Liposomal and Nanostructured Lipid Nanoformulations of a Pentacyclic Triterpenoid Birch Bark Extract: Structural Characterization and In Vitro Effects on Melanoma B16-F10 and Walker 256 Tumor Cells Apoptosis
Abstract
1. Introduction
2. Results
2.1. Preparation and Characterization of the TTs Extract
2.2. Preparation and Characterization of the Nanoformulations with Entrapped TTs, AB and Doxo
2.3. Cell Viability and Cytotoxicity
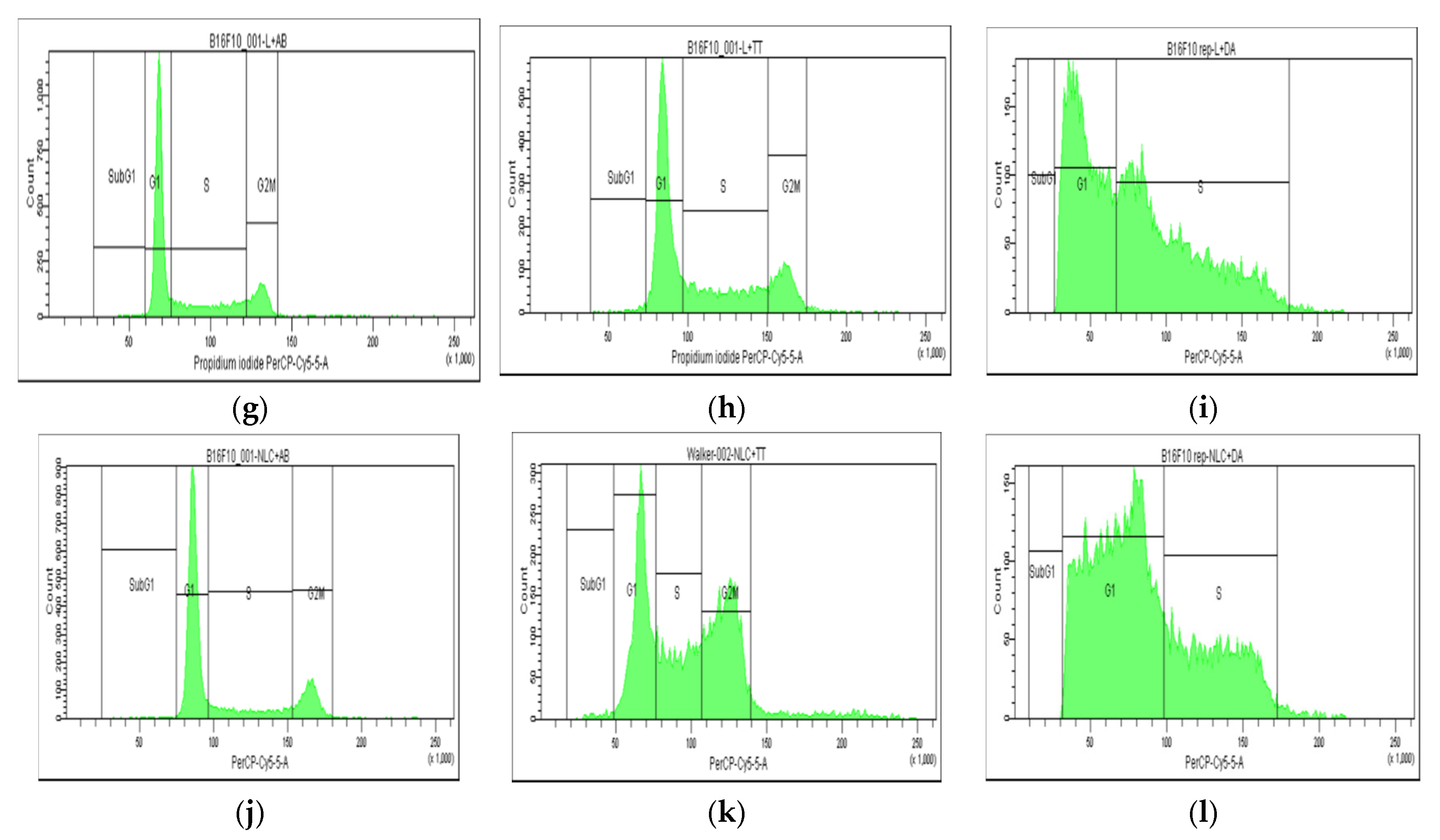
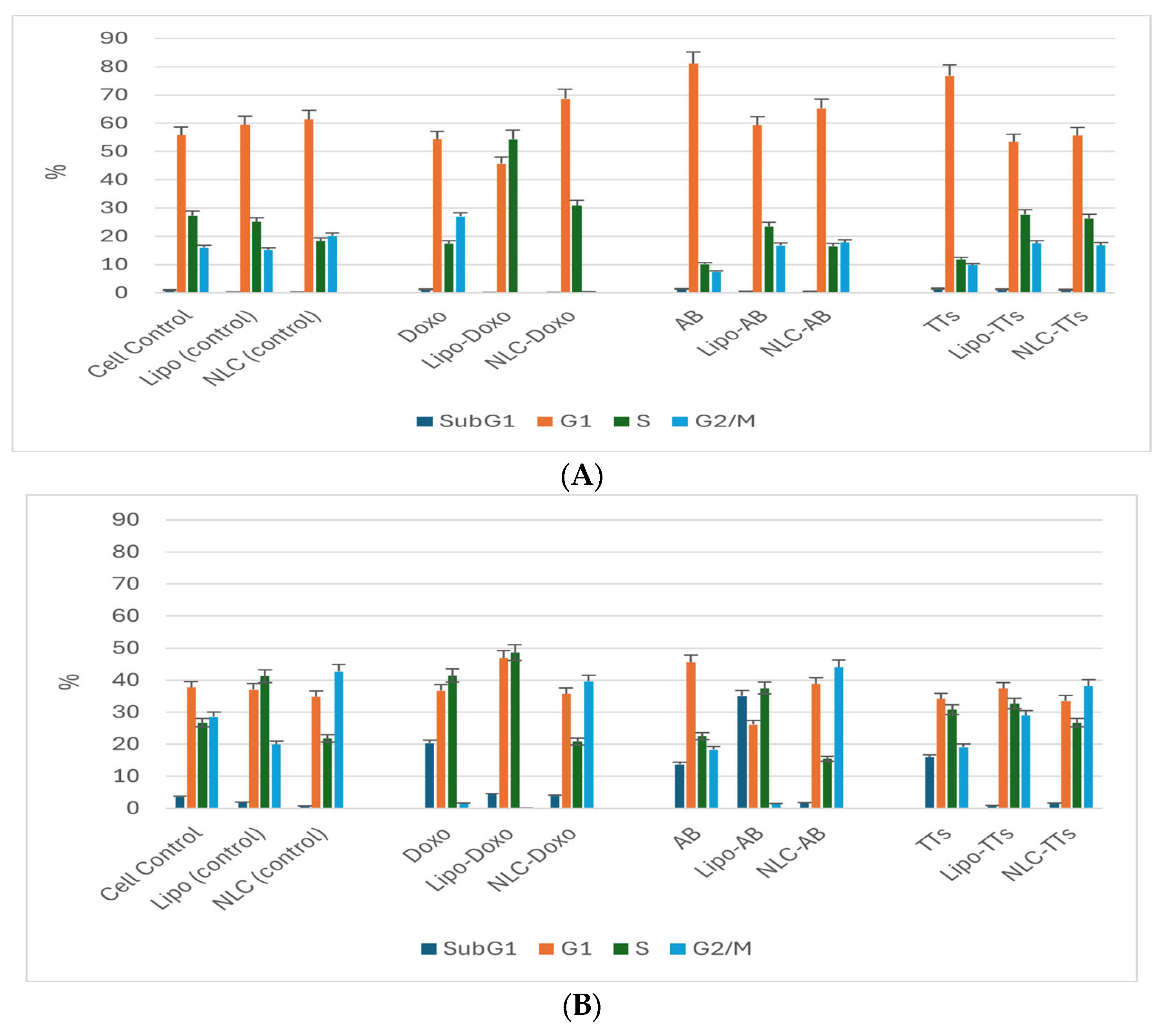
2.4. Cell Cycle Distribution
2.5. Apoptosis
3. Discussion
4. Materials and Methods
4.1. Extraction of TTs from Birch Bark
4.2. Preparation of PEGylated Liposomes Using the Ethanol Injection Method
4.3. Preparation of NLC Formulations
4.4. Entrapment Efficiency, Size Determination and Morphology of Liposomes vs. NLCs
4.5. Cell Cultures
4.6. Viability Assays
4.7. Cell Cycle Analysis by Flow Cytometry
4.8. Apoptosis and Necrosis Assays by Flow Cytometry
4.9. Statistics
5. Conclusions
Supplementary Materials
Author Contributions
Funding
Institutional Review Board Statement
Informed Consent Statement
Data Availability Statement
Conflicts of Interest
References
- Kovač-Bešović, E.E.; Durić, K.; Kalođera, Z.; Sofić, E. Identification and isolation of pharmacologically active triterpenes in Betulae Cortex, Betula pendula Roth., Betulaceae. Bosn. J. Basic Med. Sci. 2009, 9, 31–38. [Google Scholar] [CrossRef]
- Holonec, L.; Ranga, F.; Crainic, D.; Truţa, A.; Socaciu, C. Evaluation of Betulin and Betulinic Acid Content in Birch Bark from Different Forestry Areas of Western Carpathians. Not. Bot. Horti Agrobot. Cluj-Napoca 2012, 40, 99–105. [Google Scholar] [CrossRef]
- Šiman, P.; Filipová, A.; Tichá, A.; Niang, M.; Bezrouk, A.; Havelek, R. Effective Method of Purification of Betulin from Birch Bark: The Importance of Its Purity for Scientific and Medicinal Use. PLoS ONE 2016, 11, e0154933. [Google Scholar] [CrossRef]
- Demets, O.V.; Takibayeva, A.T.; Kassenov, R.Z.; Aliyeva, M.R. Methods of Betulin Extraction from Birch Bark. Molecules 2022, 27, 3621. [Google Scholar] [CrossRef]
- Liu, S.; Liu, H.; Zhang, L.; Ma, C.; Abd El-Aty, A.M. Edible pentacyclic triterpenes: A review of their sources, bioactivities, bioavailability, self-assembly behavior, and emerging applications as functional delivery vehicles. Crit. Rev. Food Sci. Nutr. 2022, 64, 5203–5219. [Google Scholar] [CrossRef]
