The Potential of Dehydrated Geniotrigona thoracica Stingless Bee Honey against Metabolic Syndrome in Rats Induced by a High-Carbohydrate, High-Fat Diet
Abstract
1. Introduction
2. Results
2.1. Honey Analysis
2.1.1. Physicochemical Properties Analysis
2.1.2. Liquid Chromatography–Mass Spectrometry (LC-MS) Analysis
2.2. Energy Intake
2.3. Anthropometric Measurements (Body Weight, Body Mass Index (BMI) and Abdominal Circumference)
2.4. Body Composition Based on Dual-Energy X-ray Absorptiometry (DXA) Scan (Fat Mass and Lean Mass)
2.5. Systolic and Diastolic Blood Pressure
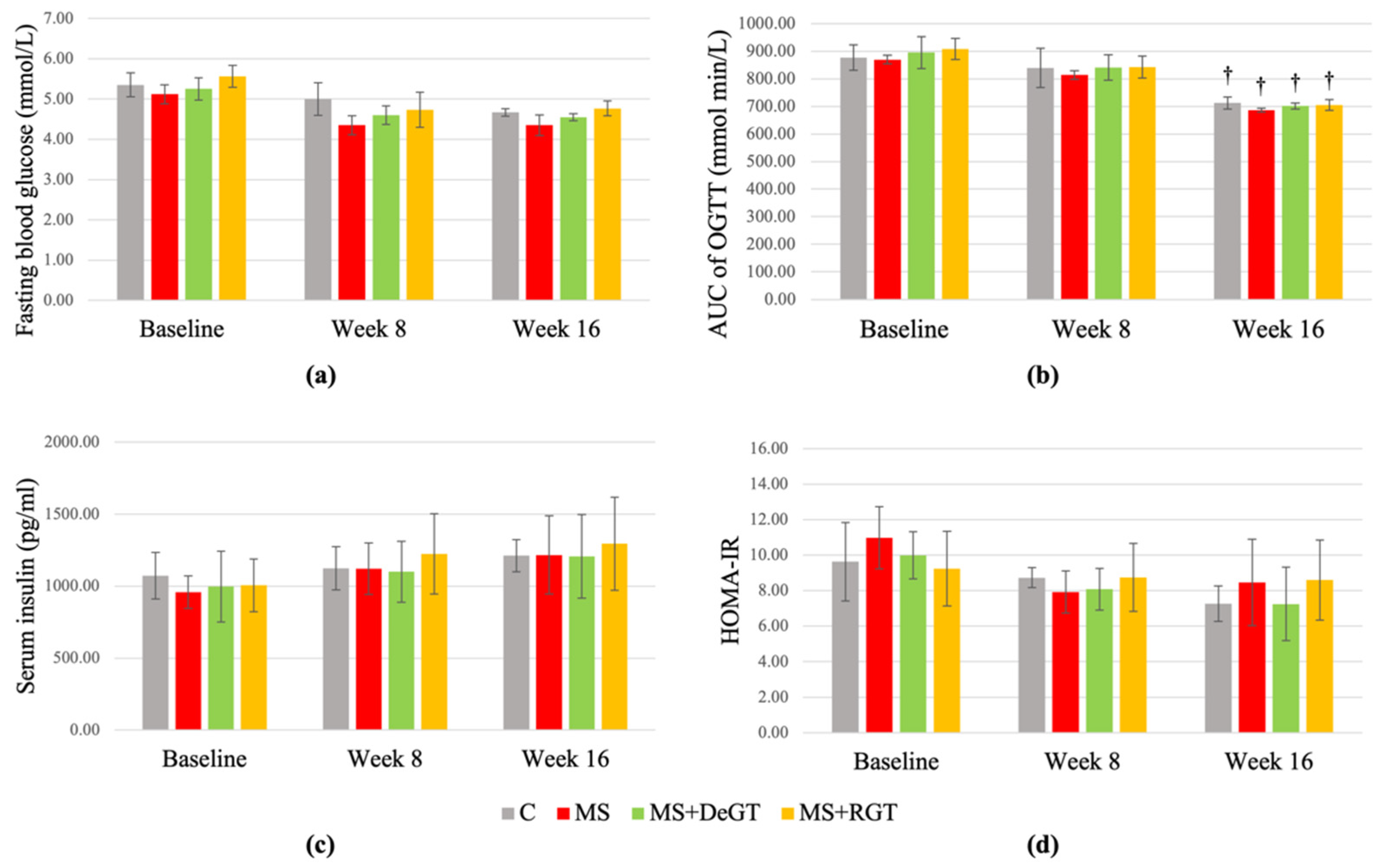
2.6. Insulin Resistance
2.7. Serum Fasting Lipid Profile
2.8. Inflammatory Markers in Adipose Tissue
2.9. Obesity Markers in Serum and Adipose Tissue
2.10. Histomorphometry of Adipose, Liver and Kidney Tissue
2.10.1. Adipose Tissue
2.10.2. Liver Tissue
2.10.3. Kidney Tissue
3. Discussion
4. Materials and Methods
4.1. Animals
4.2. HCHF Diet Preparation
4.3. Dehydrated and Raw SBH Preparation
4.4. Honey and LC-MS Analysis
4.5. Study Design
4.6. Energy Intake Measurement
4.7. Anthropometric Measurement
4.8. Body Composition Measurement
4.9. Blood Pressure Measurement
4.10. Fasting Blood Glucose and OGTT Measurement
4.11. Serum Insulin and HOMA-IR Measurement
4.12. Serum Fasting Lipid Profile Measurement
4.13. Determination of Inflammatory and Obesity Markers Using ELISA
4.14. Histomorphometry Examination and Analysis
4.15. Statistical Analysis
5. Conclusions
Supplementary Materials
Author Contributions
Funding
Institutional Review Board Statement
Informed Consent Statement
Data Availability Statement
Acknowledgments
Conflicts of Interest
References
- Liang, X.P.; Or, C.Y.; Tsoi, M.F.; Cheung, C.L.; Cheung, B.M.Y. Prevalence of metabolic syndrome in the United States National Health and Nutrition Examination Survey (NHANES) 2011–2018. Eur. Heart J. 2021, 42 (Suppl. 1), ehab724.2420. [Google Scholar] [CrossRef]
- Ranasinghe, P.; Mathangasinghe, Y.; Jayawardena, R.; Hills, A.P.; Misra, A. Prevalence and trends of metabolic syndrome among adults in the Asia-Pacific region: A systematic review. BMC Public Health 2017, 17, 101. [Google Scholar] [CrossRef] [PubMed]
- Alberti, K.G.; Eckel, R.H.; Grundy, S.M.; Zimmet, P.Z.; Cleeman, J.I.; Donato, K.A.; Fruchart, J.C.; James, W.P.; Loria, C.M.; Smith, S.C., Jr. Harmonizing the metabolic syndrome: A joint interim statement of the International Diabetes Federation Task Force on Epidemiology and Prevention; National Heart, Lung, and Blood Institute; American Heart Association; World Heart Federation; International Atherosclerosis Society; and International Association for the Study of Obesity. Circulation 2009, 120, 1640–1645. [Google Scholar]
- Fahed, G.; Aoun, L.; Bou Zerdan, M.; Allam, S.; Bou Zerdan, M.; Bouferraa, Y.; Assi, H.I. Metabolic syndrome: Updates on pathophysiology and management in 2021. Int. J. Mol. Sci. 2022, 23, 786. [Google Scholar] [CrossRef]
- Ogurtsova, K.; da Rocha Fernandes, J.D.; Huang, Y.; Linnenkamp, U.; Guariguata, L.; Cho, N.H.; Cavan, D.; Shaw, J.E.; Makaroff, L.E. IDF diabetes atlas: Global estimates for the prevalence of diabetes for 2015 and 2040. Diabetes Res. Clin. Pract. 2017, 128, 40–50. [Google Scholar] [CrossRef]
- Saklayen, M.G. The global epidemic of the metabolic syndrome. Curr. Hypertens. Rep. 2018, 20, 12. [Google Scholar] [CrossRef]
- Grundy, S.M. Metabolic syndrome update. Trends Cardiovasc. Med. 2016, 26, 364–373. [Google Scholar] [CrossRef]
- Lillich, F.F.; Imig, J.D.; Proschak, E. Multi-target approaches in metabolic syndrome. Front. Pharmacol. 2021, 11, 554961. [Google Scholar] [CrossRef]
- Balilo, A.C.B.; Dadang, K.N.; Iguana, K.J.O.; Manabat, H.T.L.; Sumalpong, V.L.C.; Enriquez, R.J.F. Polypharmacy: Non-adherence to medication among adult. Adv. Pharm. Res. 2020, 7, 48–60. [Google Scholar] [CrossRef]
- Mohd Ramli, E.S.; Sukalingam, K.; Kamaruzzaman, M.A.; Soelaiman, I.N.; Pang, K.-L.; Chin, K.-Y. Direct and indirect effect of honey as a functional food against metabolic syndrome and its skeletal complications. Diabetes Metab. Syndr. Obes. 2021, 14, 241–256. [Google Scholar] [CrossRef]
