Flavonoids in the Spotlight: Bridging the Gap between Physicochemical Properties and Formulation Strategies
Abstract
1. Introduction
2. Discussion
2.1. Flavonoids—Classification, Health Effects, Applications
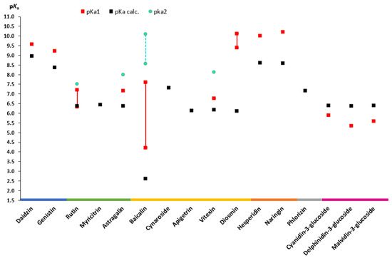
2.2. Acid-Base Dissociation Constant (pKa)
2.3. Solubility and Permeability
2.4. Solubility Parameters
2.5. The Octanol/Water Partition Coefficient (KO/W) and Melting Point (Tm)

3. Materials and Methods
4. Conclusions
Author Contributions
Funding
Institutional Review Board Statement
Informed Consent Statement
Data Availability Statement
Acknowledgments
Conflicts of Interest
Appendix A
| Flavonoid Subgroup | Flavonoid | pKa | log P | Melting Point, °C (lit.) | ||||
|---|---|---|---|---|---|---|---|---|
| pKa1 (exp.) | pKa2 (exp.) | Chemaxon (pred.) | log P (exp.) | Chemaxon (pred.) | ALOGPS (pred.) | |||
| Aglycones | Daidzein | 7.01 [38] | - | 6.48 | 2.51 [157] | 2.73 | 3.3 | 323 (dec.) [161] |
| 7.51 [39] | 2.73 [38] | |||||||
| Genistein | 6.51 [38] | 6.55 | 3.04 [157] | 3.08 | 3.04 | 301.5 (dec.) [162,163] | ||
| 7.25 [39] | 297–298 (slight decomposition) [161] | |||||||
| Quercetin | 5.81 [40] | 7.12 [40] | 6.38 | 1.82 [157] | 2.16 | 1.81 | 313–314 (dec.) [162] | |
| 6.74 [41] | 1.47 [43] | 316.5 [163] | ||||||
| 7.03 [41] | 1.59 [42] | |||||||
| 7.35 [33] | ||||||||
| 7.52 [42] | ||||||||
| 7.76 [43] | ||||||||
| 8.45 [35] | ||||||||
| Myricetin | 6.63 [44] | - | 6.37 | 2.48 [44] | 1.85 | 1.66 | 357–360 [164] | |
| 2.94 [189] | ||||||||
| 2.76 [190] | ||||||||
| Fisetin | 7.42 [45] | - | 6.32 | 1.78 [165] | 1.81 | 2.03 | 330 [164] | |
| 7.53 [33] | ||||||||
| 7.57 [33] | ||||||||
| 7.36 [33] | ||||||||
| Kaempherol | 6.86 [40] | 8.56 [40] | 6.38 | 1.55 [43] | 2.46 | 1.99 | 276–278 [164] | |
| 8.20 [41] | 3.11 [157] | |||||||
| 7.89 [33,43] | ||||||||
| 7.49 [46] | ||||||||
| 7.05 [47] | ||||||||
| Taxifolin | 6.68 [48] | 8.89 [48] | 7.74 | 0.79 [48] | 1.82 | 1.07 | 240–242 [162] | |
| 1.64 [166,167] | ||||||||
| Baicalein | 5.30 [49] | - | 6.76 | 1.79 [20] | 2.71 | 3.19 | 256–271 [164] | |
| Chrysin | 6.44 [42] | - | 6.58 | 2.29 [42] | 3.01 | 3.44 | 285.5 [168] | |
| 6.64 [50] | ||||||||
| 7.41 [33] | ||||||||
| 7.90 [33] | ||||||||
| 8.37 [35,51] | ||||||||
| 8.00 [33] | ||||||||
| Luteolin | 5.99 [52] | 8.40 [52] | 6.57 | 3.22 [157] | 2.40 | 2.73 | 328–330 [164] | |
| 1.75 [169] | ||||||||
| Apigenin | 8.54 [41] | 9.93 [41] | 6.57 | 1.50 [43] | 2.71 | 3.07 | 347.5–352 [164] | |
| 7.86 [43] | 2.92 [157] | |||||||
| 7.46 [33] | ||||||||
| Diosmetin | N/A | N/A | 6.58 | 3.10 [170] | 2.55 | 3.06 | 228–230 [162] | |
| Hesperetin | 7.06 [33] | 9.92 [33] | 7.86 | 2.60 [170] | 2.68 | 2.52 | 226–228 [164] | |
| 6.67 [43] | ||||||||
| Naringenin | 7.08 [33,53] | 9.81 [33] | 7.86 | 2.52 [170] | 2.84 | 2.47 | 251 [171] | |
| 6.7 [33] | 2.60 [157] | |||||||
| 6.80 [54] | ||||||||
| 7.50 [35] | ||||||||
| Isoliquiritigenin | N/A | N/A | 7.11 | N/A | 3.3 | 3.04 | 200–204 [162] | |
| Phloretin | 7.0 [55] | - | 7.96 | N/A | 3.9 | 2.23 | 263.5 [164] | |
| 7.58 [53] | ||||||||
| Silibinin | 5.68 [30] | - | 7.75 | 1.6 [30] | 2.63 | 2.35 | 164–174 [172] | |
| 6.63 [56] | 0.73 [173] | |||||||
| Catechin | 8.6 [57] | 9.41 [57] | 9 | 0.38 [43] | 1.8 | 1.02 | 175 [162] | |
| 8.64 [43] | ||||||||
| Epigallocatechin | 8.41 [43] | - | 8.73 | N/A | 1.49 | 0.71 | 219–221 [171] | |
| Epigallocatechin gallate | 7.75 [43] | 7.99 | 1.0 [191] | 3.08 | 2.38 | 140–142 [171] | ||
| Cyanidin | 5.48 [58] | 6.70 [58] * | 6.47 | N/A | −0.8 | 2.41 | >300 [161] | |
| Delphinidin | 5.30 [58] | 6.15 [58] * | 5.98 | N/A | 2.77 | 2.07 | 250 (as chloride) [162] | |
| >350 [171] | ||||||||
| Malvidin | 6.02 [58] | 7.56 [58] * | 5.30 | N/A | 2.83 | 1.98 | >300 [162] | |
| Glycosides | Daidzin | 9.55 [59] | - | 8.96 | 0.32 [157] | 0.46 | 0.71 | 233–235 [162] |
| Genistin | 9.20 [59] | - | 8.36 | 0.97 [157] | 0.81 | 0.68 | 254–256 [162] | |
| Rutin | 7.21 [40] | 7.52 [40] | 6.37 | −0.64 [157] | −0.87 | 0.15 | 125 [163] | |
| 6.33 [42] | −0.47 [42] | 214–215 (dec.) [174] | ||||||
| Myricitrin | N/A | - | 6.43 | N/A | 0.60 | 1.18 | 194–197 [162,172] | |
| Astragalin | 7.17 [40] | 7.99 [40] | 6.37 | N/A | 0.16 | 0.52 | 178 [162] | |
| Baicalin | 4.21 [18] | 8.56 [18] | 2.62 | 1.27 [20] | 0.76 | 1.27 | 202–205 (dec.) [164] | |
| 7.6 [20] | ||||||||
| Cynaroside | N/A | - | 7.30 | N/A | 0.14 | 0.58 | 256–258 [164,171] | |
| Apigetrin | N/A | - | 7.30 | N/A | 0.44 | 0.68 | 230–237 [172] | |
| Vitexin | 6.76 [60] | 8.11 [60] | 6.17 | N/A | 0.051 | 0.36 | 256–257 [175] | |
| Diosmin | 9.39–10.12 [61] | - | 7.31 | 0.14 [170,176] | −0.44 | 0.08 | 277–278 [161] | |
| Hesperidin | 10.0 [62] | - | 8.61 | −0.87 [177] | −0.31 | −0.27 | 258–262 [162] | |
| 7.75 [50] | 250–255 (dec.) [164] | |||||||
| Naringin | 10.2 [54] | - | 8.58 | N/A | −0.16 | −0.24 | 83 [171] | |
| Phlorizin | 7.42 [53] | - | 7.87 | 0.94 [179] | 0.98 | 0.44 | 110 [162] | |
| 7.32 [63] | 113–114 [164] | |||||||
| Cyanidin-3-glucoside | N/A | 5.88 [58] | 6.39 | −1.23 [180] | 0.44 | 0.68 | >350 [178] | |
| Delphinidin-3-glucoside | N/A | 5.35 [58] | 6.37 | N/A | 0.93 | 0.10 | N/A | |
| Malvidin-3-glucoside | 1.76 [64] | 5.36 [64] | 6.38 | −1.31 [181] | 0.17 | 1.3 | N/A | |
| Flavonoid Subgroup | Flavonoid | Permeability (Papp), 1 × 10−6 cm per s | Solubility, mg/mL | Single Dietary Dose, mg | ||
|---|---|---|---|---|---|---|
| Caco-2 Cells Apical to Basolateral (A to B) (exp.) | exp. | ALOGPS (pred.) | min. Value | max. Value | ||
| Aglycones | Daidzein | 67.97 [38] | 0.008215 [72] | 0.0849 | 19.01 [88] | 34 [89] |
| 21 [77] | ||||||
| 36.8 [78] | ||||||
| Genistein | 33.90 [79] | 0.015 [90] | 0.123 | 21.02 [88] | 250 [91] | |
| 22.50 [77] | ||||||
| 3.7 [78] | ||||||
| 30.9 [80] | ||||||
| 52.86 [38] | ||||||
| Quercetin | 3.91 [77] | 0.0003 [72] | 0.261 | 85 [92] | 1600 [93] | |
| 3.80 [42] | ||||||
| 9.89 [78] | ||||||
| 2.55 [79] | ||||||
| 0 [81] | ||||||
| Myricetin | 1.70 [77] | 0.00276 (pH 3) [44] | 0.301 | N/A | 100 [94] | |
| 0.29 [79] | ||||||
| Fisetin | N/A | 0.01045 [95] | 0.151 | 150 [96] | 1000 [97] | |
| Kaempherol | 10.20 [77] | 0.113 [98] | 0.178 | N/A | 100 [99] | |
| 6.68 [79] | ||||||
| Taxifolin | 0.31 [77] | N/A | 1.16 | 60 [100] | 160 [101] | |
