Characterization and Isolation of the Major Biologically Active Metabolites Isolated from Ficus retusa and Their Synergistic Effect with Tetracycline against Certain Pathogenic-Resistant Bacteria
Abstract
1. Introduction
2. Results
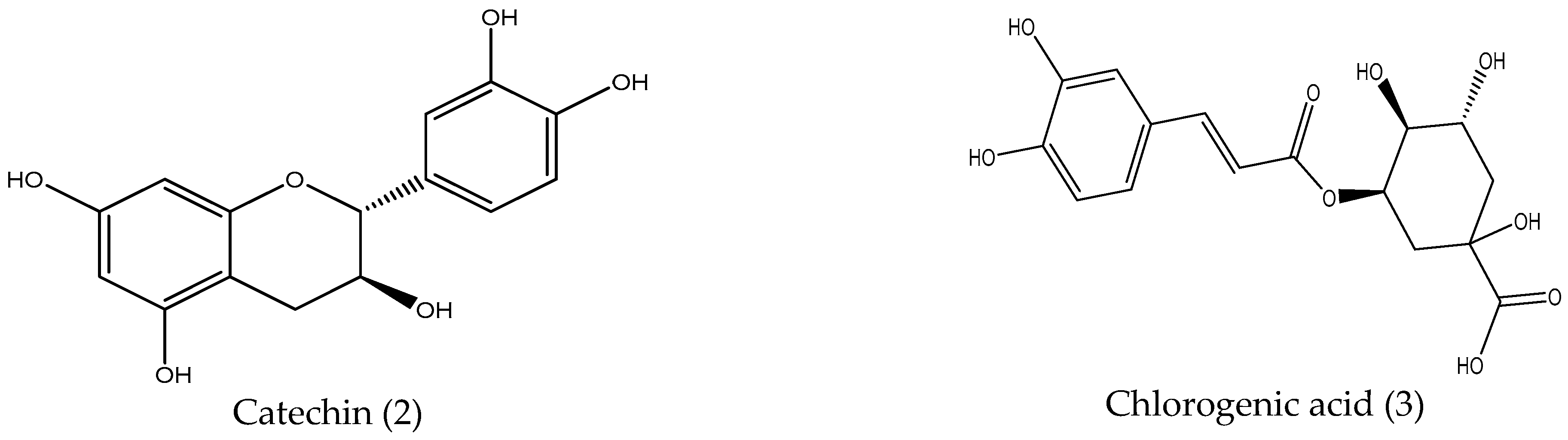
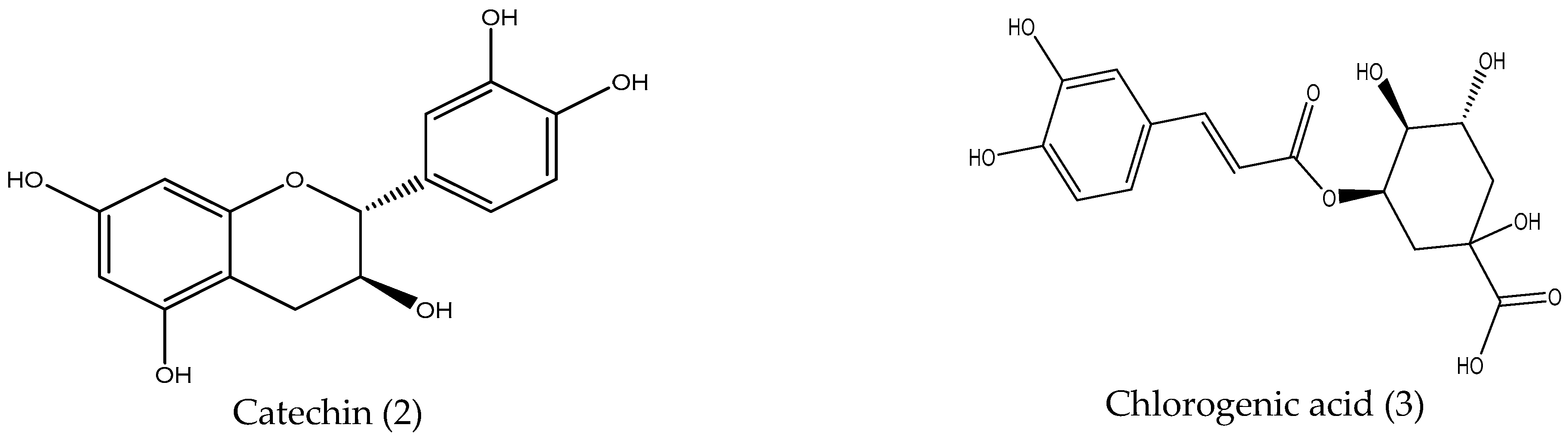
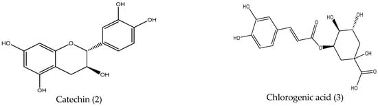
2.1. Identification of Isolated Compounds from F. retusa Bark Acetone by N.M.R. Spectroscopic Analysis
2.2. Antibacterial Screening Test
2.2.1. Antibacterial Activity of Tetracycline, Catechin, and Chlorogenic Acid
2.2.2. Minimum Inhibitory Concentration and Synergy Interactions of Catechin with Tetracycline
2.2.3. Minimum Inhibitory Concentration and the Synergy Interactions of Chlorogenic Acid
2.2.4. Time-Kill Assay
3. Discussion
3.1. Antibacterial Activity of Tetracycline, Catechin, and Chlorogenic Acid
3.2. M.I.C. and Synergy Interactions of Catechin with Tetracycline
3.3. M.I.C. and Synergy Interactions of Chlorogenic Acid with Tetracycline
3.4. Time-Kill Assay
4. Materials and Methods
4.1. Plant Material
4.2. Extraction and Isolation of the Compounds
4.3. N.M.R. Spectroscopy
4.4. Antibacterial Screening Test
4.4.1. Disc Diffusion Assay
4.4.2. Determination of Minimum Inhibitory Concentration (M.I.C.)
4.5. Synergistic Studies of Catechin and Chlorogenic Acid with Tetracycline
4.5.1. Checkerboard Assay
4.5.2. Time-Kill Assay
4.6. Statistical Analysis
5. Conclusions
Author Contributions
Funding
Institutional Review Board Statement
Informed Consent Statement
Data Availability Statement
Conflicts of Interest
References
- World Bank Group. By 2050, Drug-Resistant Infections Could Cause Global Economic Damage on Par with 2008 Financial Crisis; World Bank Group: Washington, DC, USA, 20 September 2016. [Google Scholar]
- Shriram, V.; Khare, T.; Bhagwat, R.; Shukla, R.; Kumar, V. Inhibiting bacterial drug efflux pumps via phyto-therapeutics to combat threatening antimicrobial resistance. Front. Microbiol. 2018, 9, 2990. [Google Scholar] [CrossRef] [PubMed]
- Abreu, A.C.; McBain, A.J.; Simoes, M. Plants as sources of new antimicrobials and resistance-modifying agents. Nat. Prod. Rep. 2012, 29, 1007–1021. [Google Scholar] [CrossRef] [PubMed]
- Ao, C.; Li, A.; Elzaawely, A.A.; Xuan, T.D.; Tawata, S. Evaluation of antioxidant and antibacterial activities of Ficus microcarpa L. fil. extract. Food Control 2008, 19, 940–948. [Google Scholar] [CrossRef]
