Structural Studies of β-Diketones and Their Implications on Biological Effects
Abstract
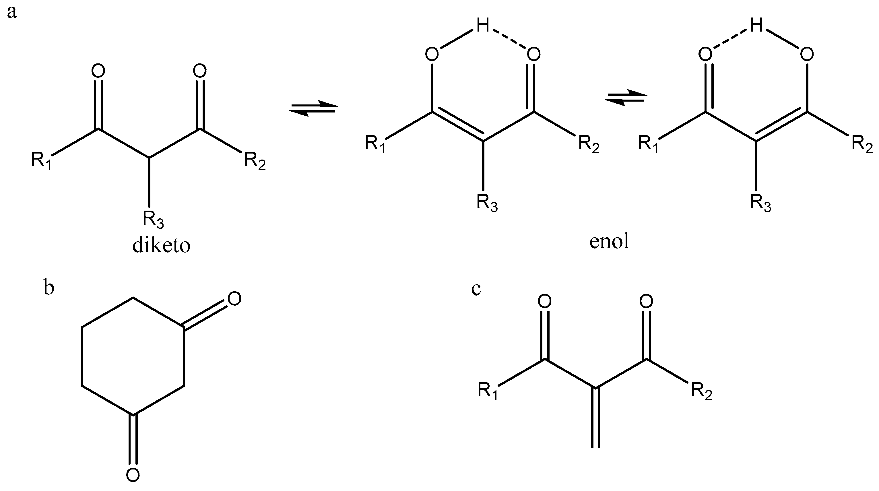
:1. Introduction
2. Structure Determination
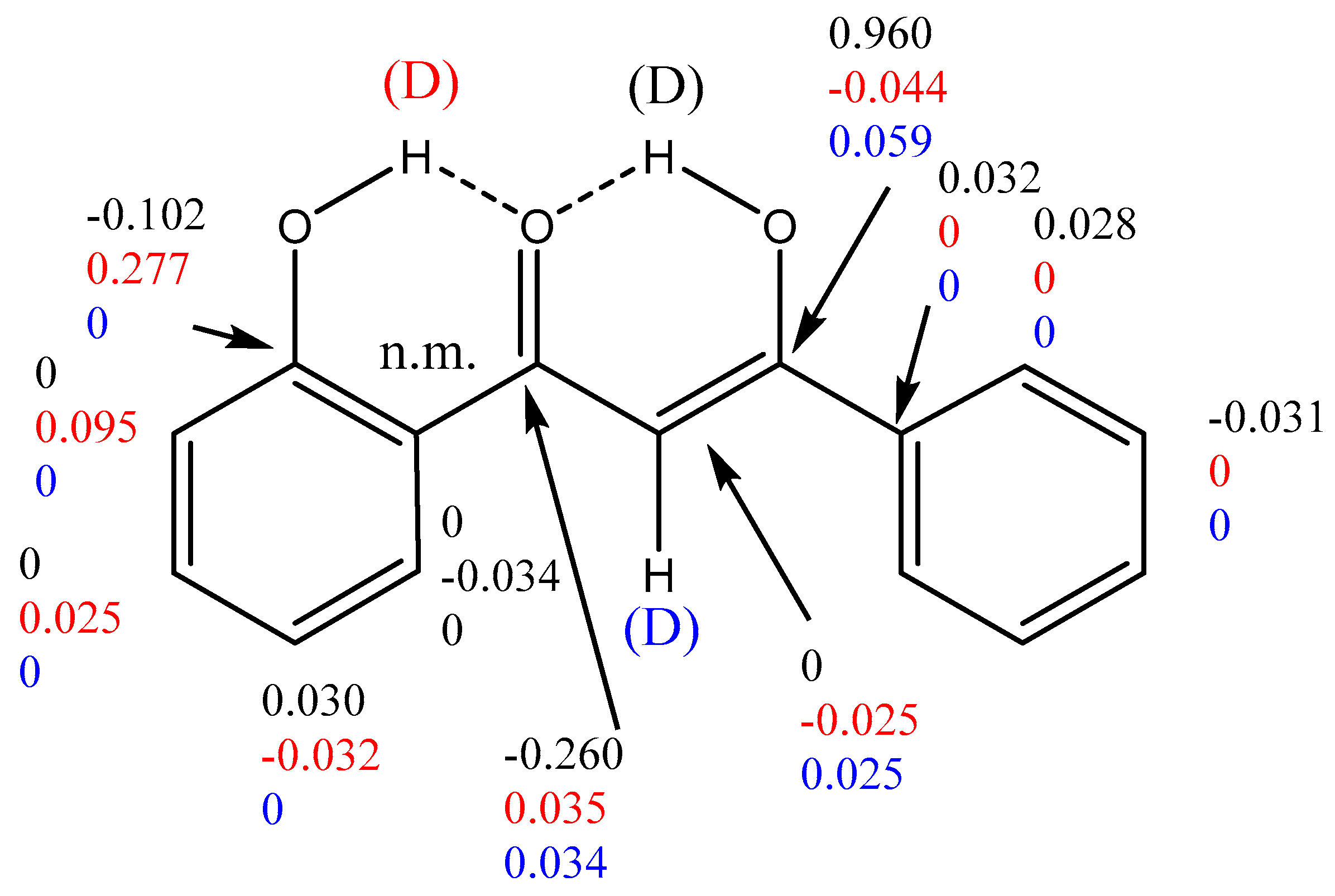
2.1. NMR
2.2. IR
2.3. UV–VIS
3. Ratios between Enol- and Diketo-Forms
4. Interconversion between Tautomers
5. pKa Values
6. Inclusion Complexes
7. Density Functional Calculations
8. Docking Studies
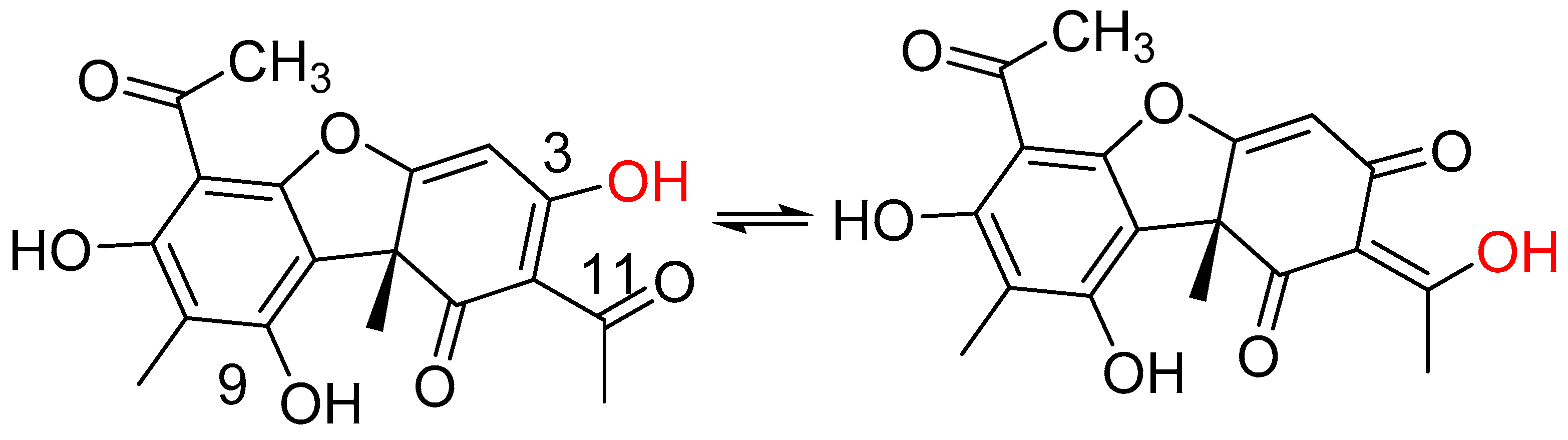
9. Structures
10. Conclusions
Funding
Institutional Review Board Statement
Informed Consent Statement
Conflicts of Interest
References
- Shokova, E.A.; Kim, J.K.; Kovalev, V.V. 1,3-Diketones. Synthesis and Properties. Russ. J. Org. Chem. 2015, 51, 755–830. [Google Scholar] [CrossRef]
- Pabon, H.J.J. A synthesis of curcumin and related compounds. Recl. Trav. Chim. Pays-Bas 1964, 83, 379–386. [Google Scholar] [CrossRef]
- Katritzky, A.R.; Hall, C.D.; El-Dien, B.; El-Gendy, M.; Draghici, B. Tautomerism in drug discovery. J. Comput. Aided Mol. Des. 2010, 24, 475–484. [Google Scholar] [CrossRef]
- Martin, Y.C. Lets not forget the tautomers. J. Comput. Aided Mol. Des. 2009, 23, 693–704. [Google Scholar] [CrossRef] [Green Version]
- Hansen, P.E.; Mortensen, J.; Kamounah, F.S. The importance of correct tautomeric structures for biological molecules. JSM Chem. 2015, 3, 1014–1019. [Google Scholar]
- Hansen, P.E. Tautomerism and biological activity of beta-diketones, triketones, beta, ketoesters and beta-ketoamides. A Mini Review. Wiad. Chem. 2017, 71, 428–444. [Google Scholar]
- Bukhari, A.N.S.; Jantan, I.B.; Jasamai, M.; Ahmad, W.; Amjad, M.W.B. Synthesis and Biologival Evaluation of Curcumin Analogues. J. Med. Sci. 2013, 13, 501–513. [Google Scholar] [CrossRef] [Green Version]
- Hansen, P.E. NMR of natural product as potential drugs. Molecules 2021, 26, 3763. [Google Scholar] [CrossRef] [PubMed]
- Arshad, L.; Jantan, I.; Bukhari, S.N.S.; Haque, M.A. Immunosuppressive Effects of Natural a,b-Unsaturated Carbonyl-Based Compounds, and Their Analogs and Derivatives, on Immune Cells: A Review. Front. Pharmacol. 2017, 8, 22. [Google Scholar] [CrossRef] [Green Version]
- Claramunt, R.M.; López, C.; Maria, M.D.S.; Sanz, D.; Elguero, J. The use of NMR spectroscopy to study tautomerism. Prog. Nucl. Magn. Reson. Spectrosc. 2006, 49, 169–206. [Google Scholar] [CrossRef]
- Hansen, P.E. Hydrogen-bonding and Tautomerism studied by Isotope Effects on Chemical Shifts. J. Mol. Struct. 1994, 321, 79–87. [Google Scholar] [CrossRef]
- Boykin, D.W. Applications of 17O NMR Spectroscopy to Natural Products Chemistry. In Studies in Natural Products Chemistry; Elsevier: Amsterdam, The Netherlands, 1995; Volume 17, pp. 549–600. [Google Scholar]
- Garbisch, E.W. Hydroxymethylene Ketone-aldo enol equilibrium. J. Am. Chem. Soc. 1963, 85, 1696–1697. [Google Scholar] [CrossRef]
- Bolvig, S.; Hansen, P.E.; Wemmer, D.; Williams, P. Deuterium Isotope Effects on 17O Chemical Shifts of Intramolecularly Hydrogen Bonded Systems. J. Mol. Struct. 1999, 509, 171–181. [Google Scholar] [CrossRef]