| 6.32 [79] | ||||||
| Baicalein | 7.29 [77] | 0.00229 (pH 1) [102] | 0.153 | 50 [103] | 200 [104] | |
| 1.95 [79] | ||||||
| 3.51 [82] | ||||||
| Chrysin | 16.00 [77] | 0.003038 [105] | 0.105 | 500 [106] | 1500 [106] | |
| 2.60 [42] | ||||||
| 6.78 [79] | ||||||
| Luteolin | 8.87 [77] | 0.0025 [107] | 0.138 | N/A | 100 [108] | |
| 10.10 [79] | ||||||
| 0 [81] | ||||||
| Apigenin | 16.9 [80] | 0.00163 [109] | 0.118 | 50 [110] | 500 [111] | |
| 17.12 [79] | ||||||
| Diosmetin | 76.2 [54] | N/A | 0.0754 | N/A | N/A | |
| Hesperetin | 18.30 [77] | N/A | 0.138 | N/A | N/A | |
| 47.1 [54] | ||||||
| 23.50 [79] | ||||||
| Naringenin | 37.8 [54] | 0.00438 [112] | 0.214 | N/A | 100 [113] | |
| 12.60 [77] | ||||||
| 32.13 [79] | ||||||
| Isoliquiritigenin | 14.60 [77] | 0.035 [114] | 0.0551 | N/A | 25 [115] | |
| 13.76 [79] | ||||||
| 8.01 [82] | ||||||
| Phloretin | 1.06 (10.9 µM); 0.13 (21.9 µM); 0.34 (43.8 µM) [83] | N/A | 0.132 | N/A | 10 [116] | |
| Silibinin | 3.2 [84] | 0.055 [30] | 0.0926 | 53 [117] | 180 [118] | |
| Catechin | 1.68 [85] | 0.45 [119] | 0.645 | 35 (as epicatechin) [120] | 500 (as epicatechin) [121] | |
| 0.14 [86] | ||||||
| 0 [81] | ||||||
| Epigallocatechin | 0.15 [86] | N/A | 0.871 | N/A | 30 [120] | |
| Epigallocatechin gallate | 0.88 [85] | 52.37 (pH 5) [122] | 0.0728 | 117 [123] | 810 [124] | |
| 0.083 [86] | ||||||
| 1.35 [87] | ||||||
| Cyanidin | N/A | N/A | 0.071 | N/A | N/A | |
| Delphinidin | N/A | N/A | 0.071 | N/A | N/A | |
| Malvidin | N/A | N/A | 0.023 | N/A | N/A | |
| Glycosides | Daidzin | 0.0574 (detected as daidzein) [78] | 0.040 [126] | 0.661 | 3 [127] | 19.25 [128] |
| 0.44 [77] | ||||||
| Genistin | 0.0910 (detected as genistein) [78] | 0.020 [126] | 1.01 | N/A | 25 [128] | |
| Rutin | 0 [77] 1.24 [42] 10.32 [86] 4.04 [79] | 0.147 [42] | 3.54 | 10 [129] | 500 [130] | |
| Myricitrin | 0 [77] | N/A | 2.43 | N/A | N/A | |
| Astragalin | N/A | N/A | 1.58 | N/A | N/A | |
| Baicalin | 0.17 [77] 0.12 [131] 0.241 [82] | 0.052 [131] | 1.72 | 125 [103] | 500 [132] | |
| Cynaroside | 0.43 [77] | N/A | 1.08 | N/A | N/A | |
| Apigetrin | N/A | N/A | 0.97 | N/A | N/A | |
| Vitexin | N/A | 0.00762 [133] | 1.73 | 8.75 [134] | 24.5 [135] | |
| Diosmin | Not detected [54] | 0.000019 [136] | 1.54 | 450 [137] | 1000 [138] | |
| Hesperidin | Not detected [54] 1.11 (in rabbits cornea) [62] | 0.00493 [62] | 2.69 | 36 [139] | 1000 [140] | |
| Naringin | Not detected [54] 3.73 [79] 0 [81] | 0.087 [141] | 4.06 | 150 [142] | 500 [143] | |
| Phlorizin | N/A | 1.93 [144] | 1.21 | N/A | 50 [145] | |
| Cyanidin-3-glucoside | ~0.01 (determined value from the graph) [78] 0.81 [146] | N/A | 0.60 | 2.2 [147] | 600 [147] | |
| Delphinidin-3-glucoside | N/A | N/A | 0.85 | N/A | N/A | |
| Malvidin-3-glucoside | N/A | N/A | 0.37 | N/A | N/A | |
| Flavonoid Subgroup | Flavonoid | Groups’ Contribution | Molecular Volume, cm3·mol−1 | ||||||||||||||||
|---|---|---|---|---|---|---|---|---|---|---|---|---|---|---|---|---|---|---|---|
| CH3 | -CH2- | -CH< | =CH- | =C< | -C6 aromatic | -C6-aromatic o,m,p | -OH | -O- | -CO- | -COOH | -COO- | Ring | |||||||
| Aglycones | Daidzein | - | - | - | 1 | 1 | 1 | 1 | 2 | 1 | 1 | - | - | 1 | 201.40 | 15.00 | 21.60 | 5.40 | 22.26 |
| Genistein | - | - | - | 1 | 1 | 1 | 1 | 3 | 1 | 1 | - | - | 1 | 211.50 | 17.60 | 21.60 | 5.80 | 22.37 | |
| Quercetin | - | - | - | - | 2 | 1 | 1 | 5 | 1 | 1 | - | - | 1 | 219.80 | 21.90 | 22.10 | 6.50 | 21.32 | |
| Myricetin | - | - | - | - | 2 | 1 | 1 | 6 | 1 | 1 | - | - | 1 | 234.90 | 23.10 | 21.50 | 6.40 | 20.90 | |
| Fisetin | - | - | - | - | 2 | 1 | 1 | 4 | 1 | 1 | - | - | 1 | 204.30 | 20.40 | 22.70 | 6.50 | 21.89 | |
| Kaempherol | - | - | - | - | 2 | 1 | 1 | 4 | 1 | 1 | - | - | 1 | 211.30 | 20.10 | 22.00 | 6.30 | 21.16 | |
| Taxifolin | - | - | 2 | - | - | 1 | 1 | 5 | 1 | 1 | - | - | 1 | 232.20 | 21.30 | 21.80 | 5.90 | 20.85 | |
| Baicalein | - | - | - | 1 | 1 | 1 | 1 | 3 | 1 | 1 | - | - | 1 | 208.90 | 17.60 | 21.70 | 5.60 | 20.58 | |
| Chrysin | - | - | - | 1 | 1 | 1 | 1 | 2 | 1 | 1 | - | - | 1 | 200.50 | 15.00 | 21.40 | 6.00 | 20.59 | |
| Luteolin | - | - | - | 1 | 1 | 1 | 1 | 4 | 1 | 1 | - | - | 1 | 222.40 | 19.50 | 21.60 | 5.80 | 20.63 | |
| Apigenin | - | - | - | 1 | 1 | 1 | 1 | 3 | 1 | 1 | - | - | 1 | 211.50 | 17.50 | 20.50 | 5.70 | 21.28 | |
| Diosmetin | 1 | - | - | 1 | 1 | 1 | 1 | 3 | 2 | 1 | - | - | 1 | 229.60 | 17.20 | 22.70 | 5.40 | 20.62 | |
| Hesperetin | 1 | 1 | 1 | - | - | 1 | 1 | 3 | 2 | 1 | - | - | 1 | 239.70 | 16.80 | 20.50 | 5.20 | 20.19 | |
| Naringenin | 2 | 2 | 11 | - | - | 1 | 1 | 8 | 6 | 1 | - | - | 3 | 220.00 | 17.20 | 22.10 | 6.50 | 21.32 | |
| Isoliquiritigenin | - | - | - | 2 | - | - | 2 | 3 | - | 1 | - | - | - | 197.50 | 17.70 | 21.50 | 5.90 | 20.37 | |
| Phloretin | - | 2 | - | - | - | - | 2 | 4 | - | 1 | - | - | - | 204.30 | 20.00 | 22.50 | 6.20 | 21.51 | |
| Silibinin | 1 | 1 | 4 | - | - | 2 | 1 | 5 | 4 | 1 | - | - | 2 | 367.50 | 17.60 | 19.80 | 4.30 | 20.26 | |
| Catechin | - | 1 | 2 | - | - | 1 | 1 | 5 | 1 | - | - | - | 1 | 232.10 | 21.10 | 20.60 | 5.20 | 19.99 | |
| Epigallocatechin | - | 1 | 2 | - | - | 1 | 1 | 6 | 1 | - | - | - | 1 | 254.80 | 22.00 | 28.80 | 6.10 | 19.09 | |
| Epigallocatechin gallate | - | 1 | 2 | - | - | 1 | 2 | 8 | 1 | - | - | 1 | 1 | 324.90 | 22.90 | 22.30 | 4.80 | 21.35 | |
| Cyanidin | - | - | - | - | - | - | - | - | - | - | - | - | - | N/A | N/A | N/A | N/A | N/A | |
| Delphinidin | - | - | - | - | - | - | - | - | - | - | - | - | - | N/A | N/A | N/A | N/A | N/A | |
| Malvidin | - | - | - | - | - | - | - | - | - | - | - | - | - | N/A | N/A | N/A | N/A | N/A | |
| Glycosides | Daidzin | - | 1 | 5 | 1 | 1 | 1 | 1 | 5 | 3 | 1 | - | - | 2 | 315.80 | 18.70 | 19.10 | 4.90 | 18.53 |
| Genistin | - | 1 | 5 | 1 | 1 | 1 | 1 | 6 | 3 | 1 | - | - | 2 | 350.00 | 19.30 | 17.90 | 4.60 | 17.42 | |
| Rutin | - | 1 | 10 | - | - | 1 | 1 | 10 | 5 | 1 | - | - | 3 | 520.40 | 20.40 | 17.00 | 3.80 | 15.18 | |
| Myricitrin | 1 | - | 5 | - | 2 | 1 | 1 | 8 | 3 | 1 | - | - | 2 | 396.50 | 20.80 | 17.00 | 4.60 | 16.50 | |
| Astragalin | - | - | - | - | 2 | 1 | 1 | 7 | 3 | 1 | - | - | 2 | 360.30 | 20.50 | 17.60 | 4.70 | 16.10 | |
| Baicalin | - | - | 5 | 1 | 1 | 1 | 1 | 5 | 3 | 1 | 1 | - | 2 | 317.00 | 19.50 | 19.40 | 5.00 | 19.36 | |
