Abstract
There is an urgent need to propose effective treatments for Alzheimer’s disease (AD). Although the origin of the disease is poorly understood, several therapeutic options have been proposed. The new therapeutic approaches targeting biometal-mediated neurodegenerative pathways appear to be interesting ones. As a continuation of our preceding studies, two novel series of advanced glycation endproducts (AGE)/advanced lipid peroxidation endproducts (ALE) inhibitors have been developed as multifunctional scavengers. This extended work allowed us to highlight the new hydroxypyridinone-diamine hybrid IIa-3 bearing a C4 alkyl linker between the two pharmacophores. This derivative exhibited preserved potent capacities to trap reactive carbonyl species (vicinal diamine function) as well as reactive oxygen species and transition metals (hydroxypyridinone moiety) in comparison with previously described lead compound 1. In addition, its good predicted absorption, distribution, metabolism and excretion (ADME) properties were correlated with a better efficacy to inhibit in vitro methylglyoxal-induced apoptosis in neuronal-like PC12 cells. This new promising agent revealed improved druglikeness and ability to prevent biometal-mediated oxidative and carbonyl stress amplification involved in AD pathogenesis.
1. Introduction
The development of drugs that can either alleviate or suppress Alzheimer’s disease (AD) onset and progression continues to be an urgent healthcare challenge due to the social and economic impacts of this pathology. New therapeutic approaches targeting biometal-mediated neurodegenerative pathways appear to be promising ones. In recent years, it has been assumed that the contribution of transition metals, such as iron and copper, as AD pathogenesis initiators supersedes the amyloid β (Aβ) hypothesis [1,2]. In AD brains, iron and copper overload stimulates not only APP (amyloid precursor protein) cleavage by β-secretase but also Aβ aggregation and toxicity. Indeed, redox-active metal ion-Aβ complexes catalyze ROS (reactive oxygen species) production leading to strong oxidative damage on biomolecules [3]. Furthermore, biometals are implicated in the formation of tau-associated neurofibrillary tangles (NFTs) that constitute the second histopathological hallmarks of AD. Fe3+ and Cu2+ promote tau phosphorylation disturbing tau-microtubule assembly and stabilization. Interaction of transition metals with free tau protein results in its aggregation and their accumulation in NFTs acts as another source of oxidative stress [1,4].
The biometal-catalyzed overproduction of the hydroxyl radical (OH•) from hydrogen peroxide (H2O2) and reductants also induces a carbonyl stress exacerbation. a-Oxoaldehydes like methylglyoxal (MGO) are produced through Maillard reaction between glucose and nucleophilic amine functions of proteins or other oxidative degradations of glycolysis intermediates. The condensation of these RCS (reactive carbonyl species) with proteins leads to an accumulation of deleterious advanced glycation endproducts (AGE). In AD, glycated proteins are implicated in the formation of Aβ plaques and NFTs, especially via a cross-linking promotion and the stimulation of AGE/RAGE (AGE receptors) apoptotic axis [5,6]. Furthermore, oxidative damages on polyunsaturated fatty acids (PUFAs) result in the production of another neurotoxic RCS such as 4-hydroxy-2-nonenal (4-HNE) and malondialdehyde (MDA). Michael addition of nucleophilic groups of biomolecules to these α,β-unsaturated aldehydes leads to the generation of other irreversible covalent adducts, called advanced lipid peroxidation endproducts (ALE). AGE/ALE accumulation from Aβ and tau proteins was reported to take part in the biometal-mediated vicious downward redox spiral involved in AD pathogenesis [3,7]. In addition, the ALE neurodegenerative pathway was described recently as a new iron-dependent process of programmed cell death, termed ferroptosis, that appears morphologically and biochemically different from apoptosis. Indeed, iron not only stimulates lipid peroxidation as the ROS promoter but also as the lipoxygenase catalyst. In AD, 4-HNE-associated modifications of proteins that are implicated in neuronal communication, neurite outgrowth, antioxidant and energetic metabolism induce extensive ferroptotic cell death [1,2].
With this AD-triggering biometal dyshomeostasis hypothesis in mind, we have previously reported the development of efficient AGE/ALE inhibitors as “multitarget-directed ligands” (MTDLs) [8,9]. These hydroxypyridinone-diamine hydrid molecules appear to be able to trap RCS (vicinal diamine function) as well as ROS and transition metals (hydroxypyridinone moiety) simultaneously. As a continuation of our efforts, extended pharmacomodulations have been realized to expand an efficacy screening and, in particular, to improve absorption, distribution, metabolism and excretion (ADME) profile of the lead compound 1, and its capacity to cross the blood brain barrier. In this paper, we report the synthesis of two novel series of derivatives bearing various suitable linkers between the two pharmacophores: i) the series I presenting an amide (Ia) or piperazine-1,4-diamide (Ib) spacer, and ii) the series II possessing an alkyl (IIa) or piperazine-1,4-dialkyl (IIb) spacer (Figure 1). We also describe their preserved scavenging capacities and a QikProp-prediction of their ADME properties. In addition, the evaluations of their cytotoxicity and their protective effect against in vitro MGO-induced apoptosis in the model AD cell-line PC12 are presented.
Figure 1.
New pharmacomodulations on the linker of multifunctional advanced glycation endproducts (AGE)/advanced lipid peroxidation endproducts (ALE) inhibitor lead compound 1.
2. Results and Discussion
2.1. Chemical Synthesis
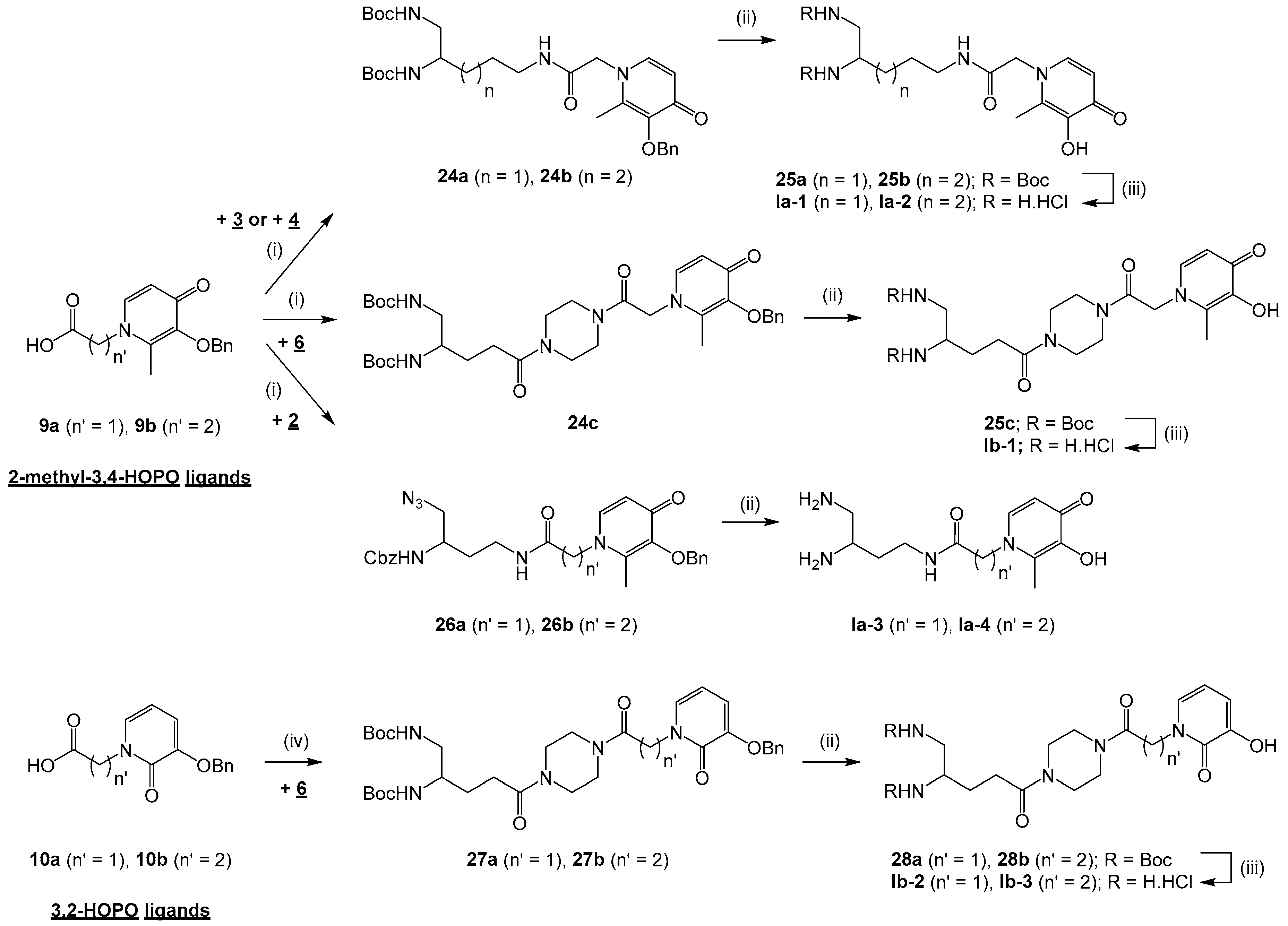
As shown in Table 1 and Figure 1, our previously described synthetic strategy based on a key pseudopeptidic coupling step between diamine building blocks 2–6 and hydroxypyridinone (HOPO) ligands 9–10 was first extended to allow a decrease in size of the amide or piperazine-1,4-diamide linker and afforded the derivatives Ia-1 to Ia-4 or Ib-1 to Ib-3 respectively [8]. Moreover, simple alkyl chains could be introduced between the two functional moieties of 2-methyl-3,4-HOPO-diamine hybrids IIa-1 and IIa-2 carrying out a condensation of amino precursors 4 and 5 with maltol benzyl ether respectively. A nucleophilic substitution reaction between new diamine scaffolds 7–8 bearing an iodo group in their side chain and 3,2-HOPO benzyl ether gave the analogs IIa-3 and IIa-4. A new compound IIb-1 bearing a piperazine-1,4-dialkyl spacer was also obtained by the reduction of the corresponding piperazine-1,4-diamide product derived from the coupling of 6 and 10b.
Table 1.
Diamine building blocks and HOPO ligands (or other related precursors) implicated in the key coupling step of our AGE/ALE inhibitor synthetic strategy.
Since the synthesis of the diamine building blocks 3, 4 and 6 as well as HOPO ligands 9a–b, 10a–b, 3,2-HOPO and maltol benzyl ethers have been previously described, we focused here only on the preparation of the new precursors 2, 5, 7 and 8.
2.1.1. Synthesis of New Diamine Building Blocks 2, 5, 7 and 8
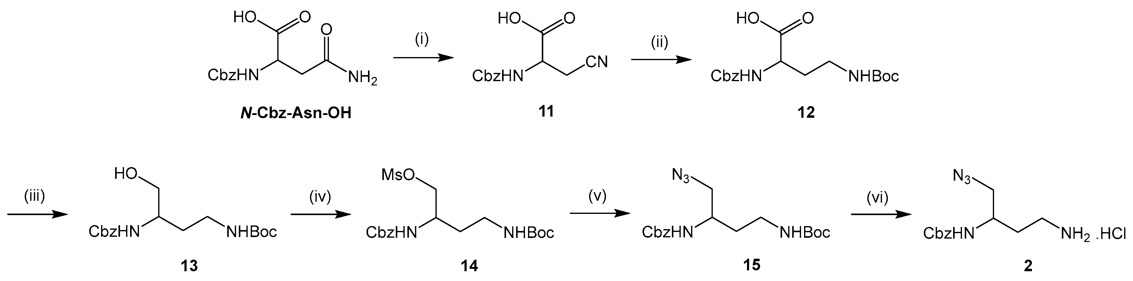
As shown in Scheme 1 and according to previously described reaction conditions [8], a new azide precursor 2 was prepared starting from commercially available N-carboxybenzyl L-asparagine (N-Cbz-Asn-OH). The dehydration of its side-chain amide function using trifluoroacetic anhydride in pyridine first provided the cyano intermediate 11 in 92% yield. The corresponding N-Boc amino derivative 12 was subsequently obtained after NaBH4 reduction of nitrile function in the presence of NiCl2.6H2O as a catalyst and (Boc)2O. The conversion of acid function into primary alcohol followed by mesylate formation and treatment with NaN3 afforded the azide intermediate 15 in good yields. Removal of Boc-protecting group was performed to furnish the attempted C2 alkyl side-chain amino ligand 2 as hydrochloride salt.
Scheme 1.
Synthesis of new diamine building block precursor 2. Reagents and conditions: (i) TFAA (1.2 equiv), pyridine (5 equiv), THF, rt, overnight, 92%; (ii) NaBH4 (7 equiv), NiCl2.6H2O (0.1 equiv), Boc2O (2 equiv), MeOH, 0 °C then rt, 1 h, 96%; (iii) 1) ClCOOEt (1 equiv), NMM (1 equiv), THF, −10 °C, 10 min, 2) NaBH4 (2.7 equiv), THF/MeOH 1:5, 0 °C, 1 h, 62%; (iv) MsCl (1.1 equiv), Et3N (1.1 equiv), CH2Cl2, 0 °C, 1 h, 99%; (v) NaN3 (2 equiv), DMF, 60 °C, under Ar, 5 h, 79% and (vi) 4 N HCl in 1,4-dioxane (30 equiv), 1,4-dioxane, rt, 36 h, 61%.
Diamine building blocks 3 and 4 have previously been synthesized by the transformation of respective α-carboxylic function of L-ornithine and L-lysine into the amine group [8]. Compound 4 was subjected to the oxidative deamination by sodium nitroprusside to give the corresponding hydroxyl intermediate 16 (Scheme 2) [14]. In addition, the iodo-azide adduct 19 of 10-undecenol benzyl ether 18 was synthesized in 70% yield according to the literature procedure [15]. Iodo group of 19 was then converted into an azide function to provide the compound 20 in 78% yield [16]. This was reduced to the corresponding N,N’-di-Boc amine hydroxyl derivative 21 by catalytic hydrogenation in the presence of di-tert-butyl dicarbonate ((Boc)2O). Finally, new diamine building blocks 7 and 8 bearing a side-chain iodo group were successfully synthesized after (i) the conversion of the hydroxy group of intermediates 16 and 21 to the corresponding mesylates 17 and 22, respectively, and (ii) by the iodo substitution of the latter compounds [17]. Furthermore, the transformation of mesylate 22 into the corresponding azide derivative 23 and its subsequent reduction afforded the C9 alkyl side-chain amino analog 5.
Scheme 2.
Synthesis of new diamine building blocks 5, 7 and 8. Reagents and conditions: (i) Na2[Fe(CN)5NO].2H2O (2.5 equiv), 1,4-dioxane/H2O 1:1, 65 °C, 16 h, 24%; (ii) MsCl (1.1 equiv), Et3N (1.1 equiv), CH2Cl2, 0 °C, 2 h, 80–91%; (iii) NaI (5 equiv), acetone, rt, 10–16 h, 53–79%; (iv) ICl (1.3 equiv), NaN3 (3.3 equiv), MeCN, −15 °C then rt, under Ar, 2 h, 70%; (v) NaN3 (3 equiv), DMSO, rt, under Ar, 20 h, 78%; (vi) 1) H2, Pd/C (10% w/w), 1 N aqueous HCl (2 equiv), MeOH, rt, 24 h, 2) Boc2O (1.6 equiv), Et3N (6.9 equiv), 1,4-dioxane, rt, 2 h, 75%; (vii) NaN3 (2.5 equiv), DMF, 60 °C, under Ar, overnight, 82% and (viii) H2, Pd/C (10% w/w), MeOH, rt, 2 h, 88%.
2.1.2. Synthesis of New Multifunctional Scavengers of Series Ia-b and IIa-b by Coupling of Diamine Building Blocks with HOPO Ligands
A hydroxypyridinone moiety was introduced as a well-known iron chelator pharmacophore to complete the hybridization of our two new series of AGE/ALE inhibitors [18]. Different key coupling steps were designed to build various linkers between the two scavenging cores. Herein, the series Ia-b was characterized by an amide or piperazine-1,4-diamide spacer whereas the series IIa-b was based on an alkyl or piperazine-1,4-dialkyl linker, respectively.
To develop the series Ia-b, a pseudopeptidic coupling of 3,2-HOPO and 2-methyl-3,4-HOPO carboxylic derivatives with various diamine building blocks bearing a side-chain amino group was carried out according to the known procedures (Scheme 3). In particular, HOPO acetic acids 9a and 10a allowed the synthesis of new amide or piperazine-1,4-diamide hybrids 24a-c and 27a bearing shorter linkers in comparison with our previous analog series represented by compounds 27b. The synthesis of final compounds Ia-1, Ia-2 and Ib-1 to Ib-3 was achieved by the cleavage of HOPO benzyl-protecting group by catalytic hydrogenation followed by N,N’-di-Boc removal by treatment with 4N HCl in 1,4-dioxane in excellent yields. Likewise, the pseudopeptidic coupling of diamine building block precursor 2 with 2-methyl-3,4-HOPO ligands 9a-b provided new hybrid azide intermediates 26a-b. In this synthetic pathway, a subsequent catalytic hydrogenation simultaneously allowed azide reduction and benzyl and N-Cbz removal to directly afford desired final products Ia-3 and Ia-4 in 98–100% yield.