- Bag, B.G.; Majumdar, R. Self-assembly of Renewable Nano-sized Triterpenoids. Chem. Rec. 2017, 17, 841–873. [Google Scholar] [CrossRef]
- Pisha, E.; Chai, H.; Lee, I.S.; Chagwedera, T.E.; Farnsworth, N.R.; Cordell, A.C.; Beecher, C.W.W.; Fong, H.H.S.; Kinghorn, A.D.; Brown, D.M.; et al. Discovery of betulinic acid as a selective inhibitor of human Melanoma that functions by induction of apoptosis. Nat. Med. 1995, 1, 1046–1051. [Google Scholar] [CrossRef]
- Cichewicz, R.H.; Kouzi, S.A. Chemistry, biological activity, and chemotherapeutic potential of betulinic acid for the prevention and treatment of cancer and HIV infection. Med. Res. Rev. 2004, 24, 90–114. [Google Scholar] [CrossRef]
- Furtado, N.A.J.C.; Pirson, L.; Edelberg, H.; Miranda, L.M.; Loira-Pastoriza, C.; Preat, V.; Larondelle, Y.; André, C.M. Pentacyclic Triterpene Bioavailability: An Overview of In Vitro and In Vivo Studies. Molecules 2017, 22, 400. [Google Scholar] [CrossRef]
- Sohag, A.A.; Hossain, T.; Rahaman, A.; Rahman, P.; Hasan, M.S.; Das, R.C.; Khan, K.; Sikder, M.H.; Alam, M.; Uddin, J.; et al. Molecular pharmacology and therapeutic advances of the pentacyclic triterpene lupeol. Phytomedicine 2022, 99, 154012. [Google Scholar] [CrossRef]
- Ghante, M.H.; Jamkhande, P.G. Role of Pentacyclic Triterpenoids in Chemoprevention and Anticancer Treatment: An Overview on Targets and Underling Mechanisms. J. Pharmacopunct. 2019, 22, 55–67. [Google Scholar] [CrossRef]
- Patlolla, J.M.R.; Rao, C.V. Triterpenoids for cancer prevention and treatment: Current status and future prospects. Curr. Pharm. Biotechnol. 2012, 13, 147–155. [Google Scholar] [CrossRef]
- Hordyjewska, A.; Ostapiuk, A.; Horecka, A. Betulin and betulinic acid: Triterpenoids derivatives with a powerful biological potential. Phytochem. Rev. 2019, 18, 929–951. [Google Scholar] [CrossRef]
- Hordyjewska, A.; Prendecka-Wróbel, M.; Kurach, Ł.; Horecka, A.; Olszewska, A.; Pigo’n-Zajac, D.; Małecka-Massalska, T.; Kurzepa, J. Antiproliferative Properties of Triterpenoids by ECIS Method—A New Promising Approach in Anticancer Studies? Molecules 2022, 27, 3150. [Google Scholar] [CrossRef]
