Vitamin E Improves Cellular and Structural Bone Histomorphometry in an Alcohol-Induced Osteoporosis Rat Model
Abstract
1. Introduction
2. Results and Discussion
2.1. Results
2.1.1. Cellular Bone Histomorphometry
Osteoblast Surface/Bone Surface % (Ob.S/BS %)
Osteoclast Surface/Bone Surface % (Oc.S/BS %)
Eroded Surface/Bone Surface % (ES/BS %)
Osteoid Surface/Bone Surface % (OS/BS %)
Osteoid Volume/Bone Volume % (OV/BV %)
2.1.2. Structural Bone Histomorphometry
Trabecular Thickness (Tb.Th), Bone Volume/Total Volume (BV/TV) and Trabecular Number (Tb.N)
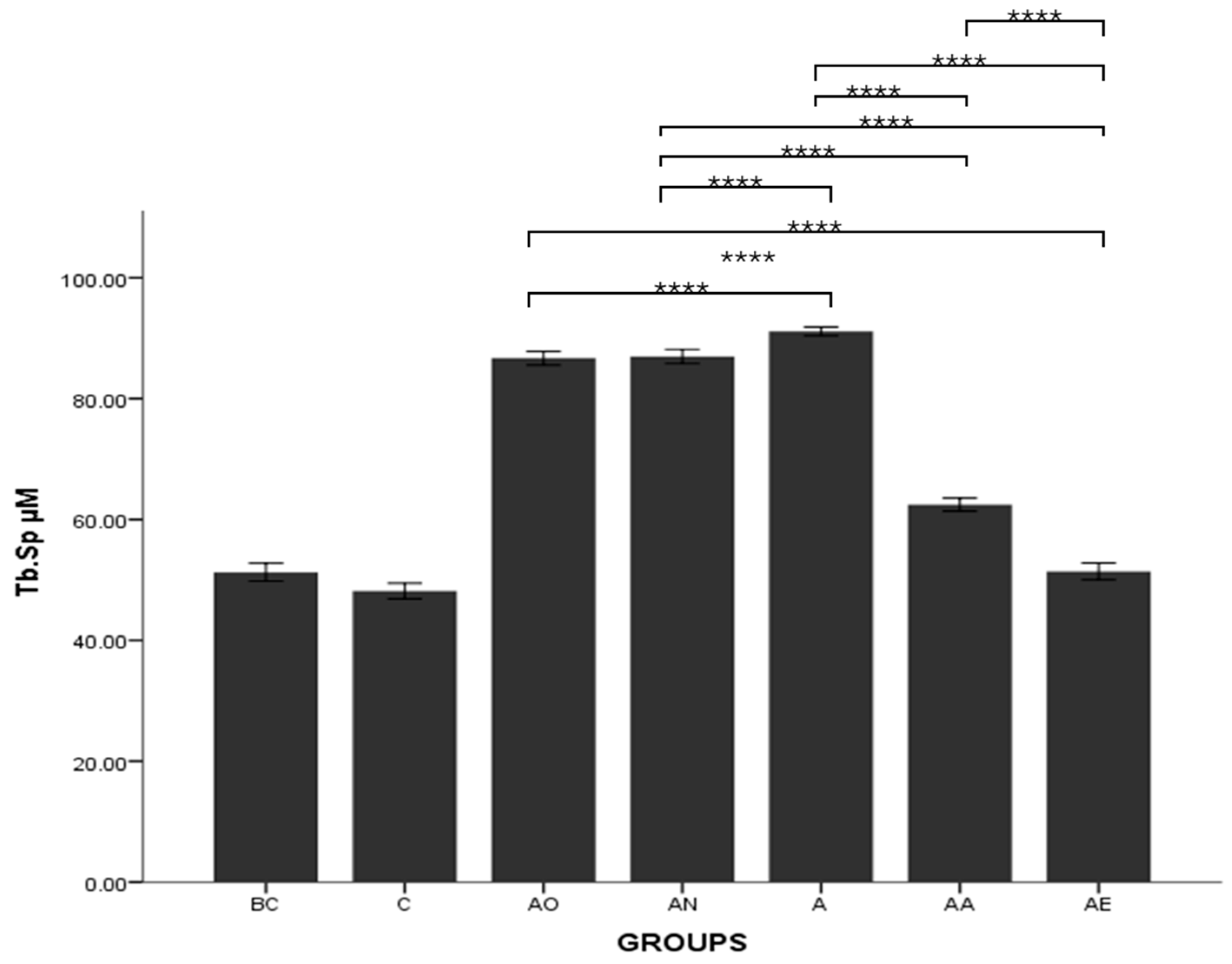
Trabecular Separation (Tb.Sp)
2.2. Discussion
3. Materials and Methods
3.1. Animal Experiments
3.2. Experimental Design
3.3. Binge Alcohol Model
3.4. Vitamin E Supplementation
3.5. Bone Histomorphometry
3.6. Statistical Analysis
4. Conclusions
Author Contributions
Funding
Institutional Review Board Statement
Informed Consent Statement
Data Availability Statement
Acknowledgments
Conflicts of Interest
References
- Khiyali, Z.; Rashedi, V.; Tavacol, Z.; Dehghan, A.; Bijani, M. Smoking, alcohol consumption, drug abuse, and osteoporosis among older adults: A cross-sectional study on PERSIAN cohort study in Fasa. BMC Geriatr. 2024, 24, 80. [Google Scholar] [CrossRef] [PubMed]
- Lai, B.; Jiang, H.; Gao, R.; Zhou, X. Association between alcohol intake and bone mineral density: Results from the NHANES 2005–2020 and two-sample Mendelian randomization. Arch. Osteoporos. 2024, 19, 21. [Google Scholar] [CrossRef] [PubMed]
- Godos, J.; Giampieri, F.; Chisari, E.; Micek, A.; Paladino, N.; Forbes-Hernández, T.Y.; Quiles, J.L.; Battino, M.; La Vignera, S.; Musumeci, G.; et al. Alcohol Consumption, Bone Mineral Density, and Risk of Osteoporotic Fractures: A Dose–Response Meta-Analysis. Int. J. Environ. Res. Public Health 2022, 19, 1515. [Google Scholar] [CrossRef]
- Eby, J.M.; Sharieh, F.; Callaci, J.J. Impact of alcohol on bone health, homeostasis, and fracture repair. Curr. Pathobiol. Rep. 2020, 8, 75–86. [Google Scholar] [CrossRef]
- Alarkawi, D.; Bliuc, D.; Tran, T.; Ahmed, L.A.; Emaus, N.; Bjørnerem, A.; Jørgensen, L.; Christoffersen, T.; Eisman, J.; Center, J. Impact of osteoporotic fracture type and subsequent fracture on mortality: The Tromsø Study. Osteoporos. Int. 2020, 31, 119–130. [Google Scholar] [CrossRef]
- Patrick, M.E.; Terry-McElrath, Y.M.; Evans-Polce, R.J.; Schulenberg, J.E. Negative alcohol-related consequences experienced by young adults in the past 12 months: Differences by college attendance, living situation, binge drinking, and sex. Addict. Behav. 2020, 105, 106320. [Google Scholar] [CrossRef] [PubMed]
- World Health Organization (WHO). Global Status Report on Alcohol and Health and Treatment of Substance Use Disorders; WHO: Geneva, Switzerland, 2024. [Google Scholar]