- Wu, G. Solid-State 17O NMR Spectroscopy of Organic and Biological Molecules. In Modern Magnetic Resonance; Webb, G.A., Ed.; Springer International Publishing AG: Berlin/Heidelberg, Germany, 2018; pp. 841–860. [Google Scholar] [CrossRef]
- Kong, X.; Brinkmann, A.; Terskikh, V.; Wasylishen, R.E.; Bernard, G.M.; Duan, Z.; Wu, Q.; Wu, G. Proton probability distribution in the O···H···O low-barrier hydrogen bond: A combined solid-state NMR and quantum chemical computational study of dibenzoylmethane and curcumin. J. Phys. Chem. B. 2016, 120, 11692–11704. [Google Scholar] [CrossRef] [PubMed]
- Bolvig, S.; Hansen, P.E. Deuterium Isotope Effects on 13C Chemical Shifts as a Probe for Tautomerism in Enolic β-Diketones. Magn. Reson. Chem. 1996, 34, 467–478. [Google Scholar] [CrossRef]
- Borisov, E.V.; Zhang, W.; Bolvig, S.; Hansen, P.E. nJ(C,OH) Coupling Constants of Intramolecularly Hydrogen Bonded Compounds. Magn. Reson. Chem. 1998, 36, S104–S110. [Google Scholar] [CrossRef]
- Sloop, J.C.; Bumgartner, C.L.; Wahington, G.; Loehle, W.D.; Sankar, S.S.; Lewis, A.B. Keto-enol and enol-enol tautomerism in trifluoro-β-diketones. J. Fluochem. 2006, 127, 780–786. [Google Scholar]
- Benassi, R.; Ferrari, E.; Lazzari, S.; Spagnolo, F.; Saladini, M. Theoretical study on Curcumin: A comparison of calculated spectroscopic properties with NMR, UV-vis and IR experimental data. J. Mol. Struct. 2008, 892, 168–176. [Google Scholar] [CrossRef]
- Benassi, R.; Ferrari, E.; Lazzari, S.; Pignedoli, F.; Spagnolo, F.; Saladini, M. How glucosylation triggers physical-chemical properties of curcumin: An experimental and theoretical study. J. Phys. Org. Chem. 2011, 24, 299–310. [Google Scholar] [CrossRef] [Green Version]
- Antonov, L. Absorption UV-Vis Spectroscopy and Chemometrics: From Quantitative Conclusions to Quantitative Analysis. In Tautomerism: Methods and Theories; Antonov, L., Ed.; Wiley-VCH: Weinheim, Germany, 2013. [Google Scholar]
- Mondal, S.; Ghosh, S.; Moulik, S.P. Stability of curcumin in different solvent and solution media: UV–visibleand steady-state fluorescence spectral study. J. Photochem. Photobiol. B Biol. 2016, 158, 212–218. [Google Scholar] [CrossRef] [PubMed]
- Schweitzer, G.K.; Benson, W. Enol Content of Some Beta-Diketones. J. Chem. Eng. Data 1968, 3, 454–455. [Google Scholar] [CrossRef]
- Pedersen, U.; Rasmussen, P.B.; Lawesson, S.-O. Synthesis of Naturally Occurring Curcuminoids and Related Compounds. Liebigs Ann. Chem. 1985, 1985, 1557–1569. [Google Scholar] [CrossRef]
- Conradie, M.M.; Muller, A.J.; Conradie, J. Thienyl-containing β-Diketones: Synthesis, Characterization, Crystal Structure and Keto-enol Kinetics. S. Afr. J. Chem. 2008, 61, 13–21. [Google Scholar]
- Su, B.; Hou, Y.; Wang, L.; Li, X.; Pan, D.; Yan, T.; Zhang, A.; Paison, F.; Ding, L. The Syntheses, Characterization and Crystal Structure of a Series of Heterocyclic β-diketones and their Isoxazole Compounds. Curr. Org. Synth. 2019, 16, 1174–1184. [Google Scholar] [CrossRef] [PubMed]
- Taydakov, I.V.; Kreschchenova, Y.M.; Dolotova, E.P. A convenient and practical synthesis of β-diketones bearing linear perfluorinatd alkyl groups and a 2-thienyl moiety. Beilstein J. Org. Chem. 2018, 14, 3106–3111. [Google Scholar] [CrossRef] [PubMed]
