A New Saccharides and Nnucleosides Sensor Based on Tetrathiafulvalene-anthracene Dyad with Two Boronic Acid Groups
Abstract
:1. Introduction
2. Results and Discussion
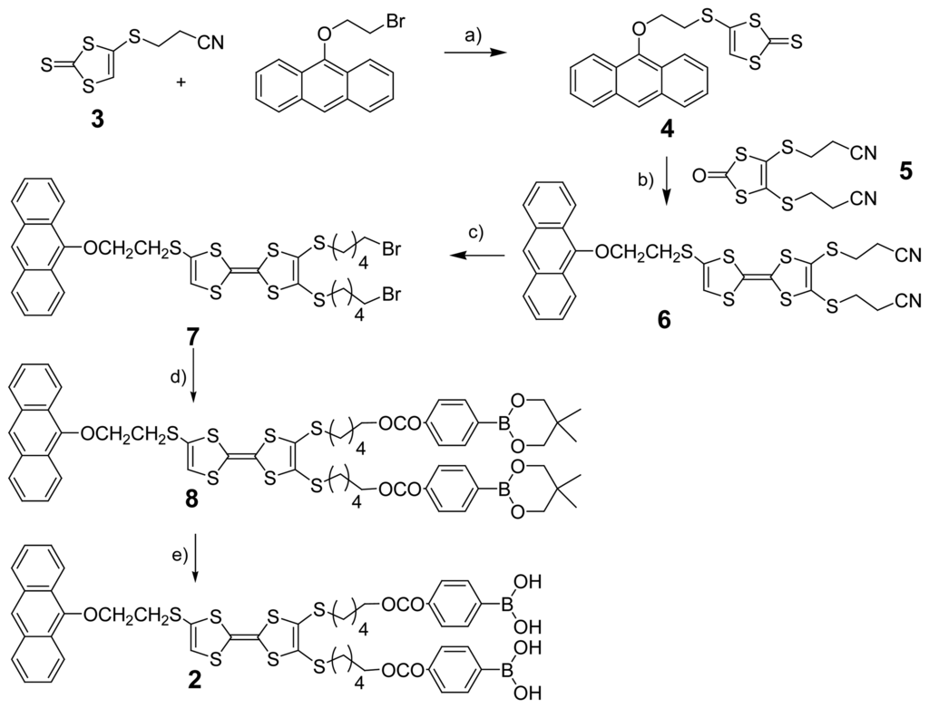
2.1. Synthesis
2.2. Spectral studies
3. Experimental Section
Acknowledgments
References and Notes
- Czarnik, A. W. Fluorescent Chemosensors for Ion and Molecule Recognition; American Chemical Society: Washington, DC, 1992. [Google Scholar]
- Lakowicz, J. R. Topics in Fluorescence Spectroscopy; Kluwer Academic: New York, 2002. [Google Scholar]
- de Silva, A.P.; Gunaratne, H. Q. N.; Gunnlaugsson, T.; Huxley, A. J. M.; McCoy, C. P.; Rademacher, J. T.; Rice, T. E. Signaling Recognition Events with Fluorescent Sensors and Switches. Chem. Rev. 1997, 97, 1515–1566. [Google Scholar]
- Pu, L. Fluorescence of Organic Molecules in Chiral Recognition. Chem. Rev. 2004, 104, 1687–1716. [Google Scholar]
- Radu, D.R.; Lai, C.-Y.; Wiench, J. W.; Pruski, M.; Lin, V. S.-Y. Gatekeeping Layer Effect: A Poly(lactic acid)-coated Mesoporous Silica Nanosphere-Based Fluorescence Probe for Detection of Amino-Containing Neurotransmitters. J. Am. Chem. Soc. 2004, 126, 1640–1641. [Google Scholar]
- Lin, J.; Li, Z.-B.; Zhang, H.-C.; Pu, L. Highly enantioselective fluorescent recognition of α-amino acid derivatives. Tetrahedron Lett. 2004, 45, 103–106. [Google Scholar]
- Takeuchi, M.; Taguchi, M.; Shinmori, H.; Shinkai, S. Molecular Design of Boronic Acid-Based Dye Receptors for Nucleosides. Bull. Chem. Soc. Jpn. 1996, 69, 2613–2618. [Google Scholar]
- Samankumara Sandanayake, K.R. A.; James, T. D.; Shinkai, S. Molecular design of sugar recogniton systems by sugar-diboronic acid macrocyclization. Pure Appl. Chem. 1996, 68, 1207–1212. [Google Scholar]
- Sugasaki, A.; Sugiyasu, K.; Takeuchi, M.; Shinkai, S. First Successful Molecular Design of an Artificial Lewis Oligosaccharide Binding System Utilizing Positive Homotropic Allosterism. J. Am. Chem. Soc. 2001, 123, 10239–10244. [Google Scholar]
- James, T.D.; Samankumara Sandanayake, K. R. A.; Shinkai, S. Chiral discrimination of monosaccharides using a fluorescent molecular sensor. Nature 1995, 374, 345–347. [Google Scholar]
- James, T. D.; Shinmori, H.; Shinkai, S. Novel fluorescence sensor for small saccharides. Chem. Commun. 1997, 71–72. [Google Scholar]
- Tsukagoshi, K.; Shinkai, S. Specific complexation with mono- and. disaccharides that can be detected by circular dichroism. J. Org. Chem. 1991, 56, 4089–4091. [Google Scholar]