- Chevalley, T.; Rizzoli, R. Acquisition of peak bone mass. Best Pract. Res. Clin. Endocrinol. Metab. 2022, 36, 101616. [Google Scholar] [CrossRef]
- Hyun, J.; Han, J.; Lee, C.; Yoon, M.; Jung, Y. Pathophysiological Aspects of Alcohol Metabolism in the Liver. Int. J. Mol. Sci. 2021, 22, 5717. [Google Scholar] [CrossRef]
- Liu, S.-Y.; Tsai, I.-T.; Hsu, Y.-C. Alcohol-Related Liver Disease: Basic Mechanisms and Clinical Perspectives. Int. J. Mol. Sci. 2021, 22, 5170. [Google Scholar] [CrossRef] [PubMed]
- Syed Hashim, S.A.; Naina Mohamed, I.; Mohamed, N. The Effects of Acute and Chronic Alcohol Administration and Withdrawal on Bone Microstructure, Mechanical Strength, and Remodeling Protein Expression and Their Relation to an Antioxidant and FGF23 In Vivo. Biomedicines 2024, 12, 1515. [Google Scholar] [CrossRef]
- Chen, K.; Liu, Y.; He, J.; Pavlos, N.; Wang, C.; Kenny, J.; Yuan, J.; Zhang, Q.; Xu, J.; He, W. Steroid-induced osteonecrosis of the femoral head reveals enhanced reactive oxygen species and hyperactive osteoclasts. Int. J. Biol. Sci. 2020, 16, 1888–1900. [Google Scholar] [CrossRef] [PubMed]
- Sharieh, F.; Eby, J.M.; Roper, P.M.; Callaci, J.J. Ethanol Inhibits Mesenchymal Stem Cell Osteochondral Lineage Differentiation Due in Part to an Activation of Forkhead Box Protein O-Specific Signaling. Alcohol. Clin. Exp. Res. 2020, 44, 1204–1213. [Google Scholar] [CrossRef]
- Chen, Y.-X.; Zhu, D.-Y.; Yin, J.-H.; Yin, W.-J.; Zhang, Y.-L.; Ding, H.; Yu, X.-W.; Mei, J.; Gao, Y.-S.; Zhang, C.-Q. The protective effect of PFTα on alcohol-induced osteonecrosis of the femoral head. Oncotarget 2017, 8, 100691. [Google Scholar] [CrossRef] [PubMed]
- Szewczyk, K.; Chojnacka, A.; Górnicka, M. Tocopherols and tocotrienols—Bioactive dietary compounds; what is certain, what is doubt? Int. J. Mol. Sci. 2021, 22, 6222. [Google Scholar] [CrossRef]
- Jiang, Q. Metabolism of natural forms of vitamin E and biological actions of vitamin E metabolites. Free Radic. Biol. Med. 2022, 179, 375–387. [Google Scholar] [CrossRef] [PubMed]
- Romer, J.; Gutbrod, K.; Schuppener, A.; Melzer, M.; Müller-Schüssele, S.J.; Meyer, A.J.; Dörmann, P. Tocopherol and phylloquinone biosynthesis in chloroplasts requires the phytol kinase VITAMIN E PATHWAY GENE5 (VTE5) and the farnesol kinase (FOLK). Plant Cell 2023, 36, 1140–1158. [Google Scholar] [CrossRef] [PubMed]
- Reddy, V.D.; Padmavathi, P.; Bulle, S.; Hebbani, A.V.; Marthadu, S.B.; Venugopalacharyulu, N.C.; Maturu, P.; Varadacharyulu, N.C. Association between alcohol-induced oxidative stress and membrane properties in synaptosomes: A protective role of vitamin E. Neurotoxicol. Teratol. 2017, 63, 60–65. [Google Scholar] [CrossRef] [PubMed]
- Miyazawa, T.; Burdeos, G.C.; Itaya, M.; Nakagawa, K.; Miyazawa, T. Vitamin E: Regulatory Redox Interactions. IUBMB Life 2019, 71, 430–441. [Google Scholar] [CrossRef]