- Kuete, V.; Ngameni, B.; Simo, C.C.F.; Tankeu, R.K.; Ngadjui, B.T.; Meyer, J.J.M.; Lall, N.; Kuiate, J.R. Antimicrobial activity of the crude extracts and compounds from Ficus chlamydocarpa and Ficus cordata (Moraceae). J. Ethnopharmacol. 2008, 120, 17–24. [Google Scholar] [CrossRef] [PubMed]
- Bai, X.; Chen, W.; Wang, B.; Sun, T.; Wu, B.; Wang, Y. Photocatalytic Degradation of Some Typical Antibiotics: Recent Advances and Future Outlooks. Int. J. Mol. Sci. 2022, 23, 8130. [Google Scholar] [CrossRef]
- Chopra, I. New developments in tetracycline antibiotics: Glycylcyclines and tetracycline efflux pump inhibitors. Drug Resist. Updates 2002, 5, 119–125. [Google Scholar] [CrossRef]
- Chopra, I.; Roberts, M. Tetracycline antibiotics: Mode of action, applications, molecular biology, and epidemiology of bacterial resistance. Microbiol. Mol. Biol. Rev. 2001, 65, 232–260. [Google Scholar] [CrossRef]
- Huang, L.; Wu, C.; Gao, H.; Xu, C.; Dai, M.; Huang, L.; Hao, H.; Wang, X.; Cheng, G. Bacterial Multidrug Efflux Pumps at the Frontline of Antimicrobial Resistance: An Overview. Antibiotics 2022, 11, 520. [Google Scholar] [CrossRef] [PubMed]
- Macone, A.B.; Caruso, B.K.; Leahy, R.G.; Donatelli, J.; Weir, S.; Draper, M.P.; Tanaka, S.K.; Levy, S.B. In vitro and in vivo antibacterial activities of omadacycline, a novel aminomethylcycline. Antimicrob. Agents Chemother. 2014, 58, 1127–1135. [Google Scholar] [CrossRef]
- FDA Drug Safety Communication: Increased Risk of Death with Tygacil (Tigecycline) Compared to Other Antibiotics Used to Treat Similar Infections. FDA. Available online: https://www.fda.gov/drugs/drug-safety-and-availability/fda-drug-safety-communication-increased-risk-death-tygacil-tigecycline-compared-other-antibiotics (accessed on 21 October 2022).
- Sabry, N.A.; Farid, S.F.; Dawoud, D.M. Antibiotic dispensing in Egyptian community pharmacies: An observational study. Res. Soc. Adm. Pharm. 2014, 10, 168–184. [Google Scholar] [CrossRef] [PubMed]
- Ao, C.; Higa, T.; Ming, H.; Ding, Y.-t.; Tawata, S. Isolation and identification of antioxidant and hyaluronidase inhibitory compounds from Ficus microcarpa L. fil. bark. J. Enzym. Inhib. Med. Chem. 2010, 25, 406–413. [Google Scholar] [CrossRef]