Scheme 3.
Synthesis of HOPO-diamine hybrids of series Ia-b. Reagents and conditions: (i) 2, 3, 4 or 6 (1 equiv), EDC (1.2–1.4 equiv), HOBt (1–1.2 equiv), Et3N (0–1.2 equiv), CH2Cl2 or THF or THF/DMF 8:1 to 11:1, 0 °C then rt, 6–24 h, 51–70%; (ii) H2, Pd/C or Pd(OH)2/C (10% w/w), MeOH, rt, 6–48 h; 71%–100%; (iii) 4 N HCl in 1,4-dioxane (20–30 equiv), 1,4-dioxane, rt, 1.5–36 h, 78–100%; (iv) 1) NHS (1.5 equiv), DCC (1.2 equiv), 1,4-dioxane or CH2Cl2, rt, overnight, 2) 6 (1.2–1.7 equiv), Et3N (3–4 equiv), CH2Cl2, rt, 48 h, 25–56%.
As shown in Scheme 4, the other new AGE/ALE inhibitors that possess a simple C4 or C9 alkyl or piperazine-1,4-dialkyl linker between the two pharmacophores were successfully synthesized to constitute the series IIa-b. The 2-methyl-3,4-HOPO derivatives 24d-e were prepared carrying out a condensation of maltol benzyl ether with amino starting blocks 4 and 5 following the protocol of Santos et al. [19]. Furthermore, a nucleophilic substitution of the iodo group of diamine derivatives 7 and 8 by 3,2-HOPO benzyl ether was achieved using sodium hydride in DMF to give hybrid products 27c-d in 72 and 62% yield, respectively [13]. A novel piperazine-1,4-dialkyl intermediate 27e was also prepared by reduction of the piperazine-1,4-diamide spacer of the corresponding analog 27b using borane-methyl sulfide complex following the protocol of Boschelli et al. [20]. The attempted compounds IIa-1 to IIa-4 and IIb-1 were finally provided via an O-debenzylation and diamine deprotection sequence as a promising novel series of hydroxypyridinone-diamine hybrids.
Scheme 4.
Synthesis of HOPO-diamine hybrids of series IIa-b. Reagents and conditions: (i) 4 or 5 (0.7–0.9 equiv), NaOH (0.5–2.6 equiv), EtOH/H2O 1:1 to 1:2, reflux, 18–24 h, 61–63%; (ii) H2, Pd/C (10% w/w), MeOH, rt, 3–8 h; 66–91%; (iii) 4 N HCl in 1,4-dioxane (20 equiv), 1,4-dioxane, rt, 2–18 h, 60–100%; (iv) 2M BH3.Me2S (5 equiv) in THF, THF, reflux, 2 h, 44%; (v) 7 or 8 (1 equiv), NaH 60% dispersion in mineral oil (1 equiv), DMF, 0 °C to rt, under Ar, 2 h, 62–72%.
Various new final products have been synthesized in 7–11 steps and constitute two novel series of HOPO-diamine hybrids: i) the series I was obtained in 13–39% overall yields and can be arranged in Ia with compounds Ia-1 to Ia-4 bearing an amide linker and Ib with compounds Ib-1 to Ib-3 bearing a piperazine-1,4-diamide linker and ii) the series II was prepared in 2–57% overall yields and can be arranged in IIa with compounds IIa-1 to IIa-4 possessing an alkyl spacer and IIb with compound IIb-1 possessing a piperazine-1,4-dialkyl spacer. The impact of these different pharmacomodulations on their ADME, physicochemical and biological properties as multifunctional AGE/ALE inhibitors, with respect to lead compound 1, in particular, have then been investigated.
2.2. QikProp-Predicted ADME Properties
A prediction of the ADME properties of newly synthesized products was performed using QikProp, a Schrödinger software. As shown in Figure 2, logPo/w (octanol/water partition coefficient) values calculated for derivatives of series IIa appeared much superior to that of lead compound 1 (Table 2: clogPo/w of −1.88). Indeed, a rise of one to three logarithmic units was found for clogPo/w of novel HOPO-alkyl-diamine hybrids IIa-1 to IIa-4. There was no significant difference in terms of clogPo/w between 3,2-HOPO derivatives IIa-3 and IIa-4 and their 2-methyl-3,4-HOPO analogs IIa-1 and IIa-2, respectively. However, the lipophilicity strongly increased in this series with the length of the alkyl chain between the diamine and HOPO pharmacophores (Table 2: IIa-4 vs. IIa-3 and IIa-2 vs. IIa-1 bearing a C9 vs. C4 alkyl linker, with clogPo/w of 0.71 vs. −0.82 and 0.98 vs. −0.58, respectively). In comparison with the series IIa, the amide derivatives of series Ia still presented a high predicted hydrophilicity (Figure 2: Ia-1 to Ia-4 vs. IIa-1 and IIa-2). The increase in the size of the amide linker slightly affected the clogPo/w values (Table 2: Ia-3 vs. Ia-2 with clogPo/w of −2.10 vs. −1.54, respectively), but they remained in the range of that of lead compound 1. In the series I, the introduction of a piperazine cycle inside the spacer greatly decreased the clogPo/w for 3,2-HOPO derivatives whereas the nature of HOPO moiety seemed to have no particular impact (Figure 2: Ib-2 vs. 1 and Ib-1). However, the reduction of piperazine-1,4-diamide spacer of Ib-3 into a piperazine-1,4-dialkyl spacer led to an increase of more than one logarithmic unit for clogPo/w value of IIb-1 (Table 2: clogPo/w of −2.52 and −1.31, respectively). As expected, the nature and the length of the spacer significantly affected the lipophilicity of HOPO-diamine hybrids. In particular, the introduction of an alkyl linker in the series IIa greatly improved it. This was correlated with an important increase of logBB (brain/blood partition coefficient) value calculated for the product IIa-3 compared to that of lead compound 1 (Table 2: clogBB of −0.86 and −1.77, respectively). In addition, enhanced apparent Caco-2 cell (a gutblood barrier model) and MDCK cell (a blood–brain barrier model) permeabilities to this new alkyl derivative were found (Table 2: IIa-3 vs. 1 with PCaco of 10.21 vs. 1.73 and PMDCK of 4.27 vs. 1.07 nm/sec, respectively). It is also particularly interesting to note that this product exhibited the most important central nervous system activity on a −2 (inactive) to +2 (active) QikProp-established scale (Table 2: IIa-3 vs. 1 with CNS activity of −1 vs. −2). Finally, in view of these predicted ADME properties and especially its improved capacity to cross the blood brain barrier, the HOPO-alkyl-diamine hybrid IIa-3 appears as a novel promising drug candidate for treating AD. Now, a further screening is to be carried out to confirm its good RCS trapping, antioxidant and Cu2+-chelating capacities.
Figure 2.
Calculated logPo/w repartition between the different HOPO-diamine hybrid series.
Table 2.
QikProp-predicted absorption, distribution, metabolism and excretion (ADME) properties of HOPO-diamine hybrids as drug candidates.
2.3. Physicochemical Evaluations: Oxygen Radical Absorbance Capacity (ORAC), RCS Trapping and Cu2+-Chelating Assays
In order to evaluate the antioxidant activity of new synthesized HOPO-diamine hybrids, an oxygen radical absorbance capacity assay using fluorescein (ORACFL) was performed [21,22]. The fluorescein (FL) fluorescence decay induced by AAPH reagent, a peroxyl radical generator was followed in time at 37 °C. The measurement of the area under the curve (AUC) of the sample in comparison with the control corresponding to an absence of antioxidant allowed us to determine the protective effect of tested compounds (Figure 3a). Trolox, a water-soluble vitamin E analog was used as a standard for the calculation of ORACFL values at 10 µM expressed as µmol trolox equivalent (TE)/µmol of tested compound with respect to the linear equation of its calibration curve (Net AUC vs. concentration) [23]. As shown in Figure 3b, the majority of newly designed products appeared to be efficient ROS scavengers (ORACFL values ≥0.8 µmol TE/µmol, except for IIb-1 and Ib-1), especially compared to the very weak protective effect of carnosine, reported as a good antioxidant (Table 3: ORACFL value of 0.08 µmol TE/µmol) [24]. The HOPO moiety previously revealed to be responsible for the radical trapping activity [8]. Nevertheless, the lead compound 1 remains the most potent HOPO-diamine hybrid (Table 3: ORACFL value of 1.96 µmol TE/µmol). In the two novel series, the 3,2-HOPO derivatives exhibited slightly better antioxidant properties than their 2-methyl-3,4-HOPO analogs (Figure 3b: Ib-2 vs. Ib-1 and IIa-3 vs. IIa-1). Furthermore, some pharmacomodulations carried out on the linker could affect this protective effect. In the series I, the compound Ia-4 turned out to be almost as active as lead compound 1 whereas its analog Ia-3 bearing a one-carbon shorter amide linker provided a less interesting result (Table 3: ORACFL values of 1.67 and 0.81 µmol TE/µmol, respectively). The simple removal of the carbonyl group from HOPO moiety greatly improved its reactivity. However, the introduction of a piperazine cycle inside the spacer significantly decreased ROS scavenging capacities (Figure 3b: 1 vs. Ib-2 and Ia-2 vs. Ib-1). In the series II, there was a negative impact of the reduction of piperazine-1,4-diamide linker into piperazine-1,4-dialkyl spacer (Table 3: ORACFL values of 0.99 and 0.57 µmol TE/µmol for Ib-3 and IIb-1, respectively). Finally, the 3,2-HOPO derivative IIa-3 possessing a C4 alkyl spacer appeared slightly more efficient than its analog IIa-4 bearing a C9 alkyl linker (Table 3: ORACFL values of 0.98 and 0.84 µmol TE/µmol, respectively). Judging from its good conserved antioxidant activity and with its promising Qikprop-predicted ADME properties in mind, this HOPO-alkyl-diamine hybrid could be considered as a new lead compound. Its RCS trapping and Cu2+-chelating capacities have been evaluated according to previously described conditions [8].
Figure 3.
(a) Fluorescein (FL) fluorescence decay curve induced by AAPH. Tested compounds (0.1–20 µM) or trolox standard (1–50 µM) were pre-incubated with FL (12 nM) in D-PBS (pH 7.4) at 37 °C for at least 30 min. The addition of AAPH reagent (30 mM) led to FL disappearance and the remaining FL fluorescence (λEx: 485 nm; λEm: 520 nm) was measured every 90 s for 60 cycles. Represented data show results obtained in the absence (control) or the presence of compound IIa-3 at different concentrations and are expressed as means ± SEM of triplicates that form a representative experiment among the at least performed three independent ones and (b) oxygen radical absorbance capacity assay using fluorescein (ORACFL) values of new HOPO-diamine hybrids, lead compound 1 and references. Bars represent the means ± SEM calculated at 10 µM of at least three independent experiments performed in triplicate. * p < 0.05; ** p < 0.01; *** p < 0.001 vs. Trolox (Student’s t test: p values <0.05 were considered significant).
Table 3.
Reactive carbonyl species (RCS) trapping, oxygen radical absorbance and Cu2+-chelating capacities of new HOPO-diamine hybrids in comparison with previous lead compound 1 and references.
A kinetic study of RCS adduct formation was assessed by LCMS after the incubation of new key diamine compounds IIa-3 and Ia-3 with MGO or MDA at 37 °C for 24 h (Figure 4). Indeed, the appearance of already described major pyrazine or 1,4-diazepine adducts could be followed on UV chromatogram at 190 nm, respectively [8]. AUC of the total peak of adducts was compared with the remaining free scavenger peak for samples collected at regular time intervals. As shown in Table 3, the reactivity of primary vicinal diamine function of IIa-3 and Ia-3 with dicarbonyl compounds remains as interesting as that of lead compound 1. Newly designed derivatives were found to be very potent MGO scavengers. In particular, 100% of MGO adduct formation was detected in 15 min of incubation with IIa-3 vs. only 46% with carnosine used as reference [24]. However, the MDA trapping capacity of this HOPO-alkyl-diamine hybrid revealed weaker than that of Ia-3 and lead compound 1 both bearing an amide linker (Table 3: 40% vs. 83% and 81% MDA adduct formation, respectively, in 1 h of incubation). The modification of the spatial geometry of the hybrid structure induced by the introduction of an alkyl spacer seems to lead to a lower reactivity of diamine function with bulky RCS like α,β-unsaturated aldehydes.
Figure 4.
Kinetic curves representing the formation of (a) MGO or (b) MDA adducts in the presence of different scavengers. Tested compounds (10 mM) dissolved in D-PBS (pH 7.4) were incubated with MGO or MDA (20 mM) at 37 °C for 24 h. Samples collected at regular time intervals were subsequently analyzed by LCMS. Area under the curve (AUC) of the MGO or MDA adduct peak and remaining free scavenger peak were measured on UV chromatogram at 190 nm. Data are expressed as percentage of total MGO or MDA adducts compared with remaining free scavenger for a representative single sample. ND: Not determined.
The evaluation of Cu2+-chelating properties of derivatives IIa-3 and Ia-3 representing the two new series of AGE/ALE inhibitors was performed using murexide as complexometric indicator. Tested compounds at different concentrations were incubated with CuSO4.5H2O for 10 min at rt. Murexide was subsequently introduced into the mixture and reacted with remaining free Cu2+ for additional 1 min. The absorbance ratio A485/A520 (λmax of Cu2+/murexide complex: 485 nm and λmax of free murexide: 520 nm) furnished the remaining free Cu2+ concentration with respect to calibration curves (A485/A520 vs. Cu2+ concentration). Knowing the total quantity of metal ions added into the reaction mixture (control conditions without tested product), proportion of Cu2+ chelation by HOPO-diamine hybrids was estimated by difference. Newly synthesized compounds IIa-3 and Ia-3 appeared to be much more potent than carnosine in complexing Cu2+ (Figure 5). In the hybrid structure, it has been previously demonstrated that the role of HOPO moiety is more essential than that of the diamine function as far as the Cu2+-chelating activity is concerned [8]. As shown in Table 3, the 2-methyl-3,4-HOPO derivative Ia-3 showed 83% Cu2+ chelation at 200 µM and revealed almost as efficient as the positive standard EDA (ethylenediamine) whereas the 2,3-HOPO one IIa-3 exhibited its chelating capacity in only 60%. This provides novel evidence that demonstrates the slightly weaker biometal complexing properties of the 2,3-HOPO moiety vs. the 2-methyl-3,4-HOPO one. However, judging from similar interesting results obtained with IIa-3 and lead compound 1, the nature of the linker seems to have no particular impact in Cu2+ chelation (Figure 5).
Figure 5.
Evaluation of Cu2+-chelating capacity of new HOPO-diamine hybrids and references. Tested compounds (0–2 mM) were incubated with CuSO4.5H2O (120 µM) in a 10 mM hexamine/HCl buffer containing 10 mM KCl (pH 5.0) for 10 min at rt. Murexide (50 µM), used as a complexometric indicator reacting with remaining free Cu2+, was added and the mixture was incubated for additional 1 min at rt. The absorbance ratio A485/A520 (λmax of Cu2+/murexide complex: 485 nm and λmax of free murexide: 520 nm) provided remaining free Cu2+ concentration with respect to calibration curves (A485/A520 vs. Cu2+ concentration). Knowing the total quantity of metal ions introduced in the reaction mixture (control conditions without tested product), percentage of Cu2+ chelation by tested compounds was calculated by difference. Data are presented as means ± SEM of triplicates.
Finally, in view of its particularly promising predicted ADME properties and its good conserved RCS, ROS and biometal scavenging efficiency, the newly designed 3,2-HOPO-alkyl-diamine IIa-3 can be selected as a novel lead compound.