| Cynaroside | - | 1 | 5 | 1 | 1 | 1 | 1 | 7 | 3 | 1 | - | - | 2 | 360.40 | 20.50 | 17.90 | 4.70 | 17.54 | |
| Apigetrin | - | 1 | 5 | 1 | 1 | 1 | 1 | 6 | 3 | 1 | - | - | 2 | 350.00 | 19.30 | 17.90 | 4.60 | 17.42 | |
| Vitexin | - | 1 | 5 | 1 | 1 | 1 | 1 | 7 | 3 | 1 | - | - | 2 | 328.10 | 21.50 | 19.40 | 5.00 | 19.19 | |
| Diosmin | 2 | 1 | 10 | 1 | 1 | 1 | 1 | 8 | 6 | 1 | - | - | 3 | 518.50 | 18.50 | 15.30 | 3.60 | 15.72 | |
| Hesperidin | 1 | 3 | 10 | - | - | 1 | 1 | 9 | 4 | 1 | - | - | 2 | 529.90 | 18.40 | 15.60 | 3.60 | 15.72 | |
| Naringin | - | 2 | - | - | - | 2 | 4 | - | 1 | - | - | - | 508.60 | 19.50 | 15.90 | 3.70 | 15.55 | ||
| Phlorizin | - | 3 | 5 | - | - | - | 2 | 7 | 1 | 1 | - | - | - | 360.00 | 20.10 | 17.40 | 4.60 | 16.21 | |
| Cyanidin-3-glucoside | - | - | - | - | - | - | - | - | - | - | - | - | - | N/A | N/A | N/A | N/A | N/A | |
| Delphinidin-3-glucoside | - | - | - | - | - | - | - | - | - | - | - | - | - | N/A | N/A | N/A | N/A | N/A | |
| Malvidin-3-glucoside | - | - | - | - | - | - | - | - | - | - | - | - | - | N/A | N/A | N/A | N/A | N/A | |
References
- Zhao, J.; Yang, J.; Xie, Y. Improvement strategies for the oral bioavailability of poorly water-soluble flavonoids: An overview. Int. J. Pharm. 2019, 570, 118642. [Google Scholar] [CrossRef] [PubMed]
- Smith, T.; Resetar, H.; Morton, C. US sales of herbal supplements increase by 9.7% in 2021. HerbalGram 2022, 136, 42–69. [Google Scholar]
- U.S. Department of Health and Human Services; Food and Drug, Administration. M9 Biopharmaceutics Classification System Based Biowaivers. Available online: https://www.fda.gov/media/148472/download (accessed on 25 September 2023).
- European Medicines Agency. Guideline on the Investigation of Bioequivalence. Available online: https://www.ema.europa.eu/en/documents/scientific-guideline/guideline-investigation-bioequivalence-rev1_en.pdf (accessed on 25 September 2023).
- Kozłowska, A.; Szostak-Wegierek, D. Flavonoids—Food sources and health benefits. Rocz. Panstw. Zakl. Hig. 2014, 68, 79–85. [Google Scholar]
- Pietta, P.-G. Flavonoids as Antioxidants. J. Nat. Prod. 2000, 63, 1035–1042. [Google Scholar] [CrossRef] [PubMed]
- Brodowska, K. Natural flavonoids: Classification, potential role, and application of flavonoid analogues. Eur. J. Biol. Res. 2017, 7, 108–123. [Google Scholar] [CrossRef]
- Šudomová, M.; Berchová-Bímová, K.; Mazurakova, A.; Šamec, D.; Kubatka, P.; Hassan, S.T.S. Flavonoids Target Human Herpesviruses That Infect the Nervous System: Mechanisms of Action and Therapeutic Insights. Viruses 2022, 14, 592. [Google Scholar] [CrossRef]
- Hassan, S.T.S.; Šudomová, M. Molecular Mechanisms of Flavonoids against Tumor Gamma-Herpesviruses and Their Correlated Cancers—A Focus on EBV and KSHV Life Cycles and Carcinogenesis. Int. J. Mol. Sci. 2023, 24, 247. [Google Scholar] [CrossRef]
- Pinto, C.; Cidade, H.; Pinto, M.; Tiritan, M. Chiral Flavonoids as Antitumor Agents. Pharmaceuticals 2021, 14, 1267. [Google Scholar] [CrossRef]
- Liskova, A.; Samec, M.; Koklesova, L.; Brockmueller, A.; Zhai, K.; Abdellatif, B.; Siddiqui, M.; Biringer, K.; Kudela, E.; Pec, M.; et al. Flavonoids as an effective sensitizer for anti-cancer therapy: Insights into multi-faceted mechanisms and applicability towards individualized patient profiles. EPMA J. 2021, 12, 155–176. [Google Scholar] [CrossRef]
- Serafini, M.; Peluso, I.; Raguzzini, A. Flavonoids as anti-inflammatory agents. Proc. Nutr. Soc. 2010, 69, 273–278. [Google Scholar] [CrossRef]
- Ahmed, A. Flavonoids and cardiovascular risk factors: A review. Pharmadvances 2021, 3, 521–547. [Google Scholar] [CrossRef]
- Egert, S.; Rimbach, G. Which sources of flavonoids: Complex diets or dietary supplements? Adv. Nutr. 2011, 2, 8–14. [Google Scholar] [CrossRef]
- Vogiatzoglou, A.; Mulligan, A.A.; Lentjes, M.A.; Luben, R.N.; Spencer, J.P.; Schroeter, H.; Khaw, K.T.; Kuhnle, G.G. Flavonoid intake in European adults (18 to 64 years). PLoS ONE 2015, 10, e0128132. [Google Scholar] [CrossRef] [PubMed]
- Rauter, A.P.; Ennis, M.; Hellwich, K.-H.; Herold, B.J.; Horton, D.; Moss, G.P.; Schomburg, I. Nomenclature of flavonoids (IUPAC Recommendations 2017). Pure Appl. Chem. 2018, 90, 1429–1486. [Google Scholar] [CrossRef]
- Panche, A.N.; Diwan, A.D.; Chandra, S.R. Flavonoids: An overview. J. Nutr. Sci. 2016, 5, e47. [Google Scholar] [CrossRef] [PubMed]
- Jakab, G.; Bogdán, D.; Mazák, K.; Deme, R.; Mucsi, Z.; Mándity, I.M.; Noszál, B.; Kállai-Szabó, N.; Antal, I. Physicochemical Profiling of Baicalin Along with the Development and Characterization of Cyclodextrin Inclusion Complexes. AAPS PharmSciTech 2019, 20, 314. [Google Scholar] [CrossRef] [PubMed]
- Li, M.; Shi, A.; Pang, H.; Xue, W.; Li, Y.; Cao, G.; Yan, B.; Dong, F.; Li, K.; Xiao, W.; et al. Safety, tolerability, and pharmacokinetics of a single ascending dose of baicalein chewable tablets in healthy subjects. J. Ethnopharmacol. 2014, 156, 210–215. [Google Scholar] [CrossRef]
- Liang, R.; Han, R.-M.; Fu, L.-M.; Ai, X.-C.; Zhang, J.-P.; Skibsted, L. Baicalin in Radical Scavenging and Its Synergistic Effect with β-Carotene in Antilipoxidation. J. Agric. Food Chem. 2009, 57, 7118–7124. [Google Scholar] [CrossRef]
- Amazon.com. Amazon Best Sellers: Best Sellers in Flavonoid Vitamin Supplements. Available online: https://www.amazon.com/Best-Sellers-Flavonoid-Vitamin-Supplements/zgbs/hpc/3773561 (accessed on 10 August 2023).
- Amazon.co.uk. Amazon Best Sellers: Best Sellers in Flavonoid Antioxidant Supplements (UK). Available online: https://www.amazon.co.uk/Best-Sellers-Flavonoid-Antioxidant-Supplements/zgbs/drugstore/5977712031 (accessed on 10 August 2023).
- Amazon.co.uk. Quercetin 500 mg with Bromelain & Vitamin C—120 Vegan Capsules—For Immune Support—Blended with Rosehip, Bioflavonoids, Acerola and Rutin—Made in The UK by Nutravita. Available online: https://www.amazon.co.uk/Quercetin-Complex-Vitamin-Contributes-Bioflavonoids/dp/B083F34SVQ/ref=zg_bs_g_5977712031_sccl_1/257-5385247-4093119?psc=1 (accessed on 10 August 2023).
- Trypsin+Bromelain+Rutoside Trihydrate. Available online: https://www.apollopharmacy.in/salt/trypsin%2bbromelain%2brutoside%20trihydrate (accessed on 11 August 2023).
