Synthesis, In Vitro, In Vivo and In Silico Antidiabetic Bioassays of 4-Nitro(thio)phenoxyisobutyric Acids Acting as Unexpected PPARγ Modulators: An In Combo Study
Abstract
:1. Introduction
2. Results and Discussion
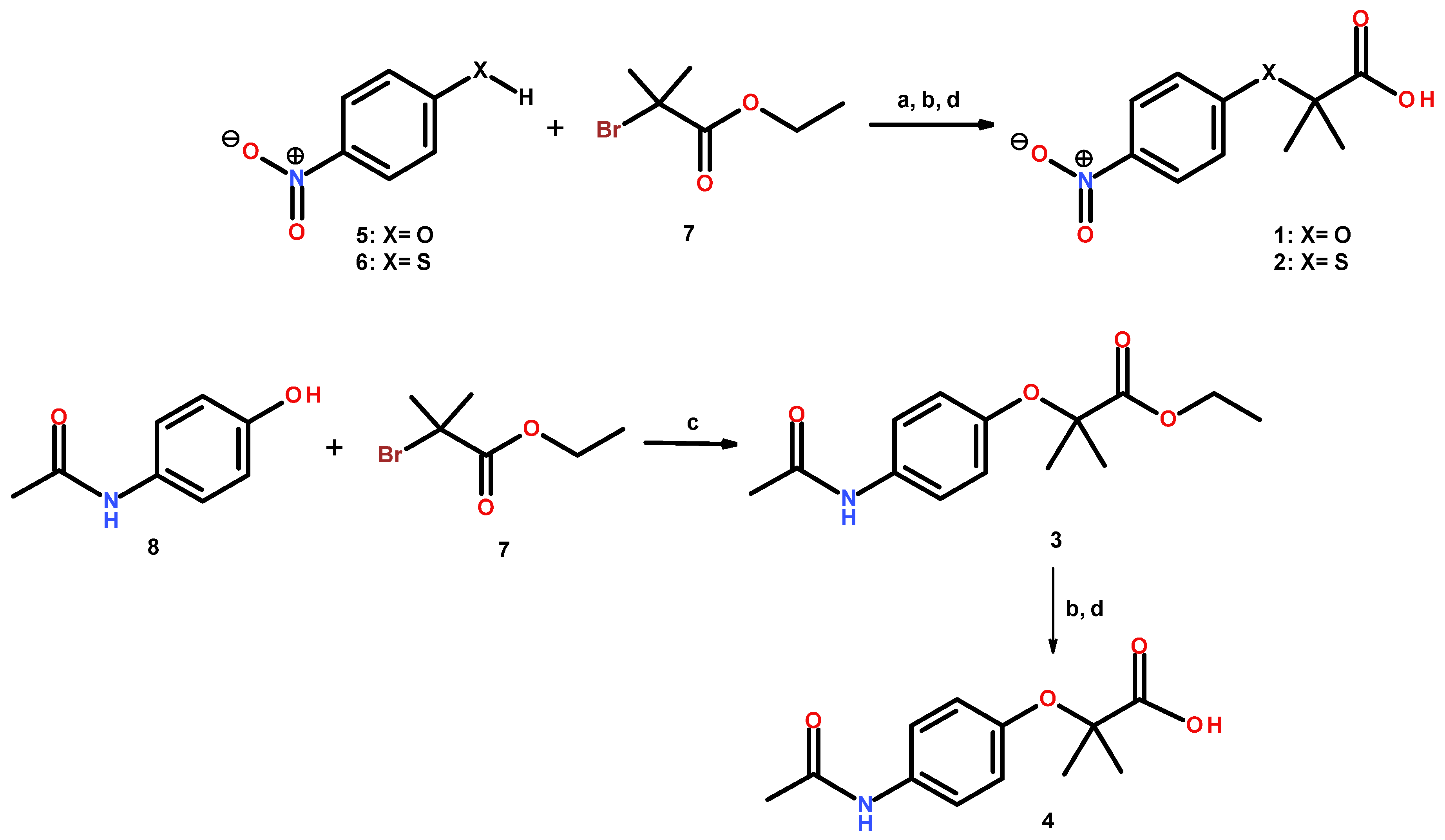
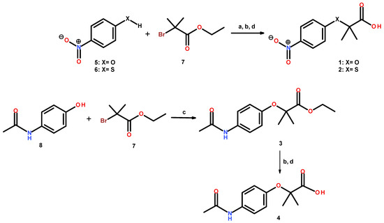
2.1. Chemistry
2.2. In Vitro PPARα/γ and GLUT-4 Expression
2.3. In Vivo Antidiabetic Action
2.4. Molecular Docking Calculations
2.5. Molecular Dynamics Simulations
2.6. In Silico Toxicology
3. Materials and Methods
3.1. Chemistry
3.1.1. Procedure for the Synthesis of Compounds 1–4
2-(4-Nitrophenoxy)isobutyric Acid (1)
2-(4-Nitrophenylsulfanyl)isobutyric Acid (2)
Ethyl 2-[4-(acetylamino)phenoxy]isobutyrate (3)
2-(4-Acetamidophenoxy)isobutyric Acid (4)
3.2. Biological Assays
GLUT-4 and PPAR Quantification
3.3. In Vivo Antidiabetic Assay
3.3.1. Animals
3.3.2. Acute Antidiabetic Assay
3.4. In Silico Docking Calculations
Docking Validation
3.5. Molecular Dynamics Simulations
3.6. Statistical Analysis
4. Conclusions
Supplementary Materials
Author Contributions
Funding
Institutional Review Board Statement
Informed Consent Statement
Data Availability Statement
Acknowledgments
Conflicts of Interest
Sample Availability
References
- Giampietro, L.; Ammazzalorso, A.; Amoroso, R.; De Filippis, B. Development of fibrates as important scaffolds in medicinal chemistry. ChemMedChem 2019, 14, 1051–1066. [Google Scholar] [CrossRef] [Green Version]
- Maltarollo, V.G.; Kronenberger, T.; Windshugel, B.; Wrenger, C.; Trossini, G.H.G.; Honorio, K.M. Advances and challenges in drug design of PPARδ Ligands. Curr. Drug Targets 2018, 19, 144–154. [Google Scholar] [CrossRef]
