Synthesis of Novel N4-Hydrocytidine Analogs as Potential Anti-SARS-CoV-2 Agents
Abstract
:1. Introduction
2. Results and Discussion
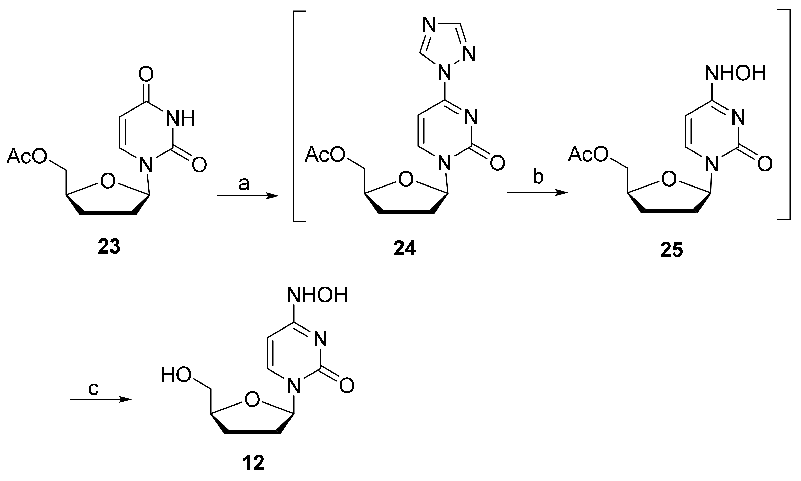
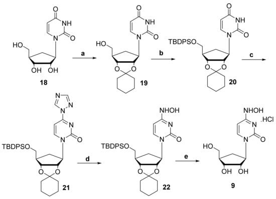
2.1. Chemistry
2.2. Antiviral Evaluation
3. Materials and Methods
3.1. General Information
3.2. Chemistry
4. Conclusions
Author Contributions
Funding
Institutional Review Board Statement
Informed Consent Statement
Data Availability Statement
Conflicts of Interest
References
- Holmes, E.C.; Goldstein, S.A.; Rasmussen, A.L.; Robertson, D.L.; Crits-Christoph, A.; Wertheim, J.O.; Anthony, S.J.; Barclay, W.S.; Boni, M.F.; Doherty, P.C.; et al. The origins of SARS-CoV-2: A critical review. Cell 2021, 184, 4848–4856. [Google Scholar] [CrossRef] [PubMed]
- Triggle, C.R.; Bansal, D.; Ding, H.; Islam, M.M.; Farag, E.; Hadi, H.A.; Sultan, A.A. A comprehensive review of viral characteristics, transmission, pathophysiology, immune response, and management of SARS-CoV-2 and COVID-19 as a basis for controlling the pandemic. Front. Immunol. 2021, 12, 631139. [Google Scholar] [CrossRef] [PubMed]
- Van de Leemput, J.; Han, Z. Understanding individual SARS-CoV-2 proteins for targeted drug development against COVID-19. Mol. Cell. Biol. 2021, 41, e00185-21. [Google Scholar] [CrossRef] [PubMed]
- Dyer, O. COVID-19: Remdesivir has little or no impact on survival, WHO trial shows. BMJ 2020, 371, m4057. [Google Scholar] [CrossRef] [PubMed]
- Beigel, J.H.; Tomashek, K.M.; Dodd, L.E.; Mehta, A.K.; Zingman, B.S.; Kalil, A.C.; Hohmann, E.; Chu, H.Y.; Luetkemeyer, A.; Kline, S.; et al. Remdesivir for the treatment of COVID-19—Final report. N. Engl. J. Med. 2020, 383, 1813–1826. [Google Scholar] [CrossRef] [PubMed]
- Zhou, S.; Hill, C.S.; Sarkar, S.; Tse, L.; Woodburn, B.; Schinazi, R.F.; Sheahan, T.P.; Baric, R.S.; Heise, M.T.; Swanstrom, R. β-D-N4-hydroxycytidine inhibits SARS-CoV-2 through lethal mutagenesis but is also mutagenic to mammalian cells. J. Infect. Dis. 2021, 224, 415–419. [Google Scholar] [CrossRef] [PubMed]
- Sledziewska-Gojska, E.; Janion, C. Effect of proofreading and dam-instructed mismatch repair systems on N4-hydroxycytidine-induced mutagenesis. Mol. Gen. Genet. 1982, 186, 411–418. [Google Scholar] [CrossRef] [PubMed]
- Salganik, R.I.; Vasjunina, E.A.; Poslovina, A.S.; Andreeva, I.S. Mutagenic action of N4-hydroxycytidine on Escherichia coli B cyt-. Mutat. Res. 1973, 20, 1–5. [Google Scholar] [CrossRef]
- Janion, C.; Glickman, B.W. N4-hydroxycytidine: A Mutagen Specific for AT to GC Transitions. Mutat. Res. 1980, 72, 43–47. [Google Scholar] [CrossRef]
- FDA. Available online: https://ww.fda.gov/news-events/press-announcements/coronavirus-Covid-19-Update-fda-authorizes-additional-oral-antiviral-treatment-covid-19-certain (accessed on 23 December 2021).