- Noce, A.; Di Lauro, M.; Di Daniele, F.; Pietroboni Zaitseva, A.; Marrone, G.; Borboni, P.; Di Daniele, N. Natural bioactive compounds useful in clinical management of metabolic syndrome. Nutrients 2021, 13, 630. [Google Scholar] [CrossRef] [PubMed]
- Ramli, N.Z.; Chin, K.-Y.; Zarkasi, K.A.; Ahmad, F. A review on the protective effects of honey against metabolic syndrome. Nutrients 2018, 10, 1009. [Google Scholar] [CrossRef] [PubMed]
- Mohd Kamal, D.A.; Ibrahim, S.F.; Kamal, H.; Kashim, M.I.A.M.; Mokhtar, M.H. Physicochemical and medicinal properties of tualang, gelam and kelulut honeys: A comprehensive review. Nutrients 2021, 13, 197. [Google Scholar] [CrossRef] [PubMed]
- Ranneh, Y.; Ali, F.; Zarei, M.; Md Akim, A.; Abd Hamid, H.; Khazaai, H. Malaysian stingless bee and Tualang honeys: A comparative characterization of total antioxidant capacity and phenolic profile using liquid chromatography-mass spectrometry. LWT—Food Sci. Technol. 2018, 89, 1–9. [Google Scholar] [CrossRef]
- Zulkhairi Amin, F.A.; Sabri, S.; Ismail, M.; Chan, K.W.; Ismail, N.; Mohd Esa, N.; Mohd Lila, M.A.; Zawawi, N. Probiotic properties of Bacillus strains isolated from stingless bee (Heterotrigona itama) honey collected across Malaysia. Int. J. Environ. Res. Public Health 2020, 17, 278. [Google Scholar] [CrossRef]
- Fletcher, M.T.; Hungerford, N.L.; Webber, D.; Carpinelli de Jesus, M.; Zhang, J.; Stone, I.S.J.; Blanchfield, J.T.; Zawawi, N. Stingless bee honey, a novel source of trehalulose: A biologically active disaccharide with health benefits. Sci. Rep. 2020, 10, 12128. [Google Scholar] [CrossRef]
- Hungerford, N.L.; Zhang, J.; Smith, T.J.; Yates, H.S.A.; Chowdhury, S.A.; Carter, J.F.; Carpinelli de Jesus, M.; Fletcher, M.T. Feeding sugars to stingless bees: Identifying the origin of trehalulose-rich honey composition. J. Agric. Food Chem. 2021, 69, 10292–10300. [Google Scholar] [CrossRef]
- Arai, C.; Miyake, M.; Matsumoto, Y.; Mizote, A.; Yoshizane, C.; Hanaya, Y.; Koide, K.; Yamada, M.; Hanaya, T.; Arai, S.; et al. Trehalose prevents adipocyte hypertrophy and mitigates insulin resistance in mice with established obesity. J. Nutr. Sci. Vitaminol. 2013, 59, 393–401. [Google Scholar] [CrossRef]
- Arai, C.; Suyama, A.; Arai, S.; Arai, N.; Yoshizane, C.; Koya-Miyata, S.; Mizote, A.; Endo, S.; Ariyasu, T.; Mitsuzumi, H.; et al. Trehalose itself plays a critical role on lipid metabolism: Trehalose increases jejunum cytoplasmic lipid droplets which negatively correlated with mesenteric adipocyte size in both HFD-fed trehalase KO and WT Mice. Nutr. Metab. 2020, 17, 22. [Google Scholar] [CrossRef]
- Jaapar, M.F.; Wan Abd Halim, W.N.M.; Muhamad, R.; Mispan, R.; Jajuli, R.; Mohd Masri, S.; Zainuddin, M.Y.; Ghazi, R.; Abd Ghani, I. The diversity and abundance of stingless bee (Hymenoptera: Meliponini) in peninsular Malaysia. Adv. Environ. Biol. 2016, 10, 1–8. [Google Scholar]
- Hashim, K.-N.; Chin, K.Y.; Ahmad, F. The mechanism of kelulut honey in reversing metabolic changes in rats fed with high-carbohydrate high-fat diet. Molecules 2023, 28, 2790. [Google Scholar] [CrossRef] [PubMed]
- Ramli, N.Z.; Chin, K.-Y.; Zarkasi, K.A.; Ahmad, F. The beneficial effects of stingless bee honey from Heterotrigona itama against metabolic changes in rats fed with high-carbohydrate and high-fat diet. Int. J. Environ. Res. Public Health 2019, 16, 4987. [Google Scholar] [CrossRef]
- Aziz, M.S.A.; Giribabu, N.; Rao, P.V.; Salleh, N. Pancreatoprotective effects of Geniotrigona thoracica stingless bee honey in streptozotocin-nicotinamide-induced male diabetic rats. Biomed. Pharmacother. 2017, 89, 135–145. [Google Scholar] [CrossRef] [PubMed]
- Keng, C.B.; Haron, H.; Abdul Talib, R.; Subramaniam, P. Physical properties, antioxidant content and anti-oxidative activities of Malaysian stingless kelulut (Trigona spp.) honey. J. Agric. Sci. 2017, 9, 32–40. [Google Scholar] [CrossRef]
- Yap, S.K.; Chin, N.L.; Yusof, Y.A.; Chong, K.Y. Quality characteristics of dehydrated raw kelulut honey. Int. J. Food Prop. 2019, 22, 556–571. [Google Scholar] [CrossRef]
