Landsat Time Series Reconstruction Using a Closed-Form Continuous Neural Network in the Canadian Prairies Region †
Abstract
1. Introduction
2. Materials and Methods
2.1. Study Area and Dataset
2.2. CFC Neural Networks
2.3. CFC Time Series Modeling
2.3.1. Contaminated Observation Filtering
2.3.2. Training Sample
2.3.3. CFC Implementation
2.3.4. Evaluation
3. Results and Discussion
3.1. Comparison of CCD and CFC for Landsat Image Reconstruction
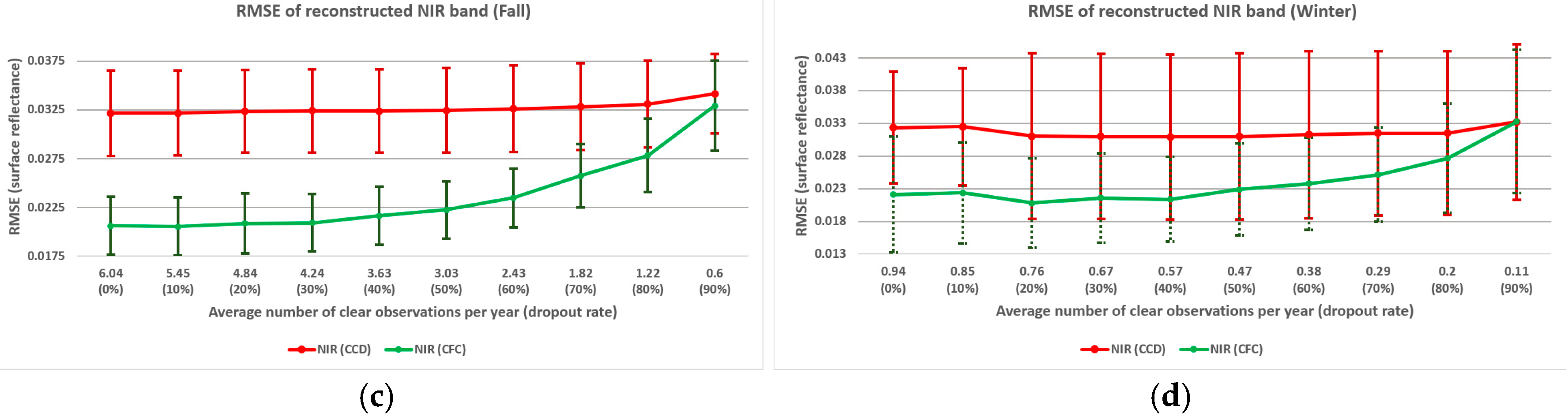
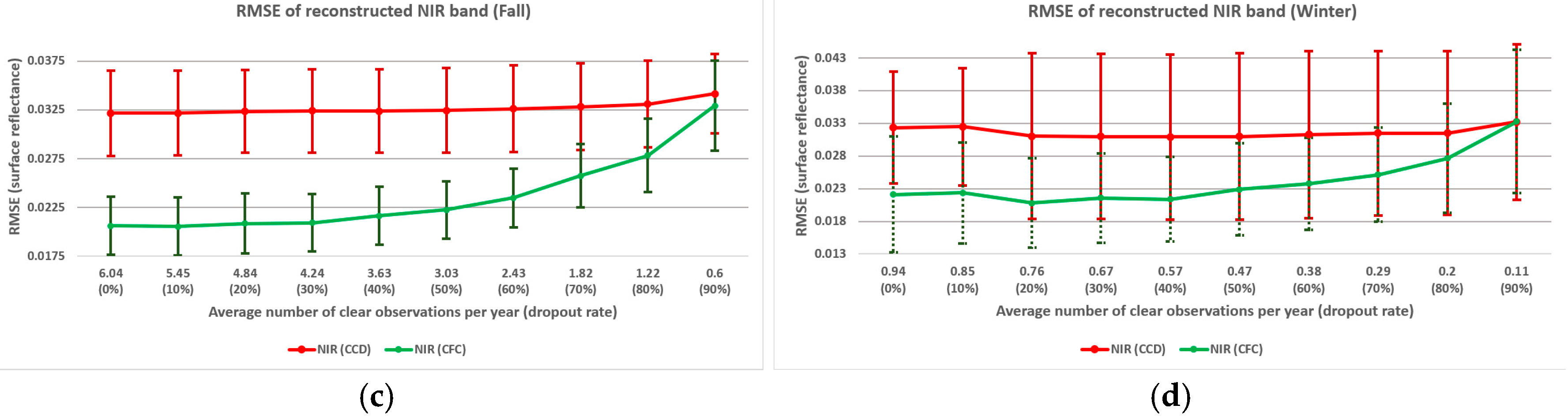
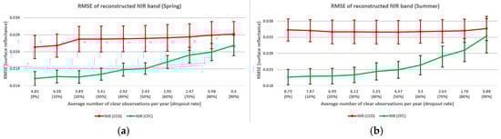
3.2. Assessing the Effect of Density on Landsat Time Series Reconstruction
4. Conclusions
Author Contributions
Funding
Institutional Review Board Statement
Informed Consent Statement
Data Availability Statement
Conflicts of Interest
References
- Wulder, M.A.; Roy, D.P.; Radeloff, V.C.; Loveland, T.R.; Anderson, M.C.; Johnson, D.M.; Healey, S.; Zhu, Z.; Scambos, T.A.; Pahlevan, N. Fifty years of Landsat science and impacts. Remote Sens. Environ. 2022, 280, 113195. [Google Scholar] [CrossRef]
- Hemati, M.; Hasanlou, M.; Mahdianpari, M.; Mohammadimanesh, F. A systematic review of landsat data for change detection applications: 50 years of monitoring the earth. Remote Sens. 2021, 13, 2869. [Google Scholar] [CrossRef]
- Wulder, M.A.; Loveland, T.R.; Roy, D.P.; Crawford, C.J.; Masek, J.G.; Woodcock, C.E.; Allen, R.G.; Anderson, M.C.; Belward, A.S.; Cohen, W.B. Current status of Landsat program, science, and applications. Remote Sens. Environ. 2019, 225, 127–147. [Google Scholar] [CrossRef]
- Zhu, Z.; Wulder, M.A.; Roy, D.P.; Woodcock, C.E.; Hansen, M.C.; Radeloff, V.C.; Healey, S.P.; Schaaf, C.; Hostert, P.; Strobl, P. Benefits of the free and open Landsat data policy. Remote Sens. Environ. 2019, 224, 382–385. [Google Scholar] [CrossRef]
- Zhu, Z.; Woodcock, C.E. Continuous change detection and classification of land cover using all available Landsat data. Remote Sens. Environ. 2014, 144, 152–171. [Google Scholar] [CrossRef]
- Frantz, D.; Röder, A.; Udelhoven, T.; Schmidt, M. Enhancing the detectability of clouds and their shadows in multitemporal dryland Landsat imagery: Extending Fmask. IEEE Geosci. Remote Sens. Lett. 2015, 12, 1242–1246. [Google Scholar] [CrossRef]