- FDA’s Safety Information Regarding Use of Molnupiravir in Pregnancy and Individuals of Childbearing Potential. Available online: https://www.fda.gov/media/155101/download#:~:text=Molnupiravir%20is%20not%20recomended%20for,when%20administered%20to%20pregnant%20individuals (accessed on 9 September 2022).
- Merck and Ridgeback Biotherapeutics Provide Update on Results from MOVe-OUT Study of Molnupiravir, an Investigational Oral Antiviral Medicine, in At Risk Adults with Mild-to-Moderate COVID-19. Available online: https://www.merck.com/news/merck-and-ridgeback-biotherapeutics-provide-update-on-results-from-move-out-study-of-molnupiravir-an-investigational-oral-antiviral-medicine-in-at-risk-adults-with-mild-to-moderate-covid-19/ (accessed on 9 September 2022).
- Felczak, K.; Miazga, A.; Poznański, J.; Bretner, M.; Kulikowski, T.; Dzik, J.M.; Gołos, B.; Zieliński, Z.; Cieśla, J.; Rode, W. 5-Substituted N(4)-hydroxy-2′-deoxycytidines and their 5′-monophosphates: Synthesis, conformation, interaction with tumor thymidylate synthase, and in vitro antitumor activity. J. Med. Chem. 2000, 43, 4647–4656. [Google Scholar] [CrossRef] [PubMed]
- Painter George, R.; Guthrie, D.B.; Bluemling, G.R.; Natchus, M.G. N4-hydroxycytidine and Derivatives and Anti-Viral Uses Related Thereto. International Patent Application WO2016106050 A1, 30 May 2016. [Google Scholar]
- Amblard, F.; Coats, S.J.; Schinazi, R.F. Pyrimidine Nucleotides and Their Monophosphate Prodrugs for Treatment of Viral Infections and Cancer. International Patent Application WO2014070771 A1, 8 May 2014. [Google Scholar]
- Ivanov, M.A.; Liudva, G.S.; Mukovnia, A.V.; Kochetkov, S.N.; Tunitskaia, V.L.; Aleksnadrova, L.A. Synthesis and biological properties of pyrimidine 4′-fluoro nucleosides and 4′-fluoro uridine 5′-O.-triphospate. Russ. J. Bioorg. Chem. 2010, 36, 488–496. [Google Scholar] [CrossRef] [PubMed]
- Cerneckij, V.; Chladek, S.; Sorm, F.; Start, J. Nucleic acids components and their analogs. XIV. 6-Azacytidine and some of its N4-derivatives. Collect. Czechoslov. Chem. Commun. 1962, 27, 87–93. [Google Scholar] [CrossRef]
- Du, J.; Hollecker, L.; Shi, J.; Chun, B.-K.; Watanabe, K.; Schinazi, R.F.; Nachman, T.Y.; Lostia, S.; Stuyver, L.J.; Otto, M.J. N4-Hydroxycytosine dioxolane nucleosides and their activity against hepatitis B virus. Nucleos. Nucleot. Nucl. Acids 2005, 24, 1209–1214. [Google Scholar] [CrossRef] [PubMed]
- Zhou, S.; Mahmoud, S.; Liu, P.; Zhou, L.; Ehteshami, M.; Bassit, L.; Tao, S.; Domaoal, R.A.; Sari, O.; Schutter, C.; et al. 2′-Chloro-2′-fluoro ribonucleotide prodrugs with potent pan-genotypic activity against hepatitis C virus replication in culture. J. Med. Chem. 2017, 60, 5424–5437. [Google Scholar] [CrossRef] [PubMed]
- Kim, J.H.; Yu, J.; Alexander, V.; Choi, J.H.; Song, J.; Lee, H.W.; Kim, H.O.; Choi, J.; Lee, S.K.; Jeong, L.S. Structure–activity relationships of 2′-modified-4′-selenoarabinofuranosyl-pyrimidines as anticancer agents. Eur. J. Med. Chem. 2014, 83, 208–225. [Google Scholar] [CrossRef] [PubMed]
- Liu, J.; Du, J.; Wang, P.; Nagarathnam, D.; Espiritu, C.L.; Bao, H.; Murakami, E.; Furman, P.A.; Sofia, M.J. A 2′-deoxy-2′-fluoro-2′-C-methyl uridine cyclopentyl carbocyclic analog and its phosphoramidate prodrug as inhibitors of HCV NS5B polymerase. Nucleos. Nucleot. Nucl. Acids 2012, 31, 277–285. [Google Scholar] [CrossRef] [PubMed]