- James, T. D.; Samankumara Sandanayake, K.R. A.; Shinkai, S. Novel Photoinduced Electron Transfer Sensor for Saccharides Based on the Interaction of Boronic acid and Amine. J. Chem. Soc. Chem. Commun. 1994, 477–478. [Google Scholar]
- Arimori, S.; Ushiroda, S.; Peter, L. M.; Jenkins, A. T.A.; James, T. D. A modular electrochemical sensor for saccharides. Chem. Commun. 2002, 2368–2369. [Google Scholar]
- Zhao, J.; Fyles, T.M.; James, T. D. Chiral Binol-Bisboronic Acid as Fluorescence Sensor for Sugar Acid. Angew. Chem. Int. Ed. 2004, 43, 3461–3464. [Google Scholar]
- Yoon, J.A.; Czarnik, W. A Means of Chemically Communicating the Binding of Polyols in Water Based on Chelation-Enhanced Quenching. J. Am. Chem. Soc. 1992, 114, 5874–5875. [Google Scholar]
- Zhang, Y.; Gao, X.; Hardcastle, K.; Wang, B. Naphthalene-based water-soluble fluorescent. sensors for saccharides at physiological pH. New J. Chem. 2005, 29, 579–586. [Google Scholar]
- DiCesare, N.; Lakowicz, J.R. New color chemosensors for mono- saccharides based on Azo dyes. Org. Lett. 2001, 3, 3891–3893. [Google Scholar]
- Zhao, J.; Davidson, M.G.; Mahon, M. F.; Kociok-Köhn, G.; James, T. D. An Enantioselective Fluorescent Sensor for Sugar Acids. J. Am. Chem. Soc. 2004, 126, 16179–16186. [Google Scholar]
- Ward, C.J.; patel, P.; James, T. D. Molecular Color Sensors for Monosaccharides. Org. Lett. 2002, 4, 477–479. [Google Scholar]
- Wang, Z.; Zhang, D.; Zhu, D. A new saccharide sensor based on a tetrathiafulvalene-anthracene dyad with a boronic acid group. J. Org. Chem. 2005, 70, 5729–5732. [Google Scholar]
- Zhang, G.; Zhang, D.; Guo, X.; Zhu, D. A new redox-fluorescence switch based on a triad with tetrathiafulvalene and anthracene units. Org. Lett. 2004, 6, 1209–1212. [Google Scholar]
- Zhang, G.; Zhang, D.; Yin, S.; Yang, X.; Shuai, Z.; Zhu, D. 1,3-Dithiole-2-thione derivatives featuring an anthracene unit: new selective chemodosimeters for Hg(II) ion. Chem. Commu. 2005, 16, 2161–2163. [Google Scholar]
- Li, X.; Zhang, G.; Ma, H.; Zhang, D.; Li, J.; Zhu, D. 4,5-Dimethylthio-4′-[2-(9-anthryloxy)ethylthio]tetrathiafulvalene, a highly selective and sensitive chemiluminescence probe for singlet oxygen. J. Am. Chem. Soc. 2004, 126, 11543–11548. [Google Scholar]
- Zhang, G.; Li, X.; Ma, H.; Zhang, D.; Li, J.; Zhu, D. A selective and sensitive chemiluminescence reaction of 4,4′(5′)-bis[2-(9-anthryloxy)-ethylthio]tetrathiafulvalene with singlet oxygen. Chem. Commun. 2004, 18, 2072–2073. [Google Scholar]