- Pujimulyani, D.; Yulianto, W.A.; Setyowati, A.; Arumwardana, S.; Sari Widya Kusuma, H.; Adhani Sholihah, I.; Rizal, R.; Widowati, W.; Maruf, A. Hypoglycemic activity of Curcuma mangga Val. extract via modulation of GLUT4 and PPAR-gamma mRNA expression in 3T3-L1 adipocytes. J. Exp. Pharmacol. 2020, 8, 363–369. [Google Scholar] [CrossRef]
- Thorp, J.M.; Waring, W.S. Modification of metabolism and distribution of lipids by ethyl chlorophenoxyisobutyrate. Nature 1962, 194, 948–949. [Google Scholar] [CrossRef] [PubMed]
- Navarrete-Vázquez, G.; Alaniz-Palacios, A.; Hidalgo-Figueroa, S.; González-Acevedo, C.; Ávila-Villarreal, G.; Estrada-Soto, S.; Webster, S.P.; Medina-Franco, J.; López-Vallejo, F.; Guerrero-Álvarez, J.; et al. Discovery, synthesis and in combo studies of a tetrazole analogue of clofibric acid as a potent hypoglycemic agent. Bioorg. Med. Chem. Lett. 2013, 23, 3244–3247. [Google Scholar] [CrossRef] [PubMed]
- Webster, S.P.; Ward, P.; Binnie, M.; Craigie, E.; McConnell, K.M.M.; Sooy, K.; Vinter, A.; Seckl, J.R.; Walker, B.R. Discovery and biological evaluation of adamantyl amide 11beta-HSD1 inhibitors. Bioorg. Med. Chem. Lett. 2007, 17, 2838–2843. [Google Scholar] [CrossRef] [PubMed]
- Álvarez-Almazán, S.; Filisola-Villaseñor, J.G.; Alemán-González-Duhart, D.; Tamay-Cach, F.; Mendieta-Wejebe, J.E. Current molecular aspects in the development and treatment of diabetes. J. Physiol. Biochem. 2020, 76, 13–35. [Google Scholar] [CrossRef] [PubMed]
- Gutierréz-Hernández, A.; Galván-Ciprés, Y.; Domínguez-Mendoza, E.A.; Aguirre-Vidal, Y.; Estrada-Soto, S.; Almanza-Pérez, J.C.; Navarrete-Vázquez, G. Design, synthesis, antihyperglycemic studies, and docking simulations of benzimidazole-thiazolidinedione hybrids. J. Chem. 2019, 2019, 1650145. [Google Scholar] [CrossRef]