2.4. Biological Evaluations
2.4.1. Cell Viability
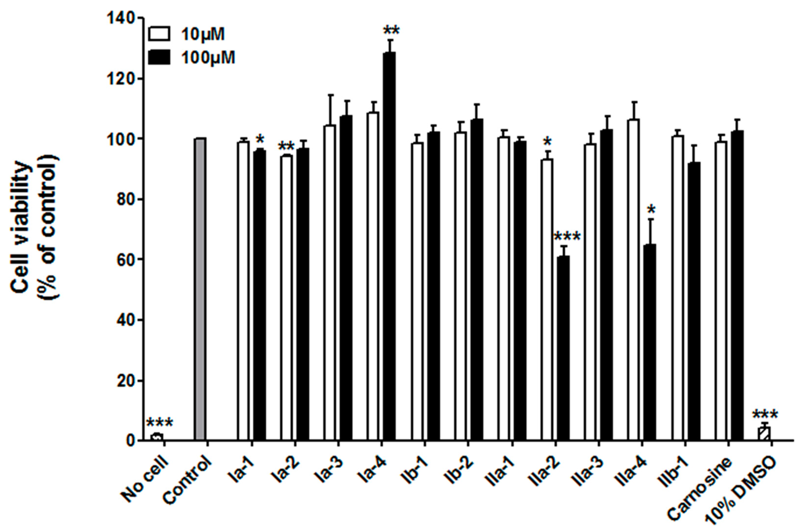
Cytotoxicity of the novel HOPO-diamine hybrids was evaluated on an in vitro neuronal-like cell model, the rat pheochromocytoma cell-line PC12 widely used to study neurodegenerative diseases [25,26]. A sensitive colorimetric CCK-8 (cell counting kit-8) assay was performed to determine cell viability [27]. In the cell, mitochondrial dehydrogenases reduced the WST-8 reagent in the presence of 1-methoxy PMS used as an electron carrier to give a water-soluble formazan dye. The number of living cells was estimated by medium absorbance measurement after incubation with different concentrations of tested compounds for 48 h. A positive cytotoxicity standard was assessed by adding 10% DMSO and cell viability was expressed as % of control conditions (non-treated cells). Except for compounds IIa-2 and IIa-4 bearing a C9 alkyl linker and to a lesser extent for compounds Ia-1 and Ia-2, no cytotoxicity of new multifunctional diamine derivatives was detected in PC12 cells after 48 h of treatment at 10 µM as well as at 100 µM (Figure 6). The increased cellular toxicity of hybrids IIa-2 and IIa-4 could be explained by the well-known ability of flexible long alkyl chains to induce membrane disruption and cytolysis slotting into the phospholipid bilayer [28].
Figure 6.
Evaluation of cell viability. PC12 cells were incubated with 10 µM or 100 µM of the different multifunctional diamine derivatives for 48 h. DMSO was used as a positive cytotoxicity control. Results are expressed as % of control (non-treated cells). Bars represent the mean ± SEM of at least three independent experiments performed in triplicate. * p < 0.05; ** p < 0.01; *** p < 0.001 vs. control (Student’s t test: p values <0.05 were considered significant).
2.4.2. In Vitro MGO-Induced Apoptosis Inhibition in the Model AD Cell-Line PC12
With the aim of assessing their ability to limit MGO-induced apoptosis in AD, a pre-treatment of PC12 cells with compounds Ia-4, IIa-3 and IIa-4 representing the two new series of AGE/ALE inhibitors were carried out. After incubation in the presence of MGO at 37 °C, apoptosis level was evaluated by ELISA detection of DNA fragmentation and reflected by a measurement of optical density (OD) [29,30]. Cells incubated without MGO represented control conditions and a positive apoptosis standard was constituted in the presence of MGO, but in the absence of the tested product. As shown in Figure 7, the apoptosis level was greatly decreased in the presence of HOPO-alkyl-diamine derivatives IIa-3 and IIa-4 at 100 µM whereas there was no significant effect of the compound Ia-4 bearing an amide linker neither at 10 µM nor at 100 µM. Furthermore, the new multifunctional scavengers IIa-3 and IIa-4 revealed to be more efficient than lead compound 1 to inhibit MGO-induced apoptosis in PC12 cells (21% of apoptosis inhibition with 1 at 100 µM (previously reported result [8]) vs. 39% and 60% with IIa-3 and IIa-4, respectively). Considering their similar trapping abilities, these results can be explained by the increased lipophilicity of IIa-3 and IIa-4 associated with the enhanced QikProp-predicted cellular permeability to these compounds (Table 2). However, the long-chain alkyl hybrid IIa-4 must be ruled out for further investigations because of its detected cytotoxicity in PC12 cells. Finally, together with its RCS, ROS and biometal scavenging efficiency and its good QikProp-predicted ADME properties, HOPO-alkyl-diamine derivative IIa-3 exhibited an in vitro potent biological activity. These new data constitute a promising evidence of its improved druglikeness and capacity to prevent biometal-mediated oxidative and carbonyl stress progression in the PC12 cell-line model of AD.
Figure 7.
In vitro evaluation of MGO-induced apoptosis inhibition in neuronal-like PC12 cells. PC12 cells were incubated for 24 h in media (control), and with MGO (1 mM) in the absence or the presence of either 10 µM or 100 µM of key AGE/ALE inhibitors Ia-4, IIa-3 and IIa-4. At the end of the incubation, the cells were lysed and analyzed for DNA fragmentation. Bars represent the means ± SEM of at least three independent experiments performed in triplicate. * p < 0.05; *** p < 0.001 vs. control (Student’s t test: p values <0.05 were considered significant).
3. Materials and Methods
3.1. Generalities
All reagents and solvents were obtained from commercial suppliers and were used without further purification. Anhydrous solvents were dried with the PureSolv® MD 5 solvent purification system. Column chromatography was performed over Merck Silica gel 60 Å (40–63 μm) or using a Grace Davison Purification Reveleris® Flash system. Routine monitoring of reactions was carried out using Merck thin layer chromatography (TLC) Silica gel 60 F254 plates, visualized under UV light (254 nm) and revealed using a phosphomolybdic acid 95% solution in ethanol. Melting points (mp) were determined on a Stuart SMP3 device. IR measurements were performed on a Jasco FT/IR-4200 system fitted with an ATR-golden gate and were reported using the frequency of absorption (cm−1). nuclear magnetic resonance (NMR) spectra were recorded on a Bruker 400 (or 300) cryosonde NMR instrument. Chemical shifts (δ) are expressed in parts per million (ppm) downfield from tetramethylsilane as an internal standard and were referenced to the deuterated solvent. 1H, 13C and Q-DEPT data were reported in the order of chemical shift, multiplicity (s = singlet, br s = broad singlet, d = doublet, t = triplet, q = quartet, quint = quintet and m = multiplet), integration, coupling constants in Hertz (Hz). Negative peaks (np) are quoted for Q-DEPT NMR spectra. High-resolution mass spectra (HRMS) were obtained from a Micromass-Waters Q-TOF Ultima spectrometer, in electrospray ionization (ESI) mode (positive or negative). For liquid chromatography coupled with mass spectrometry (LCMS), UV chromatograms and mass spectra were obtained from a Shimadzu LCMS-2020 system, at 190 nm and by positive ESI-MS interface (detection mode: scan, interface voltage: tuning file, DL voltage: 100 V, Q-array DC: 40 V, Q-array RF: 40 V). The gradient elution was performed on a Phenomenex Kinetex® HPLC C18 column using an injection volume of 1–2 µL and a mobile phase composed of water/acetonitrile (solvent A/solvent B) with 0.1% formic acid (98:2 during 2 min, 55:45 during 2 min and 45:55 during 3 min with a flow of 0.3 mL/min at 40 °C).
3.2. Chemical Synthesis
3.2.1. Synthesis of New Diamine Building Block 2
2-(((Benzyloxy)carbonyl)amino)-3-cyanopropanoic acid (11). To a solution of N-Cbz-Asn-OH (10 mmol) in THF (10 mL) cooled at −10 °C were added trifluoroacetic anhydride (1.2 equiv) and pyridine (5 equiv). The mixture was stirred at rt for 18 h. After evaporating THF under reduced pressure, a 1 N NaOH solution (20 mL) was added and pyridine was extracted with Et2O (2 × 20 mL). The aqueous layer was acidified to pH 2 with a 6 N HCl solution and extracted with EtOAc (2 × 20 mL). The organic phase was washed with brine (2 × 20 mL), dried over Na2SO4 and concentrated in vacuo to give compound 11 as a white solid (2.3 g, 92%). mp 145 °C. νmax: 3410, 3331, 3220, 1693, 1533, 1262, 1060, 735, 606 cm−1. 1H NMR (400 MHz, methanol-d4): δ 7.38–7.29 (m, 5H), 5.13 (s, 2H), 4.97 (br s, 1H), 4.51 (t, 3J = 6.7 Hz, 1H), 3.08–2.91 (m, 2H). Q-DEPT NMR (101 MHz, methanol-d4): δ 171.8 (np), 137.9 (np), 129.4 (2C), 128.9, 128.6 (2C), 118.2 (np), 67.7 (np), 51.6, 21.1 (np). HRMS (ESI): m/z calculated for C12H12N2O4Na, [M + Na]+ 271.0695, found 271.0687.
2-(((Benzyloxy)carbonyl)amino)-4-((tert-butoxycarbonyl)amino)butanoic acid (12). To a solution of compound 11 (8 mmol) in dry methanol (60 mL) cooled at 0 °C were added Boc2O (2 equiv) and NiCl2.6H2O (0.1 equiv). NaBH4 (7 equiv) was then introduced in several portions over a period of 45 min. The mixture was stirred at rt for 1 h and diethylenetriamine (1 equiv) was added to quench NiCl2.6H2O. After stirring further for 1 h, methanol was evaporated and the resulting product was extracted with Et2O (2 × 80 mL). The organic phase was washed with a saturated NaHCO3 solution (2 × 80 mL) and brine (2 × 80 mL), dried over Na2SO4 and concentrated in vacuo to give compound 12 as a yellow oil (2.7 g, 96%). νmax: 3314, 2975, 1689, 1515, 1247, 1162, 1046, 741, 623 cm−1. 1H NMR (400 MHz, chloroform-d): δ 8.49 (br s, 1H), 7.34–7.31 (m, 5H), 5.85 (br s, 1H), 5.2 (br s, 1H), 5.09 (s, 2H), 4.40 (m, 1H), 3.38–3.05 (m, 2H), 2.27–2.02 (m, 2H), 1.44 (s, 9H). 13C NMR (101 MHz, chloroform-d): δ 175.0, 158.1, 156.8, 136.3, 128.7 (2C), 128.3 (2C), 128.2, 80.1, 67.2, 51.6, 45.0, 36.3, 28.4 (3C). HRMS (ESI): m/z calculated for C17H24N2O6Na, [M + Na]+ 375.1532, found 375.1519.
Benzyl tert-butyl (4-hydroxybutane-1,3-diyl)dicarbamate (13). To a solution of compound 12 (7.4 mmol) in dry THF (15 mL) cooled at −10 °C were added N-methylmorpholine (1 equiv) and ethyl chloroformate (1 equiv). After stirring for 10 min, NaBH4 (2.7 equiv) was introduced in one portion. The mixture was diluted in methanol (75 mL) and further stirred at 0 °C for 1 h. THF and methanol were evaporated and the resulting product was extracted with EtOAc (2 × 100 mL). The organic phase was washed with a saturated NaHCO3 solution (2 × 100 mL) and brine (2 × 100 mL), dried over Na2SO4 and concentrated in vacuo to give compound 13 as a white pasty solid (1.6 g, 62%) after purification by column chromatography on silica gel (EtOAc/Cyclohexane 60:40). νmax: 3343, 2939, 1679, 1526, 1247, 1166, 1061, 628 cm−1. 1H NMR (400 MHz, chloroform-d): δ 7.29–7.27 (m, 5H), 5.38 (br s, 1H), 5.19 (br s, 1H), 5.10 (s, 2H), 3.65–3.49 (m, 3H), 3.23 (br s, 1H), 3.08–3.04 (m, 1H), 2.94–2.86 (m, 1H), 1.67–1.50 (m, 2H), 1.35 (s, 9H). 13C NMR (101 MHz, chloroform-d): δ 156.9, 156.3, 136.4, 128.6 (2C), 128.2, 128.0 (2C), 79.4, 66.9, 64.9, 50.5, 37.2, 32.0, 28.4 (3C). HRMS (ESI): m/z calculated for C17H26N2O5Na, [M + Na]+ 361.1739, found 361.1747.
2-(((Benzyloxy)carbonyl)amino)-4-((tert-butoxycarbonyl)amino)butyl methanesulfonate (14). Compound 13 (4.4 mmol) was dissolved in CH2Cl2 (40 mL) and the solution was cooled at 0 °C. Triethylamine (1.1 equiv) and mesyl chloride (1.1 equiv) were then added. The mixture was stirred at 0 °C for 1 h and the resulting product was extracted with CH2Cl2 (2 × 60 mL). The organic phase was washed with a 0,5 N HCl solution (2 × 60 mL), a 5% NaHCO3 solution (2 × 60 mL) and brine (2 × 60 mL), dried over Na2SO4 and concentrated in vacuo to give compound 14 as a brown oil (1.8 g, 99%). νmax: 3250, 3059, 2947, 1726, 1154, 1037, 938, 772 cm−1. 1H NMR (400 MHz, chloroform-d): δ 7.31–7.26 (m, 5H), 5.20 (br s, 1H), 5.03 (s, 2H), 4.93 (br s, 1H), 4.14–4.20 (m, 2H), 3.93–3.89 (m, 1H), 3.31–3.27 (m, 1H), 3.07–3.03 (m, 1H), 2.95 (s, 3H), 1.69–1.55 (m, 2H), 1.36 (s, 9H). 13C NMR (101 MHz, chloroform-d): δ 156.3, 156.1, 136.2, 128.6 (2C), 128.3, 128.1 (2C), 79.5, 71.0, 67.0, 48.0, 37.3, 34.5, 31.8, 28.4 (3C). HRMS (ESI): m/z calculated for C18H28N2O7SNa, [M + Na]+ 439.1515, found 439.1523.
Benzyl tert-butyl (4-azidobutane-1,3-diyl)dicarbamate (15). Compound 14 (3.8 mmol) was dissolved in DMF (5 mL). Sodium azide (2 equiv) was then added and the mixture was heated at 60 °C for 5 h under argon. The solvent was removed and the residue was taken up in EtOAc (3 × 25 mL). The organic phase was washed with brine (3 × 25 mL), dried over Na2SO4 and concentrated in vacuo. The crude material was purified by column chromatography on silica gel (EtOAc/Cyclohexane 50:50) to give compound 15 as a white pasty solid (1.1 g, 79%). νmax: 3346, 2096, 1680, 1522, 1251, 1162, 1067, 696, 626 cm−1. 1H NMR (400 MHz, chloroform-d): δ 7.39–7.33 (m, 5H), 5.20 (br s, 1H), 5.12 (s, 2H), 5.05 (br s, 1H), 3.89–3.86 (m, 1H), 3.49–3.36 (m, 3H), 3.02–2.95 (m, 1H), 1.73–1.56 (m, 2H), 1.45 (s, 9H). Q-DEPT NMR (101 MHz, chloroform-d): δ 156.3 (np), 156.1 (np), 136.3 (np), 128.6 (2C), 128.2, 128.1 (2C), 79.4 (np), 67.1 (np), 54.8 (np), 48.5, 37.0 (np), 32.8 (np), 28.4 (3C). HRMS (ESI): m/z calculated for C17H25N5O4Na, [M + Na]+ 386.1804, found 386.1814.
Benzyl (4-amino-1-azidobutan-2-yl)carbamate hydrochloride (2). To a solution of compound 15 (0.1 mmol) dissolved in 1,4-dioxane (3 mL) was added 4 N HCl solution in 1,4-dioxane (30 equiv). The mixture was stirred at rt for 36 h and concentrated under reduced pressure. The residue was washed with Et2O (2 × 3 mL) that was then evaporated in vacuo to give compound 2 as a white pasty solid (18 mg, 61%). νmax: 3298, 3031, 2939, 2893, 2098, 1692, 1525, 1251, 1048, 698 cm−1. 1H NMR (400 MHz, methanol-d4): δ 7.41–7.29 (m, 5H), 5.23 (s, 2H), 3.83–3.79 (m, 1H), 3.60 (br s, 1H), 3.42 (d, 3J = 5.8 Hz, 2H), 3.01–2.94 (m, 2H), 1.93–1.74 (m, 2H). Q-DEPT NMR (101 MHz, methanol-d4): δ 158.7 (np), 138.0 (np), 129.5 (2C), 129.0, 128.7 (2C), 67.7 (np), 55.3 (np), 50.0, 37.8 (np), 31.2 (np). HRMS (ESI): m/z calculated for C12H18N5O2, [M + H]+ 264.1461, found 264.1453.
3.2.2. Synthesis of New Diamine Building Blocks 5, 7 and 8
For compound 18, synthetic procedure and NMR spectra were in full accordance with those reported in the literature [31].
Synthesis of Intermediates 17 and 22
(((10-azido-11-iodoundecyl)oxy)methyl)benzene (19). A solution of iodine chloride (1.3 equiv.) in acetonitrile (10 mL) was added dropwise over 10 min to a stirred suspension of sodium azide (3.3 equiv.) in acetonitrile (10 mL) at −15 °C under argon. The compound 18 (10 mmol) was then added at −15 °C over a period of 20 min and the mixture was warmed to rt. Stirring was continued for 2 h and the mixture was worked up by addition of water (20 mL) and extraction with cyclohexane (2 × 40 mL). The organic layer was washed with a 10% aqueous sodium thiosulfate (2 × 40 mL) and brine (2 × 40 mL), dried over Na2SO4 and concentrated in vacuo. The crude material was purified by column chromatography on silica gel (EtOAc/Cyclohexane 5:95) to give compound 19 as a yellow oil (3 g, 70%). νmax: 2924, 2852, 2099, 1456, 1272, 1101, 736, 698, 616 cm−1. 1H NMR (400 MHz, chloroform-d): δ 7.35–7.30 (m, 4H), 7.30–7.26 (m, 1H), 4.51 (s, 2H), 3.47 (t, 3J = 8.0 Hz, 2H), 3.41–3.36 (m, 1H), 3.30–3.22 (m, 2H), 1.69–1.56 (m, 8H), 1.38–1.36 (m, 6H), 1.27–1.25 (m, 2H). 13C NMR (101 MHz, chloroform-d): δ 139.0, 128.6 (2C), 127.9 (2C), 127.7, 73.1, 70.8, 63.0, 34.7, 30.0 (2C), 29.7, 29.6, 29.4, 26.4, 26.1, 8.8. HRMS (ESI): m/z calculated for C18H28N3ONaI, [M + Na]+ 452.1175, found 452.1174.