- Zaaboul, F.; Liu, Y. Vitamin E in foodstuff: Nutritional, analytical, and food technology aspects. Compr. Rev. Food Sci. Food Saf. 2022, 21, 964–998. [Google Scholar] [CrossRef]
- Montagnani Marelli, M.; Marzagalli, M.; Fontana, F.; Raimondi, M.; Moretti, R.M.; Limonta, P. Anticancer properties of tocotrienols: A review of cellular mechanisms and molecular targets. J. Cell. Physiol. 2019, 234, 1147–1164. [Google Scholar] [CrossRef] [PubMed]
- Bartolini, D.; Marinelli, R.; Giusepponi, D.; Galarini, R.; Barola, C.; Stabile, A.M.; Sebastiani, B.; Paoletti, F.; Betti, M.; Rende, M.; et al. Alpha-Tocopherol Metabolites (The Vitamin E Metabolome) and Their Interindividual Variability during Supplementation. Antioxidants 2021, 10, 173. [Google Scholar] [CrossRef]
- Jiang, Q. Natural forms of vitamin E: Metabolism, antioxidant, and anti-inflammatory activities and their role in disease prevention and therapy. Free Radic. Biol. Med. 2014, 72, 76–90. [Google Scholar] [CrossRef] [PubMed]
- Shen, Y.; Liu, K.; Luo, X.; Cheng, L. The low prevalence rate of vitamin E deficiency in urban adults of Wuhan from central China: Findings from a single-center, cross-sectional study. Eur. J. Med. Res. 2023, 28, 141. [Google Scholar] [CrossRef] [PubMed]
- Wong, S.K.; Mohamad, N.-V.; Ibrahim, N.I.; Chin, K.-Y.; Shuid, A.N.; Ima-Nirwana, S. The Molecular Mechanism of Vitamin E as a Bone-Protecting Agent: A Review on Current Evidence. Int. J. Mol. Sci. 2019, 20, 1453. [Google Scholar] [CrossRef]
- Agidigbi, T.S.; Kim, C. Reactive Oxygen Species in Osteoclast Differentiation and Possible Pharmaceutical Targets of ROS-Mediated Osteoclast Diseases. Int. J. Mol. Sci. 2019, 20, 3576. [Google Scholar] [CrossRef]
- Liao, S.; Omage, S.O.; Börmel, L.; Kluge, S.; Schubert, M.; Wallert, M.; Lorkowski, S. Vitamin E and Metabolic Health: Relevance of Interactions with Other Micronutrients. Antioxidants 2022, 11, 1785. [Google Scholar] [CrossRef] [PubMed]
- Latib, F.; Zafendi, M.A.I.; Mohd Lazaldin, M.A. The use of vitamin E in ocular health: Bridging omics approaches with Tocopherol and Tocotrienol in the management of glaucoma. Food Chem. Mol. Sci. 2024, 9, 100224. [Google Scholar] [CrossRef]
- Howard, A.C.; McNeil, A.K.; McNeil, P.L. Promotion of plasma membrane repair by vitamin E. Nat. Commun. 2011, 2, 597. [Google Scholar] [CrossRef] [PubMed]
- Napolitano, G.; Fasciolo, G.; Di Meo, S.; Venditti, P. Vitamin E Supplementation and Mitochondria in Experimental and Functional Hyperthyroidism: A Mini-Review. Nutrients 2019, 11, 2900. [Google Scholar] [CrossRef]
- Jia, Y.B.; Jiang, D.M.; Ren, Y.Z.; Liang, Z.H.; Zhao, Z.Q.; Wang, Y.X. Inhibitory effects of vitamin E on osteocyte apoptosis and DNA oxidative damage in bone marrow hemopoietic cells at early stage of steroid-induced femoral head necrosis. Mol. Med. Rep. 2017, 15, 1585–1592. [Google Scholar] [CrossRef]