- Jayachandran, S.; Khobre, P. Efficacy of Bromelain along with Trypsin, Rutoside Trihydrate Enzymes and Diclofenac Sodium Combination Therapy for the treatment of TMJ Osteoarthritis—A Randomised Clinical Trial. J. Clin. Diagn. Res. 2017, 11, zc09–zc11. [Google Scholar] [CrossRef]
- Kim, I.S. Current Perspectives on the Beneficial Effects of Soybean Isoflavones and Their Metabolites for Humans. Antioxidants 2021, 10, 1064. [Google Scholar] [CrossRef]
- Huwait, E.; Mobashir, M. Potential and Therapeutic Roles of Diosmin in Human Diseases. Biomedicines 2022, 10, 1076. [Google Scholar] [CrossRef]
- Cai, Z.Y.; Li, X.M.; Liang, J.P.; Xiang, L.P.; Wang, K.R.; Shi, Y.L.; Yang, R.; Shi, M.; Ye, J.H.; Lu, J.L.; et al. Bioavailability of Tea Catechins and Its Improvement. Molecules 2018, 23, 2346. [Google Scholar] [CrossRef]
- Lukaseder, B.; Vajrodaya, S.; Hehenberger, T.; Seger, C.; Nagl, M.; Lutz-Kutschera, G.; Robien, W.; Greger, H.; Hofer, O. Prenylated flavanones and flavanonols as chemical markers in Glycosmis species (Rutaceae). Phytochemistry 2009, 70, 1030–1037. [Google Scholar] [CrossRef]
- Mohylyuk, V.; Pauly, T.; Dobrovolnyi, O.; Scott, N.; Jones, D.S.; Andrews, G.P. Effect of carrier type and Tween® 80 concentration on the release of silymarin from amorphous solid dispersions. J. Drug Deliv. Sci. Technol. 2021, 63, 102416. [Google Scholar] [CrossRef]
- Ahn-Jarvis, J.H.; Parihar, A.; Doseff, A.I. Dietary Flavonoids for Immunoregulation and Cancer: Food Design for Targeting Disease. Antioxidants 2019, 8, 202. [Google Scholar] [CrossRef] [PubMed]
- Manallack, D.T. The pKa Distribution of Drugs: Application to Drug Discovery. Perspect. Med. Chem. 2007, 1, 25–38. [Google Scholar] [CrossRef]
- Fuguet, E.; Ràfols, C.; Mañé, M.; Ruiz, R.; Bosch, E. Acidity constants of hydroxyl groups placed in several flavonoids: Two flavanones, two flavones and five flavonols. Talanta 2023, 253, 124096. [Google Scholar] [CrossRef]
- Bitew, M.; Desalegn, T.; Demissie, T.B.; Belayneh, A.; Endale, M.; Eswaramoorthy, R. Pharmacokinetics and drug-likeness of antidiabetic flavonoids: Molecular docking and DFT study. PLoS ONE 2021, 16, e0260853. [Google Scholar] [CrossRef]
- Musialik, M.; Kuzmicz, R.; Pawłowski, T.S.; Litwinienko, G. Acidity of Hydroxyl Groups: An Overlooked Influence on Antiradical Properties of Flavonoids. J. Org. Chem. 2009, 74, 2699–2709. [Google Scholar] [CrossRef]
- O’ Donovan, D.H.; De Fusco, C.; Kuhnke, L.; Reichel, A. Trends in Molecular Properties, Bioavailability, and Permeability across the Bayer Compound Collection. J. Med. Chem. 2023, 66, 2347–2360. [Google Scholar] [CrossRef]
- Fraczkiewicz, R.; Lobell, M.; Göller, A.H.; Krenz, U.; Schoenneis, R.; Clark, R.D.; Hillisch, A. Best of Both Worlds: Combining Pharma Data and State of the Art Modeling Technology To Improve in Silico pKa Prediction. J. Chem. Inf. Model. 2015, 55, 389–397. [Google Scholar] [CrossRef] [PubMed]
- Kobayashi, S.; Shinohara, M.; Nagai, T.; Konishi, Y. Transport mechanisms for soy isoflavones and microbial metabolites dihydrogenistein and dihydrodaidzein across monolayers and membranes. Biosci. Biotechnol. Biochem. 2013, 77, 2210–2217. [Google Scholar] [CrossRef] [PubMed]
- Nan, G.; Shi, J.; Huang, Y.; Sun, J.; Lv, J.; Yang, G.; Li, Y. Dissociation Constants and Solubilities of Daidzein and Genistein in Different Solvents. J. Chem. Eng. Data 2014, 59, 1304–1311. [Google Scholar] [CrossRef]
- Xiao, Z.; He, L.; Hou, X.; Wei, J.; Ma, X.; Gao, Z.; Yuan, Y.; Xiao, J.; Li, P.; Yue, T. Relationships between Structure and Antioxidant Capacity and Activity of Glycosylated Flavonols. Foods 2021, 10, 849. [Google Scholar] [CrossRef]
- Lemanska, K.; Szymusiak, H.; Tyrakowska, B.; Zielinski, R.; Soffers, A.; Rietjens, I. The influence of pH on antioxidant properties and the mechanism of antioxidant action of hydroxyflavones. Free Radic. Biol. Med. 2001, 31, 869–881. [Google Scholar] [CrossRef]
- Rastogi, H.; Jana, S. Evaluation of physicochemical properties and intestinal permeability of six dietary polyphenols in human intestinal colon adenocarcinoma Caco-2 cells. Eur. J. Drug Metab. Pharmacokinet. 2016, 41, 33–43. [Google Scholar] [CrossRef]
- Tungjai, M.; Poompimon, W.; Loetchutinat, C.; Kothan, S.; Dechsupa, N.; Mankhetkorn, S. Spectrophotometric Characterization of Behavior and the Predominant Species of Flavonoids in Physiological Buffer: Determination of Solubility, Lipophilicity and Anticancer Efficacy. Open Drug Deliv. J. 2008, 2, 10–19. [Google Scholar] [CrossRef][Green Version]
- Yao, Y.; Lin, G.; Xie, Y.; Ma, P.; Li, G.; Meng, Q.; Wu, T. Preformulation studies of myricetin: A natural antioxidant flavonoid. Pharmazie 2014, 69, 19–26. [Google Scholar] [CrossRef]
- Kumar, R.M.; Kumar, H.; Bhatt, T.; Jain, R.; Panchal, K.; Chaurasiya, A.; Jain, V. Fisetin in Cancer: Attributes, Developmental Aspects, and Nanotherapeutics. Pharmaceuticals 2023, 16, 196. [Google Scholar] [CrossRef]
- Álvarez-Diduk, R.; Ramírez-Silva, M.T.; Galano, A.; Merkoçi, A. Deprotonation Mechanism and Acidity Constants in Aqueous Solution of Flavonols: A Combined Experimental and Theoretical Study. J. Phys. Chem. B 2013, 117, 12347–12359. [Google Scholar] [CrossRef]
- Herrero-Martínez, J.M.; Sanmartin, M.; Rosés, M.; Bosch, E.; Ràfols, C. Determination of dissociation constants of flavonoids by capillary electrophoresis. Electrophoresis 2005, 26, 1886–1895. [Google Scholar] [CrossRef] [PubMed]
- Teixeira, S.; Siquet, C.; Alves, C.; Boal, I.; Marques, M.P.; Borges, F.; Lima, J.L.F.C.; Reis, S. Structure–property studies on the antioxidant activity of flavonoids present in diet. Free Radic. Biol. Med. 2005, 39, 1099–1108. [Google Scholar] [CrossRef] [PubMed]
- Yoshizuka, K.; Ohta, H.; Inoue, K.; Kitazaki, H.; Ishimaru, M. Selective separation of flavonoids with a polyvinyl alcohol membrane. J. Membr. Sci. 1996, 118, 41–48. [Google Scholar] [CrossRef]
- Memon, A.F.; Solangi, A.R.; Memon, S.Q.; Mallah, A.; Memon, N. Quantitative separation of hesperidin, chrysin, epicatechin, epigallocatechin gallate, and morin using ionic liquid as a buffer additive in capillary electrophoresis. Electrophoresis 2018, 39, 1606–1612. [Google Scholar] [CrossRef]
- Thompson, M.; Williams, C.R.; Elliot, G.E.P. Stability of flavonoid complexes of copper(II) and flavonoid antioxidant activity. Anal. Chim. Acta 1976, 85, 375–381. [Google Scholar] [CrossRef]
- Ramešová, S.; Sokolová, R.; Degano, I.; Bulíčková, J.; Zabka, J.; Gál, M. On the stability of the bioactive flavonoids quercetin and luteolin under oxygen-free conditions. Anal. Bioanal. Chem. 2012, 402, 975–982. [Google Scholar] [CrossRef]
- Kron, I.; Pudychová-Chovanová, Z.; Velika, B.; Guzy, J.; Perjesi, P. (E)-2-Benzylidenebenzocyclanones, part VIII: Spectrophotometric determination of pK a values of some natural and synthetic chalcones and their cyclic analogues. Monatshefte Chem. Chem. Mon. 2011, 143, 13–17. [Google Scholar] [CrossRef]
- Serra, H.; Mendes, T.; Bronze, M.R.; Simplício, A.L. Prediction of intestinal absorption and metabolism of pharmacologically active flavones and flavanones. Bioorg. Med. Chem. 2008, 16, 4009–4018. [Google Scholar] [CrossRef]
- Valenta, C.; Cladera, J.; O’Shea, P.; Hadgraft, J. Effect of phloretin on the percutaneous absorption of lignocaine across human skin. J. Pharm. Sci. 2001, 90, 485–492. [Google Scholar] [CrossRef]
- Bai, T.-C.; Zhu, J.-J.; Hu, J.; Zhang, H.-L.; Huang, C.-G. Solubility of silybin in aqueous hydrochloric acid solution. Fluid Phase Equilibria 2007, 254, 204–210. [Google Scholar] [CrossRef]
- Muzolf-Panek, M.; Gliszczyńska-Świgło, A.; Szymusiak, H.; Tyrakowska, B. The influence of stereochemistry on the antioxidant properties of catechin epimers. Eur. Food Res. Technol. 2012, 235, 1001–1009. [Google Scholar] [CrossRef]
- Borkowski, T.; Szymusiak, H.; Gliszczyńska-Świgło, A.; Rietjens, I.M.C.M.; Tyrakowska, B. Radical Scavenging Capacity of Wine Anthocyanins Is Strongly pH-Dependent. J. Agric. Food Chem. 2005, 53, 5526–5534. [Google Scholar] [CrossRef] [PubMed]
- Shi, Y.; Kong, X.; Zhang, C.; Chen, Y.; Hua, Y. Adsorption of soy isoflavones by activated carbon: Kinetics, thermodynamics and influence of soy oligosaccharides. Chem. Eng. J. 2013, 215–216, 113–121. [Google Scholar] [CrossRef]