- Bunting, J.W.; Kanter, J.P.; Nelander, R.; Wu, Z. The acidity and tautomerism of β-diketones in aqueous solution. Can. J. Chem. 1995, 73, 1305–1311. [Google Scholar] [CrossRef]
- Manolova, Y.; Deneva, V.; Antonov, L.; Drakalska, E.; Momekova, D.; Lambov, N. The effect of the water on the curcumin tautomerism: A quantitative approach. Spectrochim. Acta A Mol. Biomol. Spectrosc. 2014, 132, 815–820. [Google Scholar] [CrossRef] [PubMed]
- Murphy, R.B.; Staton, J.; Rawal, A.; Darwish, T.A. The effect of deuteration on the keto-enol equilibrium and photostability of the sunscreen agent avoenzone. Photochem. Photobiol. Sci. 2020, 19, 1410–1422. [Google Scholar] [CrossRef] [PubMed]
- Verma, P.K.; Steinbacher, A.; Koch, F.; Nuernberger, P.; Brixner, T. Monitoring ultrafast intramolecular processes in an unsymmetrical β-diketone. Phys. Chem. Chem. Phys. 2015, 17, 8459–8466. [Google Scholar] [CrossRef]
- Alagona, G.; Ghio, C. Keto-enol tautomerism in linear and cyclic β-diketones: A DFT study in vacuo and in solution. Int. J. Quantum Chem. 2008, 108, 1840–1855. [Google Scholar] [CrossRef]
- Sharma, R.K.; Jahnke, P.J. Acidity of usnic acid. Indian J. Chem. 1966, 4, 16–18. [Google Scholar]
- Iglesias, E.; Ojea-Cao, V.; García-Rio, L.; Ramón Leis, J. Effects of β-Cyclodextrin on the Keto-Enol Equilibrium of Benzoylacetone and on Enol Reactivity. J. Org. Chem. 1999, 64, 3954–3963. [Google Scholar] [CrossRef]
- Drakalska, E.; Momekova, D.; Manolova, Y.; Budurova, D.; Momekov, G.; Genova, M.; Antonov, L.; Lambov, N.; Rangelov, S. Hybrid liposomal PEGylated calix[4]arene systems as drug delivery platforms for curcumin. Int. J. Pharma. 2014, 472, 165–174. [Google Scholar] [CrossRef] [PubMed] [Green Version]
- Angelova, S.; Antonov, L. Molecular Insight into Inclusion Complex Formation of Curcumin and Calix[4]arene. Chemistryselect 2017, 2, 9652–9658. [Google Scholar] [CrossRef]
- Becke, A.D. Density-functional exchange-energy approximation with correct asymptotic behavior. Phys. Rev. A 1988, 38, 3098–3100. [Google Scholar] [CrossRef]
- Spanget-Larsen, J.; Hansen, B.K.V.; Hansen, P.E. OH stretching frequencies in systems with intramolecular hydrogen bonds: Harmonic and anharmonic analyses. Chem. Phys. 2011, 389, 107–115. [Google Scholar] [CrossRef]
- Hansen, P.E.; Spanget-Larsen, J. Prediction of OH stretching frequencies in systems with intramolecular hydrogen bonds. J. Mol. Struct. 2012, 1018, 8–13. [Google Scholar] [CrossRef]
- Hansen, P.E.; Jezierska, A.; Panek, J.; Spanget-Larsen, J. Theoretical calculations are a strong tool in the investigation of strong intramolecular hydrogen bonds. In Molecular Spectroscopy. A Quntum Chemical Approach; Ozaki, Y., Wojcik, M., Popp, J., Eds.; Wiley-VCH: Weinheim, Germany, 2019. [Google Scholar]
- Carlsen, L.; Hansen, P.E.; Saeed, B.A.; Elias, R.S. Curcumin analogues for possible cancer treatment. A QSAR study. World J. Biol. Pharm. Res. 2021, 1, 1–16. [Google Scholar] [CrossRef]