- Chang, S.-W.; Kim, K.-H.; Lee, I.-K.; Choi, S.-U.; Ryu, S.-Y.; Lee, K.-R. Phytochemical constituents of Bistorta manshuriensis. Nat. Prod. Sci. 2009, 15, 234–240. [Google Scholar]
- Ogunlaja, O.O.; Moodley, R.; Baijnath, H.; Jonnalagadda, S.B. Antioxidant activity of the bioactive compounds from the edible fruits and leaves of Ficus sur Forssk.(Moraceae). S. Afr. J. Sci. 2022, 118, 1–5. [Google Scholar] [CrossRef] [PubMed]
- Watanabe, M. Catechins as antioxidants from buckwheat (Fagopyrum esculentum Moench) groats. J. Agric. Food Chem. 1998, 46, 839–845. [Google Scholar] [CrossRef]
- Shoji, T.; Mutsuga, M.; Nakamura, T.; Kanda, T.; Akiyama, H.; Goda, Y. Isolation and structural elucidation of some procyanidins from apple by low-temperature nuclear magnetic resonance. J. Agric. Food Chem. 2003, 51, 3806–3813. [Google Scholar] [CrossRef] [PubMed]
- Anke, J.; Petereit, F.; Engelhardt, C.; Hensel, A. Procyanidins from Myrothamnus flabellifolia. Nat. Prod. Res. 2008, 22, 1237–1248. [Google Scholar] [CrossRef] [PubMed]
- Zhang, B.; Nonaka, G.-i.; Nishioka, I. Potentillanin, a biflavanoid and a procyanidin glycoside from Potentilla viscosa. Phytochemistry 1988, 27, 3277–3280. [Google Scholar] [CrossRef]
- Corse, J.; Lundin, R.E.; Sondheimer, E.; Wajss, A.C., Jr. Conformation analyses of D-(−)-quinic acid and some of its derivatives by nuclear magnetic resonance. Phytochemistry 1966, 5, 767–776. [Google Scholar] [CrossRef]
- Liao, C.-R.; Kuo, Y.-H.; Ho, Y.-L.; Wang, C.-Y.; Yang, C.-S.; Lin, C.-W.; Chang, Y.-S. Studies on cytotoxic constituents from the leaves of Elaeagnus oldhamii Maxim. in non-small cell lung cancer A549 cells. Molecules 2014, 19, 9515–9534. [Google Scholar] [CrossRef] [PubMed]
- Maskey, R.P.; Asolkar, R.N.; Speitling, M.; Hoffman, V.; Grün-Wollny, I.; Fleck, W.F.; Laatsch, H. Flavones and new isoflavone derivatives from microorganisms: Isolation and structure elucidation. Z. Für Nat. B 2003, 58, 686–691. [Google Scholar] [CrossRef]
- Singh, N.; Yadav, S.S. A review on health benefits of phenolics derived from dietary spices. Curr. Res. Food Sci. 2022, 5, 1508–1523. [Google Scholar] [CrossRef]
- Shimamura, T.; Zhao, W.-H.; Hu, Z.-Q. Mechanism of action and potential for use of tea catechin as an antiinfective agent. Anti-Infect. Agents Med. Chem. 2007, 6, 57–62. [Google Scholar] [CrossRef]