- Król, S.K.; Kiełbus, M.; Rivero-Muller, A.; Stepulak, A. Comprehensive review on betulin as a potent anticancer agent. BioMed Res. Int. 2015, 2015, 584189. [Google Scholar] [CrossRef]
- Nistor, M.; Rugina, D.; Diaconeasa, Z.; Socaciu, C.; Socaciu, M.A. Pentacyclic Triterpenoid Phytochemicals with Anticancer Activity: Updated Studies on Mechanisms and Targeted Delivery. Int. J. Mol. Sci. 2023, 24, 12923. [Google Scholar] [CrossRef]
- Moghaddam, M.G.; Ahmad, F.B.H.; Kermani, A.S. Biological activity of betulinic acid: A review. Pharmacol. Pharm. 2012, 3, 119–123. [Google Scholar] [CrossRef]
- Zuco, V.; Supino, R.; Righetti, S.C.; Cleris, K.; Marchesi, E.; Gambacorti-Passerini, C.; Formelli, F. Selective cytotoxicity of betulinic acid on tumor cell lines, but not normal cells. Cancer Lett. 2002, 175, 17–25. [Google Scholar] [CrossRef]
- Ali-Seyed, M.; Jantan, I.; Vijayaraghavan, K.; Bukhari, S.N.A. Betulinic Acid: Recent Advances in Chemical Modifications, Effective Delivery, and Molecular Mechanisms of a Promising Anticancer Therapy. Chem. Biol. Drug Design 2015, 87, 517–536. [Google Scholar] [CrossRef]
- Schmidt, M.L.; Kuzmanoff, K.L.; Ling-Indeck, L.; Pezzuto, J.M. Betulinic acid induces apoptosis in human neuroblastoma cell lines. Eur. J. Cancer 1997, 33, 2007–2010. [Google Scholar] [CrossRef]
- Kwon, H.J.; Shim, J.S.; Kim, J.H.; Cho, H.Y.; Yum, Y.N.; Kim, S.H.; Yu, J. Betulinic acid inhibits growth factor-induced in vitro angiogenesis via the modulation of mitochondrial function in endothelial cells. Jpn. J. Cancer Res. 2002, 93, 417–425. [Google Scholar] [CrossRef]
- Fulda, S.; Scaffidi, C.; Susin, S.A.; Krammer, P.H.; Kroemer, G.; Peter, M.E.; Debatin, K.-M. Activation of mitochondria and release of mitochondrial apoptogenic factors by betulinic acid. J. Biol. Chem. 1998, 273, 33942–33948. [Google Scholar] [CrossRef]
- Dehelean, C.A.; Feflea, S.; Molnár, J.; Zupko, I.; Soica, C. Betulin as an antitumor agent tested in vitro on A431, HeLa and MCF7, and as an angiogenic inhibitor in vivo in the CAM assay. Nat. Prod. Commun. 2012, 7, 981–985. [Google Scholar] [CrossRef]