- Puglisi, A.; Giovanni, T.; Antonov, L.; Cappelli, C. Interplay between conformationl and solvent effects in UV-visible absorption spectra: Curcumin tautomers as a case study. Phys. Chem. Chem. Phys. 2019, 21, 15504–15514. [Google Scholar] [CrossRef] [PubMed]
- Caruso, F.; Pettinari, C.; Marchetti, F.; Rossi, M.; Opazo, C.; Kumar, S.; Balwahni, S.; Ghosh, G. Inhibitory effect of β-diketones and their metal complexes on TNF-a induced expression of ICAM-a on human endothelial cells. Bioorganic Med. Chem. 2009, 17, 6166–6171. [Google Scholar] [CrossRef] [PubMed]
- Klamt, A.; Schuurmann, G.J. COSMO—A new approach to dielectric screening in solvents with explicit expression for the screening energy and its gradient. J. Chem. Soc. Perkin Trans. 1993, 2, 799–805. [Google Scholar] [CrossRef]
- Porchezhiyan, V.; Kalaivani, D.; Shobana, J.; Noorjahan, S.E. Synthesis, docking and in vitro evaluation of L-proline derived 1,3-diketones possessing anti-cancer and anti-inflammatory activities. J. Mol. Struct. 2020, 1206, 127754. [Google Scholar] [CrossRef]
- Dhoke, G.V.; Loderer, C.; Davari, M.D.; Ansorge-Schumacher, M.; Schwaneberg, U.; Bocola, M. Activity prediction of substrates in NADH-dependent carbonyl reductase by docking requires catalytic constraints and charge parameterization of catalytic zinc environment. J. Comput. Aided Mol. Des. 2015, 29, 1057–1069. [Google Scholar] [CrossRef] [PubMed]
- Zusso, M.; Mercanti, G.; Belluti, F.; Martino, R.M.C.D.; Pagetta, A.; Marinelli, C.; Brun, P.; Ragazzi, E.; Lo, R.; Stifani, S.; et al. Phenolic 1,3-diketones attenuate lipopolysaccharide-induced inflammatory response by an alternative magnesiummediated mechanism. Br. J. Pharmacol. 2017, 174, 1090–1103. [Google Scholar] [CrossRef] [Green Version]
- Tyrrell, E.; Archer, R.; Sinner, G.A.; Sign, K.; Colston, K.; Driver, C. Structure elucidation and an investigation into the in vitro effects of hop acids on human cancer cells. Phytochem. Lett. 2010, 3, 17–23. [Google Scholar] [CrossRef]
- Derogis, P.B.; Martins, F.T.; de Souza, T.C.; de, C.; Moreira, M.E.; Souza, J.D.F.; Doriguetto, A.C.; de Souza, K.R.; Veloso, M.P.; Dos Santos, M.H. Complete assignment of the 1H NMR and 13C spectra of Garciniaphenone and keto-enol equlibrium statement for prenylated benzophenones. Magn. Reson. Chem. 2008, 46, 278–282. [Google Scholar] [CrossRef]
- Martins, F.T.; Camps, I.; Doriguoetto, A.C.; dosSantos, M.H.; Ellena, J.; Bobosa, L.C.A. Crystal structure of Garciniaphenone on the Relationship between Keto-enol Tautomerism and Configuration. Helv. Chim. Acta 2008, 91, 1313–1316. [Google Scholar] [CrossRef]
- dos Santos, M.H.; Nagem, T.J.; Braz-Filho, R.; Lula, I.S.; Speziali, N.L. Complete assignment of the 1H and 13C NMR spectra of the tetraisoprenylated benzophenone 15-epiclusianone. Magn. Reson. Chem. 2001, 39, 155–159. [Google Scholar] [CrossRef]
- Lage, M.R.; Morbec, J.M.; Santos, M.H.; Carneiro, J.W.dM.; Costa, L.T. Natural polyprenylated benzophenone: Keto-enol tautomerism from density functional calculations and the AIM theory. J. Mol. Model. 2017, 23, 140. [Google Scholar] [CrossRef] [PubMed]