(((10,11-diazidoundecyl)oxy)methyl)benzene (20). Compound 19 (6 mmol) was dissolved in DMSO (7 mL) and sodium azide (3 equiv) was added. The mixture was stirred at rt for 20 h under argon and then diluted in EtOAc (3 × 25 mL). The organic phase was washed with brine (3 × 25 mL), dried over Na2SO4 and concentrated in vacuo. The crude material was purified by column chromatography on silica gel (EtOAc/Cyclohexane 5:95) to give compound 20 as colorless oil (1.6 g, 78%). νmax: 2931, 2856, 2326, 2103, 1717, 1277, 890, 796, 715, 631 cm−1. 1H NMR (400 MHz, chloroform-d): δ 7.35–7.30 (m, 4H), 7.30–7.27 (m, 1H), 4.51 (s, 2H), 3.47 (t, 3J = 8.0 Hz, 2H), 3.44–3.28 (m, 3H), 1.65–1.58 (m, 3H), 1.57–1.51 (m, 3H), 1.45–1.43 (m, 2H), 1.38–1.35 (m, 8H). 13C NMR (101 MHz, chloroform-d): δ 139.0, 128.6 (2C), 127.9 (2C), 127.7, 73.1, 70.7, 62.3, 55.1, 32.0, 30.0, 29.7 (2C), 29.6, 29.5, 26.4, 26.1. HRMS (ESI): m/z calculated for C18H28N6ONa, [M + Na]+ 367.2222, found 367.2223.
di-tert-butyl (6-hydroxyhexane-1,2-diyl)dicarbamate (16). Compound 4 (2 mmol) was dissolved in 1,4-dioxane/H2O 1:1 (40 mL) and the mixture was heated to 65 °C. Sodium nitroprusside (2.5 equiv) was added portionwise over a period of 30 min and the reaction mixture was heated for 16 h. After cooling to rt, 1,4-dioxane was removed and the resulting product was extracted with EtOAc (3 × 80 mL). The organic phase was washed with brine (3 × 80 mL), dried over Na2SO4 and concentrated in vacuo. The crude material was purified by column chromatography on silica gel (EtOAc) to give compound 16 as a white solid (160 mg, 24%). mp 55 °C. νmax: 3363, 2919, 2852, 1682, 1523, 1448, 1367, 1247, 1160, 1071, 1039, 986, 884, 641 cm−1. 1H NMR (400 MHz, chloroform-d): δ 4.99 (br s, 1H), 4.77 (br s, 1H), 3.61–3.57 (m, 3H), 3.16–3.12 (m, 2H), 2.29 (br s, 1H), 1.60–1.51 (m, 2H), 1.49–1.44 (m, 4H), 1.40 (s, 18H). 13C NMR (101 MHz, chloroform-d): δ 156.9, 156.5, 79.6 (2C), 62.4, 51.6, 44.8, 32.7, 32.6, 28.6 (6C), 22.2. HRMS (ESI): m/z calculated for C16H32N2O5Na, [M + Na]+ 355.2209, found 355.2216.
di-tert-butyl (11-hydroxyundecane-1,2-diyl)dicarbamate (21). To a solution of compound 20 (4.4 mmol) in dry methanol (50 mL) was added Pd/C (10% w/w) and a 1 N aqueous HCl solution (2 equiv). The mixture was placed under H2 and stirred for 24 h at rt. After filtering the catalyst and evaporating methanol, the residue was dissolved in 1,4-dioxane (20 mL) before adding Boc2O (1.6 equiv) and triethylamine (6.9 equiv). The mixture was stirred for further 2 h at rt. The solvent was removed under reduced pressure and the resulting product was extracted with EtOAc (2 × 40 mL). The organic phase was washed with brine (3 × 40 mL), dried over Na2SO4 and concentrated in vacuo to give compound 21 as a colorless oil (1.3 g, 75%). νmax: 3343, 2926, 2855, 1679, 1522, 1366, 1248, 1163, 1056, 857, 607 cm−1. 1H NMR (400 MHz, chloroform-d): δ 4.92 (br s, 1H), 4.63 (br s, 1H), 3.61 (t, 3J = 6.6 Hz, 2H), 3.58–3.50 (m, 1H), 3.16–3.12 (m, 2H), 1.79 (br s, 1H), 1.54 (quint, 3J = 6.6 Hz, 2H), 1.41 (s, 18H), 1.31–1.25 (m, 14H). 13C NMR (101 MHz, chloroform-d): δ 156.8, 156.5, 79.5 (2C), 63.1, 51.5, 45.2, 33.3, 33.0 (2C), 29.6 (3C), 28.6 (6C), 25.9 (2C). HRMS (ESI): m/z calculated for C21H42N2O5Na, [M + Na]+ 425.2991, found 425.2982.
General procedure for the synthesis of mesylates 17 and 22: Compound 16 or 21 (1.4–3 mmol) was dissolved in CH2Cl2 (15–30 mL) and the solution was cooled at 0 °C. Triethylamine (1.1 equiv) and mesyl chloride (1.1 equiv) were then added. The mixture was stirred at 0 °C for 2 h. After evaporating CH2Cl2, the resulting product was extracted with EtOAc (2 × 30–60 mL). The organic phase was washed with a 0,5 N HCl solution (2 × 30–60 mL), a 5% NaHCO3 solution (2 × 30–60 mL) and brine (2 × 30–60 mL), dried over Na2SO4 and concentrated in vacuo to give compound 17 or 22.
5,6-bis((tert-butoxycarbonyl)amino)hexyl methanesulfonate (17). Compound 17 was obtained from compound 16 (1.4 mmol) according to the general procedure as a white solid (455 mg, 80%) after purification by column chromatography on silica gel (CH2Cl2/MeOH 98:2). mp 70 °C. νmax: 3363, 2980, 2936, 1682, 1519, 1443, 1349, 1245, 1162, 976, 828, 626 cm−1. 1H NMR (400 MHz, chloroform-d): δ 4.89 (br s, 1H), 4.70 (br s, 1H), 4.19 (t, 3J = 6.4 Hz, 2H), 3.62–3.58 (m, 1H), 3.16–3.12 (m, 2H), 2.98 (s, 3H), 1.78–1.69 (m, 2H), 1.49–1.44 (m, 4H), 1.41 (s, 18H). Q-DEPT NMR (101 MHz, chloroform-d): δ 156.8 (np), 156.4 (np), 79.7 (np, 2C), 69.9 (np), 51.4, 44.8 (np), 37.6, 32.5 (np), 29.1 (np), 28.6 (6C), 22.1 (np). HRMS (ESI): m/z calculated for C17H34N2O7SNa, [M + Na]+ 433.1984, found 433.2000.
10,11-bis((tert-butoxycarbonyl)amino)undecyl methanesulfonate (22). Compound 22 was obtained from compound 21 (3 mmol) according to the general procedure as a white solid (1.3 g, 91%). mp 62 °C. νmax: 3362, 2927, 2857, 1685, 1523, 1352, 1251, 1165, 941, 831, 627 cm−1. 1H NMR (400 MHz, chloroform-d): δ 4.87 (br s, 1H), 4.58 (br s, 1H), 4.20 (t, 3J = 6.6 Hz, 2H), 3.60–3.56 (m, 1H), 3.26–3.09 (m, 2H), 2.98 (s, 3H), 1.72 (quint, 3J = 6.6 Hz, 2H), 1.42 (s, 18H), 1.37–1.26 (m, 14H). 13C NMR (101 MHz, chloroform-d): δ 156.7, 156.5, 79.5 (2C), 70.4, 51.5, 45.2, 37.6, 33.2, 29.6 (2C), 29.5, 29.3, 29.2, 28.6 (6C), 26.0, 25.6. HRMS (ESI): m/z calculated for C22H44N2O7SNa, [M + Na]+ 503.2767, found 503.2767.
Synthesis of Precursor 5
di-tert-butyl (11-azidoundecane-1,2-diyl)dicarbamate (23). Compound 22 (1.2 mmol) was dissolved in DMF (8 mL). Sodium azide (2.5 equiv) was then added and the mixture was heated overnight at 60 °C under argon. The solvent was removed and the residue was taken up in EtOAc (3 × 20 mL). The organic phase was washed with brine (3 × 20 mL), dried over Na2SO4 and concentrated in vacuo. The crude material was purified by column chromatography on silica gel (EtOAc/Cyclohexane 2:98) to give compound 23 as a white solid (420 mg, 82%). mp 56 °C. νmax: 3341, 2975, 2925, 2855, 2091, 1675, 1526, 1457, 1366, 1247, 1163, 880, 755, 634 cm−1. 1H NMR (400 MHz, chloroform-d): δ 4.88 (br s, 1H), 4.59 (br s, 1H), 3.60–3.56 (m, 1H), 3.23 (t, 3J = 7.0 Hz, 2H), 3.16–3.12 (m, 2H), 1.56 (quint, 3J = 7.1 Hz, 2H), 1.41 (s, 18H), 1.30-1.23 (m, 14H). Q-DEPT NMR (101 MHz, chloroform-d): δ 156.8 (np), 156.5 (np), 79.5 (np, 2C), 51.7 (np), 51.5, 45.2 (np), 33.3 (np), 29.9 (np), 29.7 (np), 29.6 (np), 29.3 (np), 29.1 (np), 28.6 (6C), 26.9 (np), 26.1 (np). HRMS (ESI): m/z calculated for C21H41N5O4Na, [M + Na]+ 450.3056, found 450.3052.
di-tert-butyl (11-aminoundecane-1,2-diyl)dicarbamate (5). To a solution of compound 23 (0.4 mmol) in dry methanol (20 mL) was added Pd/C (10% w/w). The mixture was placed under H2 and stirred for 2 h at rt. After filtering the catalyst, the methanol was evaporated to give compound 5 as a yellow oil (155 mg, 88%). νmax: 3342, 2976, 2927, 2856, 2090, 1684, 1520, 1365, 1248, 1165, 1069, 732, 630cm−1. 1H NMR (400 MHz, chloroform-d): δ 4.95 (br s, 1H), 4.65 (br s, 1H), 3.58–3.54 (m, 1H), 3.15–3.11 (m, 2H), 2.64 (t, 3J = 7.0 Hz, 1H), 2.57 (t, 3J = 7.4 Hz, 1H), 1.87 (br s, 2H), 1.55–1.42 (m, 2H), 1.40 (s, 18H), 1.30–1.20 (m, 14H). Q-DEPT NMR (101 MHz, chloroform-d): δ 156.8 (np), 156.5 (np), 79.4 (np, 2C), 51.5, 45.1 (np), 42.4 (np), 33.9 (np), 33.2 (np), 29.7 (2C, np), 28.6 (6C), 27.6 (np), 27.1 (np), 26.1 (np), 25.6 (np). HRMS (ESI): m/z calculated for C21H44N3O4, [M + H]+ 402.3332, found 402.3332.
Synthesis of Precursors 7 and 8
General procedure: Compound 17 or 22 (1–1.3 mmol) was dissolved in acetone (15–20 mL) and sodium iodide (5 equiv) was added. The mixture was stirred at rt for 10–16 h. The solvent was removed and the residue was taken up in EtOAc (3 × 30–40 mL). The organic phase was washed with brine (3 × 30–40 mL), dried over Na2SO4 and concentrated in vacuo to give compound 7.
di-tert-butyl (6-iodohexane-1,2-diyl)dicarbamate (7). Compound 7 was obtained from compound 17 (1 mmol) according to the general procedure (16 h) as a white solid (230 mg, 53%). mp 68 °C. νmax: 3359, 2978, 2921, 1680, 1521, 1445, 1366, 1246, 1155, 1049, 880, 635 cm−1. 1H NMR (400 MHz, chloroform-d): δ 4.84 (br s, 1H), 4.64 (br s, 1H), 3.63–3.59 (m, 1H), 3.16 (t, 3J = 6.9 Hz, 2H), 1.86–1.77 (m, 2H), 1.58–1.49 (m, 4H), 1.43 (s, 18H), 1.39–1.32 (m, 2H). 13C NMR (101 MHz, chloroform-d): δ 156.8, 156.4, 79.7 (2C), 51.5, 45.0, 33.4, 32.2, 30.0, 28.7 (6C), 27.1. HRMS (ESI): m/z calculated for C16H31N2O4INa, [M + Na]+ 465.1226, found 465.1228.
di-tert-butyl (11-iodoundecane-1,2-diyl)dicarbamate (8). Compound 8 was obtained from compound 22 (1.3 mmol) according to the general procedure (10 h) as a white solid (518 mg, 79%). mp 69 °C. νmax: 3361, 2977, 2923, 2851, 1681, 1522, 1462, 1363, 1245, 1166, 869, 622 cm−1. 1H NMR (400 MHz, chloroform-d): δ 4.93 (br s, 1H), 4.66 (br s, 1H), 3.59–3.55 (m, 1H), 3.13 (t, 3J = 7.2 Hz, 2H), 1.80–1.73 (m, 4H), 1.38 (s, 18H), 1.22–1.15 (m, 14H). 13C NMR (101 MHz, chloroform-d): δ 156.7, 156.4, 79.4 (2C), 51.5, 45.1, 33.7, 33.2, 30.7, 29.6 (2C), 29.5, 28.7 (2C), 28.6 (6C), 26.0. HRMS (ESI): m/z calculated for C21H41N2O4INa, [M + Na]+ 535.2009, found 535.2004.
3.2.3. Pseudopeptidic Coupling of Diamine Building Blocks 2–4 and 6 with HOPO Ligands 9a-b and 10a-b in the Series Ia-b
The synthetic routes to prepare compounds 3, 4, 6, 9b, 10b, 27b, 28b and Ib-3 have already been described by our research group [8].
For compound 9a and 10a, synthetic pathways and NMR spectra were in full accordance with those reported in the literature [10,11].
General procedure for the synthesis of compounds 24a-c and 26a-b: To a solution of compound 9a or 9b (0.7–1.4 mmol) in CH2Cl2, THF or THF/DMF 8:1 to 11:1 (20–45 mL) cooled at 0 °C were added 1-ethyl-3-(3-dimethylaminopropyl)-carbodiimide hydrochloride (EDC, 1.2–1.4 equiv) and 1-hydroxybenzotriazole monohydrate (HOBt, 1–1.2 equiv). After pre-stirring at 0 °C for 30 min, compound 2, 3, 4 or 6 (1 equiv) and triethylamine (0–1.2 equiv) were added in the mixture that was further stirred at rt for 6–24 h. The solvent was evaporated under reduced pressure and the residue was diluted in EtOAc (2 × 50–100 mL). The organic phase was washed with brine (3 × 50–100 mL) or a 1 N KHCO3 solution (2 × 50–100 mL), a 5% NaHCO3 solution (2 × 50–100 mL) and brine (2 × 50–100 mL), dried over Na2SO4 and concentrated in vacuo to give compound 24a-c or 26a-b.
di-tert-butyl5-(2-(3-(benzyloxy)-2-methyl-4-oxopyridin-1(4H)-yl)acetamido)pentane-1,2-diyl)dicarbamate (24a). Compound 24a was obtained by coupling compounds 9a (1.4 mmol) and 3 according to the general procedure (THF/DMF 8:1, 24 h) as an off-white solid (520 mg, 65%) after purification by column chromatography on silica gel (EtOAc/MeOH 80:20). mp 101 °C. 1H NMR (300 MHz, methanol-d4): δ 7.61 (d, 3J = 7.5 Hz, 1H), 7.41–7.31 (m, 5H), 6.46 (d, 3J = 7.5 Hz, 1H), 5.05 (s, 2H), 4.68 (s, 2H), 3.58–3.54 (m, 1H), 3.23–3.18 (m, 2H), 3.12–2.97 (m, 2H), 2.07 (s, 3H), 1.58–1.30 (m, 22H). Q-DEPT NMR (75 MHz, methanol-d4): δ 175.6 (np), 168.5 (np), 163.7 (np), 158.7 (np), 147.3 (np), 145.9 (np), 143.0, 138.8 (np), 130.4 (2C), 129.8 (2C), 129.6, 117.4, 80.4 (np), 80.3 (np), 75.0 (np), 57.2 (np), 52.2, 45.8 (np), 40.9 (np), 31.2 (np), 29.1 (6C), 27.2 (np), 13.3. HRMS (ESI): m/z calculated for C30H44N4O7Na, [M + Na]+ 595.3108, found 595.3121.