- Giacoman-Martínez, A.; Alarcón-Aguilar, F.J.; Zamilpa, A.; Hidalgo-Figueroa, S.; Navarrete-Vázquez, G.; García-Macedo, R.; Román-Ramos, R.; Almanza-Pérez, J.C. Triterpenoids from Hibiscus sabdariffa L. with PPARδ/γ dual agonist action: In Vivo, in vitro and in silico studies. Planta Med. 2019, 85, 412–423. [Google Scholar] [CrossRef] [Green Version]
- Giampietro, L.; Laghezza, A.; Cerchia, C.; Florio, R.; Recinella, L.; Capone, F.; Ammazzalorso, A.; Bruno, I.; De Filippis, B.; Fantacuzzi, M.; et al. Novel phenyldiazenyl fibrate analogues as PPAR α/γ/δ pan-agonists for the amelioration of metabolic syndrome. ACS Med. Chem. Lett. 2019, 10, 545–551. [Google Scholar] [CrossRef] [PubMed]
- Sugii, S.; Olson, P.; Sears, D.D.; Saberi, M.; Atkins, A.R.; Barish, G.D.; Hong, S.H.; Castro, G.L.; Yin, Y.Q.; Nelson, M.C.; et al. PPARγ activation in adipocytes is sufficient for systemic insulin sensitization. Proc. Natl. Acad. Sci. USA 2009, 106, 22504–22509. [Google Scholar] [CrossRef] [Green Version]
- Mahindroo, N.; Wang, C.C.; Liao, C.C.; Huang, C.F.; Lu, I.L.; Lien, T.W.; Peng, Y.H.; Huang, W.J.; Lin, Y.T.; Hsu, M.C.; et al. Indol-1-yl acetic acids as peroxisome proliferator-activated receptor agonists: Design, synthesis, structural biology, and molecular docking studies. J. Med. Chem. 2006, 49, 1212–1226. [Google Scholar] [CrossRef] [PubMed]
- Molecular Operating Environment (MOE). Chemical Computing group ULC; 1010 Sherbooke St. West, Suite #910: Montreal, QC, Canada, 2021; Available online: http://www.chemcomp.com (accessed on 5 January 2021).