- Pouliot, D.; Latifovic, R. Reconstruction of Landsat time series in the presence of irregular and sparse observations: Development and assessment in north-eastern Alberta, Canada. Remote Sens. Environ. 2018, 204, 979–996. [Google Scholar] [CrossRef]
- Ataabadi, M.B.; Pouliot, D.; Chen, D.; Oluwadare, T.S. Reconstructing Missing Data in Historical Landsat Images Using Advanced Deep Learning Algorithms. In Proceedings of the Asia-Pacific Remote Sensing, Kaohsiung, Taiwan, 2–5 December 2024. [Google Scholar]
- Whitney, K.; Scudiero, E.; El-Askary, H.M.; Skaggs, T.H.; Allali, M.; Corwin, D.L. Validating the use of MODIS time series for salinity assessment over agricultural soils in California, USA. Ecol. Indic. 2018, 93, 889–898. [Google Scholar] [CrossRef]
- Qiu, S.; Zhu, Z.; He, B. Fmask 4.0: Improved cloud and cloud shadow detection in Landsats 4–8 and Sentinel-2 imagery. Remote Sens. Environ. 2019, 231, 111205. [Google Scholar] [CrossRef]
- Tang, Z.; Amatulli, G.; Pellikka, P.K.; Heiskanen, J. Spectral Temporal Information for Missing Data Reconstruction (STIMDR) of Landsat Reflectance Time Series. Remote Sens. 2021, 14, 172. [Google Scholar] [CrossRef]
- Zhang, J.; Shang, R.; Rittenhouse, C.; Witharana, C.; Zhu, Z. Evaluating the impacts of models, data density and irregularity on reconstructing and forecasting dense Landsat time series. Sci. Remote Sens. 2021, 4, 100023. [Google Scholar] [CrossRef]
- Zhu, Z.; Woodcock, C.E.; Holden, C.; Yang, Z. Generating synthetic Landsat images based on all available Landsat data: Predicting Landsat surface reflectance at any given time. Remote Sens. Environ. 2015, 162, 67–83. [Google Scholar] [CrossRef]
- Zhou, Q.; Zhu, Z.; Xian, G.; Li, C. A novel regression method for harmonic analysis of time series. ISPRS J. Photogramm. Remote Sens. 2022, 185, 48–61. [Google Scholar] [CrossRef]
- Tollerud, H.J.; Zhu, Z.; Smith, K.; Wellington, D.F.; Hussain, R.A.; Viola, D. Toward consistent change detection across irregular remote sensing time series observations. Remote Sens. Environ. 2023, 285, 113372. [Google Scholar] [CrossRef]
- Zhou, Y.n.; Wang, S.; Wu, T.; Feng, L.; Wu, W.; Luo, J.; Zhang, X.; Yan, N. For-backward LSTM-based missing data reconstruction for time-series Landsat images. GIScience Remote Sens. 2022, 59, 410–430. [Google Scholar] [CrossRef]