- Pinzaru, I.; Sarau, C.; Coricovac, D.; Marcovici, I.; Utescu, C.; Tofan, S.; Popovici, R.A.; Manea, H.C.; Pavel, I.E.; Soica, C.; et al. Silver Nanocolloids Loaded with Betulinic Acid with Enhanced Antitumor Potential: Physicochemical Characterization and In Vitro Evaluation. Nanomaterials 2021, 11, 152. [Google Scholar] [CrossRef]
- Gómez-Favela, M.A.; Santos-Ballardo, D.U.; Bergés-Tiznado, M.E.; Ambriz-Pérez, D.L. Chapter 6—Nanoformulations applied to the delivery of terpenes. In Nanotechnology in Biomedicine, Phytochemical Nanodelivery Systems as Potential Biopharmaceuticals; Heredia, J.B., Gutiérrez-Grijalva, E.P., Licea-Claverie, A., Gutierrez-Uribe, J.A., Patra, J.K., Eds.; Elsevier: Amsterdam, The Netherlands, 2023; pp. 221–256. ISBN 9780323903905. [Google Scholar]
- Mierina, I.; Vilskersts, R.; Turks, M. Delivery Systems for Birch-bark Triterpenoids and their Derivatives in Anticancer Research. Curr. Med. Chem. 2020, 27, 1308–1336. [Google Scholar] [CrossRef]
- Kaps, A.; Gwiazdo´n, P.; Chodurek, E. Nanoformulations for Delivery of Pentacyclic Triterpenoids in Anticancer Therapies. Molecules 2021, 26, 1764. [Google Scholar] [CrossRef]
- Kuznetsova, S.A.; Shakhtshneider, T.; Mikhailenko, M.A.; Malyar, Y. Preparation and antitumor activity of betulin dipropionate and its composites. Biointerface Res. Appl. Chem. 2021, 12, 6873–6894. [Google Scholar]
- Chen, X.; Lu, S.; Gong, F.; Sui, X.; Liu, T.; Wang, T. Research on the synthesis of nanoparticles of betulinic acid and their targeting antitumor activity. J. Biomed. Mater. Res. 2022, 110, 1789–1795. [Google Scholar] [CrossRef]
- Saneja, A.; Arora, D.; Kumar, R.; Dubey, R.D.; Panda, A.K.; Gupta, P.N. Therapeutic applications of betulinic acid nanoformulations. Ann. N. Y. Acad. Sci. 2018, 1421, 5–18. [Google Scholar] [CrossRef]
- Zhang, D.-M.; Xu, H.-G.; Wang, L.; Li, Y.-J.; Sun, P.-H.; Wu, X.-M.; Wang, G.J.; Chen, W.M.; Ye, W.-C. Betulinic Acid and its Derivatives as Potential Antitumor Agents. Med. Res. Rev. 2015, 35, 1127–1155. [Google Scholar] [CrossRef]
- Sharma, N.; Deepak, C.; Sandeep, K. Nanoparticles: Fundamental and Prospectives. Res. J. Pharmaceut. Biol. Chem. Sci. 2018, 9, 152–164. [Google Scholar]
- Li, Q.; Cai, T.G.; Huang, Y.H.; Xia, X.; Cole, S.P.C.; Cai, Y. A Review of the Structure, Preparation, and Application of NLCs, PNPs, and PLNs. Nanomaterials 2017, 7, 122–135. [Google Scholar] [CrossRef]