- Pochetti, G.; Godio, C.; Mitro, N.; Caruso, D.; Galmozzi, A.; Scurati, S.; Loiodice, F.; Fracchiolla, G.; Tortorella, P.; Laghezza, A.; et al. Insights into the mechanism of partial agonism: Crystal structures of the peroxisome proliferator-activated receptor gamma ligand-binding domain in the complex with two enantiomeric ligands. J. Biol. Chem. 2007, 282, 17314–17324. [Google Scholar] [CrossRef] [Green Version]
- Bruning, J.B.; Chalmers, M.J.; Prasad, S.; Busby, S.A.; Kamenecka, T.M.; He, Y.; Nettles, K.W.; Griffin, P.R. Partial agonists activate PPARgamma using a helix 12 independent mechanism. Structure 2007, 15, 1258–1271. [Google Scholar] [CrossRef] [PubMed]
- Vangone, A.; Schaarschmidt, J.; Koukos, P.; Geng, C.; Citro, N.; Trellet, M.E.; Xue, L.; Bonvin, A.M. Large-scale prediction of binding affinity in protein-small ligand complexes: The PRODIGY-LIG web server. Bioinformatics 2019, 35, 1585–1587. [Google Scholar] [CrossRef] [Green Version]
- Kurkcuoglu, Z.; Koukos, P.I.; Citro, N.; Trellet, M.E.; Rodrigues, J.P.G.L.M.; Moreira, I.S.; Roel-Touris, J.; Melquiond, A.S.; Geng, C.; Schaarschmidt, J.; et al. Performance of HADDOCK and a simple contact-based protein-ligand binding affinity predictor in the D3R Grand Challenge 2. J. Comp. Aid. Mol. Des. 2018, 32, 175–185. [Google Scholar] [CrossRef]
- Nepali, K.; Lee, H.Y.; Liou, J.P. Nitro-Group-Containing Drugs. J. Med. Chem. 2019, 62, 2851–2893. [Google Scholar] [CrossRef] [PubMed]
- Li, J.J. Medicinal Chemistry for Practitioners, 1st ed.; Wiley: New York, NY, USA, 2020. [Google Scholar]
- Medina-Franco, J.L.; Navarrete-Vázquez, G.; Méndez-Lucio, O. Activity and property landscape modeling is at the interface of chemoinformatics and medicinal chemistry. Future Med. Chem. 2015, 7, 1197–1211. [Google Scholar] [CrossRef]
- Alberga, D.; Trisciuzzi, D.; Mansouri, K.; Mangiatordi, G.F.; Nicolotti, O. Prediction of Acute Oral Systemic Toxicity Using a Multifingerprint Similarity Approach. Toxicol. Sci. 2019, 167, 484–495. [Google Scholar] [CrossRef] [PubMed]
- Xiong, G.; Wu, Z.; Yi, J.; Fu, L.; Yang, Z.; Hsieh, C.; Yin, M.; Zeng, X.; Wu, C.; Lu, A.; et al. ADMETlab 2.0: An integrated online platform for accurate and comprehensive predictions of ADMET properties. Nucleic Acids Res. 2021, 49, W5–W14. [Google Scholar] [CrossRef]
- Wang, B.; Tang, C.; Han, Y.; Guo, R.; Qian, H.; Huang, W. Synthesis and preliminary antihyperlipidaemic activities evaluation of andrographolide derivatives. Med. Chem. 2012, 8, 293–298. [Google Scholar] [CrossRef]
- Lalezari, I.; Rahbar, S.; Lalezari, P.; Fermi, G.; Perutz, M.F. LR16, a compound with potent effects on the oxygen affinity of hemoglobin, on blood cholesterol, and on low density lipoprotein. Proc. Natl. Acad. Sci. USA 1988, 85, 6117–6121. [Google Scholar] [CrossRef] [Green Version]