- Lou, Z.; Wang, H.; Zhu, S.; Ma, C.; Wang, Z. Antibacterial activity and mechanism of action of chlorogenic acid. J. Food Sci. 2011, 76, M398–M403. [Google Scholar] [CrossRef]
- Santana-Gálvez, J.; Cisneros-Zevallos, L.; Jacobo-Velázquez, D.A. Chlorogenic acid: Recent advances on its dual role as a food additive and a nutraceutical against metabolic syndrome. Molecules 2017, 22, 358. [Google Scholar] [CrossRef] [PubMed]
- Embaby, M.A.; El-Raey, M.A.; Zaineldain, M.; Almaghrabi, O.; Marrez, D.A. Synergistic effect and efflux pump inhibitory activity of Ficus nitida phenolic extract with tetracycline against some pathogenic bacteria. Toxin Rev. 2021, 40, 1187–1197. [Google Scholar] [CrossRef]
- Nakayama, M.; Shimatani, K.; Ozawa, T.; Shigemune, N.; Tsugukuni, T.; Tomiyama, D.; Kurahachi, M.; Nonaka, A.; Miyamoto, T. A study of the antibacterial mechanism of catechins: Isolation and identification of Escherichia coli cell surface proteins that interact with epigallocatechin gallate. Food Control 2013, 33, 433–439. [Google Scholar] [CrossRef]
- Renzetti, A.; Betts, J.W.; Fukumoto, K.; Rutherford, R.N. Antibacterial green tea catechins from a molecular perspective: Mechanisms of action and structure–activity relationships. Food Funct. 2020, 11, 9370–9396. [Google Scholar] [CrossRef]
- Tsuchiya, H.; Sato, M.; Miyazaki, T.; Fujiwara, S.; Tanigaki, S.; Ohyama, M.; Tanaka, T.; Iinuma, M. Comparative study on the antibacterial activity of phytochemical flavanones against methicillin-resistant Staphylococcus aureus. J. Ethnopharmacol. 1996, 50, 27–34. [Google Scholar] [CrossRef]
- Prinsloo, G.; Meyer, J.J.M. In vitro production of phytoalexins by Helichrysum kraussii. S. Afr. J. Bot. 2006, 72, 482–483. [Google Scholar] [CrossRef]
- Bauer, A.W. Antibiotic susceptibility testing by a standardized single disc method. Am. J. Clin. Pathol. 1966, 45, 149–158. [Google Scholar] [CrossRef]
- Yao, H.; Liu, J.; Jiang, X.; Chen, F.; Lu, X.; Zhang, J. Analysis of the clinical effect of combined drug susceptibility to guide medication for carbapenem-resistant klebsiella pneumoniae patients based on the kirby–bauer disk diffusion method. Infect. Drug Resist. 2021, 14, 79. [Google Scholar] [CrossRef] [PubMed]
- Andrews, J.M. Determination of minimum inhibitory concentrations. J. Antimicrob. Chemother. 2001, 48, 5–16. [Google Scholar] [CrossRef] [PubMed]