- Chin, K.Y.; Ima-Nirwana, S. The effects of α-tocopherol on bone: A double-edged sword? Nutrients 2014, 6, 1424–1441. [Google Scholar] [CrossRef]
- Fujita, K.; Iwasaki, M.; Ochi, H.; Fukuda, T.; Ma, C.; Miyamoto, T.; Takitani, K.; Negishi-Koga, T.; Sunamura, S.; Kodama, T.; et al. Vitamin E decreases bone mass by stimulating osteoclast fusion. Nat. Med. 2012, 18, 589–594. [Google Scholar] [CrossRef] [PubMed]
- Smith, B.J.; Lucas, E.A.; Turner, R.T.; Evans, G.L.; Lerner, M.R.; Brackett, D.J.; Stoecker, B.J.; Arjmandi, B.H. Vitamin E Provides Protection for Bone in Mature Hindlimb Unloaded Male Rats. Calcif. Tissue Int. 2005, 76, 272–279. [Google Scholar] [CrossRef] [PubMed]
- Miller, E.R., III; Pastor-Barriuso, R.; Dalal, D.; Riemersma, R.A.; Appel, L.J.; Guallar, E. Meta-analysis: High-dosage vitamin E supplementation may increase all-cause mortality. Ann. Intern. Med. 2005, 142, 37–46. [Google Scholar] [CrossRef]
- Abukhadir, S.S.; Mohamed, N.; Makpol, S.; Muhammad, N. Effects of palm vitamin e on bone-formation-related gene expression in nicotine-treated rats. Evid.-Based Complement. Altern. Med. 2012, 2012, 656025. [Google Scholar] [CrossRef]
- Zakaria, S.; Mat-Husain, S.Z.; Ying-Hwey, K.; Xin-Kai, K.; Mohd-Badawi, A.; Abd-Ghani, N.A.; Aziz, M.A.; Mohamed, N. Vitamin E improved bone strength and bone minerals in male rats given alcohol. Iran. J. Basic Med. Sci. 2017, 20, 1360–1367. [Google Scholar]
- Cheraghi, Z.; Doosti-Irani, A.; Almasi-Hashiani, A.; Baigi, V.; Mansournia, N.; Etminan, M.; Mansournia, M.A. The effect of alcohol on osteoporosis: A systematic review and meta-analysis. Drug Alcohol Depend. 2019, 197, 197–202. [Google Scholar] [CrossRef] [PubMed]
- Chin, K.-Y.; Ng, B.N.; Rostam, M.K.I.; Muhammad Fadzil, N.F.D.; Raman, V.; Mohamed Yunus, F.; Syed Hashim, S.A.; Ekeuku, S.O. A Mini Review on Osteoporosis: From Biology to Pharmacological Management of Bone Loss. J. Clin. Med. 2022, 11, 6434. [Google Scholar] [CrossRef] [PubMed]
- Maurel, D.B.; Boisseau, N.; Benhamou, C.L.; Jaffre, C. Alcohol and bone: Review of dose effects and mechanisms. Osteoporos. Int. 2012, 23, 1–16. [Google Scholar] [CrossRef] [PubMed]
- Callaci, J.J.; Himes, R.; Lauing, K.; Wezeman, F.H.; Brownson, K. Binge alcohol-induced bone damage is accompanied by differential expression of bone remodeling-related genes in rat vertebral bone. Calcif. Tissue Int. 2009, 84, 474–484. [Google Scholar] [CrossRef]
- Mohamad, N.-V.; Ima-Nirwana, S.; Chin, K.-Y. Self-emulsified annatto tocotrienol improves bone histomorphometric parameters in a rat model of oestrogen deficiency through suppression of skeletal sclerostin level and RANKL/OPG ratio. Int. J. Med. Sci. 2021, 18, 3665–3673. [Google Scholar] [CrossRef]
