593.480 (3)1491 − x, 2 − y, −z
C27–H27···F10.952.453.347 (4)1581 + x, 1 + y, z
C26–H26···Cg20.952.603.479 (4)155−1 + x, 1 + y, z
Compound 6d
O1···C1 3.207 (6) 1 − x, 1 − y, 1 – z
C12–Br1···F1 3.209 (2)146.19 (15)−x, ½ + y, 3/2 – z
C9–H9···S10.932.963.736 (2)142x, ½ − y, −½ + z
C3A–H3A···F10.932.653.401 (2)138−1 + x, −1 + y, −z
C12–H12···C50.952.863.801 (2)174−1 + x, −1 + y, −z
C7–S2···S1 3.339 (1)166.37 (11)−1 + x, −1 + y, −z
Compound 10a
C2–S1···Cg3 3.8074 (9)159.49 (6)1 − x, 1 − y, −z
C3A–H3A···F10.952.523.247 (12)133−x, −y, −z
C17–H17···N20.952.713.637 (2)1651 − x, ½ + y, ½ − z
C5–S2A···C17 3.3782 (19)166.92 (8)1 − x, ½ + y, ½ − z
C11–H11···S10.952.973.853 (2)1561 − x, −y, −z
C14–H14A···F10.982.563.398 (2)1431 − x, −y, −z
Cg1: centroid of the thiophene ring (major disordered component; molecule A of 6a. Cg2: centroid of the thiophene ring (major disordered component; molecule B of 6a, Cg3: centroid of the F-substituted phenyl ring).
Table 4. In vitro activity of compounds 5ae, 6ae, 7ad, 8, 9, 10a and 10b (200 μg/8 mm disc); the broad-spectrum antibacterial drugs Ampicillin trihydrate and Ciprofloxacin and the antifungal drug Fluconazole (100 μg/8 mm disc) against Staphylococcus aureus IFO 3060 (SA), Bacillus subtilis IFO 3007 (BS) and Micrococcus luteus IFO 3232 (ML); the Gram-negative bacterial strains Escherichia coli IFO 3301 (EC) and Pseudomonas aeuroginosa IFO 3448 (PA) and the standard fungi Candida albicans IFO 0583 (CA), Aspergillus oryzae IFO 4177 (AO) and Aspergillus niger IFO 4414 (AN).
Table 4. In vitro activity of compounds 5ae, 6ae, 7ad, 8, 9, 10a and 10b (200 μg/8 mm disc); the broad-spectrum antibacterial drugs Ampicillin trihydrate and Ciprofloxacin and the antifungal drug Fluconazole (100 μg/8 mm disc) against Staphylococcus aureus IFO 3060 (SA), Bacillus subtilis IFO 3007 (BS) and Micrococcus luteus IFO 3232 (ML); the Gram-negative bacterial strains Escherichia coli IFO 3301 (EC) and Pseudomonas aeuroginosa IFO 3448 (PA) and the standard fungi Candida albicans IFO 0583 (CA), Aspergillus oryzae IFO 4177 (AO) and Aspergillus niger IFO 4414 (AN).
Pharmaceuticals 17 01123 i002
CompoundDiameter of Inhibition Zone (mm) a
XYRSABSMLECPACAAOAN
5aH4-F-2432-1811---
5bH2-Br,4-F-1528102015---
5cBr3-Cl-1211------
5dBr4-Cl-1414------
5eBr4-Br-28341518----
6aHCH2-1820-18-12--
6bHO-2825-2012---
6cHS-2118-14----
6dBrO-28341518----
6eBrS-26321722----
7aH-CH33527-221612--
7bH-C6H52022-17----
7cBr-C6H5202215-----
7dBr-2-CH3OC6H43036201817---
8---1822-18----
9---2228-16----
10a--CH32024------
10b--CH2C6H51620-15----
Ampicillin trihydrate2830252422NTNTNT
Ciprofloxacin3438323836NTNTNT
FluconazoleNTNTNTNTNT212224
a (-): Inactive (inhibition zone < 10 mm), (NT): Not tested.
Table 5. The minimal inhibitory concentrations (MIC) and minimal bactericidal concentrations (MBC) of compounds 5a, 5b, 5e, 6be, 7ad, 8, 9 and 10a in comparison with the broad-spectrum antibacterial drugs Ampicillin trihydrate and Ciprofloxacin against the Gram-positive bacteria Staphylococcus aureus IFO 3060 (SA) and Bacillus subtilis IFO 3007 (BS) and the Gram-negative bacterial strain Escherichia coli IFO 3301 (EC).
Table 5. The minimal inhibitory concentrations (MIC) and minimal bactericidal concentrations (MBC) of compounds 5a, 5b, 5e, 6be, 7ad, 8, 9 and 10a in comparison with the broad-spectrum antibacterial drugs Ampicillin trihydrate and Ciprofloxacin against the Gram-positive bacteria Staphylococcus aureus IFO 3060 (SA) and Bacillus subtilis IFO 3007 (BS) and the Gram-negative bacterial strain Escherichia coli IFO 3301 (EC).
Comp. No.MIC/MBC (μg/mL)
SABSEC
5a4.0/8.51.0/1.8ND
5bND3.0/4.8ND
5e3.2/5.43.5/5.2ND
6b3.8/7.21.2/2.5ND
6c5.0/8.6NDND
6d2.0/3.83.4/6.2ND
6e4.8/8.23.4/5.224.0/68.2
7a3.2/6.04.2/7.222.4/78.0
7bND16.0/48.0ND
7cND18.5/64.0ND
7d2.1/3.81.0/2.1ND
8ND18.2/32.0ND
918.0/36.28.2/24.0ND
10aND12.4/22.6ND
Ampicillin trihydrate2.0/3.51.0/3.0ND
Ciprofloxacin0.75/1.50.5/1.00.25/1.0
ND: Not determined.
Table 6. In vitro anti-proliferative activity of the tested compounds 5ae, 6ae, 7ae, 8, 9, 10a and 10b and Doxorubicin expressed as IC50 values against HePG-2, MCF-7, PC-3 and HCT-116 cancer cell lines.
Table 6. In vitro anti-proliferative activity of the tested compounds 5ae, 6ae, 7ae, 8, 9, 10a and 10b and Doxorubicin expressed as IC50 values against HePG-2, MCF-7, PC-3 and HCT-116 cancer cell lines.
Comp.
No.
IC50 (µM) 1
HePG-2MCF-7PC-3HCT-116
5a42.23 ± 4.080.22 ± 10.068.82 ± 4.884.11 ± 729
5b49.20 ± 3.4>10088.82 ± 4.0>100
5c69.0 ± 7.2>100>100>100
5d92.02 ± 10.0>100>100>100
5e19.24 ± 1.430.30 ± 3.652.66 ± 4.146.10 ± 2.2
6a22.02 ± 1.450.24 ± 4.446.50 ± 4.886.11 ± 5.8
6b10.12 ± 1.128.16 ± 2.233.42 ± 2.568.06 ± 3.6
6c12.66 ± 1.324.20 ± 2.628.18 ± 1.554.20 ± 3.9
6d6.80 ± 0.19.58 ± 6.028.56 ± 2.138.18 ± 2.9
6e8.62 ± 0.629.56 ± 3.644.20 ± 3.969.28 ± 5.4
7a12.20 ± 0.1619.20 ± 1.640.60 ± 3.356.44 ± 3.6
7b14.42 ± 0.1816.68 ± 1.552.28 ± 4.344.0 ± 2.8
7c8.86 ± 0.128.88 ± 3.228.88 ± 1.639.14 ± 2.6
7d6.60 ± 0.46.40 ± 1.827.06 ± 1.928.82 ± 1.4
854.06 ± 4.489.16 ± 7.4>100>100
979.16 ± 3.6>100>100>100
10a20.02 ± 1.632.18 ± 4.056.4 ± 3.5>100
10b66.04 ± 5.2>100>100>100
Doxorubicin4.50 ± 0.24.17 ± 0.28.87 ± 0.65.23 ± 0.3
1 IC50 values presented as the mean ± SD of three separate determinations.
Table 7. Docking score of compounds 5e, 6b, 6d, 7a, 7d and co-crystallized ligand B38.
Table 7. Docking score of compounds 5e, 6b, 6d, 7a, 7d and co-crystallized ligand B38.
CompoundDocking Score (kcal mol−1)
5e−6.5
6b−5.7
6d−6.0
7a−6.7
7d−7.8
B38−6.4
Table 8. Docking score of compounds 6d, 6e and 7d and co-crystallized ligand W5W.
Table 8. Docking score of compounds 6d, 6e and 7d and co-crystallized ligand W5W.
CompoundDocking Score (kcal mol−1)
6d−7.6
6e−7.3
7d−7.6
W5W−5.6
Disclaimer/Publisher’s Note: The statements, opinions and data contained in all publications are solely those of the individual author(s) and contributor(s) and not of MDPI and/or the editor(s). MDPI and/or the editor(s) disclaim responsibility for any injury to people or property resulting from any ideas, methods, instructions or products referred to in the content.