di-tert-butyl(6-(2-(3-(benzyloxy)-2-methyl-4-oxopyridin-1(4H)-yl)acetamido)hexane-1,2-diyl)dicarbamate (24b). Compound 24b was obtained by coupling compounds 9a (1 mmol) and 4 according to the general procedure (THF/DMF 8:1, 24 h) as an off-white solid (364 mg, 62%) after purification by column chromatography on silica gel (EtOAc/MeOH 80:20). mp 79 °C. νmax: 1680, 1519, 1364, 1249, 1162, 999, 746 cm−1. 1H NMR (300 MHz, methanol-d4): δ 7.62 (d, 3J = 7.2 Hz, 1H), 7.42–7.32 (m, 5H), 6.47 (d, 3J = 7.2 Hz, 1H), 5.06 (s, 2H), 4.68 (s, 2H), 3.56–3.54 (m, 1H), 3.23–3.18 (m, 2H), 3.14–2.98 (m, 2H), 2.08 (s, 3H), 1.49–1.35 (m, 24H). Q-DEPT NMR (75 MHz, methanol-d4): δ 175.3 (np), 168.2 (np), 161.1 (np), 158.7 (np), 147.0 (np), 145.6 (np), 142.7, 138.5 (np), 130.2 (2C), 129.5 (2C), 129.3, 117.1, 80.1 (np), 80.0 (np), 74.7 (np), 56.9 (np), 52.1, 45.5 (np), 40.6 (np), 33.1 (np), 30.1 (np), 28.9 (6C), 24.4 (np), 13.0. HRMS (ESI): m/z calculated for C31H46N4O7Na, [M + Na]+ 609.3264, found 609.3271.
di-tert-butyl(5-(4-(2-(3-(benzyloxy)-2-methyl-4-oxopyridin-1(4H)-yl)acetyl)piperazin-1-yl)-5-oxopentane -1,2-diyl)dicarbamate (24c). Compound 24c was obtained by coupling compounds 9a (1 mmol) and 6 according to the general procedure (CH2Cl2, 18 h) as a white solid (348 mg, 51%) after purification by column chromatography on silica gel (CH2Cl2/MeOH 95:5). mp 105 °C. νmax: 3333, 2976, 1698, 1629, 1511, 1434, 1245, 1163, 1018, 742 cm−1. 1H NMR (400 MHz, chloroform-d): δ 7.35–7.28 (m, 6H), 6.42 (d, 3J = 7.2 Hz, 1H), 5.17 (s, 2H), 5.03 (s, 2H), 4.83 (br s, 2H), 3.60–3.42 (m, 9H), 3.21–3.17 (m, 2H), 2.43–2.37 (m, 2H), 2.04 (s, 3H), 1.88–1.67 (m, 2H), 1.43 (s, 18H). Q-DEPT NMR (101 MHz, chloroform-d): δ 173.1 (np), 171.4 (np), 164.5 (np), 157.0 (np), 156.3 (np), 145.6 (np), 144.1 (np), 140.8, 137.6 (np), 129.0 (2C), 128.7 (2C), 128.4, 116.3, 79.6 (np, 2C), 73.8 (np), 55.3 (np), 51.6, 45.1 (np), 44.7 (np), 42.5 (np), 41.7 (np), 41.4 (np), 29.7 (np), 28.6 (6C), 28.0 (np), 13.0. HRMS (ESI): m/z calculated for C34H49N5O8Na, [M + Na]+ 678.3479, found 678.3464.
benzyl(1-azido-4-(2-(3-(benzyloxy)-2-methyl-4-oxopyridin-1(4H)-yl)acetamido)butan-2-yl)carbamate (26a). Compound 26a was obtained by coupling compounds 9a (0.7 mmol) and 2 according to the general procedure (THF/DMF 11:1, 6 h) as a yellow pasty solid (312 mg, 86%) after purification by column chromatography on silica gel (EtOAc/MeOH 50:50). νmax: 3263, 3034, 2098, 1678, 1626, 1549, 1254, 1064, 738, 698 cm−1. 1H NMR (400 MHz, methanol-d4): δ 7.57 (d, 3J = 7.4 Hz, 1H), 7.36 (d, 3J = 7.7 Hz, 2H), 7.31–7.25 (m, 8H), 6.42 (d, 3J = 7.4 Hz, 1H), 5.03 (s, 2H), 5.00 (s, 2H), 4.63 (s, 2H), 3.75–3.72 (m, 1H), 3.31–3.21 (m, 4H), 2.05 (s, 3H), 1.72–1.56 (m, 2H). Q-DEPT NMR (101 MHz, methanol-d4): δ 173.9 (np), 166.9 (np), 157.2 (np), 145.6 (np), 144.2 (np), 141.5, 137.1 (np), 137.0 (np), 128.7 (3C), 128.1 (2C), 127.9 (2C), 127.6, 127.3 (2C), 115.7, 73.3 (np), 66.2 (np), 55.4 (np), 54.4 (np), 48.8, 35.9 (np), 31.1 (np), 11.9. HRMS (ESI): m/z calculated for C27H30N6O5Na, [M + Na]+ 541.2175, found 541.2186.
benzyl(1-azido-4-(3-(3-(benzyloxy)-2-methyl-4-oxopyridin-1(4H)-yl)propanamido)butan-2-yl)carbamate (26b). Compound 26b was obtained by coupling compounds 9b (1.1 mmol) and 2 according to the general procedure (THF, 6 h) as a yellow pasty solid (410 mg, 70%) after purification by column chromatography on silica gel (EtOAc/MeOH 50:50). νmax: 3262, 3063, 2942, 2097, 1623, 1548, 1246, 1062, 735, 698 cm−1. 1H NMR (400 MHz, chloroform-d): δ 7.89 (br s, 1H), 7.30–7.24 (m, 10H), 7.17 (d, 3J = 7.5 Hz, 1H), 6.21 (d, 3J = 7.4 Hz, 1H), 5.92 (br s, 1H), 5.04 (s, 2H), 5.01 (s, 2H), 4.00–3.96 (m, 2H), 3.71–3.67 (m, 1H), 3.37–3.32 (m, 2H), 3.30–3.05 (m, 2H), 2.37–2.34 (m, 2H), 2.06 (s, 3H), 1.66–1.63 (m, 2H). Q-DEPT NMR (101 MHz, chloroform-d): δ 173.2 (np), 168.9 (np), 156.4 (np), 145.8 (np), 141.9 (np), 139.1, 137.2 (np), 137.1 (np), 128.9 (2C), 128.5 (3C), 128.4 (2C), 128.2 (2C), 128.1, 116.9, 73.4 (np), 68.8 (np), 54.8 (np), 50.1 (np), 49.1, 36.8 (np), 35.8 (np), 31.7 (np), 12.3. HRMS (ESI): m/z calculated for C28H32N6O5Na, [M + Na]+ 555.2332, found 555.2332.
di-tert-butyl(5-(4-(2-(3-(benzyloxy)-2-oxopyridin-1(2H)-yl)acetyl)piperazin-1-yl)-5-oxopentane-1,2-diyl) dicarbamate (27a). To a solution of compound 10a (1.9 mmol) in 1,4-dioxane (25 mL) were added NHS (1.5 equiv) and DCC (1.2 equiv). The mixture was stirred overnight at rt. After filtering off DCC urea and evaporating 1,4-dioxane, the activated intermediate (1.2 mmol) was added with a pre-stirred solution of compound 6 (1.2 equiv) and triethylamine (3 equiv) in CH2Cl2 (25 mL). The mixture was stirred at rt for 48 h and diluted with additional CH2Cl2 (2 × 25 mL). The organic phase was washed with 1 N HCl (2 × 25 mL), saturated NaHCO3 solution (2 × 25 mL) and brine (3 × 25 mL), dried over Na2SO4 and concentrated in vacuo to give compound 27a as a white solid (448 mg, 56%) yield after purification by column chromatography on silica gel (CH2Cl2/MeOH 95:5). mp 97 °C. νmax: 3324, 2978, 2936, 2851, 1697, 1651, 1601, 1436, 1247, 1163, 1046, 741 cm−1. 1H NMR (400 MHz, chloroform-d): δ 7.38 (d, 3J = 7.1 Hz, 2H), 7.32 (t, 3J = 7.5 Hz, 2H), 7.26 (t, 3J = 7.8 Hz, 1H), 7.27 (m, 1H), 6.65 (d, 3J = 7.5 Hz, 1H), 6.05 (t, 3J = 7.0 Hz, 1H), 5.06 (s, 2H), 5.03 (br s, 2H), 4.76–4.69 (m, 2H), 3.75–3.41 (m, 9H), 3.17–3.14 (m, 2H), 2.40–2.34 (m, 2H), 1.85–1.63 (m, 2H), 1.39 (s, 18H). Q-DEPT NMR (101 MHz, chloroform-d): δ 171.3 (np), 165.6 (np, 2C), 158.0 (np), 156.1 (np), 148.3 (np), 135.9 (np), 129.6, 128.5 (2C), 127.9, 127.2 (2C), 115.9, 104.8, 79.3 (np, 2C), 70.7 (np), 51.4, 49.2 (np), 45.2 (np), 44.8 (np), 44.4 (np), 42.0 (np), 41.4 (np), 29.7 (np), 28.3 (6C), 27.8 (np). HRMS (ESI): m/z calculated for C33H47N5O8Na, [M + Na]+ 664.3322, found 664.3324.
3.2.4. Condensation of Maltol Benzyl Ether with Amino Starting Blocks 4 and 5 in the Series IIa
For maltol benzyl ether, synthetic procedure and NMR spectra were in full accordance with those reported in the literature [10,12].
General procedure: To a solution of NaOH (0.5–2.6 equiv) in EtOH/H2O 1:1 to 1:2 (5–120 mL) were added compound 4 or 5 (0.3–3.4 mmol) and maltol benzyl ether (1.1–1.5 equiv). The mixture was heated under reflux for 18–24 h. After evaporating ethanol under reduced pressure, the aqueous phase was neutralized with a 6 N HCl solution and the resulting product was extracted with EtOAc (3 × 20–250 mL). The organic phase was washed with brine (3 × 20–250 mL), dried over Na2SO4 and concentrated in vacuo to give compound 24d or 24e.
di-tert-butyl (6-(3-(benzyloxy)-2-methyl-4-oxopyridin-1(4H)-yl)hexane-1,2-diyl)dicarbamate (24d). Compound 24d was obtained by coupling compound 4 (3.4 mmol) and maltol benzyl ether (1.5 equiv) according to the general procedure (NaOH (0.5 equiv), EtOH/H2O 1:1, 24 h) as a yellow pasty solid (1.1 g, 61%) after purification by column chromatography on silica gel (EtOAc/MeOH 90:10). 1H NMR (400 MHz, chloroform-d): δ 7.38 (d, 3J = 6.7 Hz, 2H), 7.32–7.26 (m, 3H), 7.16 (d, 3J = 7.5 Hz, 1H), 6.39 (d, 3J = 7.5 Hz, 1H), 5.03 (s, 2H), 4.94 (br s, 2H), 3.71–3.76 (m, 2H), 3.61–3.57 (m, 1H), 3.163.12 (m, 2H), 2.06 (s, 3H), 1.66–1.55 (m, 2H), 1.40–1.35 (m, 22H). Q-DEPT NMR (101 MHz, chloroform-d): δ 173.5 (np), 156.6 (np, 2C), 146.4 (np), 141.0 (np), 138.3, 137.9 (np), 129.3 (2C), 128.4 (2C), 128.1, 117.5, 79.7 (np, 2C), 73.1 (np), 53.9 (np), 51.2, 44.7 (np), 32.6 (np), 30.9 (np), 28.5 (6C), 23.0 (np), 12.5. HRMS (ESI): m/z calculated for C29H44N3O6, [M + H]+ 530.3230, found 530.3245.
di-tert-butyl(11-(3-(benzyloxy)-2-methyl-4-oxopyridin-1(4H)-yl)undecane-1,2-diyl)dicarbamate (24e). Compound 24e was obtained by coupling compound 5 (0.3 mmol) and maltol benzyl ether (1.1 equiv) according to the general procedure (NaOH (2.6 equiv), EtOH/H2O 1:2, 18 h) as an orange oil (113 mg, 63%) after purification by column chromatography on silica gel (EtOAc/MeOH 90:10). νmax: 2975, 2928, 2856, 1695, 1625, 1514, 1364, 1245, 1164, 1061, 730, 625 cm−1. 1H NMR (400 MHz, chloroform-d): δ 7.38 (dd, 3J = 7.6 Hz, 4J = 1.8 Hz, 2H), 7.29–7.26 (m, 3H), 7.16 (d, 3J = 7.5 Hz, 1H), 6.40 (d, 3J = 7.5 Hz, 1H), 5.20 (s, 2H), 4.96 (br s, 1H), 4.70 (br s, 1H), 3.69 (t, 3J = 6.1 Hz, 2H), 3.60–3.56 (m, 1H), 3.17–3.13 (m, 2H), 2.05 (s, 3H), 1.62-1.57 (m, 2H), 1.41 (s, 18H), 1.34–1.23 (m, 14H). 13C NMR (101 MHz, chloroform-d): δ 173.5, 156.8, 156.5, 146.3, 140.8, 138.3, 137.9, 129.4 (2C), 128.4 (2C), 128.2, 117.5, 79.5 (2C), 73.2, 54.1, 51.5, 45.1, 33.2, 31.0, 29.6, 29.5, 29.4, 29.3, 28.6 (6C), 26.5, 26.0, 12.6. HRMS (ESI): m/z calculated for C34H54N3O6, [M + H]+ 600.4013, found 600.4024.
3.2.5. Nucleophilic Substitution of Iodo Starting Blocks 7 and 8 by 3,2-HOPO Benzyl Ether in the Series IIa
For 3,2-HOPO benzyl ether, synthetic procedure and NMR spectra were in full accordance with those reported in the literature [13].
General procedure: To a solution of 3,2-HOPO benzyl ether (0.3–0.6 mmol) in DMF (2–3 mL) cooled at 0 °C under argon was added a NaH 60% dispersion in mineral oil (1 equiv). After stirring at rt for 20 min, the mixture was cooled back to 0 °C and compound 7 or 8 (1 equiv) was introduced. The mixture was further stirred at rt for 2 h. The reaction was quenched with a saturated aqueous NH4Cl solution (5–10 mL). After evaporating DMF, the resulting product was extracted with EtOAc (3 × 15 mL). The organic phase was washed with brine (3 × 15 mL), dried over Na2SO4 and concentrated in vacuo to give compound 27c or 27d.
di-tert-butyl (6-(3-(benzyloxy)-2-oxopyridin-1(2H)-yl)hexane-1,2-diyl)dicarbamate (27c). Compound 27c was obtained by coupling 3,2-HOPO benzyl ether (0.3 mmol) and compound 7 according to the general procedure as a yellow oil (93 mg, 72%) after purification by column chromatography on silica gel (CH2Cl2/MeOH 95:5). νmax: 3316, 2974, 2930, 1697, 1651, 1599, 1514, 1365, 1248, 1169, 1057, 911, 734, 634 cm−1. 1H NMR (400 MHz, chloroform-d): δ 7.34 (d, 3J = 7.3 Hz, 2H), 7.26 (t, 3J = 6.1 Hz, 2H), 7.20 (t, 3J = 7.2 Hz, 1H), 6.80 (dd, 3J = 6.9 Hz, 4J = 1.6 Hz, 1H), 6.55 (dd, 3J = 7.4 Hz, 4J = 1.6 Hz, 1H), 5.92 (t, J = 7.1 Hz, 1H), 5.01 (s, 2H), 4.99 (br s, 1H), 4.82 (br s, 1H), 3.86 (t, J = 7.1 Hz, 2H), 3.53–3.49 (m, 1H), 3.09–3.05 (m, 2H), 1.69–1.66 (m, 2H), 1.52–1.43 (m, 2H), 1.33 (s, 18H), 1.32–1.25 (m, 2H). 13C NMR (101 MHz, chloroform-d): δ 158.2, 156.8, 156.4, 149.0, 136.5, 129.1, 128.6 (2C), 128.1, 127.4 (2C), 115.7, 104.8, 79.4 (2C), 70.8, 51.4, 49.6, 44.7, 32.5, 29.1, 28.5 (6C), 23.0. HRMS (ESI): m/z calculated for C28H41N3O6Na, [M + Na]+ 538.2893, found 538.2889.
di-tert-butyl (11-(3-(benzyloxy)-2-oxopyridin-1(2H)-yl)undecane-1,2-diyl)dicarbamate (27d). Compound 27d was obtained by coupling 3,2-HOPO benzyl ether (0.6 mmol) and compound 8 according to the general procedure as an off-white solid (232 mg, 62%) after purification by column chromatography on silica gel (EtOAc/Cyclohexane 80:20). mp 72 °C. νmax: 3360, 2980, 2922, 2853, 1682, 1649, 1595, 1525, 1456, 1367, 1239, 1163, 1051, 751, 647 cm−1. 1H NMR (400 MHz, chloroform-d): δ 7.41 (d, 3J = 7.3 Hz, 2H), 7.32 (t, 3J = 7.2 Hz, 2H), 7.26 (t, 3J = 7.2 Hz, 1H), 6.86 (dd, 3J = 6.9 Hz, 4J = 1.7 Hz, 1H), 6.61 (dd, 3J = 7.3 Hz, 4J = 1.1 Hz, 1H), 5.98 (t, 3J = 6.7 Hz, 1H), 5.09 (s, 2H), 4.92 (br s, 1H), 4.62 (br s, 1H), 3.92 (t, 3J = 2.8 Hz, 2H), 3.59–3.55 (m, 1H), 3.16–3.12 (m, 2H), 1.74–1.70 (m, 2H), 1.41 (s, 20H), 1.28–1.23 (m, 12H). 13C NMR (101 MHz, chloroform-d): δ 158.3, 156.7, 156.4, 149.1, 136.7, 129.3, 128.7 (2C), 128.1, 127.5 (2C), 115.7, 104.7, 79.4 (2C), 70.9, 50.1, 45.1, 33.2, 29.6, 29.5 (2C), 29.4, 29.3, 28.8, 28.6 (6C), 26.8, 26.0. HRMS (ESI): m/z calculated for C33H51N3O6Na, [M + Na]+ 608.3676, found 608.3682.