- Navarrete-Vázquez, G.; Villalobos-Molina, R.; Estrada-Soto, S.; Ortiz-Andrade, R.; Tlahuext, H. 2-Methyl-2-(4-nitrophenylsulfanyl)propanoic acid. Acta Crystallogr. Sect. E Struct. Rep. Online 2008, 64, o91. [Google Scholar] [CrossRef] [PubMed] [Green Version]
- Andreani, F.; Andrisano, R.; Andreani, A. New alpha-substituted arylthioacetic derivatives forming analogues of clofibrate. Farmaco Sci. 1975, 30, 847–858. [Google Scholar] [PubMed]
- Navarrete-Vázquez, G.; Torres-Gómez, H.; Guerrero-Álvarez, J.; Tlahuext, H. Synthesis and crystal structure of ethyl 2-[4-(acetylamino)phenoxy]-2-methylpropanoate, a potential anti-inflammatory and Antidyslipidemic Hybrid. J. Chem. Crystallogr. 2011, 41, 732–736. [Google Scholar] [CrossRef]
- Navarrete-Vázquez, G.; Colín-Lozano, B.; Tlahuext, H.; Tapia-Benavides, A.R. 2-(4-Acetamidophenoxy)-2-methylpropanoic acid. Acta Crystallogr. Sect. E Struct. Rep. Online 2013, 9, o443. [Google Scholar] [CrossRef] [PubMed]
- Trott, O.; Olson, A.J. AutoDock Vina: Improving the speed and accuracy of docking with a new scoring function, efficient optimization, and multithreading. J. Comput. Chem. 2010, 31, 455–461. [Google Scholar] [CrossRef] [PubMed] [Green Version]
- Jiang, X.; Kumar, K.; Hu, X.; Wallqvist, A.; Reifman, J. DOVIS 2.0: An efficient and easy to use parallel virtual screening tool based on AutoDock 4.0. Chem. Cent. J. 2008, 2, 18. [Google Scholar] [CrossRef] [Green Version]
- Hidalgo-Figueroa, S.; Rodríguez-Luévano, A.; Almanza-Pérez, J.C.; Giacoman-Martínez, A.; Ortiz-Andrade, R.; León-Rivera, I.; Navarrete-Vázquez, G. Synthesis, molecular docking, dynamic simulation and pharmacological characterization of potent multifunctional agent (dual GPR40-PPARγ agonist) for the treatment of experimental type 2 diabetes. Eur J Pharmacol. 2021, 907, 174244. [Google Scholar] [CrossRef]







| Compound | PPARγ ΔG (kcal/mol) | Ki (μM) | PPARγ/MD ΔG (kcal/mol) | PPARγ Expression Level (Fold) | GLUT-4 Expression Level (Fold) | Maximal Percentage of Glycemic-Lowering Effect (%) |
|---|---|---|---|---|---|---|
| 1 | −6.2 | 5.39 | −7.3 | 3.60 | 2.62 | −43.5 |
| 2 | −6.2 | 3.90 | −7.8 | 3.89 | 2.48 | −50.1 |
| 3 | −6.0 | 7.54 | −7.2 | 1.92 | 1.62 | −35.3 |
| 4 | −6.3 | 4.28 | −6.9 | 3.23 | 2.63 | −39.1 |
| Clofibric acid | −5.5 | 13.13 | −6.8 | 1.41 | 1.02 | No reduction observed [5] |
| Pioglitazone | −8.5 | 0.50 | −9.7 | 2.51 | 1.84 | −49.6 |
| Compound | LD50 (mg/kg) | Probability of Inhibition/Blockage (IC50 or Ki < 10 μM) | ||||||
|---|---|---|---|---|---|---|---|---|
| Mouse | Rat | CYP450 Isoform | hERG | |||||
| i.p. | p.o. | i.p. | p.o. | 3A4 | 2D6 | 1A2 | ||
| 1 | 680 | 1500 | 820 | 1590 | 0.00 | 0.00 | 0.00 | 0.01 |
| 2 | 670 | 790 | 520 | 1280 | 0.00 | 0.01 | 0.00 | 0.01 |
| 3 | 810 | 1900 | 770 | 3000 | 0.02 | 0.01 | 0.19 | 0.05 |
| 4 | 790 | 1400 | 970 | 2500 | 0.00 | 0.00 | 0.00 | 0.01 |