Share and Cite

MDPI and ACS Style

El-Emam, N.A.; El-Ashmawy, M.B.; Mohamed, A.A.B.; Habib, E.-S.E.; Thamotharan, S.; Abdelbaky, M.S.M.; Garcia-Granda, S.; Moustafa, M.A.A. Thiophene-Linked 1,2,4-Triazoles: Synthesis, Structural Insights and Antimicrobial and Chemotherapeutic Profiles. Pharmaceuticals 2024, 17, 1123. https://doi.org/10.3390/ph17091123

AMA Style

El-Emam NA, El-Ashmawy MB, Mohamed AAB, Habib E-SE, Thamotharan S, Abdelbaky MSM, Garcia-Granda S, Moustafa MAA. Thiophene-Linked 1,2,4-Triazoles: Synthesis, Structural Insights and Antimicrobial and Chemotherapeutic Profiles. Pharmaceuticals. 2024; 17(9):1123. https://doi.org/10.3390/ph17091123

Chicago/Turabian Style

El-Emam, Nada A., Mahmoud B. El-Ashmawy, Ahmed A. B. Mohamed, El-Sayed E. Habib, Subbiah Thamotharan, Mohammed S. M. Abdelbaky, Santiago Garcia-Granda, and Mohamed A. A. Moustafa. 2024. "Thiophene-Linked 1,2,4-Triazoles: Synthesis, Structural Insights and Antimicrobial and Chemotherapeutic Profiles" Pharmaceuticals 17, no. 9: 1123. https://doi.org/10.3390/ph17091123

APA Style

El-Emam, N. A., El-Ashmawy, M. B., Mohamed, A. A. B., Habib, E.-S. E., Thamotharan, S., Abdelbaky, M. S. M., Garcia-Granda, S., & Moustafa, M. A. A. (2024). Thiophene-Linked 1,2,4-Triazoles: Synthesis, Structural Insights and Antimicrobial and Chemotherapeutic Profiles. Pharmaceuticals, 17(9), 1123. https://doi.org/10.3390/ph17091123

Note that from the first issue of 2016, this journal uses article numbers instead of page numbers. See further details here.

Article Metrics

Back to TopTop