- Kek, S.P.; Chin, N.L.; Yusof, Y.A.; Tan, S.W.; Chua, L.S. Classification of entomological origin of honey based on its physicochemical and antioxidant properties. Int. J. Food Prop. 2017, 20, S2723–S2738. [Google Scholar] [CrossRef]
- Yap, S.K.; Chin, N.L. Identification of distinctive properties of common malaysian moneys. Mater. Today Proc. 2021, 42, 115–118. [Google Scholar] [CrossRef]
- Mohamad Ghazali, N.S.; Yusof, Y.A.; Mohd Ghazali, H.; Chin, N.L.; Othman, S.H.; Manaf, Y.N.; Chang, L.S.; Mohd Baroyi, S.A.H. Effect of surface area of clay pots on physicochemical and microbiological properties of stingless bee (Geniotrigona thoracica) honey. Food Biosci. 2021, 40, 100839. [Google Scholar] [CrossRef]
- Bluher, M. Obesity: Global epidemiology and pathogenesis. Nat. Rev. Endocrinol. 2019, 15, 288–298. [Google Scholar] [CrossRef]
- Friedman, J.M. Leptin and the endocrine control of energy balance. Nat. Metab. 2019, 1, 754–764. [Google Scholar] [CrossRef]
- Obradovic, M.; Sudar-Milovanovic, E.; Soskic, S.; Essack, M.; Arya, S.; Stewart, A.J.; Gojobori, T.; Isenovic, E.R. Leptin and obesity: Role and clinical implication. Front. Endocrinol. 2021, 12, 585887. [Google Scholar] [CrossRef] [PubMed]
- Sommer, I.; Teufer, B.; Szelag, M.; Nussbaumer-Streit, B.; Titscher, V.; Klerings, I.; Gartlehner, G. The performance of anthropometric tools to determine obesity: A systematic review and meta-analysis. Sci. Rep. 2020, 10, 12699. [Google Scholar] [CrossRef] [PubMed]
- Staynor, J.M.; Smith, M.K.; Donnelly, C.J.; Sallam, A.E.; Ackland, T.R. DXA reference values and anthropometric screening for visceral obesity in Western Australian adults. Sci. Rep. 2020, 10, 18731. [Google Scholar] [CrossRef] [PubMed]
- Buckinx, F.; Landi, F.; Cesari, M.; Fielding, R.A.; Visser, M.; Engelke, K.; Maggi, S.; Dennison, E.; Al-Daghri, N.M.; Allepaerts, S. Pitfalls in the measurement of muscle mass: A Need for a reference standard. J. Cachexia Sarcopenia Muscle 2018, 9, 269–278. [Google Scholar] [CrossRef]
- Veyrat-Durebex, C.; Poher, A.-L.; Caillon, A.; Somm, E.; Vallet, P.; Charnay, Y.; Rohner-Jeanrenaud, F. Improved leptin sensitivity as a potential candidate responsible for the spontaneous food restriction of the Lou/C rat. PLoS ONE 2013, 8, e73452. [Google Scholar] [CrossRef]
- Baum, J.I.; Wolfe, R.R. The link between dietary protein intake, skeletal muscle function, and health in older adults. Healthcare 2015, 3, 529–543. [Google Scholar] [CrossRef]
- Medhat, D.; El-Bana, M.A.; El-Daly, S.M.; Ashour, M.N.; Elias, T.R.; Mohamed, R.A.; Yassen, N.N.; Abdel-Monem, M.A.; Hussein, J. Influence of irisin on diet-induced metabolic syndrome in experimental rat model. Complement. Integr. Med. 2021, 18, 347–354. [Google Scholar] [CrossRef]
- Li, C.W.; Yu, K.; Shyh-Chang, N.; Jiang, Z.; Liu, T.; Ma, S.; Luo, L.; Guang, L.; Liang, K.; Ma, W.; et al. Pathogenesis of sarcopenia and the relationship with fat mass: Descriptive review. J. Cachexia Sarcopenia Muscle 2022, 13, 781–794. [Google Scholar] [CrossRef]
- Donini, L.M.; Busetto, L.; Bischoff, S.C.; Cederholm, T.; Ballesteros-Pomar, M.D.; Batsis, J.A.; Bauer, J.M.; Boirie, Y.; Cruz-Jentoft, A.J.; Dicker, D.; et al. Definition and diagnostic criteria for sarcopenic obesity: ESPEN and EASO consensus statement. Obes. Facts 2022, 15, 321–335. [Google Scholar] [CrossRef]
- Cauley, J.A. An overview of sarcopenic obesity. J. Clin. Densitom. 2015, 18, 499–505. [Google Scholar] [CrossRef]
- Polyzos, S.A.; Margioris, A.N. Sarcopenic obesity. Hormones 2018, 17, 321–331. [Google Scholar] [CrossRef]
- Francaux, M.; Deldicque, L. Using polyphenol derivatives to prevent muscle wasting. Curr. Opin. Clin. Nutr. Metab. Care 2018, 21, 159–163. [Google Scholar] [CrossRef] [PubMed]
- Lambert, K.; Coisy-Quivy, M.; Bisbal, C.; Sirvent, P.; Hugon, G.; Mercier, J.; Avignon, A.; Sultan, A. Grape polyphenols supplementation reduces muscle atrophy in a mouse model of chronic inflammation. Nutrition 2015, 31, 1275–1283. [Google Scholar] [CrossRef] [PubMed]