- Martins, F.T.; Cruz, J.W., Jr.; Derogis, P.B.M.C.; dos Santos, M.H.; Veloso, M.P.; Ellena, J.; Doriguetto, A.C. Natural Polyprenylated Benzophenones: Keto-Enol Tautomerism and Stereochemistry. Braz. Chem. Soc. 2007, 18, 1515–1523. [Google Scholar] [CrossRef] [Green Version]
- Martins, F.T.; Assis, D.M.; dos Santos, M.H.; Camps, I.; Veloso, M.P.; Juliano, M.A.; Alves, L.C.; Doriguetto, A.C. Natural polyprenylated benzophenones inhibiting cysteine and serine proteases. Eur. J. Med. Chem. 2009, 44, 1230–1239. [Google Scholar] [CrossRef] [PubMed]
- Vidal-Albalat, A.; González, F.V. Natural Products as Cathepsin Inhibitors. In Studies in Natural Products Chemistry; Atta-ur-Rahman, Ed.; Elsevier: Amsterdam, The Netherlands, 2016; Volume 50, pp. 179–213. [Google Scholar]
- Singh, J.; Rossiter, S.; Bassin, J.; Goyal, M. Synthesis, Antimicrobacterial Activity Evaluation and Mode of Action of Series of 1,3-Diketones. In Proceedings of the 27th European Congrss on Clinical Microbiology and Infectious Diseases, Vienna, Austria, 22–25 April 2017. [Google Scholar]
- Pan, M.-H.; Huang, M.-C.; Wang, Y.-J.; Lin, J.-K.; Lin, C.-H. Induction of Apotosis by Didroxydibenzoylmethane through Coordinative Modulation of Cyclin D3, Bcl-XL and Bax, Release of Cyctochrome c and Sequential Activation of Caspases in Human Colorectal Carcinoma Cells. J. Agric. Food Chem. 2003, 51, 3977–3984. [Google Scholar] [CrossRef] [PubMed]
- Lin, C.-C.; Liu, Y.; Ho, C.-T.; Huang, M.-T. Inhibitory effects of 1,3-bis-(2-substituted-phenyl)-propane,1,3-dine, β-diketone structural analogues of curcumin, on chemical-induced tumor promotion and inflammation in mouse skin. Food Funct. 2011, 2, 78–83. [Google Scholar] [CrossRef] [PubMed]
- Ali, N.M.; Yeap, S.K.; Abu, N.; Lim, K.L.; Ky, H.; Pauzi, A.Z.M.; Ho, W.Y.; Tan, S.W.; Alan-Ong, H.K.; Zareen, S.; et al. Synthetic curcumin derivative DK1 possessed G2/M arrest and induced apoptosis through accumulation of intracellullar ROS in MCF-7 breas cancer cells. Cancer Cell. Int. 2017, 17, 30. [Google Scholar] [CrossRef] [PubMed] [Green Version]
- Mbese, Z.; Khwaza, V.; Aderibigbe, B.A. Curcumin and Its Derivatives as Potential Therapeutic Agents in Prostate, Colon and breast Cancers. Molecules 2019, 24, 4386. [Google Scholar] [CrossRef] [Green Version]
- Amalraj, A.; Pius, A.; Gopi, S.; Gopi, S. Biological activities of curcuminoids, other biomolecules from turmeric and their derivatives. A review. J. Trad. Complement. Med. 2017, 7, 205–233. [Google Scholar] [CrossRef] [Green Version]
- Priyadarsini, K.I. Chemical and Structural Features Influencing the Biological Activity of Curcumin. Curr. Pharm. Design 2013, 19, 2093–2100. [Google Scholar] [PubMed]
- Hewlings, S.J.; Kalman, D.S. Curcumin: A Review of Its’ Effects on Human Health. Foods 2017, 6, 92. [Google Scholar] [CrossRef] [PubMed]
- Mansouri, K.; Rasoulpoor, S.; Daneshkhah, A.; Abolfathi, S.; Salari, N.; Mohammadi, M.; Rasoulpoor, S.; Shabani, S. Clinical effects of curcumin in enhancing cancer therapy: A systematic review. BMC Cancer 2020, 20, 791. [Google Scholar] [CrossRef]
- Banik, U.; Parasuraman, S.; Adhikary, A.K.; Othman, N.H. Curcumin: The spicy modulator of breast carcinogenesis. J. Exp. Clin. Cancer Res. 2017, 36, 119. [Google Scholar] [CrossRef] [Green Version]