- Khan, S.; Sharma, A.; Jain, V. An Overview of Nanostructured Lipid Carriers and its Application in Drug Delivery through Different Routes. Adv. Pharm. Bull. 2023, 13, 446–460. [Google Scholar] [CrossRef]
- Mahmoud, K.; Swidan, S.; El-Nabarawi, M.; Teaima, M. Lipid based nanoparticles as a novel treatment modality for hepatocellular carcinoma: A comprehensive review on targeting and recent advances. J. Nanobiotechnol. 2022, 20, 109. [Google Scholar] [CrossRef]
- Tran, M.A.; Watts, R.J.; Robertson, G.P. Use of liposomes as drug delivery vehicles for treatment of melanoma. Pigment Cell Melanoma Res. 2009, 22, 388–399. [Google Scholar] [CrossRef]
- Taléns-Visconti, R.; Díez-Sales, O.; de Julián-Ortiz, J.V.; Nácher, A. Nanoliposomes in Cancer Therapy: Marketed Products and Current Clinical Trials. Int. J. Mol. Sci. 2022, 23, 4249. [Google Scholar] [CrossRef]
- Liu, W.-K.; Ho, J.C.K.; Cheung, F.W.K.; Liu, B.P.L.; Ye, W.-C.; Che, C.-T. Apoptotic activity of betulinic acid derivatives on murine melanoma B16 cell line. Eur. J. Pharmacol. 2004, 498, 71–78. [Google Scholar] [CrossRef]
- Abraham, S.A.; Waterhouse, D.N.; Mayer, L.D.; Cullis, P.R.; Madden, T.D.; Bally, M.B. The liposomal formulation of Doxorubicin. Methods Enzym. 2005, 391, 71–97. [Google Scholar]
- Kciuk, M.; Gielecińska, A.; Mujwar, S.; Kołat, D.; Kałuzińska-Kołat, Ż.; Celik, I.; Kontek, R. Doxorubicin-An Agent with Multiple Mechanisms of Anticancer Activity. Cells 2023, 12, 659. [Google Scholar] [CrossRef]
- Arshad, R.; Arshad, M.S.; Rahdar, A.; Hassan, D.; Behzadmehr, R.; Ghotekar, S.; Medina, D.I.; Sadanand Pandey, S. Nanomaterials as an advanced nano-tool for the Doxorubicin delivery/ Co-Delivery-A Comprehensive Review. J. Drug Deliv. Technol. 2023, 83, 104432. [Google Scholar] [CrossRef]
- Sesarman, A.; Tefas, L.; Sylvester, B.; Licarete, E.; Rauca, V.; Luput, L.; Patras, L.; Banciu, M.; Porfire, A. Anti-angiogenic and anti-inflammatory effects of long-circulating liposomes coencapsulating curcumin and Doxorubicin on C26 murine colon cancer cells. Pharm. Rep. 2010, 70, 331–339. [Google Scholar] [CrossRef] [PubMed]
- Bisht, A.; Avinash, D.; Sahu, K.K.; Patel, P.; Das Gupta, G.; Kurmi, B.D. A comprehensive review on doxorubicin: Mechanisms, toxicity, clinical trials, combination therapies and nanoformulations in breast cancer. In Drug Delivery and Translational Research; Springer: Berlin/Heidelberg, Germany, 2024; pp. 1–32. [Google Scholar]