- Komnenov, D.; Levanovich, P.; Rossi, N. Hypertension associated with fructose and high salt: Renal and sympathetic mechanisms. Nutrients 2019, 11, 569. [Google Scholar] [CrossRef] [PubMed]
- Wong, S.K.; Chin, K.-Y.; Suhaimi, F.H.; Ahmad, F.; Ima-Nirwana, S. The effects of a modified high-carbohydrate high-fat diet on metabolic syndrome parameters in male rats. Exp. Clin. Endocrinol. Diabetes 2018, 126, 205–212. [Google Scholar] [CrossRef]
- Schutten, M.T.J.; Houben, A.J.H.M.; de Leeuw, P.W.; Stehouwer, C.D.A. The link between adipose tissue renin-angiotensin-aldosterone system signaling and obesity-associated hypertension. Physiology 2017, 32, 197–209. [Google Scholar] [CrossRef]
- Da Silva, A.A.; do Carmo, J.M.; Li, X.; Wang, Z.; Mouton, A.J.; Hall, J.E. Role of hyperinsulinemia and insulin resistance in hypertension: Metabolic syndrome revisited. Can. J. Cardiol. 2020, 36, 671–682. [Google Scholar] [CrossRef]
- Lu, S.C.; Akanji, A.O. Leptin, obesity, and hypertension: A review of pathogenetic mechanisms. Metab. Syndr. Relat. Disord. 2020, 18, 399–405. [Google Scholar] [CrossRef]
- Vlasova, M.; Purhonen, A.K.; Jarvelin, M.R.; Rodilla, E.; Pascual, J.; Herzig, K.H. Role of adipokines in obesity-associated hypertension. Acta Physiol. 2010, 200, 107–127. [Google Scholar] [CrossRef]
- Fazakerley, D.J.; Krycer, J.R.; Kearney, A.L.; Hocking, S.L.; James, D.E. Muscle and adipose tissue insulin resistance: Malady without mechanism? J. Lipid Res. 2019, 60, 1720–1732. [Google Scholar] [CrossRef]
- Agostinis-Sobrinho, C.; Vicente, S.; Norkiene, S.; Rauckienė-Michaelsson, A.; Kievisienė, J.; Dubey, V.; Razbadauskas, A.; Lopes, L.; Santos, R. Is the leptin/adiponectin ratio a better diagnostic biomarker for insulin resistance than leptin or adiponectin alone in adolescents? Children 2022, 9, 1193. [Google Scholar] [CrossRef] [PubMed]
- Badawy, E.; El-laithy, N.A.; Morsy, S.M.; Ashour, M.N.; Elias, T.R.; Masoud, M.M.; Aly, O. Role of swimming on muscle PGC-1α, FNDC5 mRNA, and assessment of serum omentin, adropin, and irisin in high carbohydrate high fat (HCHF) diet induced obesity in rats. Egypt. J. Med. Hum. Genet. 2020, 21, 37. [Google Scholar] [CrossRef]
- Boonloh, K.; Kukongviriyapan, V.; Kongyingyoes, B.; Kukongviriyapan, U.; Thawornchinsombut, S.; Pannangpetch, P. Rice bran protein hydrolysates improve insulin resistance and decrease pro-inflammatory cytokine gene expression in rats fed a high carbohydrate-high fat diet. Nutrients 2015, 7, 6313–6329. [Google Scholar] [CrossRef] [PubMed]
- Palachai, N.; Wattanathorn, J.; Muchimapura, S.; Thukham-Mee, W. Antimetabolic syndrome effect of phytosome containing the combined extracts of mulberry and ginger in an animal model of metabolic syndrome. Oxid. Med. Cell. Longev. 2019, 2019, 5972575. [Google Scholar] [CrossRef]
- Vekic, J.; Zeljkovic, A.; Stefanovic, A.; Jelic-Ivanovic, Z.; Spasojevic-Kalimanovska, V. Obesity and dyslipidemia. Metabolism 2019, 92, 71–81. [Google Scholar] [CrossRef]
- Tomlinson, B.; Chan, P.; Lam, C. Postprandial hyperlipidemia as a risk factor in patients with type 2 diabetes. Expert Rev. Endocrinol. Metab. 2020, 15, 147–157. [Google Scholar] [CrossRef]
- Lopez-Alvarenga, J.C.; Ebbesson, S.O.E.; Ebbesson, L.O.E.; Tejero, M.E.; Voruganti, V.S.; Comuzzie, A.G. Polyunsaturated fatty acids effect on serum triglycerides concentration in the presence of metabolic syndrome components. The Alaska-Siberia project. Metabolism 2010, 59, 86–92. [Google Scholar] [CrossRef]
- Ness, G.C.; Gertz, K.R. Hepatic HMG-CoA reductase expression and resistance to dietary cholesterol. Exp. Biol. Med. 2004, 229, 412–416. [Google Scholar] [CrossRef]
- Khanna, D.; Khanna, S.; Khanna, P.; Kahar, P.; Patel, B.M. Obesity: A chronic low-grade inflammation and its markers. Cureus 2022, 14, e22711. [Google Scholar] [CrossRef]
- Van den Brink, W.; van Bilsen, J.; Salic, K.; Hoevenaars, F.P.; Verschuren, L.; Kleemann, R.; Bouwman, J.; Ronnett, G.V.; van Ommen, B.; Wopereis, S. Current and future nutritional strategies to modulate inflammatory dynamics in metabolic disorders. Front. Nutr. 2019, 6, 129. [Google Scholar] [CrossRef]