- Voirin, B.; Sportouch, M.; Raymond, O.; Jay, M.; Bayet, C.; Dangles, O.; El Hajji, H. Separation of flavone C-glycosides and qualitative analysis of Passiflora incarnata L. by capillary zone electrophoresis. Phytochem. Anal. 2000, 11, 90–98. [Google Scholar] [CrossRef]
- Freag, M.S.; Elnaggar, Y.S.R.; Abdallah, O.Y. Development of novel polymer-stabilized diosmin nanosuspensions: In vitro appraisal and ex vivo permeation. Int. J. Pharm. 2013, 454, 462–471. [Google Scholar] [CrossRef]
- Majumdar, S.; Srirangam, R. Solubility, stability, physicochemical characteristics and in vitro ocular tissue permeability of hesperidin: A natural bioflavonoid. Pharm. Res. 2009, 26, 1217–1225. [Google Scholar] [CrossRef]
- Oulianova, N.; Falk, S.; Berteloot, A. Two-Step Mechanism of Phlorizin Binding to the SGLT1 Protein in the Kidney. J. Membr. Biol. 2001, 179, 223–242. [Google Scholar] [CrossRef]
- Asenstorfer, R.E.; Iland, P.G.; Tate, M.E.; Jones, G.P. Charge equilibria and pKa of malvidin-3-glucoside by electrophoresis. Anal. Biochem. 2003, 318, 291–299. [Google Scholar] [CrossRef]
- Almeida, A.F.; Borge, G.I.; Piskula, M.; Tudose, A.; Tudoreanu, L.; Valentová, K.; Williamson, G.; Santos, C. Bioavailability of Quercetin in Humans with a Focus on Interindividual Variation. Compr. Rev. Food Sci. Food Saf. 2018, 17, 714–731. [Google Scholar] [CrossRef]
- Sampson, L.; Rimm, E.; Hollman, P.C.H.; de Vries, J.H.M.; Katan, M.B. Flavonol and Flavone Intakes in US Health Professionals. J. Am. Diet. Assoc. 2002, 102, 1414–1420. [Google Scholar] [CrossRef]
- Reijenga, J.; Van Hoof, A.; Van Loon, A.; Teunissen, B. Development of Methods for the Determination of pKa Values. Anal. Chem. Insights 2013, 8, 53–71. [Google Scholar] [CrossRef] [PubMed]
- Babić, S.; Horvat, A.J.M.; Mutavdžić Pavlović, D.; Kaštelan-Macan, M. Determination of pKa values of active pharmaceutical ingredients. TrAC Trends Anal. Chem. 2007, 26, 1043–1061. [Google Scholar] [CrossRef]
- Amidon, G.L.; Lennernäs, H.; Shah, V.P.; Crison, J.R. A Theoretical Basis for a Biopharmaceutic Drug Classification: The Correlation of In Vitro Drug Product Dissolution and In Vivo Bioavailability. Pharm. Res. 1995, 12, 413–420. [Google Scholar] [CrossRef] [PubMed]
- Larregieu, C.A.; Benet, L.Z. Distinguishing between the permeability relationships with absorption and metabolism to improve BCS and BDDCS predictions in early drug discovery. Mol. Pharm. 2014, 11, 1335–1344. [Google Scholar] [CrossRef]
- Butler, J.M.; Dressman, J.B. The developability classification system: Application of biopharmaceutics concepts to formulation development. J. Pharm. Sci. 2010, 99, 4940–4954. [Google Scholar] [CrossRef] [PubMed]
- Truzzi, F.; Tibaldi, C.; Zhang, Y.; Dinelli, G.; D′Amen, E. An Overview on Dietary Polyphenols and Their Biopharmaceutical Classification System (BCS). Int. J. Mol. Sci. 2021, 22, 5514. [Google Scholar] [CrossRef]
- Fong, S.Y.K.; Liu, M.; Wei, H.; Löbenberg, R.; Kanfer, I.; Lee, V.H.L.; Amidon, G.L.; Zuo, Z. Establishing the Pharmaceutical Quality of Chinese Herbal Medicine: A Provisional BCS Classification. Mol. Pharm. 2013, 10, 1623–1643. [Google Scholar] [CrossRef]
- Grès, M.C.; Julian, B.; Bourrié, M.; Meunier, V.; Roques, C.; Berger, M.; Boulenc, X.; Berger, Y.; Fabre, G. Correlation between oral drug absorption in humans, and apparent drug permeability in TC-7 cells, a human epithelial intestinal cell line: Comparison with the parental Caco-2 cell line. Pharm. Res. 1998, 15, 726–733. [Google Scholar] [CrossRef]
- Takenaka, T.; Harada, N.; Kuze, J.; Chiba, M.; Iwao, T.; Matsunaga, T. Application of a Human Intestinal Epithelial Cell Monolayer to the Prediction of Oral Drug Absorption in Humans as a Superior Alternative to the Caco-2 Cell Monolayer. J. Pharm. Sci. 2016, 105, 915–924. [Google Scholar] [CrossRef]
- Avdeef, A.; Tam, K.Y. How well can the Caco-2/Madin-Darby canine kidney models predict effective human jejunal permeability? J. Med. Chem. 2010, 53, 3566–3584. [Google Scholar] [CrossRef]
- Tian, X.J.; Yang, X.W.; Yang, X.; Wang, K. Studies of intestinal permeability of 36 flavonoids using Caco-2 cell monolayer model. Int. J. Pharm. 2009, 367, 58–64. [Google Scholar] [CrossRef] [PubMed]
- Kitaguchi, T.; Ito, M.; Ohno, K.; Ota, N.; Kobayashi, K.; Sato, H.; Iwao, T.; Matsunaga, T.; Tanaka, M.; Hisaka, A. In vitro-based prediction of human plasma concentrations of food-related compounds. ALTEX—Altern. Anim. Exp. 2023. [Google Scholar] [CrossRef]
- Fang, Y.; Cao, W.; Xia, M.; Pan, S.; Xu, X. Study of Structure and Permeability Relationship of Flavonoids in Caco-2 Cells. Nutrients 2017, 9, 1301. [Google Scholar] [CrossRef] [PubMed]
- Chen, J.; Lin, H.; Hu, M. Metabolism of Flavonoids via Enteric Recycling: Role of Intestinal Disposition. J. Pharmacol. Exp. Ther. 2003, 304, 1228–1235. [Google Scholar] [CrossRef]
- Tammela, P.; Laitinen, L.; Galkin, A.; Wennberg, T.; Heczko, R.; Vuorela, H.; Slotte, J.P.; Vuorela, P. Permeability characteristics and membrane affinity of flavonoids and alkyl gallates in Caco-2 cells and in phospholipid vesicles. Arch. Biochem. Biophys. 2004, 425, 193–199. [Google Scholar] [CrossRef]
- Dai, J.-y.; Yang, J.-l.; Li, C. Transport and metabolism of flavonoids from Chinese herbal remedy Xiaochaihu-tang across human intestinal Caco-2 cell monolayers. Acta Pharmacol. Sin. 2008, 29, 1086–1093. [Google Scholar] [CrossRef]
- Zhao, Y.y.; Fan, Y.; Wang, M.; Wang, J.; Cheng, J.x.; Zou, J.b.; Zhang, X.f.; Shi, Y.j.; Guo, D.y. Studies on pharmacokinetic properties and absorption mechanism of phloretin: In vivo and in vitro. Biomed. Pharmacother. 2020, 132, 110809. [Google Scholar] [CrossRef] [PubMed]
- Pérez-Sánchez, A.; Cuyàs, E.; Ruiz-Torres, V.; Agulló-Chazarra, L.; Verdura, S.; González-Álvarez, I.; Bermejo, M.; Joven, J.; Micol, V.; Bosch-Barrera, J.; et al. Intestinal Permeability Study of Clinically Relevant Formulations of Silibinin in Caco-2 Cell Monolayers. Int. J. Mol. Sci. 2019, 20, 1606. [Google Scholar] [CrossRef]
- Song, Q.; Li, D.; Zhou, Y.; Yang, J.; Yang, W.; Zhou, G.; Wen, J. Enhanced uptake and transport of (+)-catechin and (-)-epigallocatechin gallate in niosomal formulation by human intestinal Caco-2 cells. Int. J. Nanomed. 2014, 9, 2157–2165. [Google Scholar] [CrossRef]
- Zhang, L.; Zheng, Y.; Chow, M.; Zuo, Z. Investigation of intestinal absorption and disposition of green tea catechins by Caco-2 monolayer model. Int. J. Pharm. 2005, 287, 1–12. [Google Scholar] [CrossRef]
- Granja, A.; Neves, A.R.; Sousa, C.T.; Pinheiro, M.; Reis, S. EGCG intestinal absorption and oral bioavailability enhancement using folic acid-functionalized nanostructured lipid carriers. Heliyon 2019, 5, e02020. [Google Scholar] [CrossRef] [PubMed]
- Amazon.co.uk. SOYA Isoflavones 3000 mg, 6000 mg Daily Dose. 120 Vegan Capsules, 2 Months Supply. Available online: https://www.amazon.co.uk/Isoflavones-400mg-Capsules-Months-Supply/dp/B06Y395PW7 (accessed on 2 August 2023).
- Amazon.com. Twinlab Maxlf Mega Soy, 60 CAP. Available online: https://www.amazon.com/-/es/Twinlab-maxlf-Mega-soja-60-Cap/dp/B0057UZCVA (accessed on 2 August 2023).
- Minghetti, P.; Cilurzo, F.; Casiraghi, A.; Montanari, L. Evaluation of ex vivo human skin permeation of genistein and daidzein. Drug Deliv. 2006, 13, 411–415. [Google Scholar] [CrossRef]
- Vitalnutrients.co. Genistein 125 mg. Available online: https://www.vitalnutrients.co/products/genistein-125mg (accessed on 2 August 2023).
- Amazon.co.uk. Quercetin 85 mg + Quercetin Phospholipid Complex with Vitamins C & D3. Available online: https://www.amazon.co.uk/Quercetin-Phospholipid-Bioavailable-Formulation-Vegetarian/dp/B08KJGWX4K/ref=zg_bs_5977712031_sccl_13/257-5385247-4093119?psc=1 (accessed on 2 August 2023).
- Amazon.co.uk. Liposomal Quercetin Phytosome 1600 mg Softgels with Bromelain & Vitamin C, Immunity Booster Supplement to Improve Respiratory Health & Immune Defense, Supports Internal Circulation Health. Available online: https://www.amazon.co.uk/Liposomal-Antioxidant-Supplement-Respiratory-Circulation/dp/B09YYKHG6F/ref=zg_bs_5977712031_sccl_38/257-5385247-4093119?th=1 (accessed on 2 August 2023).