- Dhiman, N.; Awasthi, R.; Sharma, B.; Kharkwal, H.; Kulkarni, G.T. Lipid Nanoparticles as Carriers for Bioactive Delivery. Front. Chem. 2021, 9, 580118. [Google Scholar] [CrossRef] [PubMed]
- Mishra, V.; Bansal, K.K.; Verma, A.; Yadav, N.; Thakur, S.; Sudhakar, K.; Rosenholm, J.M. Solid Lipid Nanoparticles: Emerging Colloidal Nano Drug Delivery Systems. Pharmaceutics 2018, 10, 191. [Google Scholar] [CrossRef] [PubMed]
- Müller, R.H.; Alexiev, U.; Sinambela, P.; Keck, C.M. Nanostructured Lipid Carriers (NLC): The Second Generation of Solid Lipid Nanoparticles. In Percutaneous Penetration Enhancers Chemical Methods in Penetration Enhancement; Springer: Berlin/Heidelberg, Germany, 2016; pp. 161–185. [Google Scholar]
- Khosa, A.; Reddi, S.; Saha, R.N. Nanostructured lipid carriers for site-specific drug delivery. Biomed. Pharmacother. 2018, 103, 598–613. [Google Scholar] [CrossRef] [PubMed]
- Muntean, P.; Socaciu, C.; Socaciu, M. Lipid nanostructured particles as emerging carriers for targeted delivery of bioactive molecules: Applications in food and biomedical sciences (an overview). Bull. Univ. Food Sci. Technol. 2020, 77, 37–46. [Google Scholar] [CrossRef]
- Biswasroy, P.; Pradhan, D.; Pradhan, D.K.; Ghosh, G.; Rath, G. Development of Betulin-Loaded Nanostructured Lipid Carriers for the Management of Imiquimod-Induced Psoriasis. AAPS Pharm. Sci. Tech. 2024, 25, 57. [Google Scholar] [CrossRef]
- Socaciu, M.; Diaconeasa, Z.; Socaciu, C. Simple and fast procedure to incorporate Doxorubicine in small unilamellar liposomes: Effects on liposome size and zeta potential. Stud. UBB Chem. 2019, 3, 181–192. [Google Scholar] [CrossRef]
- Rugină, D.; Pop, R.; Nistor, M.; Cenariu, M.; Tăbăran, F.; Socaciu, C.; Socaciu, M.A. Distinct in vitro effects of liposomal and nanostructured lipid nanoformulations with entrapped acidic and neutral doxorubicin on B16-F10 melanoma and Walker 256 carcinoma cells. Discov. Oncol. 2024. submitted under revision. [Google Scholar]
- Fan, M.; Xu, S.; Xia, S.; Zhang, X. Preparation of salidroside nano-liposomes by ethanol injection method and in vitro release study. Eur. Food Res. Technol. 2008, 227, 167–174. [Google Scholar] [CrossRef]