- Elmahdy, M.K.; Helal, M.; Ebrahim, T. Potential anti-inflammatory effect of dapagliflozin in HCHF diet- induced fatty liver degeneration through inhibition of TNF-α, IL-1β, and IL-18 in rat liver. Int. Immunopharmacol. 2020, 86, 106730. [Google Scholar] [CrossRef] [PubMed]
- Lubkowska, A.; Radecka, A.; Bryczkowska, I.; Rotter, I.; Laszczyńska, M.; Dudzińska, W. Serum adiponectin and leptin concentrations in relation to body fat distribution, hematological indices and lipid profile in humans. Int. J. Environ. Res. Public Health 2015, 12, 11528–11548. [Google Scholar] [CrossRef] [PubMed]
- Astapova, O.; Leff, T. Chapter Six—Adiponectin and PPARγ: Cooperative and interdependent actions of two key regulators of metabolism. In Vitamins & Hormones; Litwack, G., Ed.; Academic Press: Cambridge, MA, USA, 2012; Volume 90, pp. 143–162. [Google Scholar] [CrossRef]
- Woodward, L.; Akoumianakis, I.; Antoniades, C. Unravelling the adiponectin paradox: Novel roles of adiponectin in the regulation of cardiovascular disease. Br. J. Pharmacol. 2017, 174, 4007–4020. [Google Scholar] [CrossRef] [PubMed]
- Parrasia, S.; Galletta, E.; La Spina, M.; Magrini, A.; Azzolini, M.; Salvalaio, M.; Biasutto, L. Long-term pterostilbene supplementation of a high-fat diet increases adiponectin expression in the subcutaneous white adipose tissue. Nutraceuticals 2022, 2, 102–115. [Google Scholar] [CrossRef]
- Korac, A.; Srdic-Galic, B.; Stancic, A.; Otasevic, V.; Korac, B.; Jankovic, A. Adipokine signatures of subcutaneous and visceral abdominal fat in normal-weight and obese women with different metabolic profiles. Arch. Med. Sci. 2021, 17, 323–336. [Google Scholar] [CrossRef]
- Hintzpeter, J.; Stapelfeld, C.; Loerz, C.; Martin, H.-J.; Maser, E. Green tea and one of Its constituents, epigallocatechine-3-gallate, are potent inhibitors of human 11β-hydroxysteroid dehydrogenase type 1. PLoS ONE 2014, 9, e84468. [Google Scholar] [CrossRef]
- Anagnostis, P.; Athyros, V.G.; Tziomalos, K.; Karagiannis, A.; Mikhailidis, D.P. The pathogenetic role of cortisol in the metabolic syndrome: A hypothesis. J. Clin. Endocrinol. Metab. 2009, 94, 2692–2701. [Google Scholar] [CrossRef]
- Paredes, S.; Ribeiro, L. Cortisol: The villain in metabolic syndrome? Rev. Assoc. Médica Bras. 2014, 60, 84–92. [Google Scholar] [CrossRef]
- Kim, S.; Henneicke, H.; Cavanagh, L.L.; Macfarlane, E.; Thai, L.J.; Foong, D.; Gasparini, S.J.; Fong-Yee, C.; Swarbrick, M.M.; Seibel, M.J.; et al. Osteoblastic glucocorticoid signaling exacerbates high-fat-diet- induced bone loss and obesity. Bone Res. 2021, 9, 40. [Google Scholar] [CrossRef]
- McManus, B.; Korpela, R.; O’Connor, P.; Schellekens, H.; Cryan, J.F.; Cotter, P.D.; Nilaweera, K.N. Compared to casein, bovine lactoferrin reduces plasma leptin and corticosterone and affects hypothalamic gene expression without altering weight gain or fat mass in high fat diet fed C57/BL6J mice. Nutr. Metab. 2015, 12, 53. [Google Scholar] [CrossRef]
- Swierczynska, M.M.; Mateska, I.; Peitzsch, M.; Bornstein, S.R.; Chavakis, T.; Eisenhofer, G.; Lamounier-Zepter, V.; Eaton, S. Changes in morphology and function of adrenal cortex in mice fed a high-fat diet. Int. J. Obes. 2015, 39, 321–330. [Google Scholar] [CrossRef] [PubMed]
- Azzam, I.; Gilad, S.; Limor, R.; Stern, N.; Greenman, Y. Ghrelin stimulation by hypothalamic-pituitary-adrenal axis activation depends on increasing cortisol levels. Endocr. Connect. 2017, 6, 847–855. [Google Scholar] [CrossRef] [PubMed]
- Howick, K.; Griffin, B.T.; Cryan, J.F.; Schellekens, H. From belly to brain: Targeting the ghrelin receptor in appetite and food intake regulation. Int. J. Mol. Sci. 2017, 18, 273. [Google Scholar] [CrossRef]
- Lee, M.-J.; Pramyothin, P.; Karastergiou, K.; Fried, S.K. Deconstructing the roles of glucocorticoids in adipose tissue biology and the development of central obesity. Biochim. Biophys. Acta 2014, 1842, 473–481. [Google Scholar] [CrossRef]
- Kadar, N.N.M.A.; Ahmad, F.; Teoh, S.L.; Yahaya, M.F. Comparable benefits of stingless bee honey and caffeic acid in mitigating the negative effects of metabolic syndrome on the brain. Antioxidants 2022, 11, 2154. [Google Scholar] [CrossRef]