- Walmart.com. Source Naturals Myricetin 100 mg, Antioxidant Flavonoid, 30 Tablets. Available online: https://www.walmart.com/ip/Source-Naturals-Myricetin-100mg-Antioxidant-Flavonoid-30-Tablets/136753540 (accessed on 2 August 2023).
- Grynkiewicz, G.; Demchuk, O.M. New Perspectives for Fisetin. Front. Chem. 2019, 7, 697. [Google Scholar] [CrossRef] [PubMed]
- Amazon.co.uk. Fisetin Pro Liposomal 150 mg. Available online: https://www.amazon.co.uk/MCS-Formulas-Fisetin-Pro-Liposomal/dp/B0BG9RZ9H3/ref=sr_1_15?crid=T2MDICFOZTJO&keywords=fisetin+tablets&qid=1689070552&s=drugstore&sprefix=fisetin+tablets%2Cdrugstore%2C97&sr=1-15 (accessed on 2 August 2023).
- Amazon.co.uk. Fisetin with Quercetin 1200 mg | Liposomal Encapsuled for Increased Nutrient Utilization | Powerful Anti Aging & Rejuvenating Supplement | Non-GMO & Gluten Free. Available online: https://www.amazon.co.uk/Quercetin-Encapsuled-Bioavailability-Rejuvenating-Supplement/dp/B0B6NGGKFV/ref=zg_bs_5977712031_sccl_7/257-5385247-4093119?th=1 (accessed on 2 August 2023).
- Deng, S.P.; Yang, Y.L.; Cheng, X.X.; Li, W.R.; Cai, J.Y. Synthesis, Spectroscopic Study and Radical Scavenging Activity of Kaempferol Derivatives: Enhanced Water Solubility and Antioxidant Activity. Int. J. Mol. Sci. 2019, 20, 975. [Google Scholar] [CrossRef]
- Amazon.com. Kaempferol 100 mg 60 Count Bottle, Capsule, Kaempferia Galangal, Rice Flour, Magnesium Sterate, Gelatin Capsule. Available online: https://www.amazon.com/Kaempferol-100mg-60-Count-Bottle/dp/B07H9FSMYS (accessed on 2 August 2023).
- Amazon.com. Supersmart—Taxifolin 60 mg per Day (Dihydroquercetin). Available online: https://www.amazon.com/Supersmart-Taxifolin-Dihydroquercetin-Protection-Antioxidant/dp/B00LPJP8OI (accessed on 2 August 2023).
- Divari.lt. Taxifolin. Available online: https://divari.lt/en/vitamir-dihydroquercetin-50-tablets (accessed on 2 August 2023).
- Liu, Y.; Sun, J.; Zhong, L.; Li, Y.; Er, A.N.; Li, T.; Yang, L.; Dong, L. Combination of a biopharmaceutic classification system and physiologically based pharmacokinetic models to predict absorption properties of baicalein in vitro and in vivo. J. Tradit. Chin. Med. Sci. 2021, 8, 238–247. [Google Scholar] [CrossRef]
- Amazon.com. Nootropics Depot Baikal Skullcap Extract Tablets | 250mg | 120 Count | >15% Apigenin, 20% Baicalein, 50% Baicalin. Available online: https://www.amazon.com/Skullcap-Extract-Apigenin-Baicalein-Baicalin/dp/B09MZQ3M4F?th=1 (accessed on 2 August 2023).
- Sunday de Baicalein. Available online: https://www.sunday.de/en/baicalein-capsules-200mg.html (accessed on 2 August 2023).
- Lee, S.; Lee, Y.-S.; Song, J.; Han, H.-K. Improved in vivo effect of chrysin as an absorption enhancer via the preparation of solid dispersion with Brij®L4 and aminoclay. Curr. Drug Deliv. 2018, 15, 86–92. [Google Scholar] [CrossRef]
- Amazon.com. Chrysin 500 mg | 60 Capsules | Passion Flower Extract | Non-GMO, Gluten Free Supplement | By Horbaach. Available online: https://www.amazon.com/Horbaach-Capsules-Promotes-Supports-Testosterone/dp/B07GRFPDDK (accessed on 2 August 2023).
- Rajhard, S.; Hladnik, L.; Vicente, F.A.; Srčič, S.; Grilc, M.; Likozar, B. Solubility of Luteolin and Other Polyphenolic Compounds in Water, Nonpolar, Polar Aprotic and Protic Solvents by Applying FTIR/HPLC. Processes 2021, 9, 1952. [Google Scholar] [CrossRef]
- Amazon.com. Supersmart—Luteolin and Super Quercetin Bundle (Immunity Booster)—Bioflavonoids Supplements. Available online: https://www.amazon.com/Supersmart-Luteolin-Quercetin-Bioflavonoids-Supplements/dp/B0C7HJ4FM8/ref=sr_1_3?keywords=luteolin&qid=1689077126&sr=8-3 (accessed on 2 August 2023).
- Zhang, J.; Liu, D.; Huang, Y.; Gao, Y.; Qian, S. Biopharmaceutics classification and intestinal absorption study of apigenin. Int. J. Pharm. 2012, 436, 311–317. [Google Scholar] [CrossRef] [PubMed]
- Amazon.co.uk. Apigenin—50mg × 120 Capsules—98%+ Purity—Optimal Dose for Sleep & Relaxation Support. Available online: https://www.amazon.co.uk/New-Relaxation-Naturally-Grapefruit-Standards/dp/B0C3J54NZJ/ref=zg_bs_5977712031_sccl_50/257-5385247-4093119?psc=1 (accessed on 2 August 2023).
- Amazon.co.uk. Liposomal Apigenin 500 mg Softgels—Optimal Apigenin Supplement with Fisetin, Quercetin and Theaflavins—2 Month Supply. Available online: https://www.amazon.co.uk/Liposomal-apigenin-500mg-Softgels-Theaflavins/dp/B09QS6XGVC/ref=sr_1_7?crid=3KH4H62K06QNN&keywords=apigenin&qid=1684933802&sprefix=apigenin%2Caps%2C102&sr=8-7 (accessed on 2 August 2023).
- Wen, J.; Liu, B.; Yuan, E.; Ma, Y.; Zhu, Y. Preparation and physicochemical properties of the complex of naringenin with hydroxypropyl-beta-cyclodextrin. Molecules 2010, 15, 4401–4407. [Google Scholar] [CrossRef]
- Amazon.com. 100 mg Naringenin 99% Powder Flavone, Flavonoid, Grapfruit Extract. Available online: https://www.amazon.com/NARINGENIN-FLAVONE-FLAVONOID-GRAPFRUIT-Extract/dp/B07GQXXVFJ/ref=sr_1_1?keywords=naringenin&qid=1689077888&sr=8-1 (accessed on 2 August 2023).
- Wu, X.; Li, J.; Hu, C.; Zheng, Y.; Zhang, Y.; Li, J.; Li, M.; Xiao, D.; Lu, L.; Huang, Y.; et al. Inclusion Complex of Isoliquiritigenin with Sulfobutyl Ether-β-Cyclodextrin: Preparation, Characterization, Inclusion Mode, Solubilization, and Stability. Front. Chem. 2022, 10, 930297. [Google Scholar] [CrossRef]
- Nootropicsdepot.com. Isoliquiritigenin Controlled Dissolve Tablets | 25mg | Licorice Extract | Glycyrrhiza Glabra | Stress, Neuroprotection, & Inflammation Support. Available online: https://nootropicsdepot.com/isoliquiritigenin-controlled-dissolve-tablets/ (accessed on 2 August 2023).
- Herbadiet.in. Phloretin 98% Extract Capsules. Available online: https://herbadiet.in/products/phloretin-pure-green-apple-extract-veg-capsules-immune-support-skin-health?variant=42274888581370 (accessed on 2 August 2023).
- Generica.world. Silybin Active Complex, 60 Capsules. Available online: https://generica.world/produkt/silybin-active-complex-60-capsules/ (accessed on 2 August 2023).
- Amazon.com. Life Extention Advanced Milk Thistle—Milk Thistle Supplement for Liver Function Support, Kidney Health & Detox—With Silymarin, Silibinins, Isosilybin A,B—Gluten-Free, Non-GMO—60 Softgels. Available online: https://www.amazon.com/Life-Extension-European-Thistle-Advanced-Phospholipid/dp/B019ZFQFB8 (accessed on 2 August 2023).
- Cuevas-Valenzuela, J.; González-Rojas, Á.; Wisniak, J.; Apelblat, A.; Pérez-Correa, J.R. Solubility of (+)-catechin in water and water-ethanol mixtures within the temperature range 277.6–331.2K: Fundamental data to design polyphenol extraction processes. Fluid Phase Equilibria 2014, 382, 279–285. [Google Scholar] [CrossRef]
- Aor.us. Active Green Tea. Available online: https://aor.us/products/active-green-tea/ (accessed on 2 August 2023).
- Amazon.com. Epicatechin—500 mgs Per Serving—60 Servings—Max Strength—May Reduce Myostatin—May Increase Lean Muscle and Strength—Helps in Protein Synthesis—For Men and Women—By Genetic Enhancement. Available online: https://www.amazon.com/EPICATECHIN-Servings-Myostatin-Synthesis-ENHANCEMENT/dp/B082BGLTX7 (accessed on 2 August 2023).
- Hu, C.; Wang, Q.; Zhao, G.; Yao, W.; Xia, Q. Improved oral absorption of (−)-epigallocatechin-3-gallate via self-double-emulsifying solid formulation. Eur. J. Lipid Sci. Technol. 2016, 118, 1115–1124. [Google Scholar] [CrossRef]
- Walmart.com. Green Tea Plus with EGCG, Extra Strength, Premium Formula, Appetite Suppressant for Weight Loss and Fat Loss, Natural Weight Loss Supplement, Detox Metabolism Booster to Burn Belly Fat, Made in USA. Available online: https://www.walmart.com/ip/Green-Tea-Plus-EGCG-Extra-Strength-Premium-Formula-Appetite-suppressant-Weight-Loss-Fat-Loss-Natural-Supplement-Detox-Metabolism-Booster-Burn-Belly-F/545797741 (accessed on 2 August 2023).