- Liu, Y.; Gao, D.; Zhang, X.; Liu, Z.; Dai, K.; Ji, B.; Wang, Q.; Luo, L. Antitumor drug effect of betulinic acid mediated by polyethylene glycol modified liposomes. Mater. Sci. Eng. C 2016, 64, 124–132. [Google Scholar] [CrossRef]
- Ibrahim, M.; Abuwatfa, W.H.; Awad, N.S.; Sabouni, R.; Husseini, G.A. Encapsulation, Release, and Cytotoxicity of Doxorubicin Loaded in Liposomes, Micelles, and Metal-Organic Frameworks: A Review. Pharmaceutics 2022, 14, 254. [Google Scholar] [CrossRef] [PubMed]
- Rus, I.; Tertiș, M.; Paşcalău, V.; Pavel, C.; Melean, B.; Suciu, M.; Moldovan, C.; Topală, T.; Popa, C.; Săndulescu, R.; et al. Simple and Fast Analytical Method for the Evaluation of the Encapsulation and Release Profile Of Doxorubicin From Drug Delivery Systems. Farmacia 2021, 69, 670–681. [Google Scholar] [CrossRef]
- Zhu, L.; Lin, M. The Synthesis of Nano-Doxorubicin and its Anticancer Effect. Anticancer Agents Med. Chem. 2021, 21, 2466–2477. [Google Scholar] [CrossRef] [PubMed]
- Mahmoudi, M.; Azadmanesh, K.; Shokrgozar, M.A.; Journeay, W.S.; Laurent, S. Effect of Nanoparticles on the Cell Life Cycle. Chem. Rev. 2011, 111, 3407–3432. [Google Scholar] [CrossRef]










| A. | Melanoma B16-F10 | Walker 256 | t (M vs. W256) | Significance |
|---|---|---|---|---|
| Doxo | 0.18 ± 0.5 | 0.87 ± 0.14 | −2.555 | NS |
| Lipo-Doxo | 1.03 ± 0.11 | 1.66 ± 0.18 | −10.203 | ** |
| NLC-Doxo | 2.14 ± 0.12 | 1.35 ± 0.12 | 11.401 | ** |
| AB | 10.22 ± 4.03 | 13.53 ± 1.65 | −3.087 | * |
| Lipo-AB | 15.52 ± 1.1 | 14.42 ± 1.13 | 0.620 | NS |
| NLC-AB | 22.58 ± 0.03 | 27.33 ± 2.8 | −279.883 | *** |
| TTs | 19.25 ± 2.33 | 28.55 ± 3.2 | −8.074 | * |
| Lipo-TTs | 23.58 ± 0.03 | 27.25 ± 1.8 | −215.883 | *** |
| NLC-TTs | 20.22 ± 0.9 | 19.48 ± 1.55 | −0.111 | NS |
| B. | Melanoma B16-F10 | Walker 256 | ||
| t | Significance | t | Significance | |
| NLC-Doxo/Doxo | 28.083 | ** | 6.86 | * |
| Lipo-Doxo/Doxo | 13.023 | ** | 7.540556 | * |
| NLC-Doxo/Lipo Doxo | 16.078 | ** | −4.70083 | NS |
| NLC-AB/AB | 716.970 | *** | 6.975 | * |
| Lipo-AB/AB | 4.402 | * | −0.27168 | NS |
| NLC-AB/Lipo-AB | 410.733 | *** | 6.93875 | * |
| NLC-TTs/TTs | −0.444 | NS | −11.8774 | ** |