- Zarei, M.; Fazlara, A.; Tulabifard, N. Effect of thermal treatment on physicochemical and antioxidant properties of honey. Heliyon 2019, 5, e01894. [Google Scholar] [CrossRef]
- Gao, Y.; Xia, W.; Shao, P.; Wu, W.; Chen, H.; Fang, X.; Mu, H.; Xiao, J.; Gao, H. Impact of thermal processing on dietary flavonoids. Curr. Opin. Food Sci. 2022, 48, 100915. [Google Scholar] [CrossRef]
- Chang, J.-J.; Chung, D.-J.; Lee, Y.-J.; Wen, B.-H.; Jao, H.-Y.; Wang, C.-J. Solanum nigrum polyphenol extracts inhibit hepatic inflammation, oxidative stress, and lipogenesis in high-fat-diet-treated mice. J. Agric. Food Chem. 2017, 65, 9255–9265. [Google Scholar] [CrossRef]
- Wu, Y.-H.S.; Chiu, C.-H.; Yang, D.-J.; Lin, Y.-L.; Tseng, J.-K.; Chen, Y.-C. Inhibitory effects of litchi (Litchi chinensis Sonn.) flower-water extracts on lipase activity and diet-induced obesity. J. Funct. Foods 2013, 5, 923–929. [Google Scholar]
- Braghini, F.; Biluca, F.C.; Gonzaga, L.V.; Vitali, L.; Costa, A.C.; Fett, R. Effect thermal processing in the honey of Tetragonisca angustula: Profile physicochemical, individual phenolic compounds and antioxidant capacity. J. Apic. Res. 2021, 60, 290–296. [Google Scholar] [CrossRef]
- Park, H.S.; Lee, K.; Kim, S.H.; Hong, M.J.; Jeong, N.J.; Kim, M.S. Luteolin improves hypercholesterolemia and glucose intolerance through LXRα-dependent pathway in diet-induced obese mice. J. Food Biochem. 2020, 44, e13358. [Google Scholar] [CrossRef] [PubMed]
- Zakaria, Z.; Othman, Z.A.; Suleiman, J.B.; Che Jalil, N.A.; Ghazali, W.S.W.; Nna, V.U.; Mohamed, M. Hepatoprotective effect of bee bread in metabolic dysfunction-associated fatty liver disease (MAFLD) rats: Impact on oxidative stress and inflammation. Antioxidants 2021, 10, 2031. [Google Scholar] [CrossRef]
- Zatterale, F.; Longo, M.; Naderi, J.; Raciti, G.A.; Desiderio, A.; Miele, C.; Beguinot, F. Chronic adipose tissue inflammation linking obesity to insulin resistance and type 2 diabetes. Front. Physiol. 2020, 10, 1607. [Google Scholar] [CrossRef]
- Fruhbeck, G.; Catalán, V.; Rodríguez, A.; Gómez-Ambrosi, J. Adiponectin-leptin ratio: A promising index to estimate adipose tissue dysfunction. Relation with obesity-associated cardiometabolic risk. Adipocyte 2018, 7, 57–62. [Google Scholar] [CrossRef]
- Andrei, A.M.; Anca, B.-I.; Felix Rareş Ioan Din, A.; Camelia Elena, S.; Sorin, B.-I.; Ileana Monica, B.; Cătălina Gabriela, P. Interplay between hypoxia, inflammation and adipocyte remodeling in the metabolic syndrome. In Hypoxia and Human Diseases; Jing, Z., Chi, Z., Eds.; IntechOpen: Rijeka, Croatia, 2017; pp. 303–328. [Google Scholar]
- Subramanian, R.; Umesh Hebbar, H.; Rastogi, N.K. Processing of honey: A review. Int. J. Food Prop. 2007, 10, 127–143. [Google Scholar] [CrossRef]
- Biluca, F.C.; Della Betta, F.; de Oliveira, G.P.; Pereira, L.M.; Gonzaga, L.V.; Costa, A.C.O.; Fett, R. 5-HMF and carbohydrates content in stingless bee honey by CE before and after thermal treatment. Food Chem. 2014, 159, 244–249. [Google Scholar] [CrossRef]
- Capuano, E.; Fogliano, V. Acrylamide and 5-hydroxymethylfurfural (HMF): A review on metabolism, toxicity, occurrence in food and mitigation strategies. LWT—Food Sci. Technol. 2011, 44, 793–810. [Google Scholar] [CrossRef]
- Choudhary, A.; Kumar, V.; Kumar, S.; Majid, I.; Aggarwal, P.; Suri, S. 5-hydroxymethylfurfural (HMF) formation, occurrence and potential health concerns: Recent developments. Toxin Rev. 2021, 40, 545–561. [Google Scholar] [CrossRef]
- Tosi, E.; Martinet, R.; Ortega, M.; Lucero, H.A.; Ré, E. Honey diastase activity modified by heating. Food Chem. 2008, 106, 883–887. [Google Scholar] [CrossRef]
- Ismail, N.I. Effects of sugar adulterants on the physicochemical properties of natural honey. J. Tomogr. Syst. Sens. Appl. 2019, 2, 59–64. [Google Scholar]
- Samira, N. The effect of heat treatment on the quality of Algerian honey. Researcher 2016, 8, 1–6. [Google Scholar]
- Mansour, A.; Mohajeri-Tehrani, M.R.; Qorbani, M.; Heshmat, R.; Larijani, B.; Hosseini, S. Effect of glutamine supplementation on cardiovascular risk factors in patients with type 2 diabetes. Nutrition 2015, 31, 119–126. [Google Scholar] [CrossRef] [PubMed]