- Amazon.com. EGCG Green Tea Extract Pills | 180 Capsules | Max Potency | Non-GMO & Gluten Free Supplement | By Horbaach. Available online: https://www.amazon.com/Extract-Capsules-Potency-Supplement-Horbaach/dp/B07Z9P7PX4 (accessed on 2 August 2023).
- Waldmann, S.; Almukainzi, M.; Bou-Chacra, N.A.; Amidon, G.L.; Lee, B.-J.; Feng, J.; Kanfer, I.; Zuo, J.Z.; Wei, H.; Bolger, M.B.; et al. Provisional Biopharmaceutical Classification of Some Common Herbs Used in Western Medicine. Mol. Pharm. 2012, 9, 815–822. [Google Scholar] [CrossRef] [PubMed]
- Lee, S.-H.; Kim, Y.H.; Yu, H.-J.; Cho, N.-S.; Kim, T.-H.; Kim, D.-C.; Chung, C.-B.; Hwang, Y.-I.; Kim, K.H. Enhanced Bioavailability of Soy Isoflavones by Complexation with β-Cyclodextrin in Rats. Biosci. Biotechnol. Biochem. 2007, 71, 2927–2933. [Google Scholar] [CrossRef] [PubMed]
- Vitalabo.com. Solaray Kudzu Extract. Available online: https://www.vitalabo.com/solaray/kudzu-extract (accessed on 2 August 2023).
- Amazon.com. NaturesPlus Advanced Therapeutics Isoflavone Rx Phytoestrogen—125 mg, 30 Vegetarian Tablets—Soy Supplement. Available online: https://www.amazon.com/Natures-Plus-Isoflavone-RxPhytoestrogen/dp/B00H57X9D6 (accessed on 2 August 2023).
- Amazon.com. Solgar Quercetin Complex with Ester-C Plus, 100 Vegetable Capsules—50 Servings—Supports Immune Health Vitamin C 1000 mg, 250 Vegetable Capsules—Overall Health. Available online: https://www.amazon.com/Solgar-Quercetin-Complex-Vegetable-Capsules/dp/B09R7R781K/ref=sr_1_9?keywords=rutin&qid=1685443031&sr=8-9 (accessed on 2 August 2023).
- Amazon.com. Amazing Formulas Rutin 500 mg 100 Tablets Supplement | Non-GMO | Gluten Free | Made in USA. Available online: https://www.amazon.com/Amazing-Formulas-Rutin-Antioxidant-Properties/dp/B071CTNYTY (accessed on 2 August 2023).
- Wu, H.; Long, X.; Yuan, F.; Chen, L.; Pan, S.; Liu, Y.; Stowell, Y.; Li, X. Combined use of phospholipid complexes and self-emulsifying microemulsions for improving the oral absorption of a BCS class IV compound, baicalin. Acta Pharm. Sin. B 2014, 4, 217–226. [Google Scholar] [CrossRef]
- Amazon.com. Supersmart—90% Baicalin 500 mg per Day (Scutellaria baicalensis). Available online: https://www.amazon.com/Supersmart-Scutellaria-Baicalensis-Alternatives-Vegetarian/dp/B01G5MZJWK (accessed on 2 August 2023).
- Costa, E.C.; Menezes, P.M.N.; de Almeida, R.L.; Silva, F.S.; de Araújo Ribeiro, L.A.; de Silva, J.A.; de Oliveira, A.P.; da Cruz Araújo, E.C.; Rolim, L.A.; Nunes, X.P. Inclusion of vitexin in β-cyclodextrin: Preparation, characterization and expectorant/antitussive activities. Heliyon 2020, 6, e05461. [Google Scholar] [CrossRef] [PubMed]
- Osavi.com. Passiflora 250 mg. Available online: https://osavi.com/en/passiflora-250-mg.html (accessed on 2 August 2023).
- Amazon.com. NOW Supplements, Passion Flower (Passiflora incarnata) 350 mg, Natural Stress Relief*, 90 Veg Capsules. Available online: https://www.amazon.com/NOW-Passion-Flower-350-Capsules/dp/B002J0KCQ6 (accessed on 2 August 2023).
- Europa, E. Diosmin—Water Solubility (Registration dossier). Available online: https://echa.europa.eu/registration-dossier/-/registered-dossier/21071/4/9# (accessed on 2 August 2023).
- Amazon.com. Dulàc Hemorrhoid and Leg Vein Supplement Omniven 500-40 Tablets Diosmin, Horse Chestnut Extract, Butchers Broom, Hesperidin for Restless Legs Syndrome Relief, Varicose and Spider Veins. Available online: https://www.amazon.com/Hemorrhoid-Leg-Vein-Supplement-Omniven/dp/B01IF089E0 (accessed on 2 August 2023).
- Amazon.com.au. Diosmin and Hesperidin | 1200 mg | 180 Capsules | Non-GMO, Gluten Free | By Horbaach. Available online: https://www.amazon.com.au/Diosmin-Hesperidin-Capsules-Non-GMO-Horbaach/dp/B07QG6LT1D (accessed on 2 August 2023).
- Ostrovit.com. OstroVit Vitamin C + Hesperidin + Rutin 60 caps. Available online: https://ostrovit.com/en/products/ostrovit-vitamin-c-hesperidin-rutin-60-caps-25893.html (accessed on 2 August 2023).
- Amazon.com. Hesperidin 500 mg—100% Pure Ingredient no Mixes or Additives for Blood Circulation, Leg Veins Health, Purity Guarantee 90 Capsules. Available online: https://www.amazon.com/Hesperidin-500mg-Ingredient-Additives-Circulation/dp/B07P7J3F45 (accessed on 2 August 2023).
- Teja, A.; Musmade, P.B.; Khade, A.B.; Dengale, S.J. Simultaneous improvement of solubility and permeability by fabricating binary glassy materials of Talinolol with Naringin: Solid state characterization, in-vivo in-situ evaluation. Eur. J. Pharm. Sci. 2015, 78, 234–244. [Google Scholar] [CrossRef] [PubMed]
- Greenorganicsupplements.com. Hesperidin, Diosmin, Naringin, Bio-Flavonoids. Available online: https://greenorganicsupplements.com/products/hesperidin-diosmin (accessed on 2 August 2023).
- Amazon.com. Swanson Naringin 500 Milligrams 60 Capsules. Available online: https://www.amazon.com/Swanson-Naringin-500-Milligrams-Capsules/dp/B0017OFS0K (accessed on 2 August 2023).
- Herrera-González, A.; Núñez-López, G.; Núñez-Dallos, N.; Amaya-Delgado, L.; Sandoval, G.; Remaud-Simeon, M.; Morel, S.; Arrizon, J.; Hernández, L. Enzymatic synthesis of phlorizin fructosides. Enzym. Microb. Technol. 2021, 147, 109783. [Google Scholar] [CrossRef]
- Mass-zone.eu. Life Extension Tri Sugar Shield 60 Vegetarian Capsules. Available online: https://mass-zone.eu/en/life-extension-tri-sugar-shield-60-vegetarian-capsules-p-5852.html (accessed on 2 August 2023).
- Yang, M.; Lu, X.; Xu, J.; Liu, X.; Zhang, W.; Guan, R.; Zhong, H. Cellular uptake, transport mechanism and anti-inflammatory effect of cyanidin-3-glucoside nanoliposomes in Caco-2/RAW 264.7 co-culture model. Front. Nutr. 2022, 9, 995391. [Google Scholar] [CrossRef]
- Spectrumsupplements.ca. Macuguard Ocular Support—60 Softgels. Available online: https://www.spectrumsupplements.ca/supplement/macuguard-ocular-support-60-softgels/ (accessed on 2 August 2023).
- Breitkreutz, J. Prediction of Intestinal Drug Absorption Properties by Three-Dimensional Solubility Parameters. Pharm. Res. 1998, 15, 1370–1375. [Google Scholar] [CrossRef]
- Jain, N.; Yalkowsky, S.H. Estimation of the aqueous solubility I: Application to organic nonelectrolytes. J. Pharm. Sci. 2001, 90, 234–252. [Google Scholar] [CrossRef]
- Hill, A.P.; Young, R.J. Getting physical in drug discovery: A contemporary perspective on solubility and hydrophobicity. Drug Discov. Today 2010, 15, 648–655. [Google Scholar] [CrossRef] [PubMed]
- Daina, A.; Michielin, O.; Zoete, V. iLOGP: A Simple, Robust, and Efficient Description of n-Octanol/Water Partition Coefficient for Drug Design Using the GB/SA Approach. J. Chem. Inf. Model. 2014, 54, 3284–3301. [Google Scholar] [CrossRef] [PubMed]
- Bergström, C.A.S.; Larsson, P. Computational prediction of drug solubility in water-based systems: Qualitative and quantitative approaches used in the current drug discovery and development setting. Int. J. Pharm. 2018, 540, 185–193. [Google Scholar] [CrossRef] [PubMed]
- Mu, H.; Holm, R.; Müllertz, A. Lipid-based formulations for oral administration of poorly water-soluble drugs. Int. J. Pharm. 2013, 453, 215–224. [Google Scholar] [CrossRef]
- Bergström, C.A.S.; Charman, W.N.; Porter, C.J.H. Computational prediction of formulation strategies for beyond-rule-of-5 compounds. Adv. Drug Deliv. Rev. 2016, 101, 6–21. [Google Scholar] [CrossRef]
- Bergström, C.A.S.; Avdeef, A. Perspectives in solubility measurement and interpretation. ADMET DMPK 2019, 7, 88–105. [Google Scholar] [CrossRef]
- Williams, H.; Trevaskis, N.; Charman, S.; Shanker, R.; Charman, W.; Pouton, C.; Porter, C. Strategies to Address Low Drug Solubility in Discovery and Development. Pharmacol. Rev. 2013, 65, 315–499. [Google Scholar] [CrossRef]
- Rothwell, J.A.; Day, A.J.; Morgan, M.R.A. Experimental Determination of Octanol−Water Partition Coefficients of Quercetin and Related Flavonoids. J. Agric. Food Chem. 2005, 53, 4355–4360. [Google Scholar] [CrossRef]
- Murota, K.; Shimizu, S.; Chujo, H.; Moon, J.-H.; Terao, J. Efficiency of Absorption and Metabolic Conversion of Quercetin and Its Glucosides in Human Intestinal Cell Line Caco-2. Arch. Biochem. Biophys. 2000, 384, 391–397. [Google Scholar] [CrossRef]
- Tsopelas, F.; Tsagkrasouli, M.; Poursanidis, P.; Pitsaki, M.; Vasios, G.; Danias, P.; Panderi, I.; Tsantili-Kakoulidou, A.; Giaginis, C. Retention behavior of flavonoids on immobilized artificial membrane chromatography and correlation with cell-based permeability. Biomed. Chromatogr. 2018, 32, e4108. [Google Scholar] [CrossRef]
- Yang, B.; Kotani, A.; Arai, K.; Kusu, F. Estimation of the Antioxidant Activities of Flavonoids from Their Oxidation Potentials. Anal. Sci. 2001, 17, 599–604. [Google Scholar] [CrossRef] [PubMed]
- PubChem Substance and Compound Database. Available online: https://pubchem.ncbi.nlm.nih.gov/ (accessed on 30 July 2023).