- Kowalska-Krochmal, B.; Dudek-Wicher, R. The minimum inhibitory concentration of antibiotics: Methods, interpretation, clinical relevance. Pathogens 2021, 10, 165. [Google Scholar] [CrossRef] [PubMed]
- Tallarida, R.J. Drug synergism: Its detection and applications. J. Pharmacol. Exp. Ther. 2001, 298, 865–872. [Google Scholar]
- White, R.L.; Burgess, D.S.; Manduru, M.; Bosso, J.A. Comparison of three different in vitro methods of detecting synergy: Time-kill, checkerboard, and E test. Antimicrob. Agents Chemother. 1996, 40, 1914–1918. [Google Scholar] [CrossRef]
- Jayaraman, P.; Sakharkar, M.K.; Lim, C.S.; Tang, T.H.; Sakharkar, K.R. Activity and interactions of antibiotic and phytochemical combinations against Pseudomonas aeruginosa in vitro. Int. J. Biol. Sci. 2010, 6, 556. [Google Scholar] [CrossRef]
- López-Malo, A.; Mani-López, E.; Davidson, P.M.; Palou, E. Methods for activity assay and evaluation of results. In Antimicrobials in Food; CRC Press: Boca Raton, FL, USA, 2020; pp. 13–40. [Google Scholar]
- Mandalari, G.; Bisignano, C.; D’arrigo, M.; Ginestra, G.; Arena, A.; Tomaino, A.; Wickham, M.S.J. Antimicrobial potential of polyphenols extracted from almond skins. Lett. Appl. Microbiol. 2010, 51, 83–89. [Google Scholar]


| Bacterial Strains | Inhibition Zone (mm) (Mean ± S.E.) | |||
|---|---|---|---|---|
| DMSO | Tetracycline | Catechin | Chlorogenic Acid | |
| Bacillus cereus | 0 | 21.4 ± 0.76 | 8.2 ± 0.28 | 7.5 ± 0.50 |
| Staphylococcus aureus | 0 | 20.1 ± 0.10 | 8.3 ± 0.28 | 7.8 ± 1.04 |
| Escherichia coli | 0 | 17.3 ± 1.42 | 7.2 ± 0.28 | 7.7 ± 1.15 |
| Salmonella typhi | 0 | 22.1 ± 1.15 | 7.8 ± 0.76 | 8.2 ± 0.28 |
| Pseudomonas aeruginosa | 0 | 26.8 ± 1.44 | 7.2 ± 0.29 | 7.2 ± 0.21 |
| Klebseilla pneumoniae | 0 | 20.8 ± 0.64 | 8.0 ± 0.28 | 7.3 ± 0.58 |
| Bacterial Strains | MICTC (µg mL−1) | MICCT (mg mL−1) | FICTC | FICCT | FIC Index | Interpretation |
|---|---|---|---|---|---|---|
| Bacillus cereus | 20 | 0.72 | 0.13 | 0.25 | 0.38 | S |
| Staphylococcus aureus | 41.7 | 0.73 | 0.13 | 0.3 | 0.43 | S |
| Escherichia coli | 33.3 | 0.6 | 0.13 | 0.25 | 0.38 | S |
| Pseudomonas aeruginosa | 33.3 | 3.0 | 0.13 | 0.25 | 0.38 | S |
| Salmonella typhi | 23.3 | 0.73 | 0.25 | 0.13 | 0.38 | S |
| Klebseilla pneumoniae | 54.2 | 2.33 | 0.25 | 0.5 | 0.75 | A |
| Bacterial Strains | MICTC (µg mL−1) | MICCA (mg mL−1) | FICTC | FICCT | FIC Index | Interpretation |