- Eggert, H.; Frederiksen, J.; Morin, C.; Norrild, J. C. A New glucose-selective fluorescent bisboronic acid. First report of strong α-furanose complexation in aqueous solution at physiological pH. J. Org. Chem. 1999, 64, 3846–3852. [Google Scholar]
- Yang, W.; He, H.; Drueckhammer, D. G. Computer-guided design in molecular recognition: design and synthesis of a glucopyranose receptor. Angew. Chem. Int. Ed. 2001, 40, 1714–1718. [Google Scholar]
- Eggert, E.; Frederiksen, J.; Morin, C.; Norrild, J.C. A New glucose-selective fluorescent bisboronic acid. First. report of strong -furanose complexation in aqueous solution at physiological pH. J. Org. Chem. 1999, 64, 3846–3852. [Google Scholar]
- Yang, W.; Yan, J.; Fang, H.; Wang, B. The First Fluorescent Sensor for D-Glucarate Based on the Cooperative Action of Boronic Acid and Guanidinium Groups. Chem. Commun. 2003, 792–793. [Google Scholar]
- Jia, C.; Zhang, D.; Xu, W.; Zhu, D. A New Approach to 4-Alkylthio-1,3-dithiole-2-thione: An Unusual Reaction of a Zinc Complex of 1,3-Dithole-2-thione-4,5-dithiolate. Org. Lett. 2001, 3, 1941–1944. [Google Scholar]
- Jia, C.; Zhang, D.; Guo, X.; Wan, S.; Xu, W.; Zhu, D. Facile synthesis of 4-(2-cyanoethylthio)-1,3-dithiole-2-thione and new electron donors with two ttf units and compounds with bis(1,3- dithiole-2-thione) groups. Synthesis 2002, 15, 2177–2182. [Google Scholar]




| Sugar | Ka (M-1) | I/I0 (75 mM) |
|---|---|---|
| D-Glucose | 130±2.8 | 5.89 |
| D-Fructose | 17.3±0.8 | 2.61 |
| D-Galactose | 5.81±0.6 | 1.84 |
| D-Mannose | 22.9±0.5 | 2.96 |
2006 by MDPI ( http://www.mdpi.org). Reproduction is permitted for noncommercial purposes.
Share and Cite
Tan, W.; Wang, Z.; Zhang, D.; Zhu, D. A New Saccharides and Nnucleosides Sensor Based on Tetrathiafulvalene-anthracene Dyad with Two Boronic Acid Groups. Sensors 2006, 6, 954-961. https://doi.org/10.3390/s6080954
Tan W, Wang Z, Zhang D, Zhu D. A New Saccharides and Nnucleosides Sensor Based on Tetrathiafulvalene-anthracene Dyad with Two Boronic Acid Groups. Sensors. 2006; 6(8):954-961. https://doi.org/10.3390/s6080954
Chicago/Turabian StyleTan, Wei, Zhuo Wang, Deqing Zhang, and Daoben Zhu. 2006. "A New Saccharides and Nnucleosides Sensor Based on Tetrathiafulvalene-anthracene Dyad with Two Boronic Acid Groups" Sensors 6, no. 8: 954-961. https://doi.org/10.3390/s6080954
APA StyleTan, W., Wang, Z., Zhang, D., & Zhu, D. (2006). A New Saccharides and Nnucleosides Sensor Based on Tetrathiafulvalene-anthracene Dyad with Two Boronic Acid Groups. Sensors, 6(8), 954-961. https://doi.org/10.3390/s6080954