3.2.6. Synthesis of Piperazine-1,4-Dialkyl Intermediate 27e from Piperazine-1,4-Diamide Analog 27b in the Series IIb
di-tert-butyl(5-(4-(3-(3-(benzyloxy)-2-oxopyridin-1(2H)-yl)propyl)piperazin-1-yl)pentane-1,2-diyl) dicarbamate (27e). To a solution of compound 27b (1 mmol) in THF (100 mL) was added dropwise a 2 M BH3.Me2S solution (5 equiv) in THF. The mixture was heated under reflux for 2 h. After cooling to rt, the reaction was quenched with methanol (50 mL) and the mixture was further heated under reflux for 18 h. The solvents were evaporated and the residue was taken up in EtOH/1 N NaOH 5:1 (30 mL). After heating under reflux for 2 h, the ethanol was removed under reduced pressure and the aqueous phase was extracted with EtOAc (3 × 50 mL). The organic phase was washed with brine (3 × 50 mL), dried over Na2SO4 and concentrated in vacuo to give compound 27e as a colorless oil (276 mg, 44%) after purification by column chromatography on silica gel (EtOAc/MeOH 50:50). νmax: 3330, 2933, 1691, 1650, 1515, 1364, 1246, 1161, 739 cm−1. 1H NMR (400 MHz, chloroform-d): δ 7.40 (d, 3J = 7.3 Hz, 2H), 7.32 (t, 3J = 7.2 Hz, 2H), 7.26 (t, 3J = 7.8 Hz, 1H), 6.93 (d, 3J = 6.8 Hz, 1H), 6.61 (d, 3J = 7.4 Hz, 1H), 5.96 (t, 3J = 7.1 Hz, 1H), 5.27 (s, 2H), 5.25 (br s, 1H), 5.10–5.06 (m, 2H), 4.98 (br s, 1H), 3.99 (t, 3J = 6.8 Hz, 2H), 3.59–3.55 (m, 1H), 3.16–3.12 (m, 2H), 2.43–2.31 (m, 10H), 1.92 (t, 3J = 6.8 Hz, 2H), 1.54–1.52 (m, 2H), 1.40 (m, 20H). Q-DEPT NMR (101 MHz, chloroform-d): δ 158.5 (np, 2C), 149.0 (np), 136.8 (np), 129.8, 128.7 (2C), 128.1, 127.5 (2C), 115.7, 104.5, 79.4 (2C), 70.9 (np), 58.2 (np), 54.8 (np, 2C), 53.4 (np), 53.0 (np), 51.2, 48.2 (np), 45.1 (np), 30.7 (np), 29.9 (np), 28.6 (6C), 26.0 (np), 23.2 (np). HRMS (ESI): m/z calculated for C34H54N5O6, [M + H]+ 628.4074, found 628.4080.
3.2.7. Debenzylation of Hydroxy Group of Derivatives 24a-e and 27a-e and Synthesis of Final Products Ia-3 and Ia-4 by Catalytic Hydrogenation
General procedure: To a solution of compound 24a-e, 27a-e or 26a-b (0.2–1.4 mmol) in dry methanol (5–20 mL) was added Pd/C or Pd(OH)2/C (10% w/w). The mixture was placed under H2 and stirred for 3–48 h at rt. After filtering the catalyst, the methanol was evaporated to give compound 25a-e, 28a-e, Ia-3 or Ia-4.
di-tert-butyl(5-(2-(3-hydroxy-2-methyl-4-oxopyridin-1(4H)-yl)acetamido)pentane-1,2-diyl)dicarbamate (25a). Compound 25a was obtained from compound 24a (0.7 mmol) according to the general procedure (Pd/C, 6 h) as a white solid (263 mg, 78%). mp 138 °C. νmax: 3350, 2976, 1682, 1508, 1246, 1162, 666 cm−1. 1H NMR (400 MHz, chloroform-d): δ 7.49 (d, 3J = 4.8 Hz, 1H), 6.33 (d, 3J = 4.8 Hz, 1H), 4.70 (s, 2H), 3.53–3.51 (m, 1H), 3.19–3.17 (m, 2H), 3.07–2.91 (m, 2H), 2.26 (s, 3H), 1.561.44 (m, 4H), 1.42 (s, 18H). Q-DEPT NMR (400 MHz, chloroform-d): δ 169.9 (np), 167.1 (np), 157.3 (np), 157.0 (np), 145.5 (np), 139.0, 131.9 (np), 111.1, 78.6 (np, 2C), 55.5 (np), 50.5, 44.1 (np), 39.2 (np), 29.6 (np), 27.4 (6C), 25.4 (np), 10.7. HRMS (ESI): m/z calculated for C23H38N4O7Na, [M + Na]+ 505.2638, found 505.2636.
di-tert-butyl(6-(2-(3-hydroxy-2-methyl-4-oxopyridin-1(4H)-yl)acetamido)hexane-1,2-diyl)dicarbamate (25b). Compound 25b was obtained from compound 24b (0.4 mmol) according to the general procedure (Pd/C, 6 h) as a white solid (141 mg, 71%). mp 115 °C. νmax: 3346, 2979, 2934, 1676, 1510, 1245, 1161, 653 cm−1. 1H NMR (400 MHz, chloroform-d): δ 7.57 (d, 3J = 4.8 Hz, 1H), 6.41 (d, 3J = 4.8 Hz, 1H), 4.77 (s, 2H), 3.59–3.55 (m, 1H), 3.14–3.11 (m, 2H), 3.02–2.98 (m, 2H), 2.34 (s, 3H), 1.58–1.49 (m, 2H), 1.42–1.38 (m, 20H), 1.39–1.35 (m, 2H). Q-DEPT NMR (400 MHz, chloroform-d): δ 169.9 (np), 167.1 (np), 157.3 (np), 157.0 (np), 145.5 (np), 139.0, 131.9 (np), 111.1, 78.6 (np, 2C), 55.5 (np), 50.7, 44.0 (np), 39.1 (np), 31.6 (np), 28.7 (np), 27.4 (6C), 22.9 (np), 10.7. HRMS (ESI): m/z calculated for C24H40N4O7Na, [M + Na]+ 519.2795, found 519.2789.
di-tert-butyl(5-(4-(2-(3-hydroxy-2-methyl-4-oxopyridin-1(4H)-yl)acetyl)piperazin-1-yl)-5-oxopentane -1,2-diyl)dicarbamate (25c) Compound 25c was obtained from compound 24c (0.4 mmol) according to the general procedure (Pd/C, 48 h) as a white solid (218 mg, 100%). mp 96 °C. νmax: 3295, 1631, 1511, 1435, 1363, 1243, 1163, 1017, 753 cm−1. 1H NMR (400 MHz, chloroform-d): δ 7.31–7.27 (m, 1H), 6.37–6.33 (m, 1H), 5.98 (br s, 2H), 5.13 (br s, 1H), 4.88 (s, 2H), 3.67–3.43 (m, 9H), 3.16–3.12 (m, 2H), 2.37–2.33 (m, 2H), 2.17 (s, 3H), 1.80–1.63 (m, 2H), 1.40 (s, 18H). Q-DEPT NMR (101 MHz, chloroform-d): δ 171.6 (np), 168.9 (np), 168.6 (np), 164.5 (np), 156.9 (np), 142.8 (np), 138.6, 128.5 (np), 111.5, 79.6 (np, 2C), 55.0 (np), 50.7, 45.2 (np), 44.9 (np), 44.6 (np), 42.1 (np), 41.5 (np), 29.9 (np), 28.4 (6C), 28.1 (np), 12.2. HRMS (ESI): m/z calculated for C27H43N5O8Na, [M + Na]+ 588.3009, found 588.3002.
di-tert-butyl (6-(3-hydroxy-2-methyl-4-oxopyridin-1(4H)-yl)hexane-1,2-diyl)dicarbamate (25d). Compound 25d was obtained from compound 24d (1.4 mmol) according to the general procedure (Pd/C, 8 h) as an orange solid (560 mg, 91%). mp 60 °C. νmax: 3318, 2975, 1687, 1506, 1363, 1242, 1161, 1038, 826 cm−1. 1H NMR (400 MHz, chloroform-d): δ 7.88–7.84 (m, 1H), 7.03–7.00 (m, 2H), 5.19 (br s, 1H), 5.11 (br s, 1H), 4.21–4.17 (m, 2H), 3.61–3.57 (m, 1H), 3.15–3.11 (m, 2H), 2.51 (s, 3H), 1.84–1.78 (m, 2H), 1.40–1.37 (m, 22H). 13C NMR (101 MHz, chloroform-d): δ 161.5, 157.1, 156.6, 144.5, 138.4, 137.5, 112.3, 79.6 (2C), 56.3, 51.2, 44.6, 32.3, 30.3, 28.6 (6C), 22.8, 12.8. HRMS (ESI): m/z calculated for C22H38N3O6, [M + H]+ 440.2761, found 440.2749.
di-tert-butyl (11-(3-hydroxy-2-methyl-4-oxopyridin-1(4H)-yl)undecane-1,2-diyl)dicarbamate (25e). Compound 25e was obtained from compound 24e (0.2 mmol) according to the general procedure (Pd/C, 4 h) as a yellow oil (64 mg, 84%). νmax: 2928, 2855, 1694, 1575, 1507, 1454, 1363, 1242, 1162, 1036, 830, 776, 670, 629 cm−1. 1H NMR (400 MHz, chloroform-d): δ 7.29 (d, 3J = 5.6 Hz, 1H), 6.45 (d, 3J = 7.6 Hz, 1H), 5.49 (br s, 1H), 5.08 (br s, 1H), 4.80 (br s, 1H), 3.88 (t, 3J = 7.9 Hz, 2H), 3.64–3.60 (m, 1H), 3.19–3.15 (m, 2H), 2.40 (s, 3H), 1.74–1.59 (m, 2H), 1.43 (s, 18H), 1.31–1.25 (m, 14H). 13C NMR (101 MHz, chloroform-d): δ 169.0, 156.5, 156.3, 146.4, 136.9, 129.1, 111.5, 79.5 (2C), 54.4, 51.4, 45.0, 33.2, 31.1, 29.5, 29.4 (2C), 29.2, 28.6 (6C), 26.5, 26.0, 12.2. HRMS (ESI): m/z calculated for C27H48N3O6, [M + H]+ 510.3543, found 510.3540.
di-tert-butyl(5-(4-(2-(3-hydroxy-2-oxopyridin-1(2H)-yl)acetyl)piperazin-1-yl)-5-oxopentane-1,2-diyl)dicarbamate (28a). Compound 28a was obtained from compound 27a (0.5 mmol) according to the general procedure (Pd/C, 48 h) as an off-white solid (246 mg, 95%). mp 104 °C. νmax: 3333, 2933, 1648, 1598, 1601, 1439, 1246, 1161, 1027, 871, 740, 607 cm−1. 1H NMR (400 MHz, chloroform-d): δ 6.82–6.78 (m, 2H), 6.18 (t, 3J = 7.1 Hz, 1H), 5.03 (br s, 2H), 4.854.71 (m, 2H), 3.86–3.38 (m, 10H), 3.21–3.15 (m, 2H), 2.46–2.32 (m, 2H), 1.92–1.64 (m, 2H), 1.40 (s, 18H). Q-DEPT NMR (101 MHz, chloroform-d): δ 171.6 (np), 165.4 (np), 158.9 (np), 157.2 (np), 156.6 (np), 146.7 (np), 128.1, 114.9, 107.2, 79.8 (np, 2C), 51.6, 49.9 (np), 45.2 (np), 44.8 (np), 42.5 (np), 41.5 (np), 34.1 (np), 30.0 (np), 28.6 (6C), 28.2 (np). HRMS (ESI): m/z calculated for C26H41N5O8Na, [M + Na]+ 574.2853, found 574.2832.
di-tert-butyl (6-(3-hydroxy-2-oxopyridin-1(2H)-yl)hexane-1,2-diyl)dicarbamate (28c). Compound 28c was obtained from compound 27c (0.2 mmol) according to the general procedure (Pd/C, 3 h) as a yellow pasty solid (56 mg, 66%). νmax: 3348, 2978, 2931, 1680, 1591, 1525, 1243, 1161, 1061, 738, 643 cm−1. 1H NMR (400 MHz, chloroform-d): δ 6.79 (d, 3J = 7.1 Hz, 2H), 6.14 (t, 3J = 7.1 Hz, 1H), 5.02 (br s, 1H), 4.91 (br s, 1H), 4.05–3.92 (m, 2H), 3.60–3.56 (m, 1H), 3.18–3.14 (m, 2H), 1.81–1.74 (m, 2H), 1.73–1.50 (m, 2H), 1.44–1.40 (m, 20H). 13C NMR (101 MHz, chloroform-d): δ 158.9 (2C), 156.5, 146.8, 127.1, 113.8, 107.2, 79.6 (2C), 51.4, 49.4, 45.0, 30.0, 29.4, 28.7 (6C), 22.8. HRMS (ESI): m/z calculated for C21H35N3O6Na, [M + Na]+ 448.2424, found 448.2426.
di-tert-butyl (11-(3-hydroxy-2-oxopyridin-1(2H)-yl)undecane-1,2-diyl)dicarbamate (28d). Compound 28d was obtained from compound 27d (0.3 mmol) according to the general procedure (Pd/C, 3 h) as a brown oil (103 mg, 78%). νmax: 3344, 2926, 2856, 1690, 1596, 1516, 1365, 1245, 1162, 1052, 755 cm−1. 1H NMR (400 MHz, chloroform-d): δ 6.80–6.76 (m, 2H), 6.13 (t, 3J = 7.2 Hz, 1H), 4.95 (br s, 1H), 4.69 (br s, 1H), 3.97–3.93 (m, 2H), 3.60–3.56 (m, 1H), 3.16–3.12 (m, 2H), 1.75–1.71 (m, 2H), 1.43–1.39 (m, 26H), 1.31–1.27 (m, 6H). 13C NMR (101 MHz, chloroform-d): δ 158.7, 156.8, 156.5, 146.8, 127.2, 113.8, 106.9, 79.5 (2C), 51.5, 50.3, 45.2, 33.2, 29.7, 29.6 (2C), 29.5, 29.4, 29.3, 28.6 (6C), 26.7, 26.0. HRMS (ESI): m/z calculated for C26H45N3O6Na, [M + Na]+ 518.3206, found 518.3207.
di-tert-butyl(5-(4-(3-(3-hydroxy-2-oxopyridin-1(2H)-yl)propyl)piperazin-1-yl)pentane-1,2-diyl)dicarbamate (28e). Compound 28e was obtained from compound 27e (0.4 mmol) according to the general procedure (Pd/C, 6 h) as a brown pasty solid (202 mg, 94%). νmax: 3330, 2975, 1686, 1517, 1364, 1246, 1161, 752 cm−1. 1H NMR (400 MHz, chloroform-d): δ 6.83 (d, 3J = 6.8 Hz, 1H), 6.76 (d, 3J = 7.3 Hz, 1H), 6.11 (t, 3J = 7.1 Hz, 1H), 5.17 (br s, 1H), 5.08 (br s, 1H), 4.02 (t, 3J = 6.9 Hz, 2H), 3.58–3.54 (m, 1H), 3.15–3.12 (m, 4H), 2.91–2.83 (m, 6H), 2.57–2.56 (m, 2H), 2.14–2.10 (m, 2H), 1.80–1.78 (m, 2H), 1.39–1.35 (m, 22H). Q-DEPT NMR (101 MHz, chloroform-d): δ 159.0 (np), 157.2 (np), 156.3 (np), 147.0 (np), 127.4, 114.3, 107.1, 79.7 (np, 2C), 56.9 (np), 54.4 (np, 2C), 51.1, 50.2 (np), 48.4 (np, 2C), 44.7 (np), 30.1 (np), 28.6 (6C), 27.3 (np), 25.5 (np), 21.2 (np). HRMS (ESI): m/z calculated for C27H48N5O6, [M + H]+ 538.3605, found 538.3611.