|---|---|---|---|---|---|---|
| Bacillus cereus | 20 | 1.67 | 0.13 | 0.25 | 0.38 | S |
| Staphylococcus aureus | 41.7 | 0.60 | 0.25 | 0.40 | 0.65 | A |
| Escherichia coli | 33.3 | 1.67 | 0.13 | 0.25 | 0.38 | S |
| Pseudomonas aeruginosa | 33.3 | 2.33 | 0.5 | 0.13 | 0.63 | A |
| Salmonella typhi | 23.3 | 0.87 | 0.25 | 0.13 | 0.38 | S |
| Klebseilla pneumoniae | 54.2 | 3.0 | 0.25 | 0.5 | 0.75 | A |
Publisher’s Note: MDPI stays neutral with regard to jurisdictional claims in published maps and institutional affiliations. |
© 2022 by the authors. Licensee MDPI, Basel, Switzerland. This article is an open access article distributed under the terms and conditions of the Creative Commons Attribution (CC BY) license (https://creativecommons.org/licenses/by/4.0/).
Share and Cite
Alqahtani, A.; Marrez, D.A.; Aleraky, M.; Fagir, N.A.; Alqahtani, O.; Othman, S.; El Raey, M.A.; Attia, H.G. Characterization and Isolation of the Major Biologically Active Metabolites Isolated from Ficus retusa and Their Synergistic Effect with Tetracycline against Certain Pathogenic-Resistant Bacteria. Pharmaceuticals 2022, 15, 1473. https://doi.org/10.3390/ph15121473
Alqahtani A, Marrez DA, Aleraky M, Fagir NA, Alqahtani O, Othman S, El Raey MA, Attia HG. Characterization and Isolation of the Major Biologically Active Metabolites Isolated from Ficus retusa and Their Synergistic Effect with Tetracycline against Certain Pathogenic-Resistant Bacteria. Pharmaceuticals. 2022; 15(12):1473. https://doi.org/10.3390/ph15121473
Chicago/Turabian StyleAlqahtani, Abdulwahab, Diaa A. Marrez, Mohamed Aleraky, Nada A. Fagir, Omaish Alqahtani, Samir Othman, Mohamed A. El Raey, and Hany G. Attia. 2022. "Characterization and Isolation of the Major Biologically Active Metabolites Isolated from Ficus retusa and Their Synergistic Effect with Tetracycline against Certain Pathogenic-Resistant Bacteria" Pharmaceuticals 15, no. 12: 1473. https://doi.org/10.3390/ph15121473
APA StyleAlqahtani, A., Marrez, D. A., Aleraky, M., Fagir, N. A., Alqahtani, O., Othman, S., El Raey, M. A., & Attia, H. G. (2022). Characterization and Isolation of the Major Biologically Active Metabolites Isolated from Ficus retusa and Their Synergistic Effect with Tetracycline against Certain Pathogenic-Resistant Bacteria. Pharmaceuticals, 15(12), 1473. https://doi.org/10.3390/ph15121473