- FooDB Database Version 1.0. Available online: www.foodb.ca (accessed on 31 July 2023).
- Drugbank Online Database. Available online: https://go.drugbank.com/ (accessed on 31 July 2023).
- Royal Society of Chemistry. ChemSpider Database. Available online: http://www.chemspider.com/ (accessed on 30 July 2023).
- Singha Roy, A.; Utreja, J.; Badhei, S. Characterization of the binding of fisetin and morin with chicken egg lysozyme using spectroscopic and molecular docking methods. J. Incl. Phenom. Macrocycl. Chem. 2015, 81, 385–394. [Google Scholar] [CrossRef]
- Shubina, V.S.; Shatalin, Y.V. Antioxidant and iron-chelating properties of taxifolin and its condensation product with glyoxylic acid. J. Food Sci. Technol. 2017, 54, 1467–1475. [Google Scholar] [CrossRef]
- Shatalin, Y.V.; Shubina, V.S. Partitioning of taxifolin-iron ions complexes in octanol-water system. Biophysics 2014, 59, 351–356. [Google Scholar] [CrossRef]
- Molecule of the Week Archive Chrysin. Available online: https://www.acs.org/ (accessed on 29 July 2023).
- Ahmadi, S.M.; Farhoosh, R.; Sharif, A.; Rezaie, M. Structure-Antioxidant Activity Relationships of Luteolin and Catechin. J. Food Sci. 2020, 85, 298–305. [Google Scholar] [CrossRef] [PubMed]
- Perrissoud, D.; Testa, B. Inhibiting or potentiating effects of flavonoids on carbon tetrachloride-induced toxicity in isolated rat hepatocytes. Arzneimittelforschung 1986, 36, 1249–1253. [Google Scholar]
- Wishart, D.S.; Guo, A.; Oler, E.; Wang, F.; Anjum, A.; Peters, H.; Dizon, R.; Sayeeda, Z.; Tian, S.; Lee, B.L.; et al. HMDB 5.0: The Human Metabolome Database for 2022. Nucleic Acids Res 2022, 50, D622–D631. [Google Scholar] [CrossRef] [PubMed]
- ChemBK Online Database. Available online: https://www.chembk.com/en (accessed on 2 August 2023).
- Fernandes, G.; Pusuluri, S.L.A.; Nikam, A.N.; Birangal, S.; Shenoy, G.G.; Mutalik, S. Solvent Free Twin Screw Processed Silybin Nanophytophospholipid: In Silico, In Vitro and In Vivo Insights. Pharmaceutics 2022, 14, 2729. [Google Scholar] [CrossRef] [PubMed]
- NIST (National Institute of Standards and Technology) Chemistry WebBook, SRD 69. Available online: https://webbook.nist.gov/ (accessed on 31 July 2023).
- Chemicalbook.com. Vitexin. Available online: https://www.chemicalbook.com/ChemicalProductProperty_EN_CB3119208.htm (accessed on 31 July 2023).
- Rastija, V.; Nikolić, S.; Masand, V.H. Quantitative relationships between structure and lipophilicity of naturally occurring polyphenols. Acta Chim. Slov. 2013, 60, 781–789. [Google Scholar]
- Bino, A.; Vicentini, C.B.; Vertuani, S.; Lampronti, I.; Gambari, R.; Durini, E.; Manfredini, S.; Baldisserotto, A. Novel Lipidized Derivatives of the Bioflavonoid Hesperidin: Dermatological, Cosmetic and Chemopreventive Applications. Cosmetics 2018, 5, 72. [Google Scholar] [CrossRef]
- AK Scientific Inc. Cyanidin 3-O-Glucoside Product. Available online: https://aksci.com/item_detail.php?cat=X1117 (accessed on 31 July 2023).
- Baldisserotto, A.; Malisardi, G.; Scalambra, E.; Andreotti, E.; Romagnoli, C.; Vicentini, C.; Manfredini, S.; Vertuani, S. Synthesis, Antioxidant and Antimicrobial Activity of a New Phloridzin Derivative for Dermo-Cosmetic Applications. Molecules 2012, 17, 13275–13289. [Google Scholar] [CrossRef] [PubMed]
- Yang, X.; Sun, H.; Tu, L.; Jin, Y.; Zhang, Z.; Wang, M.; Liu, S.; Wang, Y.; He, S. Kinetics of Enzymatic Synthesis of Cyanidin-3-Glucoside Lauryl Ester and Its Physicochemical Property and Proliferative Effect on Intestinal Probiotics. Biology 2020, 9, 205. [Google Scholar] [CrossRef] [PubMed]
- Cruz, L.; Guimarães, M.; Araújo, P.; Évora, A.; de Freitas, V.; Mateus, N. Malvidin 3-Glucoside–Fatty Acid Conjugates: From Hydrophilic toward Novel Lipophilic Derivatives. J. Agric. Food Chem. 2017, 65, 6513–6518. [Google Scholar] [CrossRef]
- Shi, S.; Li, J.; Zhao, X.; Liu, Q.; Song, S.-J. A comprehensive review: Biological activity, modification and synthetic methodologies of prenylated flavonoids. Phytochemistry 2021, 191, 112895. [Google Scholar] [CrossRef] [PubMed]
- Beekmann, K.; Actis-Goretta, L.; van Bladeren, P.J.; Dionisi, F.; Destaillats, F.; Rietjens, I.M.C.M. A state-of-the-art overview of the effect of metabolic conjugation on the biological activity of flavonoids. Food Funct. 2012, 3, 1008–1018. [Google Scholar] [CrossRef]
- Schittny, A.; Huwyler, J.; Puchkov, M. Mechanisms of increased bioavailability through amorphous solid dispersions: A review. Drug Deliv. 2020, 27, 110–127. [Google Scholar] [CrossRef]
- Di Costanzo, A.; Angelico, R. Formulation Strategies for Enhancing the Bioavailability of Silymarin: The State of the Art. Molecules 2019, 24, 2155. [Google Scholar] [CrossRef]
- Elder, D. Effective formulation development strategies for poorly soluble Active Pharmaceutical Ingredients (APIs). Pharm. Outsourcing 2011, 12, 56–61. [Google Scholar]
- Lyseng-Williamson, K.A.; Perry, C.M. Micronised purified flavonoid fraction: A review of its use in chronic venous insufficiency, venous ulcers and haemorrhoids. Drugs 2003, 63, 71–100. [Google Scholar] [CrossRef]
- Abbott, S. Solubility Science: Principles and Practice; University of Leeds: Leeds, UK, 2017; pp. 109–110. [Google Scholar]
- Franklin, S.J.; Myrdal, P.B. Solid-State and Solution Characterization of Myricetin. AAPS PharmSciTech 2015, 16, 1400–1408. [Google Scholar] [CrossRef] [PubMed]
- Park, K.-S.; Chong, Y.; Kim, M.K. Myricetin: Biological activity related to human health. Appl. Biol. Chem. 2016, 59, 259–269. [Google Scholar] [CrossRef]
- Rosita, N.; Meitasari, V.; Rianti, M.; Hariyadi, D.; Miatmoko, A. Enhancing skin penetration of epigallocatechin gallate by modifying partition coefficient using reverse micelle method. Ther. Deliv. 2019, 10, 409–417. [Google Scholar] [CrossRef] [PubMed]








Disclaimer/Publisher’s Note: The statements, opinions and data contained in all publications are solely those of the individual author(s) and contributor(s) and not of MDPI and/or the editor(s). MDPI and/or the editor(s) disclaim responsibility for any injury to people or property resulting from any ideas, methods, instructions or products referred to in the content. |
© 2023 by the authors. Licensee MDPI, Basel, Switzerland. This article is an open access article distributed under the terms and conditions of the Creative Commons Attribution (CC BY) license (https://creativecommons.org/licenses/by/4.0/).
Share and Cite
Berga, M.; Logviss, K.; Lauberte, L.; Paulausks, A.; Mohylyuk, V. Flavonoids in the Spotlight: Bridging the Gap between Physicochemical Properties and Formulation Strategies. Pharmaceuticals 2023, 16, 1407. https://doi.org/10.3390/ph16101407
Berga M, Logviss K, Lauberte L, Paulausks A, Mohylyuk V. Flavonoids in the Spotlight: Bridging the Gap between Physicochemical Properties and Formulation Strategies. Pharmaceuticals. 2023; 16(10):1407. https://doi.org/10.3390/ph16101407
Chicago/Turabian StyleBerga, Marta, Konstantins Logviss, Liga Lauberte, Artūrs Paulausks, and Valentyn Mohylyuk. 2023. "Flavonoids in the Spotlight: Bridging the Gap between Physicochemical Properties and Formulation Strategies" Pharmaceuticals 16, no. 10: 1407. https://doi.org/10.3390/ph16101407
APA StyleBerga, M., Logviss, K., Lauberte, L., Paulausks, A., & Mohylyuk, V. (2023). Flavonoids in the Spotlight: Bridging the Gap between Physicochemical Properties and Formulation Strategies. Pharmaceuticals, 16(10), 1407. https://doi.org/10.3390/ph16101407