- Kulak, C.A.; Dempster, D.W. Bone histomorphometry: A concise review for endocrinologists and clinicians. Arq. Bras. Endocrinol. Metab. 2010, 54, 87–98. [Google Scholar] [CrossRef] [PubMed]
- Thomes, P.G.; Rasineni, K.; Saraswathi, V.; Kharbanda, K.K.; Clemens, D.L.; Sweeney, S.A.; Kubik, J.L.; Donohue, T.M., Jr.; Casey, C.A. Natural Recovery by the Liver and Other Organs after Chronic Alcohol Use. Alcohol Res. 2021, 41, 05. [Google Scholar] [CrossRef]
- Lauing, K.; Himes, R.; Rachwalski, M.; Strotman, P.; Callaci, J.J. Binge alcohol treatment of adolescent rats followed by alcohol abstinence is associated with site-specific differences in bone loss and incomplete recovery of bone mass and strength. Alcohol 2008, 42, 649–656. [Google Scholar] [CrossRef]
- Callaci, J.J.; Juknelis, D.; Patwardhan, A.; Wezeman, F.H. Binge alcohol treatment increases vertebral bone loss following ovariectomy: Compensation by intermittent parathyroid hormone. Alcohol. Clin. Exp. Res. 2006, 30, 665–672. [Google Scholar] [CrossRef]
- Santori, C.; Ceccanti, M.; Diacinti, D.; Attilia, M.L.; Toppo, L.; D’Erasmo, E.; Romagnoli, E.; Mascia, M.L.; Cipriani, C.; Prastaro, A.; et al. Skeletal turnover, bone mineral density, and fractures in male chronic abusers of alcohol. J. Endocrinol. Investig. 2008, 31, 321–326. [Google Scholar] [CrossRef] [PubMed]
- Maurel, D.B.; Pallu, S.; Jaffré, C.; Fazzalari, N.L.; Boisseau, N.; Uzbekov, R.; Benhamou, C.-L.; Rochefort, G.Y. Osteocyte apoptosis and lipid infiltration as mechanisms of alcohol-induced bone loss. Alcohol Alcohol. 2012, 47, 413–422. [Google Scholar] [CrossRef] [PubMed]
- Banfi, G.; Iorio, E.L.; Corsi, M.M. Oxidative stress, free radicals and bone remodeling. Clin. Chem. Lab. Med. 2008, 46, 1550–1555. [Google Scholar] [CrossRef] [PubMed]
- Kono, H.; Rusyn, I.; Uesugi, T.; Yamashina, S.; Connor, H.D.; Dikalova, A.; Mason, R.P.; Thurman, R.G. Diphenyleneiodonium sulfate, an NADPH oxidase inhibitor, prevents early alcohol-induced liver injury in the rat. Am. J. Physiol. Gastrointest. Liver Physiol. 2001, 280, G1005–G1012. [Google Scholar] [CrossRef] [PubMed]
- Tuma, D.J.; Casey, C.A. Dangerous byproducts of alcohol breakdown—Focus on adducts. Alcohol Res. Health 2003, 27, 285–290. [Google Scholar]
- Paccou, J.; Edwards, M.H.; Ward, K.; Jameson, K.; Moon, R.; Dennison, E.; Cooper, C. Relationships between bone geometry, volumetric bone mineral density and bone microarchitecture of the distal radius and tibia with alcohol consumption. Bone 2015, 78, 122–129. [Google Scholar] [CrossRef]
- Pan, L.; Shi, X.; Liu, S.; Guo, X.; Zhao, M.; Cai, R.; Sun, G. Fluoride promotes osteoblastic differentiation through canonical Wnt/β-catenin signaling pathway. Toxicol. Lett. 2014, 225, 34–42. [Google Scholar] [CrossRef]