N-(3,4-diaminobutyl)-2-(3-hydroxy-2-methyl-4-oxopyridin-1(4H)-yl)acetamide dihydrochloride (Ia-3). Compound Ia-3 was obtained from compound 26a (0.2 mmol) according to the general procedure (Pd/C, 48 h) as a colorless oil (82 mg, 100%). νmax: 3335, 3265, 3210, 3112, 2941, 1658, 1631, 1556, 1500, 1379, 1247, 639 cm−1. 1H NMR (400 MHz, methanol-d4): δ 7.54 (d, 3J = 7.0 Hz, 1H), 6.39 (d, 3J = 7.2 Hz, 1H), 4.83–4.75 (m, 2H), 3.40–3.14 (m, 3H), 2.94–2.53 (m, 2H), 2.31 (s, 3H), 1.75–1.47 (m, 2H). Q-DEPT NMR (101 MHz, methanol-d4): δ 171.3 (np), 168.8 (np), 147.0 (np), 140.3, 133.5 (np), 112.6, 56.9 (np), 50.5, 39.1 (np), 37.6 (np), 35.7 (np), 12.1. HRMS (ESI): m/z calculated for C12H21N4O3, [M + H]+ 269.1614, found 269.1617. LCMS: tr 0.9 min (98% A/2% B), 190 nm: purity > 86%.
N-(3,4-diaminobutyl)-3-(3-hydroxy-2-methyl-4-oxopyridin-1(4H)-yl)propanamide dihydrochloride (Ia-4). Compound Ia-4 was obtained from compound 26b (0.4 mmol) according to the general procedure (Pd(OH)2/C, 48 h) as a white pasty solid (104 mg, 98%). νmax: 3322, 3244, 3073, 2927, 1626, 1555, 1500, 1353, 1238, 824, 613 cm−1. 1H NMR (400 MHz, methanol-d4): δ 7.52 (d, 3J = 7.2 Hz, 1H), 6.32 (d, 3J = 7.2 Hz, 1H), 4.30 (t, 3J = 6.5 Hz, 2H), 3.30–3.12 (m, 3H), 2.63–2.59 (m, 2H), 2.53–2.44 (m, 2H), 2.42 (s, 3H), 1.54–1.25 (m, 2H). Q-DEPT NMR (101 MHz, methanol-d4): δ 171.8 (np), 171.0 (np), 147.8 (np), 139.0, 132.9 (np), 112.7, 51.3, 48.1 (np), 37.7 (np), 37.1 (np), 35.4 (np), 12.0. HRMS (ESI): m/z calculated for C13H23N4O3, [M + H]+ 283.1770, found 283.1762. LCMS: tr 0.9 min (98% A/2% B), 190 nm: purity >77%.
3.2.8. Final N,N’-di-Boc Removal of Compounds 25a-e and 28a-e
General procedure: To a solution of compound 25a-e or 28a-e (0.1–0.4 mmol) dissolved in 1,4–dioxane (2–5 mL) was added a 4 N HCl solution (20 equiv) in 1,4-dioxane. The mixture was stirred at rt for 2–48 h and concentrated under reduced pressure. The residue was washed with Et2O (2 × 2–5 mL) that was then evaporated in vacuo to give compound Ia-1, Ia-2, Ib-1, Ib-2, IIa-1 to IIa-4 or IIb-1 as precipitate.
N-(4,5-diaminopentyl)-2-(3-hydroxy-2-methyl-4-oxopyridin-1(4H)-yl)acetamide dihydrochloride (Ia-1). Compound Ia-1 was obtained from compound 25a (0.2 mmol) according to the general procedure (4 h) as a white solid (99 mg, 100%). mp 249 °C. νmax: 3299, 3205, 3056, 2929, 2866, 1678, 1568, 1508, 1340, 1270, 1039, 833, 633 cm−1. 1H NMR (400 MHz, methanol-d4): δ 8.22 (d, 3J = 5.7 Hz, 1H), 7.16 (d, 3J = 5.8 Hz, 1H), 5.29 (s, 2H), 3.66–3.61 (m, 1H), 3.37–3.32 (m, 4H), 2.54 (s, 3H), 1.95–1.60 (m, 4H). Q-DEPT NMR (400 MHz, methanol-d4): δ 167.1 (np), 160.4 (np), 144.8 (np), 144.0 (np), 149.0, 111.4, 59.1 (np), 50.6, 42.1 (np), 39.9 (np), 28.9 (np), 25.8 (np), 13.1. HRMS (ESI): m/z calculated for C13H23N4O3, [M + H]+ 283.1770, found 283.1772. LCMS: tr 0.8 min (98% A/2% B), 190 nm: purity >99%.
N-(5,6-diaminohexyl)-2-(3-hydroxy-2-methyl-4-oxopyridin-1(4H)-yl)acetamide dihydrochloride (Ia-2). Compound Ia-2 was obtained from compound 25b (0.2 mmol) according to the general procedure (48 h) as a white pasty solid (76 mg, 100%). νmax: 3214, 3044, 2917, 2856, 1667, 1632, 1502, 1338, 1254, 1117, 1034, 869, 614 cm−1. 1H NMR (400 MHz, methanol-d4): δ 8.19 (d, 3J = 6.7 Hz, 1H), 7.16 (d, 3J = 6.6 Hz, 1H), 5.26 (s, 2H), 3.62–3.60 (m, 1H), 3.34–3.29 (m, 4H), 2.52 (s, 3H), 1.90–1.72 (m, 2H), 1.66–1.61 (m, 2H), 1.59–1.53 (m, 2H). Q-DEPT NMR (400 MHz, methanol-d4): δ 166.9 (np), 160.4 (np), 144.8 (np), 144.0 (np), 140. 9, 111.4, 59.2 (np), 50.9, 42.1 (np), 40.2 (np), 31.1 (np), 29.7 (np), 23.2 (np), 13.1. HRMS (ESI): m/z calculated for C14H25N4O3, [M + H]+ 297.1927, found 297.1913. LCMS: tr 0.9 min (98% A/2% B), 190 nm: purity > 99%.
1-(2-(4-(4,5-diaminopentanoyl)piperazin-1-yl)-2-oxoethyl)-3-hydroxy-2-methylpyridin-4(1H)-one dihydrochloride (Ib-1). Compound Ib-1 was obtained from compound 25c (0.3 mmol) according to the general procedure (36 h) as a white solid (158 mg, 100%). mp 177 °C. νmax: 3289, 2909, 2854, 2655, 1628, 1441, 1336, 1224, 1117, 1018, 869, 812 cm−1. 1H NMR (400 MHz, water-d2): δ 7.96 (d, 3J = 6.8 Hz, 1H), 7.15 (d, 3J = 6.9 Hz, 1H), 5.54 (s, 2H), 3.85–3.76 (m, 3H), 3.73–3.69 (m, 6H), 3.42–3.40 (m, 2H), 2.81–2.76 (m, 2H), 2.48 (s, 3H), 2.18–2.05 (m, 2H). Q-DEPT NMR (101 MHz, water-d2): δ 172.4 (np), 165.2 (np), 159.4 (np), 143.4 (np), 142.5 (np), 139.9, 111.0, 57.3 (np), 48.9, 44.6 (np), 44.2 (np), 42.1 (np), 41.3 (np), 40.7 (np), 28.4 (np), 25.3 (np), 12.5. HRMS (ESI): m/z calculated for C17H28N5O4, [M + H]+ 366.2141, found 366.2133. LCMS: tr 0.9 min (98% A/2% B), 190 nm: purity >71%.
1-(2-(4-(4,5-diaminopentanoyl)piperazin-1-yl)-2-oxoethyl)-3-hydroxypyridin-2(1H)-one dihydrochloride (Ib-2). Compound Ib-2 was obtained from compound 28a (0.3 mmol) according to the general procedure (6 h) as an off-white solid (181 mg, 100%). mp 181 °C. νmax: 3034, 2917, 2853, 1586, 1442, 1216, 1117, 1014, 870, 618 cm−1. 1H NMR (400 MHz, water-d2): δ 7.13–7.07 (m, 2H), 6.46–6.42 (m, 1H), 5.01 (s, 2H), 3.94–3.86 (m, 1H), 3.72–3.52 (m, 8H), 3.34–3.17 (m, 2H), 2.77–2.75 (m, 2H), 2.12–2.07 (m, 2H). Q-DEPT NMR (101 MHz, water-d2): δ 172.3 (np), 167.1 (np), 158.8 (np), 145.4 (np), 130.1, 119.2, 108.3, 51.1 (np), 48.9, 44.6 (np), 44.2 (np), 41.8 (np), 41.4 (np), 40.7 (np), 28.4 (np), 25.3 (np). HRMS (ESI): m/z calculated for C16H26N5O4, [M + H]+ 352,1985, found 352,1981. LCMS: tr 1.0 min (98% A/2% B), 190 nm: purity > 84%.
1-(5,6-diaminohexyl)-3-hydroxy-2-methylpyridin-4(1H)-one dihydrochloride (IIa-1). Compound IIa-1 was obtained from compound 25d (0.4 mmol) according to the general procedure (3 h) as a off-white pasty solid (110 mg, 86%). νmax: 3355, 2973, 2932, 1633, 1509, 1339, 1249, 1163, 1048 cm−1. 1H NMR (400 MHz, methanol-d4): δ 8.25 (d, 3J = 7.0 Hz, 1H), 7.13 (d, 3J = 6.9 Hz, 1H), 4.42 (t, 3J = 7.6 Hz, 2H), 3.68–3.61 (m, 1H), 3.31–3.27 (m, 2H), 2.64 (s, 3H), 1.96–1.77 (m, 4H), 1.62–1.54 (m, 2H). Q-DEPT NMR (101 MHz, methanol-d4): δ 159.5 (np), 145.0 (np), 143.1 (np), 139.3, 111.8, 57.4, 50.6, 42.1, 31.0, 30.7, 22.7, 12.9. HRMS (ESI): m/z calculated for C12H22N3O2, [M + H]+ 240.1712, found 240.1713. LCMS: tr 0.8 min (98% A/2% B), 190 nm: purity >99%.
1-(10,11-diaminoundecyl)-3-hydroxy-2-methylpyridin-4(1H)-one dihydrochloride (IIa-2). Compound IIa-2 was obtained from compound 25e (0.1 mmol) according to the general procedure (18 h) as a brown pasty solid (23 mg, 100%). νmax: 3373, 2925, 2855, 1630, 1506, 1336, 1257, 1032, 715, 635 cm−1. 1H NMR (400 MHz, water-d2): δ 8.05 (m, 1H), 7.12 (m, 1H), 4.35–4.31 (m, 2H), 3.65-3.61 (m, 1H), 3.35–3.34 (m, 2H), 2.61 (s, 3H), 1.85–1.67 (br s, 4H), 1.46–1.42 (m, 2H), 1.36–1.32 (m, 14H). 13C NMR (101 MHz, water-d2): δ 158.5, 142.2, 138.4, 120.0, 110.9, 56.8, 49.4, 40.7, 30.0, 29.4, 28.4, 28.3 (2C), 26.5, 25.3, 24.0, 12.2. HRMS (ESI): m/z calculated for C17H32N3O2, [M + H]+ 310.2495, found 310.2490. LCMS: tr 2.8 min (98% A/2% B), 190 nm: purity >99%.
1-(5,6-diaminohexyl)-3-hydroxypyridin-2(1H)-one dihydrochloride (IIa-3). Compound IIa-3 was obtained from compound 28c (0.1 mmol) according to the general procedure (18 h) as a brown pasty solid (8 mg, 60%). νmax: 3588, 3380, 1648, 1557, 1541, 673 cm−1. 1H NMR (400 MHz, methanol-d4): δ 7.30–7.23 (m, 1H), 6.97–6.93 (m, 1H), 6.46–6.36 (m, 1H), 4.19–4.14 (m, 2H), 3.63–3.59 (m, 1H), 3.30–3.24 (m, 2H), 1.99–1.76 (m, 4H), 1.57–1.45 (m, 2H). HRMS (ESI): m/z calculated for C11H20N3O2, [M + H]+ 226.1556, found 226.1557. LCMS: tr 0.8 min (98% A/2% B), 190 nm: purity >89%.
1-(10,11-diaminoundecyl)-3-hydroxypyridin-2(1H)-one dihydrochloride (IIa-4). Compound IIa-4 was obtained from compound 28d (0.1 mmol) according to the general procedure (18 h) as a brown pasty solid (28 mg, 74%). νmax: 3375, 2923, 2852, 1646, 1579, 1461, 1258, 1049, 750, 645cm−1. 1H NMR (400 MHz, water-d2): δ 7.24–7.20 (m, 1H), 7.07–7.03 (m, 1H), 6.44–6.40 (m, 1H), 4.03–3.99 (m, 2H), 3.66–3.62 (m, 1H), 3.38–3.34 (m, 2H), 1.75–1.71 (br s, 4H), 1.44–1.40 (m, 2H), 1.31–1.27 (m, 14H). 13C NMR (101 MHz, water-d2): δ 158.4, 145.3, 129.5, 118.5, 108.3, 50.4, 49.4, 40.8, 29.9, 28.5, 28.4, 28.3, 28.2, 28.1, 25.6, 24.0. HRMS (ESI): m/z calculated for C16H30N3O2, [M + H]+ 296.2338, found 296.2338. LCMS: tr 0.9 min (98% A/2% B), 190 nm: purity >91%.
1-(3-(4-(4,5-diaminopentyl)piperazin-1-yl)propyl)-3-hydroxypyridin-2(1H)-one dihydrochloride (IIb-1). Compound IIb-1 was obtained from compound 28e (0.3 mmol) according to the general procedure (2 h) as a off-white pasty solid (120 mg, 78%). νmax: 3365, 2924, 2852, 1647, 1537, 1270, 1068, 752 cm−1. 1H NMR (400 MHz, dimethylsulfoxide-d6): δ 8.77 (br s, 4H), 7.21 (d, 3J = 6.5 Hz, 1H), 6.72 (dd, 3J = 7.2, 1.7 Hz, 1H), 6.13 (t, 3J = 7.0 Hz, 1H), 4.47–4.11 (m, 2H), 4.04–4.01 (m, 2H), 3.89–3.66 (m, 4H), 3.51–3.41 (m, 4H), 3.39–3.32 (m, 1H), 3.19–3.04 (m, 4H), 2.14–2.11 (m, 2H), 1.97–1.83 (m, 2H), 1.76–1.67 (m, 2H). Q-DEPT NMR (101 MHz, dimethylsulfoxide-d6): δ 157.8 (np), 146.8 (np), 128.0, 115.0, 105.8, 50.2, 46.3 (np, 4C), 46.0 (np, 2C), 39.6 (np, 2C), 25.8 (np), 23.3 (np), 18.8 (np). HRMS (ESI): m/z calculated for C17H32N5O2, [M + H]+ 338.2556, found 338.2552. LCMS: tr 0.9 min (98% A/2% B), 190 nm: purity >86%.
3.3. Physicochemical Evaluations
3.3.1. Oxygen Radical Absorbance Capacity (ORAC) Assay
A fluorescein (FL) solution (12 nM, 150 µL) was introduced in a black 96-well plate (Dutscher, Brumath, France). Then, tested compounds (0.1–20 μM, 25 μL) or 6-hydroxy-2,5,7,8-tetramethylchroman-2-carboxylic acid (Trolox) standard (1–50 μM, 25 μL) dissolved in D-PBS were added to each well. The plate was allowed to equilibrate by incubating for a minimum of 30 min at 37 °C. Reactions were initiated by the addition of a freshly prepared 2,2’-azobis(2-methylpropionamidine) dihydrochloride (AAPH) solution (30 mM, 25 µL). The fluorescence (λEx: 485 nm; λEm: 520 nm) was measured using a thermostated Tecan Infinite® 200 PRO microplate reader every 90 s for 60 cycles. All reaction mixtures were prepared in triplicate, and at least three independent assays were performed for each sample. FL fluorescence decay curve in time allowed measuring AUC of tested products in comparison with the control corresponding to the absence of an antioxidant. ORACFL values at 10 µM were calculated with respect to the linear equation of trolox calibration curve (Net AUC vs. concentration) and expressed as µmol trolox equivalent (TE)/µmol of tested compound.
3.3.2. RCS Trapping Assay
Aqueous 40% MGO solution was diluted in water (200 mM, 1.25 mL) and MDA solution (200 mM, 1.25 mL) was freshly prepared by hydrolyzing malonaldehyde bis(diethyl acetal) (250 µmol) with 1 N HCl (2 equiv) at rt for 1 h under vigorous stirring. A stock solution of tested compounds (30 µmol) was also prepared in D-PBS (20 mM, 1.5 mL). Tested compounds (10 mM) were incubated with MGO or MDA (20 mM) at 37 °C for 24 h. The pH of the solution was adjusted to 7.4 using 0.02 N NaOH (final mixture volume, 1.25 mL). Samples (100 µL) were collected at regular time intervals (0.25, 0.5, 1, 5 and 24 h) and stored at −20 °C to stop the reaction. After leaving to rt, they were submitted to LC-LRMS analysis (generally, trFree scavengers: 0.8–1.3 min, trAdducts: 5.1–5.5 min). A blank solution without scavenger and a standard one with only scavenger were used as well. After identification of unreacted free scavenger and adducts on mass spectrum, AUC of total peak of adducts and remaining free scavenger peak were measured on a UV chromatogram to give the % of adduct formation.