- Schneider, C.; Gordon, O.N.; Edwards, R.L.; Luis, P.B. Degradation of Curcumin: From Mechanism to Biological Implications. J. Agric. Food Chem. 2015, 63, 7606–7614. [Google Scholar] [CrossRef] [PubMed] [Green Version]
- Shen, L.; Liu, C.-C.; An, C.-Y.; Ji, H.-F. How does curcumin work with poor bioavailability? Clues from experimental and theoretical studies. Sci. Rep. 2016, 6, 20872. [Google Scholar] [CrossRef] [Green Version]
- Lopresti, A.L. The Problem of Curcumin and Its Bioavailability: Could Its Gastrointestinal Influence Contribute to Its Overall Health-Enhancing Effects? Adv. Nutr. 2018, 9, 41–50. [Google Scholar] [CrossRef] [PubMed] [Green Version]
- Rinwa, P.; Kumar, A. Piperine potentiates the protective effects of curcumin against chronic unpredictable stress-induced cognitive impairment and oxidative damage in mice. Brain Res. 2012, 1488, 38–50. [Google Scholar] [CrossRef] [PubMed]
- Schobert, R.; Schlenk, A. Tetramic and tetronic acids: An update on new derivatives and biological aspects. Bioorg. Med. Chem. 2008, 16, 4203–4221. [Google Scholar] [CrossRef] [PubMed]
- Hofmann, J.P.; Hansen, P.E.; Bond, A.D.; Duus, F. Tautomerism in 3-Acyltetronic Acids Revisited. A Spectrochemometric Approach to Tautomerism and Hydrogen-Bonding. J. Mol. Struct. 2006, 790, 80–88. [Google Scholar] [CrossRef]
- Wang, J.-F.; Qin, X.; Xu, F.Q.; Zhang, T.; Liao, S.; Lin, X.; Yang, B.; Liu, J.; Wang, L.; Tu, Z.; et al. Tetramic acid derivatives and polyphenols from sponge-derived fungus and their biological evaluation. Nat. Prod. Res. 2015, 29, 1761–1765. [Google Scholar] [CrossRef] [PubMed]
- Wang, J.; Yao, Q.F.; Amin, M.; Nong, X.H.; Zhang, X.Y.; Qi, S.H. Penicillenols from a deep-sea fungus Aspergillus restrictus inhibit Candida albicans biofilm formation and hyphal growth. J. Antibiot. 2017, 70, 763–770. [Google Scholar] [CrossRef] [Green Version]
- Matiadis, D. Metal-catalysed and metal–Mediated Approaches to the Synthesis and Functionalization of Tetramic acids. Catalysts 2019, 9, 50. [Google Scholar] [CrossRef] [Green Version]
- Cherian, P.T.; Wu, X.; Maddox, M.M.; Singh, A.P.; Lee, R.E.; Hurdle, J.G. Chemical Modulation of the Biological Activity of Reutericyclin: A Membrane-Active Antibiotic from Lactobacillusreuteri. Sci. Rep. 2014, 4, 4721. [Google Scholar] [CrossRef] [PubMed] [Green Version]
- Cherian, P.T.; Deshpande, A.; Cheramie, M.N.; Bruhn, D.F.; Hurdle, J.G.; Lee, R.E. Design, synthesis and microbiological evaluation of ampicillin-tetramic acid hybrid antibiotics. J. Antibiot. 2017, 70, 65–72. [Google Scholar] [CrossRef] [PubMed] [Green Version]
- Oh, J.; Quan, K.T.; Lee, J.S.; Park, I.; Kim, C.S.; Ferreira, D.; Thuong, P.T.; Kim, Y.H.; Na, M. NMR-Based Investigation of Hydrogen Bonding in a Dihydroanthracen-1(4H)one from Rubia philippinensis and Its Soluble Epoxide Hydrolase Inhibitory Potential. J. Nat. Prod. 2018, 81, 2429–2435. [Google Scholar] [CrossRef] [PubMed]