- Pathak, N.M.; Millar, P.J.B.; Pathak, V.; Flatt, P.R.; Gault, V.A. Beneficial metabolic effects of dietary epigallocatechin gallate alone and in combination with exendin-4 in high fat diabetic mice. Mol. Cell. Endocrinol. 2018, 460, 200–208. [Google Scholar] [CrossRef] [PubMed]
- El-Shial, E.M.; Kabbash, A.; El-Aasr, M.; El-Feky, O.A.; El-Sherbeni, S.A. Elucidation of natural components of Gardenia thunbergia Thunb. leaves: Effect of methanol extract and rutin on non-alcoholic fatty liver disease. Molecules 2023, 28, 879. [Google Scholar] [CrossRef]
- Guo, X.; Tang, R.; Yang, S.; Lu, Y.; Luo, J.; Liu, Z. Rutin and its combination with inulin attenuate gut dysbiosis, the inflammatory status and endoplasmic reticulum stress in paneth cells of obese mice induced by high-fat diet. Front. Microbiol. 2018, 9, 2651. [Google Scholar] [CrossRef]
- Wang, K.; Liang, C.; Cao, W.; Luo, G.; Zhong, S.; Zeng, Z.; Dai, L.; Song, J.-L. Dietary sinapic acid attenuated high-fat diet-induced lipid metabolism and oxidative stress in male syrian hamsters. J. Food Biochem. 2022, 46, e14203. [Google Scholar] [CrossRef]
- Yoon, H.J.; Yoon, D.S.; Baek, H.J.; Kang, B.; Jung, U.J. Dietary sinapic acid alleviates adiposity and inflammation in diet-induced obese mice. Prev. Nutr. Food Sci. 2022, 27, 407. [Google Scholar] [CrossRef]
- Dong, J.; Zheng, H.; Zeng, Q.; Zhang, X.; Du, L.; Bais, S. Protective effect of D-(-)-quinic acid as food supplement in modulating AMP-activated protein kinase signalling pathway activation in HFD induced obesity. Hum. Exp. Toxicol. 2022, 41, 09603271221119804. [Google Scholar] [CrossRef]
- Naomi, R.; Teoh, S.H.; Rusli, R.N.M.; Embong, H.; Bahari, H.; Kumar, J. Elateriospermum tapos yoghurt as a therapeutic intervention for obesity-associated cognitive impairments and anxiety-like behaviour in a high fat diet maternal obese rat model. Nutrients 2023, 15, 2312. [Google Scholar] [CrossRef]
- Stadnicka, K.; Bogucka, J.; Stanek, M.; Graczyk, R.; Krajewski, K.; Maiorano, G.; Bednarczyk, M. Injection of raffinose family oligosaccharides at 12 days of egg incubation modulates the gut development and resistance to opportunistic pathogens in broiler chickens. Animals 2020, 10, 592. [Google Scholar] [CrossRef]
- Arifin, W.N.; Zahiruddin, W.M. Sample size calculation in animal studies using resource equation approach. Malays. J. Med. Sci. 2017, 24, 101. [Google Scholar] [PubMed]
- Syariffuddeen, M.A.A.; Azman, H.; Yahya, S. Evaluation of performance and characteristic of stingless bee honey using MARDI’s dehydrator. In Proceedings of the Konvensyen Kebangsaan Kejuruteraan Pertanian Dan Makanan, Putrajaya, Malaysia, 21 March 2019; pp. 1–4. [Google Scholar]
- Mohamed, N.; Gwee Sian Khee, S.; Shuid, A.N.; Muhammad, N.; Suhaimi, F.; Othman, F.; Babji, A.S.; Soelaiman, I.-N. The effects of cosmos caudatus on structural bone histomorphometry in ovariectomized rats. Evid.-Based Complement. Altern. Med. 2012, 2012, 817814. [Google Scholar] [CrossRef] [PubMed]
- Niu, Y.; He, J.; Ahmad, H.; Wang, C.; Zhong, X.; Zhang, L.; Cui, T.; Zhang, J.; Wang, T. Curcumin attenuates insulin resistance and hepatic lipid accumulation in a rat model of intra-uterine growth restriction through insulin signalling pathway and sterol regulatory element binding proteins. Br. J. Nutr. 2019, 122, 616–624. [Google Scholar] [CrossRef]
- Wong, S.K.; Chin, K.Y.; Ahmad, F.; Ima-Nirwana, S. Biochemical and histopathological assessment of liver in a rat model of metabolic syndrome Induced by high-carbohydrate high-fat diet. J. Food Biochem. 2020, 44, e13371. [Google Scholar] [CrossRef]
- De Souza, J.A.; Becker, L.K.; Batista, M.A.C.; de Assis Braga, D.C.; Gomes, P.M.; Alzamora, A.C.; Vieira, M.A.R.; de Lima, W.G.; Andrade, M.G.C.; de Lima Sanches, B.; et al. Swimming training improves cardiovascular autonomic dysfunctions and prevents renal damage in rats fed a high-sodium diet from weaning. Exp. Physiol. 2021, 106, 412–426. [Google Scholar] [CrossRef]