| Lipo-TTs/TTs | 250.253 | *** | −2.67361 | NS |
| NLC-TTs/Lipo-TTs | −6.563 | * | −10.5726 | ** |
Disclaimer/Publisher’s Note: The statements, opinions and data contained in all publications are solely those of the individual author(s) and contributor(s) and not of MDPI and/or the editor(s). MDPI and/or the editor(s) disclaim responsibility for any injury to people or property resulting from any ideas, methods, instructions or products referred to in the content. |
© 2024 by the authors. Licensee MDPI, Basel, Switzerland. This article is an open access article distributed under the terms and conditions of the Creative Commons Attribution (CC BY) license (https://creativecommons.org/licenses/by/4.0/).
Share and Cite
Rugină, D.; Socaciu, M.A.; Nistor, M.; Diaconeasa, Z.; Cenariu, M.; Tabaran, F.A.; Socaciu, C. Liposomal and Nanostructured Lipid Nanoformulations of a Pentacyclic Triterpenoid Birch Bark Extract: Structural Characterization and In Vitro Effects on Melanoma B16-F10 and Walker 256 Tumor Cells Apoptosis. Pharmaceuticals 2024, 17, 1630. https://doi.org/10.3390/ph17121630
Rugină D, Socaciu MA, Nistor M, Diaconeasa Z, Cenariu M, Tabaran FA, Socaciu C. Liposomal and Nanostructured Lipid Nanoformulations of a Pentacyclic Triterpenoid Birch Bark Extract: Structural Characterization and In Vitro Effects on Melanoma B16-F10 and Walker 256 Tumor Cells Apoptosis. Pharmaceuticals. 2024; 17(12):1630. https://doi.org/10.3390/ph17121630
Chicago/Turabian StyleRugină, Dumitriţa, Mihai Adrian Socaciu, Madalina Nistor, Zorita Diaconeasa, Mihai Cenariu, Flaviu Alexandru Tabaran, and Carmen Socaciu. 2024. "Liposomal and Nanostructured Lipid Nanoformulations of a Pentacyclic Triterpenoid Birch Bark Extract: Structural Characterization and In Vitro Effects on Melanoma B16-F10 and Walker 256 Tumor Cells Apoptosis" Pharmaceuticals 17, no. 12: 1630. https://doi.org/10.3390/ph17121630
APA StyleRugină, D., Socaciu, M. A., Nistor, M., Diaconeasa, Z., Cenariu, M., Tabaran, F. A., & Socaciu, C. (2024). Liposomal and Nanostructured Lipid Nanoformulations of a Pentacyclic Triterpenoid Birch Bark Extract: Structural Characterization and In Vitro Effects on Melanoma B16-F10 and Walker 256 Tumor Cells Apoptosis. Pharmaceuticals, 17(12), 1630. https://doi.org/10.3390/ph17121630