- Radulovi´c, N.K.; Genci´c, M.S.; Stojanovi´c, N.M.; Randjelovi´c, P.J. Prenylatd β-diketones, two new additions to the family of biologically active Hypericum perforator L. (Hypericaceae) secondary metabolites. Food Chem. Toxicol. 2018, 118, 505–513. [Google Scholar] [CrossRef]
- Tian, J.; Zhang, F.; Cheng, J.; Guo, S.; Liu, P.; Wang, H. Antidepressant like activity of adhyperforin, a novel constituent of Hypericum Perforatum L. Sci. Rep. 2014, 4, 5632. [Google Scholar] [CrossRef] [PubMed] [Green Version]
- Luzina, O.A.; Salakhutdinov, N.F. Usnic acid and its derivatives for pharmaceutical use: A patent review (2000–2017). Expert Opin. Ther. Pat. 2018, 28, 477–491. [Google Scholar] [CrossRef] [PubMed]
- Luzina, O.; Filimonov, A.; Zakharenko, A.; Chepanova, A.; Zakharova, O.; Ilina, E.; Dyrkheeva, N.; Likhatskaya, G.; Salakhutdinov, N.; Lavrik, O.; et al. Usnic Acid Conjugates with Monoterpenoids as Potent Tyrosyl-DNA Phosphodiesterase 1 Inhibitors. Nat. Prod. 2020, 83, 320–2329. [Google Scholar] [CrossRef]
- Kristmundsdóttir, T.; Aradóttir, H.A.; Ingólfsdóttir, K.; Ogmundsdóttir, H.M. Solubilization of the lichen metabolite (+)-usnic acid for testing in tissue culture. J. Pharm. Pharmacol. 2002, 54, 1447–1452. [Google Scholar] [CrossRef]
- Francolini, I.; Taresco, V.; Crisante, F.; Martinelli, A.; D’Ilario, L.; Piozzi, A. Water Soluble Usnic Acid-Polyacrylamide Complexes with Enhanced Antimicrobial Activity against Staphylococcus epidermidis. Int. J. Mol. Sci. 2013, 14, 7356–7369. [Google Scholar] [CrossRef] [PubMed] [Green Version]
- Rauschenbach, M.; Lawrenson, S.B.; Taresco, V.; Pearce, A.K.; O’Reilly, R.K. Antimicrobial Hyperbranched Polymer–Usnic Acid Complexes through a Combined ROP-RAFT Strategy. Macromol. Rapid Commun. 2020, 41, e2000190. [Google Scholar] [CrossRef] [PubMed]
- Lukáč, M.; Prokipčák, I.; Lacko, I.; Devínsky, F. Solubilisation (+)-usnic acid in aqueous micellar solutions of gemini and heterogemini surfactants and their equimolar mixture. Acta Fac. Pharm. Univ. Comen. 2012, 59, 36–43. [Google Scholar] [CrossRef] [Green Version]
- Pandey, S.; Misra, S.K.; Sharma, N. Synthesis and characterization of graphene-usnic acid conjugate microspheres and its antibacterial activity against staphylococcus Aureus. Int. J. Pharm. Sci. Res. 2018, 59, 939–946. [Google Scholar]
- Yang, Y.; Bae, W.K.; Lee, J.-Y.; Choi, Y.J.; Lee, K.H.; Park, M.S.; Yu, Y.H.; Park, S.-Y.; Zhou, R.; Taş, İ.; et al. Potassium usnate, a water-soluble usnic acid salt, shows enhanced bioavailability and inhibits invasion and metastasis in colorectal cancer. Sci. Rep. 2018, 8, 16234. [Google Scholar] [CrossRef] [PubMed] [Green Version]


















| Compound/Chemical Shifts a and % Enol | Diketo | Enol | OH | % Enol |
|---|---|---|---|---|
| 2,4-Pentanedione | 3.58 | 5.50 | 15.34 | 79 |
| 2,4-Hexanedione | 3.18 b | 5.08 b | 13.46 b | 81 |
| 5-Methyl-3,5-hexanedione | 3.57 | 5.50 | 14.92 | 80 |
| 2,2-Dimethyl-3,5-hexanedione | 3.56 | 5.60 | 15.58 | 94 |
| 3,5-Heptanedione | 3.66 | 5.66 | 15.04 | 76 |
| 3,5-Heptanedione | 3.18 b | 5.12 b | 14.30 b | 76 |
| 2-Methyl-3,5-heptanedione | 3.57 | 5.50 | 14.92 | 88 |
| 2,2-Dimethyl-3,5-heptanedione | 3.56 | 5.58 | 15.88 | 92 |
| 2,6-Dimetyl-3,5-heptanedione | 3.60 | 5.50 | 15.50 | 94 |