- Rai, D.; Johar, M.; Srivastav, N.C.; Manning, T.; Agrawal, B.; Kunimoto, D.Y.; Kumar, R. Inhibition of Mycobacterium tuberculosis, Mycobacterium bovis, and Mycobacterium avium by novel dideoxy nucleosides. J. Med. Chem. 2007, 50, 4766–4774. [Google Scholar] [CrossRef] [PubMed]
- Zandi, K.; Amblard, F.; Musall, K.; Downs-Bowen, J.; Kleinbard, R.; Oo, A.; Cao, D.; Liang, B.; Russell, O.O.; McBrayer, T.; et al. Repurposing nucleoside analogs for human coronaviruses. Antimicrob. Agents Chemother. 2020, 65, e01652-20. [Google Scholar] [CrossRef] [PubMed]
- Gordon, D.E.; Jang, G.M.; Bouhaddou, M.; Xu, J.; Obernier, K.; White, K.M.; O’Meara, M.J.; Rezelj, V.V.; Guo, J.Z.; Swaney, D.L.; et al. A SARS-CoV-2 protein interaction map reveals targets for drug repurposing. Nature 2020, 583, 459–468. [Google Scholar] [CrossRef] [PubMed]





![]() | |||||||||
|---|---|---|---|---|---|---|---|---|---|
| Compound | Scaffold | R1 | R2 | R3 | R4 | R5 | X | Y | % Viral Inhibition at 10 µM |
| 1 | A | H | H | H | H | NA | CH | O | 13 |
| 2 | A | H | H | F | F | NA | CH | O | 0 |
| 3 | A | H | H | F | H | NA | CH | O | 34 |
| 4 | A | H | H | OH | Me | NA | CH | O | 0 |
| 5 | A | H | H | F | Me | NA | CH | O | 0 |
| 6 | A | H | H | Cl | Me | NA | CH | O | 9 |
| 7 | A | Ac | F | OH | H | NA | CH | O | 0 |
| 8 | A | H | H | OH | H | NA | CH | Se | 16 |
| 9 | A | H | H | OH | H | NA | CH | CH2 | 28 |
| 10 | A | H | H | OH | H | NA | N | O | 33 |
| 11 | B | NA | NA | NA | NA | O | NA | NA | 0 |
| 12 | B | NA | NA | NA | NA | CH2 | NA | NA | 22 |
| 13 | C | NA | NA | NA | NA | NA | NA | NA | 18 |
| NHC | A | H | H | OH | H | NA | CH | O | 99 |
Publisher’s Note: MDPI stays neutral with regard to jurisdictional claims in published maps and institutional affiliations. |
© 2022 by the authors. Licensee MDPI, Basel, Switzerland. This article is an open access article distributed under the terms and conditions of the Creative Commons Attribution (CC BY) license (https://creativecommons.org/licenses/by/4.0/).
Share and Cite
Amblard, F.; LeCher, J.C.; De, R.; Goh, S.L.; Li, C.; Kasthuri, M.; Biteau, N.; Zhou, L.; Tber, Z.; Downs-Bowen, J.; et al. Synthesis of Novel N4-Hydrocytidine Analogs as Potential Anti-SARS-CoV-2 Agents. Pharmaceuticals 2022, 15, 1144. https://doi.org/10.3390/ph15091144
Amblard F, LeCher JC, De R, Goh SL, Li C, Kasthuri M, Biteau N, Zhou L, Tber Z, Downs-Bowen J, et al. Synthesis of Novel N4-Hydrocytidine Analogs as Potential Anti-SARS-CoV-2 Agents. Pharmaceuticals. 2022; 15(9):1144. https://doi.org/10.3390/ph15091144
Chicago/Turabian StyleAmblard, Franck, Julia C. LeCher, Ramyani De, Shu Ling Goh, Chengwei Li, Mahesh Kasthuri, Nicolas Biteau, Longhu Zhou, Zahira Tber, Jessica Downs-Bowen, and et al. 2022. "Synthesis of Novel N4-Hydrocytidine Analogs as Potential Anti-SARS-CoV-2 Agents" Pharmaceuticals 15, no. 9: 1144. https://doi.org/10.3390/ph15091144
APA StyleAmblard, F., LeCher, J. C., De, R., Goh, S. L., Li, C., Kasthuri, M., Biteau, N., Zhou, L., Tber, Z., Downs-Bowen, J., Zandi, K., & Schinazi, R. F. (2022). Synthesis of Novel N4-Hydrocytidine Analogs as Potential Anti-SARS-CoV-2 Agents. Pharmaceuticals, 15(9), 1144. https://doi.org/10.3390/ph15091144