- Meng, Y.B.; Li, X.; Li, Z.Y.; Zhao, J.; Yuan, X.B.; Ren, Y.; Cui, Z.D.; Liu, Y.D.; Yang, X.J. microRNA-21 promotes osteogenic differentiation of mesenchymal stem cells by the PI3K/β-catenin pathway. J. Orthop. Res. 2015, 33, 957–964. [Google Scholar] [CrossRef]
- Hermizi, H.; Faizah, O.; Ima-Nirwana, S.; Ahmad Nazrun, S.; Norazlina, M. Beneficial effects of tocotrienol and tocopherol on bone histomorphometric parameters in sprague-dawley male rats after nicotine cessation. Calcif. Tissue Int. 2009, 84, 65–74. [Google Scholar] [CrossRef]
- Norazlina, M.; Lee, P.; Lukman, H.; Nazrun, A.; Ima-Nirwana, S. Effects of vitamin E supplementation on bone metabolism in nicotine-treated rats. Singap. Med. J. 2007, 48, 195. [Google Scholar]
- Galli, F.; Azzi, A.; Birringer, M.; Cook-Mills, J.M.; Eggersdorfer, M.; Frank, J.; Cruciani, G.; Lorkowski, S.; Özer, N.K. Vitamin E: Emerging aspects and new directions. Free Radic. Biol. Med. 2017, 102, 16–36. [Google Scholar] [CrossRef] [PubMed]
- Alfky, N.A.; Mustafa, R.A.; Azzeh, F.S.; Header, E.A. Protective effect of vitamin E in combination with vitamin D and calcium against osteoporosis in ovariectomized rats. Pak. J. Nutr. 2017, 16, 136–143. [Google Scholar] [CrossRef]
- Norazlina, M.; Hermizi, H.; Faizah, O.; Nazrun, A.S.; Norliza, M.; Ima-Nirwana, S. Vitamin E reversed nicotine-induced toxic effects on bone biochemical markers in male rats. Arch. Med. Sci. 2010, 6, 505–512. [Google Scholar] [CrossRef]
- Ahmad, N.; Khalid, B.; Luke, D.; Ima Nirwana, S. Tocotrienol offers better protection than tocopherol from free radical-induced damage of rat bone. Clin. Exp. Pharmacol. Physiol. 2005, 32, 761–770. [Google Scholar] [CrossRef]
- Ahmad, N.S. Effects of vitamin E on interleukin-1 in ferric nitrilotriacetate treated rats. Malays. J. Biochem. Biol. 2004, 9, 43–47. [Google Scholar]
- Soelaiman, I.; Ahmad, N.; Khalid, B. Palm oil tocotrienol mixture is better than alpha-tocopherol acetate in protecting bones against free-radical induced elevation of bone-resorbing cytokines. Asia Pac. J. Clin. Nutr. 2004, 13, S111. [Google Scholar]
- Jiang, F.; Liao, Z.; Hu, L.-H.; Du, Y.-Q.; Man, X.-H.; Gu, J.-J.; Gao, J.; Gong, Y.-F.; Li, Z.-S. Comparison of antioxidative and antifibrotic effects of α-tocopherol with those of tocotrienol-rich fraction in a rat model of chronic pancreatitis. Pancreas 2011, 40, 1091–1096. [Google Scholar] [CrossRef] [PubMed]
- Ahsan, H.; Ahad, A.; Iqbal, J.; Siddiqui, W.A. Pharmacological potential of tocotrienols: A review. Nutr. Metab. 2014, 11, 1–22. [Google Scholar] [CrossRef]
- Mohamad, S.; Shuid, A.N.; Mokhtar, S.A.; Abdullah, S.; Soelaiman, I.N. Tocotrienol supplementation improves late-phase fracture healing compared to alpha-tocopherol in a rat model of postmenopausal osteoporosis: A biomechanical evaluation. Evid.-Based Complement. Altern. Med. 2012, 2012, 372878. [Google Scholar] [CrossRef]