| 2,2,6-Trimethyl-3,5-heptanedione | 3.54 b | 5.28 b | 15.52 b | 96 |
| 2,2,6,6-Tetramethyl-3,5-heptanedione | 3.74 | 5.86 | c | c |
| R1 b | R2 | % Enol | Reference |
|---|---|---|---|
| CH3 | 2-Thiophene | 84, 94.4 | [26,27] |
| C3F7 | 2-Thiophene | 100 | [28] |
| 2-Thiophene | 2-Thiophene | 82 | [26,27] |
| Ph | 2-Thiophene | 94.3, 92.8 | [27] |
| CF3 | 2-Thiophene | 94.4 | [26] |
| Ph | 2-Furane | 95.5 | [27] |
| R1 a | R2 | pKae b | pKak | Ke c |
|---|---|---|---|---|
| CH3 | CH3 | 8.03 | 8.71 | 0.21 |
| Ph | Ph | 8.64 | ≈7.9 | ≈6 |
| 3-Py | 3-Py | 7.04 | 6.78 | 1.8 |
| 4-Py | 4-Py | 5.45 | ≈4.65 | ≈6 |
| CH3 | Ph | 8.39 | 8.53 | 0.72 |
| CH3 | 3-Py | 7.15 | 7.47 | 0.48 |
| CH3 | 4-Py | 7.16 | 7.00 | 1.4 |
| Ph | 3-Py | 7.37 | 7.26 | 1.3 |
| Ph | 4-Py | 7.27 | - | 3 |
| R1 a | R2 | R3 | R4 | R1 a | R2 | R3 | R4 | ||
|---|---|---|---|---|---|---|---|---|---|
| H1 | H | H | H | H | OH1 | OH | H | H | H |
| H2 | Br | H | H | H | OMe1 | H | H | OMe | OMe |
| H3 | F | H | H | H | OMe2 | Br | H | OMe | OMe |
| H4 | Cl | H | H | H | OMe3 | F | H | OMe | OMe |
| H5 | OMe | H | H | H | OMe4 | Cl | H | OMe | OMe |
| H6 | N(Me)2 | H | H | H | OMe5 | OMe | H | OMe | OMe |
| H7 | H | Cl | H | H | OMe6 | N(Me)2 | H | OMe | OMe |
| H8 | Br | Cl | H | H | OMe7 | H | Cl | OMe | OMe |
| H9 | F | Cl | H | H | OMe8 | Br | Cl | OMe | OMe |
| H10 | Cl | Cl | H | H | OMe9 | F | Cl | OMe | OMe |
| H11 | OMe | Cl | H | H | OMe10 | Cl | Cl | OMe | OMe |
| H12 | N(Me)2 | Cl | H | H | OMe11 | OMe | Cl | OMe | OMe |
| H13 | H | Me | H | H | OMe12 | N(Me)2 | Cl | OMe | OMe |
| H14 | Br | Me | H | H | OMe13 | H | Me | OMe | OMe |
| H15 | F | Me | H | H | OMe14 | Br | Me | OMe | OMe |
| H16 | Cl | Me | H | H | OMe15 | F | Me | OMe | OMe |
| H17 | OMe | Me | H | H | OMe16 | Cl | Me | OMe | OMe |
| H18 | N(Me)2 | Me | H | H | OMe17 | OMe | Me | OMe | OMe |
| iC1 | OMe | H | OH | H | OMe18 | N(Me)2 | Me | OMe | OMe |
| iC2 | OMe | Cl | OH | H | OH2 | OH | H | OMe | OMe |
| iC | Ome | Me | OH | H | C1 | OH | H | OMe | H |
Publisher’s Note: MDPI stays neutral with regard to jurisdictional claims in published maps and institutional affiliations. |
© 2021 by the author. Licensee MDPI, Basel, Switzerland. This article is an open access article distributed under the terms and conditions of the Creative Commons Attribution (CC BY) license (https://creativecommons.org/licenses/by/4.0/).
Share and Cite
Hansen, P.E. Structural Studies of β-Diketones and Their Implications on Biological Effects. Pharmaceuticals 2021, 14, 1189. https://doi.org/10.3390/ph14111189
Hansen PE. Structural Studies of β-Diketones and Their Implications on Biological Effects. Pharmaceuticals. 2021; 14(11):1189. https://doi.org/10.3390/ph14111189
Chicago/Turabian StyleHansen, Poul Erik. 2021. "Structural Studies of β-Diketones and Their Implications on Biological Effects" Pharmaceuticals 14, no. 11: 1189. https://doi.org/10.3390/ph14111189
APA StyleHansen, P. E. (2021). Structural Studies of β-Diketones and Their Implications on Biological Effects. Pharmaceuticals, 14(11), 1189. https://doi.org/10.3390/ph14111189