3.3.3. Cu2+-Chelating Assay
Stock solutions of tested compounds (4.2 mM, 6.2 mL) and CuSO4.5H2O (0.25 mM, 100 mL for the assay and 0.5 mM, 20 mL for the calibration curve) were prepared in 10 mM hexamine/HCl buffer containing 10 mM KCl (pH 5.0) as well as aqueous solution of murexide (1 mM, 10 mL). Tested compounds (0.02, 0.05, 0.08, 0.1, 0.2, 0.5, 1 and 2 mM) were diluted in buffer (Q.S. to 1 mL) and incubated with CuSO4.5H2O (120 µM, 1 mL) at rt for 10 min. Murexide (48 µM, 0.1 mL), used as complexometric indicator was then added and the mixture was incubated for another 1 min at rt. Absorbance of the solution was recorded at 485 nm (λmax of Cu2+/murexide complex) and 520 nm (λmax of free murexide) using a Jasco V-650 UV/Vis spectrophotometer. A blank solution composed of buffer (2 mL) and water (0.1 mL) was required. Calibration curves (A485/A520 vs. Cu2+ concentration) were previously plotted using CuSO4.5H2O (0, 25, 50, 75, 100 and 125 µM) in buffer (Q.S. to 2 mL) and murexide solution (0.1 mL). Knowing the total quantity of metal ions introduced into the reaction mixture (control conditions without tested product), % Cu2+ chelation by tested compounds was estimated by difference.
3.4. Biological Evaluation
3.4.1. Cell Viability
The immortalized rat neuronal-like cell line PC12 Adh (CRL-1721.1, LGC, Molsheim, France) was derived from primary rat pheochromocytoma. PC12 cells were cultured in F-12K medium supplemented with 2.5% heat-inactivated fetal bovine serum (FBS, PAN biotech., Dutscher, Brumath, France), 15% heat-inactivated horse serum (HS, Life technologies SAS, Saint-Aubin, France), 100 IU/mL penicillin and 100 µg/mL streptomycin at 37 °C in humidified atmosphere containing 5% CO2.
Cell viability was assessed by measuring mitochondrial activity in the presence of 2-(2-methoxy-4-nitrophenyl)-3-(4-nitrophenyl)-5-(2,4-disulfophenyl)-2H-tetrazolium, monosodium salt (WST-8), that produces a water-soluble formazan dye upon bio-reduction in the presence of an electron carrier, 1-methoxy-5-methylphenazinium methyl sulphate (1-Methoxy PMS). Briefly, cells (5.103 cells/well) were seeded in 96-well plates (Corning, VWR, Fontenay-sous-bois, France) in 100 µL of appropriate complete medium. Once cells have reached 80% confluency, the medium was changed and cells were treated with various concentrations of tested compounds (10 µM or 100 µM) for 24 h. A positive control of cytotoxicity was used by adding 10% DMSO. The CCK8 solution (10 µL) was directly added to each well and incubated for another 1 h at 37 °C. Absorbance was recorded at 450 nm using a Perkin Elmer 2103 Envision® multilabel microplate reader and provided an estimation of formazan dye bioproduction that was directly proportional to the number of living cells. Cell viability was expressed as % of control (non-treated cells) and at least three independent experiments were performed in triplicate.
3.4.2. In Vitro MGO-Induced Apoptosis Inhibition in the Model AD Cell-Line PC12
MGO-induced apoptosis was measured by the detection of DNA fragmentation. Briefly, cells were pre-incubated with tested compounds (10 µM or 100 µM) dissolved in D-PBS for 1 h at 37 °C before adding MGO (1 mM) for another 24 h incubation. Apoptosis was evaluated by an ELISA assay for cytoplasmic histone-associated DNA fragments (mono- and oligonucleosomes), using a cell death detection kit from Roche Diagnostics (Meylan, France). Cell lysates were applied to a plate coated with an anti-histone antibody. A peroxidase labeled anti-DNA antibody was then added and detected with 2,2′-azino-bis(3-ethylbenzothiazoline-6-sulfonic acid) diammonium salt (ABTS) as a substrate. Reacting with hydrogen peroxide, it turned into a green soluble end-product whose optical density (OD) reflecting apoptosis level was read at 405 nm using a Perkin Elmer 2103 Envision® multilabel microplate reader. Cells incubated without MGO represented control conditions and a positive apoptosis standard was assessed in the presence of MGO alone.
4. Conclusions
In continuation of our preceding studies [8,9], two novel series Ia-b and IIa-b of hydroxypyridinone-diamine hybrids have been developed as multifunctional scavengers to thwart AD-triggering biometal-mediated vicious downward redox spiral. Eleven new final products have been synthesized in 7–11 steps and 2%–57% overall yields. This extended work allowed us to highlight the new lead compound IIa-3 bearing a C4 alkyl linker between the two pharmacophores. This derivative revealed preserved potent RCS, ROS and Cu2+-trapping capacities in comparison with previously described lead compound 1. In addition, the improvements of its Qikprop-predicted lipophilicity and ability to cross the blood brain barrier were correlated with a better efficacy to inhibit in vitro MGO-induced apoptosis in neuronal-like PC12 cells.
This new AGE/ALE inhibitor IIa-3 seems to be able to prevent biometal-mediated oxidative and carbonyl stress progression in this PC12 cell-line model. Further in vitro and in vivo biological investigations are required to confirm its therapeutic potential in Alzheimer ‘s disease.
5. Patents
The WIPO Patent Application WO 2017/006048 A1 is the result of the work reported in this manuscript.
Author Contributions
N.A.S. conceptualized the project. P.S. validated the study. N.A.S. and E.L. designed and synthesized all the HOPO-diamine hybrids and their precursors. E.L. and M.D. were in charge of structural characterization of all the described compounds. E.L. performed the prediction of ADME properties of newly synthesized products using QikProp, a Schrödinger software. E.L. designed and carried out RCS trapping and Cu2+-chelating assays. A.B. designed and carried out ORAC assay and biological evaluations. E.L., N.A.S. and P.S. wrote the manuscript. N.A.S. and P.S. supervised the project.
Funding
This research was funded by SATT Nord. Marine Duplantier is the recipient of the Hauts-de-France region grant.
Acknowledgments
We thank Sophie Da Nascimento from AGIR for the high-resolution mass spectrometry measurements.
Conflicts of Interest
The authors declare no conflict of interest.
References
- Nikseresht, S.; Bush, A.I.; Ayton, S. Treating Alzheimer’s disease by targeting iron. Br. J. Pharmacol. 2019, 176. [Google Scholar] [CrossRef] [PubMed]
- Masaldan, S.; Bush, A.I.; Devos, D.; Rolland, A.S.; Moreau, C. Striking while the iron is hot: Iron metabolism and ferroptosis in neurodegeneration. Free Radic. Biol. Med. 2019, 133, 221–233. [Google Scholar] [CrossRef] [PubMed]
- Cheignon, C.; Tomas, M.; Bonnefont-Rousselot, D.; Faller, P.; Hureau, C.; Collin, F. Oxidative stress and the amyloid beta peptide in Alzheimer’s disease. Redox Biol. 2018, 14, 450–464. [Google Scholar] [CrossRef] [PubMed]
- Ahmadi, S.; Zhu, S.; Sharma, R.; Wilson, D.J.; Kraatz, H.-B. Interaction of metal ions with tau protein. The case for a metal-mediated tau aggregation. J. Inorg. Biochem. 2019, 194, 44–51. [Google Scholar] [CrossRef] [PubMed]
- Batkulwar, K.; Godbole, R.; Banarjee, R.; Kassaar, O.; Williams, R.J.; Kulkarni, M.J. Advanced Glycation End Products Modulate Amyloidogenic APP Processing and Tau Phosphorylation: A Mechanistic Link between Glycation and the Development of Alzheimer’s Disease. ACS Chem. Neurosci. 2018, 9, 988–1000. [Google Scholar] [CrossRef] [PubMed]
- Angeloni, C.; Zambonin, L.; Hrelia, S. Role of Methylglyoxal in Alzheimer’s Disease. BioMed Res. Int. 2014, 2014, 238485. [Google Scholar] [CrossRef]
- Fica-Contreras, S.M.; Shuster, S.O.; Durfee, N.D.; Bowe, G.J.K.; Henning, N.J.; Hill, S.A.; Vrla, G.D.; Stillman, D.R.; Suralik, K.M.; Sandwick, R.K.; et al. Glycation of Lys-16 and Arg-5 in amyloid-β and the presence of Cu2+ play a major role in the oxidative stress mechanism of Alzheimer’s disease. JBIC J. Biol. Inorg. Chem. 2017, 22, 1211–1222. [Google Scholar] [CrossRef]
- Lohou, E.; Sasaki, N.A.; Boullier, A.; Sonnet, P. Multifunctional diamine AGE/ALE inhibitors with potential therapeutical properties against Alzheimer’s disease. Eur. J. Med. Chem. 2016, 122, 702–722. [Google Scholar] [CrossRef]
- Sasaki, N.A.; Sonnet, P.; Boullier, A.; Lohou, E. Vicinal Primary Diamines Associated with Metal and/or Free Radical Chelation Motifs, and Active Against Carbonyl and Oxidative Stress, and Use Thereof. WO 2017/006048 A1. U.S. Patent Application 15/742,276, 19 July 2018. [Google Scholar]
- Green, D.E.; Ferreira, C.L.; Stick, R.V.; Patrick, B.O.; Adam, M.J.; Orvig, C. Carbohydrate-Bearing 3-Hydroxy-4-pyridinonato Complexes of Gallium(III) and Indium(III). Bioconjug. Chem. 2005, 16, 1597–1609. [Google Scholar] [CrossRef]
- Gai, Y.; Hu, Z.; Rong, Z.; Ma, X.; Xiang, G. A Practical Route for the Preparation of 1, 4, 7-Triazacyclononanyl Diacetates with a Hydroxypyridinonate Pendant Arm. Molecules 2015, 20, 19393–19405. [Google Scholar] [CrossRef]
- Santos, M.A.; Gil, M.; Marques, S.; Gano, L.; Cantinho, G.; Chaves, S. N-Carboxyalkyl derivatives of 3-hydroxy-4-pyridinones: Synthesis, complexation with Fe(III), Al(III) and Ga(III) and in vivo evaluation. J. Inorg. Biochem. 2002, 92, 43–54. [Google Scholar] [CrossRef]
- Gibson, S.; Fernando, R.; Jacobs, H.K.; Gopalan, A.S. Preparation of 3-benzyloxy-2-pyridinone functional linkers: Tools for the synthesis of 3, 2-hydroxypyridinone (HOPO) and HOPO/hydroxamic acid chelators. Tetrahedron 2015, 71, 9271–9281. [Google Scholar] [CrossRef] [PubMed]
- Adamczyk, M.; Johnson, D.D.; Reddy, R.E. Collagen Cross-Links. Synthesis of Immunoreagents for Development of Assays for Deoxypyridinoline, a Marker for Diagnosis of Osteoporosis. Bioconjug. Chem. 2000, 11, 124–130. [Google Scholar] [CrossRef] [PubMed]
- Cambie, R.C.; Jutlina, J.L.; Rutledge, P.S.; Woodgate, P.D. Iodo-azide Adducts of Exocyclic Alkenes; Structure and Solvolysis. J. Chem. Soc. Perkin Trans. 1982, 1, 315–325. [Google Scholar] [CrossRef]
- Zhang, Q.; Shrestha, J.P.; Chang, C.-W.T. Synthesis of bioactive 1-alkyl-1H-naphtho[2,3-d][1,2,3]triazole-4,9-diones and N-aryl-2-aminomethylene-1,3-indanediones using water as the solvent. Tetrahedron Lett. 2014, 55, 1839–1842. [Google Scholar] [CrossRef]
- Ito, H.; Ishida, Y.; Saigo, K. Regio- and diastereo-controlled synthesis of bis (formylmethano)[60]fullerenes and their application to the formation of [60]fullerene pearl-necklace polyimines. Tetrahedron Lett. 2006, 47, 3095–3098. [Google Scholar] [CrossRef]
- Kayyali, R.; Pannala, A.S.; Khodr, H.; Hider, R.C. Comparative Radical Scavenging Ability of Bidentate Iron(III) Chelators. Biochem. Pharmacol. 1998, 55, 1327–1332. [Google Scholar] [CrossRef]
- Amélia Santos, M.; Gama, S.; Gano, L.; Cantinho, G.; Farkas, E. A new bis(3-hydroxy-4-pyridinone)-IDA derivative as a potential therapeutic chelating agent. Synthesis, metal-complexation and biological assays. Dalton Trans. 2004, 3772–3781. [Google Scholar]
- Boschelli, D.H.; Wu, B.; Barrios Sosa, A.C.; Durutlic, H.; Chen, J.J.; Wang, Y.; Golas, J.M.; Lucas, J.; Boschelli, F. Synthesis and Src Kinase Inhibitory Activity of 2-Phenyl-and 2-Thienyl-7-phenylaminothieno[3,2-b]pyridine-6-carbonitriles. J. Med. Chem. 2005, 48, 3891–3902. [Google Scholar] [CrossRef]
- Dávalos, A.; Gómez-Cordovés, C.; Bartolomé, B. Extending Applicability of the Oxygen Radical Absorbance Capacity (ORAC−Fluorescein) Assay. J. Agric. Food Chem. 2004, 52, 48–54. [Google Scholar] [CrossRef]
- Prior, R.L.; Wu, X.; Schaich, K. Standardized Methods for the Determination of Antioxidant Capacity and Phenolics in Foods and Dietary Supplements. J. Agric. Food Chem. 2005, 53, 4290–4302. [Google Scholar] [CrossRef] [PubMed]
- Meena, P.; Nemaysh, V.; Khatri, M.; Manral, A.; Luthra, P.M.; Tiwari, M. Synthesis, biological evaluation and molecular docking study of novel piperidine and piperazine derivatives as multi-targeted agents to treat Alzheimer’s disease. Bioorg. Med. Chem. 2015, 23, 1135–1148. [Google Scholar] [CrossRef] [PubMed]
- Kawahara, M.; Tanaka, K.I.; Kato-Negishi, M. Zinc, Carnosine, and Neurodegenerative Diseases. Nutrients 2018, 10, 147. [Google Scholar] [CrossRef] [PubMed]
- Ohnuma, K.; Hayashi, Y.; Furue, M.; Kaneko, K.; Asashima, M. Serum-free culture conditions for serial subculture of undifferentiated PC12 cells. J. Neurosci. Methods 2006, 151, 250–261. [Google Scholar] [CrossRef]
- Cheng, B.; Lu, H.; Bai, B.; Chen, J. D-β-Hydroxybutyrate inhibited the apoptosis of PC12 cells induced by H2O2 via inhibiting oxidative stress. Neurochem. Int. 2013, 62, 620–625. [Google Scholar] [CrossRef]
- Chen, H.; Liang, X.; Xu, F.; Xu, B.; He, X.; Huang, B.; Yuan, M. Synthesis and Cytotoxic Activity Evaluation of Novel Arylpiperazine Derivatives on Human Prostate Cancer Cell Lines. Molecules 2014, 19, 12048–12064. [Google Scholar] [CrossRef]
- Mellor, H.R.; Platt, F.M.; Dwek, R.A.; Butters, T.D. Membrane disruption and cytotoxicity of hydrophobic N-alkylated imino sugars is independent of the inhibition of protein and lipid glycosylation. Biochem. J. 2003, 374, 307–314. [Google Scholar] [CrossRef]
- Lv, Q.; Gu, C.; Chen, C. Venlafaxine protects methylglyoxal-induced apoptosis in the cultured human brain microvascular endothelial cells. Neurosci. Lett. 2014, 569, 99–103. [Google Scholar] [CrossRef]
- Roche Diagnostics GmbH. Apoptosis, Cytotoxicity and Cell Proliferation, 4th ed.; Roche Applied Science: Mannheim, Germany, 2008. [Google Scholar]
- Chow, S.; Kitching, W. Hydrolytic kinetic resolution of terminal mono- and bis-epoxides in the synthesis of insect pheromones: Routes to (−)-(R)-and (+)-(S)-10-methyldodecyl acetate, (−)-(R)-10-methyl-2-tridecanone, (−)-(R)-(Z)-undec-6-en-2-ol (Nostrenol), (−)-(1R,7R)-1,7-dimethylnonyl propanoate, (−)-(6R,12R)-6,12-dimethylpentadecan-2-one, (−)-(2S,11S)-2,11-diacetoxytridecane and (+)-(2S,12S)-2,12-diacetoxytridecane. Tetrahedron Asymmetry 2002, 13, 779–793. [Google Scholar]
© 2019 by the authors. Licensee MDPI, Basel, Switzerland. This article is an open access article distributed under the terms and conditions of the Creative Commons Attribution (CC BY) license (http://creativecommons.org/licenses/by/4.0/).




