- Shuid, A.N.; Mehat, Z.; Mohamed, N.; Muhammad, N.; Soelaiman, I.N. Vitamin E exhibits bone anabolic actions in normal male rats. J. Bone Min. Metab. 2010, 28, 149–156. [Google Scholar] [CrossRef]
- Mehat, M.Z.; Shuid, A.N.; Mohamed, N.; Muhammad, N.; Soelaiman, I.N. Beneficial effects of vitamin E isomer supplementation on static and dynamic bone histomorphometry parameters in normal male rats. J. Bone Miner. Metab. 2010, 28, 503–509. [Google Scholar] [CrossRef]
- Wezeman, F.H.; Juknelis, D.; Himes, R.; Callaci, J.J. Vitamin D and ibandronate prevent cancellous bone loss associated with binge alcohol treatment in male rats. Bone 2007, 41, 639–645. [Google Scholar] [CrossRef]
- Dempster, D.W.; Compston, J.E.; Drezner, M.K.; Glorieux, F.H.; Kanis, J.A.; Malluche, H.; Meunier, P.J.; Ott, S.M.; Recker, R.R.; Parfitt, A.M. Standardized nomenclature, symbols, and units for bone histomorphometry: A 2012 update of the report of the ASBMR Histomorphometry Nomenclature Committee. J. Bone Miner. Res. 2012, 28, 2–17. [Google Scholar] [CrossRef] [PubMed]













Disclaimer/Publisher’s Note: The statements, opinions and data contained in all publications are solely those of the individual author(s) and contributor(s) and not of MDPI and/or the editor(s). MDPI and/or the editor(s) disclaim responsibility for any injury to people or property resulting from any ideas, methods, instructions or products referred to in the content. |
© 2024 by the authors. Licensee MDPI, Basel, Switzerland. This article is an open access article distributed under the terms and conditions of the Creative Commons Attribution (CC BY) license (https://creativecommons.org/licenses/by/4.0/).
Share and Cite
Mohamed, N.; Ahmed Abukhadir, S.S.; Syed Hashim, S.A.; Adnan, N.S.; Aziz, M.A.; Muhammad, N. Vitamin E Improves Cellular and Structural Bone Histomorphometry in an Alcohol-Induced Osteoporosis Rat Model. Pharmaceuticals 2024, 17, 1730. https://doi.org/10.3390/ph17121730
Mohamed N, Ahmed Abukhadir SS, Syed Hashim SA, Adnan NS, Aziz MA, Muhammad N. Vitamin E Improves Cellular and Structural Bone Histomorphometry in an Alcohol-Induced Osteoporosis Rat Model. Pharmaceuticals. 2024; 17(12):1730. https://doi.org/10.3390/ph17121730
Chicago/Turabian StyleMohamed, Norazlina, Seham Salem Ahmed Abukhadir, Syed Alhafiz Syed Hashim, Nur Sabariah Adnan, Muhamad Arizi Aziz, and Norliza Muhammad. 2024. "Vitamin E Improves Cellular and Structural Bone Histomorphometry in an Alcohol-Induced Osteoporosis Rat Model" Pharmaceuticals 17, no. 12: 1730. https://doi.org/10.3390/ph17121730
APA StyleMohamed, N., Ahmed Abukhadir, S. S., Syed Hashim, S. A., Adnan, N. S., Aziz, M. A., & Muhammad, N. (2024). Vitamin E Improves Cellular and Structural Bone Histomorphometry in an Alcohol-Induced Osteoporosis Rat Model. Pharmaceuticals, 17(12), 1730. https://doi.org/10.3390/ph17121730