| Clofibrate | 750 | 1300 | 1200 | 1800 | 0.03 | 0.04 | 0.31 | 0.12 |
| Pioglitazone | 400 | 1400 | 400 | 1100 | 0.22 | 0.03 | 0.02 | 0.10 |
| Model | Compounds | |||||
|---|---|---|---|---|---|---|
| 1 | 2 | 3 | 4 | Clofibrate | ||
| A | Gastrointestinal Absorption | (+) High | (+) High | (+) High | (+) High | (+) High |
| Blood–Brain Barrier permeant | (−) No | (−) No | (+) Yes | (−) No | (+) Yes | |
| Bioavalability (F) | <20% | >30% | >30% | >30% | >30% | |
| D | Plasma Protein Binding | 90.62% | 91.22% | 60.41% | 42.14% | 97.21% |
| Volume distribution | 0.23 L/kg | 0.32 L/kg | 0.95 L/kg | 0.41 L/kg | 1.403 L/kg | |
| M | CYP3A4 substrate | (+) Yes | (+) Yes | (++) Yes | (+) Yes | (++) Yes |
| CYP2D6 substrate | (−) No | (−) No | (+) Yes | (−) No | (+) Yes | |
| E | Clearance (Cl) | 0.948 mL/min/kg | 0.412 mL/min/kg | 5.860 mL/min/kg | 1.093 mL/min/kg | 5.202 mL/min/kg |
| Half Life(T1/2) | >3 h | >3 h | >3 h | >3 h | >3 h | |
Publisher’s Note: MDPI stays neutral with regard to jurisdictional claims in published maps and institutional affiliations. |
© 2022 by the authors. Licensee MDPI, Basel, Switzerland. This article is an open access article distributed under the terms and conditions of the Creative Commons Attribution (CC BY) license (https://creativecommons.org/licenses/by/4.0/).
Share and Cite
Colin-Lozano, B.; Torres-Gomez, H.; Hidalgo-Figueroa, S.; Chávez-Silva, F.; Estrada-Soto, S.; Almanza-Pérez, J.C.; Navarrete-Vazquez, G. Synthesis, In Vitro, In Vivo and In Silico Antidiabetic Bioassays of 4-Nitro(thio)phenoxyisobutyric Acids Acting as Unexpected PPARγ Modulators: An In Combo Study. Pharmaceuticals 2022, 15, 102. https://doi.org/10.3390/ph15010102
Colin-Lozano B, Torres-Gomez H, Hidalgo-Figueroa S, Chávez-Silva F, Estrada-Soto S, Almanza-Pérez JC, Navarrete-Vazquez G. Synthesis, In Vitro, In Vivo and In Silico Antidiabetic Bioassays of 4-Nitro(thio)phenoxyisobutyric Acids Acting as Unexpected PPARγ Modulators: An In Combo Study. Pharmaceuticals. 2022; 15(1):102. https://doi.org/10.3390/ph15010102
Chicago/Turabian StyleColin-Lozano, Blanca, Héctor Torres-Gomez, Sergio Hidalgo-Figueroa, Fabiola Chávez-Silva, Samuel Estrada-Soto, Julio Cesar Almanza-Pérez, and Gabriel Navarrete-Vazquez. 2022. "Synthesis, In Vitro, In Vivo and In Silico Antidiabetic Bioassays of 4-Nitro(thio)phenoxyisobutyric Acids Acting as Unexpected PPARγ Modulators: An In Combo Study" Pharmaceuticals 15, no. 1: 102. https://doi.org/10.3390/ph15010102
APA StyleColin-Lozano, B., Torres-Gomez, H., Hidalgo-Figueroa, S., Chávez-Silva, F., Estrada-Soto, S., Almanza-Pérez, J. C., & Navarrete-Vazquez, G. (2022). Synthesis, In Vitro, In Vivo and In Silico Antidiabetic Bioassays of 4-Nitro(thio)phenoxyisobutyric Acids Acting as Unexpected PPARγ Modulators: An In Combo Study. Pharmaceuticals, 15(1), 102. https://doi.org/10.3390/ph15010102