| Physicochemical Properties | Unit | DeGT | RGT |
|---|---|---|---|
| Moisture content | % | 14.3 | 31 |
| pH | 3.5 | 3.3 | |
| Free acidity | mEq/kg | 138 | 274.8 |
| Hydroxymethylfurfural (HMF) | mg/kg | <0.1 | 0.3 |
| Ash content | g/100 g | 0.2 | 0.2 |
| Diastase activity | DN | <1 | <1 |
| Trehalulose | g/100 g | 48.5 | 52 |
| Fructose | g/100 g | 8.1 | 8.5 |
| Glucose | g/100 g | 7.3 | 11 |
| Sucrose | g/100 g | <0.01 | <0.01 |
| Maltose | g/100 g | <0.01 | <0.01 |
| Bioactive Compounds | DeGT | RGT |
|---|---|---|
| Sugar | Isomaltose, mannotriose, stachyose, meso-inositol, fuzinoside | |
| Raffinose, galactose, α-kojibiose, 1F-Fructofuranosylnystose, Helonioside B | 2′,6′-Diacetyl-3,6-diferuloylsucrose | |
| Amino acid | Glutamine, tyrosine | |
| Phenolic | Calycanthoside, dihydro-3-coumaric acid | |
| - | Sinapic acid | |
| Flavonoid | Epigallocatechin(4β,8)-gallocatechin, 6″-O-p-Hydroxybenzoyliridin, Glehlinoside B | |
| Luteolin-7-O-α-D-glucoside | 5′-Methoxy-bilobetin | |
| Iridoid glycoside | Sesamoside, Geniposidic acid, Secoxyloganin | |
| Rehmannioside A, Shanzhiside methyl ester | - | |
| Phenylpropanoids | Phenylpropionic acid | |
| Other organic compounds | Cnideoside A, Manhuannin J, Methyl 3,4-dihydroxy-phenyllactate, 1,3,6-Trihydroxy-2-methylanthraquinone-3-O-(O-6-acetyl) neohesperidin, | |
| 5-Hydroxymethyl furoic acid, 1-O-Methyl-3,5-O-dicaffeoylquinic acid methyl ester, Trimethyl citrate, Meliadanoside B, 2-Hydroxy-5-methoxy acetophenone | Mudanpioside H, Sibiricaxanthone B | |
| Total | 33 bioactive compounds | 25 bioactive compounds |
| Calculation | |
|---|---|
| Moisture content | Moisture content RGT = 31%, moisture content DeGT = 14.3%. (based on honey analysis in Table 1) |
| Moisture reduction |
Moisture reduction = moisture content RGT − moisture content DeGT |
| Treatment dose DeGT |
Treatment dose of RGT = 1.0 g/kg/day [22] Treatment dose DeGT = treatment dose RGT − (moisture reduction × treatment dose RGT) |
| Parameters | |
|---|---|
| Adipose tissue | Adipocyte count, area and perimeter [22]. |
| Liver tissue | Hepatosteatosis grading was based on the percentage of fat in liver cells [107]: Grade 0 = <5%, grade 1 = 5–33%, grade 2 = 34–66% and grade 3 = >66% |
| Kidney tissue | Bowman’s space area calculation [108]: Area of Bowman’s space = area of renal corpuscle–area of glomerulus |
Disclaimer/Publisher’s Note: The statements, opinions and data contained in all publications are solely those of the individual author(s) and contributor(s) and not of MDPI and/or the editor(s). MDPI and/or the editor(s) disclaim responsibility for any injury to people or property resulting from any ideas, methods, instructions or products referred to in the content. |
© 2024 by the authors. Licensee MDPI, Basel, Switzerland. This article is an open access article distributed under the terms and conditions of the Creative Commons Attribution (CC BY) license (https://creativecommons.org/licenses/by/4.0/).
Share and Cite
Ikhsan, L.N.; Chin, K.-Y.; Ahmad, F. The Potential of Dehydrated Geniotrigona thoracica Stingless Bee Honey against Metabolic Syndrome in Rats Induced by a High-Carbohydrate, High-Fat Diet. Pharmaceuticals 2024, 17, 1427. https://doi.org/10.3390/ph17111427
Ikhsan LN, Chin K-Y, Ahmad F. The Potential of Dehydrated Geniotrigona thoracica Stingless Bee Honey against Metabolic Syndrome in Rats Induced by a High-Carbohydrate, High-Fat Diet. Pharmaceuticals. 2024; 17(11):1427. https://doi.org/10.3390/ph17111427
Chicago/Turabian StyleIkhsan, Liyana Nabihah, Kok-Yong Chin, and Fairus Ahmad. 2024. "The Potential of Dehydrated Geniotrigona thoracica Stingless Bee Honey against Metabolic Syndrome in Rats Induced by a High-Carbohydrate, High-Fat Diet" Pharmaceuticals 17, no. 11: 1427. https://doi.org/10.3390/ph17111427
APA StyleIkhsan, L. N., Chin, K.-Y., & Ahmad, F. (2024). The Potential of Dehydrated Geniotrigona thoracica Stingless Bee Honey against Metabolic Syndrome in Rats Induced by a High-Carbohydrate, High-Fat Diet. Pharmaceuticals, 17(11), 1427. https://doi.org/10.3390/ph17111427