- Weerakody, P.B.; Wong, K.W.; Wang, G.; Ela, W. A review of irregular time series data handling with gated recurrent neural networks. Neurocomputing 2021, 441, 161–178. [Google Scholar] [CrossRef]
- Zhang, H.K.; Luo, D.; Li, Z. Classifying raw irregular time series (CRIT) for large area land cover mapping by adapting transformer model. Sci. Remote Sens. 2024, 9, 100123. [Google Scholar] [CrossRef]
- Baytas, I.M.; Xiao, C.; Zhang, X.; Wang, F.; Jain, A.K.; Zhou, J. Patient subtyping via time-aware LSTM networks. In Proceedings of the 23rd ACM SIGKDD International Conference on Knowledge Discovery and Data Mining, Halifax, NS, Canada, 13–17 August 2017; pp. 65–74. [Google Scholar]
- Chen, R.T.; Rubanova, Y.; Bettencourt, J.; Duvenaud, D.K. Neural ordinary differential equations. Adv. Neural Inf. Process. Syst. 2018, 31, 6572–6583. [Google Scholar]
- Prince, P.J.; Dormand, J.R. High order embedded Runge-Kutta formulae. J. Comput. Appl. Math. 1981, 7, 67–75. [Google Scholar] [CrossRef]
- Hasani, R.; Lechner, M.; Amini, A.; Liebenwein, L.; Ray, A.; Tschaikowski, M.; Teschl, G.; Rus, D. Closed-form continuous-time neural networks. Nat. Mach. Intell. 2022, 4, 992–1003. [Google Scholar] [CrossRef]
- Encabo, J.B.M.; Cordeiro, M.R.; Badreldin, N.; McGeough, E.J.; Walker, D. Assessment of remotely sensed inventories for land cover classification of public grasslands in Manitoba, Canada. Grass Forage Sci. 2023, 78, 590–601. [Google Scholar] [CrossRef]
- Olimb, S.K.; Dixon, A.P.; Dolfi, E.; Engstrom, R.; Anderson, K. Prairie or planted? Using time-series NDVI to determine grassland characteristics in Montana. GeoJournal 2018, 83, 819–834. [Google Scholar] [CrossRef]
- McInnes, W.S.; Smith, B.; McDermid, G.J. Discriminating native and nonnative grasses in the dry mixedgrass prairie with MODIS NDVI time series. IEEE J. Sel. Top. Appl. Earth Obs. Remote Sens. 2015, 8, 1395–1403. [Google Scholar] [CrossRef]
- Lindsay, E.J.; King, D.J.; Davidson, A.M.; Daneshfar, B. Canadian prairie rangeland and seeded forage classification using multiseason Landsat 8 and Summer RADARSAT-2. Rangel. Ecol. Manag. 2019, 72, 92–102. [Google Scholar] [CrossRef]
- Rubanova, Y.; Chen, R.T.; Duvenaud, D.K. Latent ordinary differential equations for irregularly-sampled time series. Adv. Neural Inf. Process. Syst. 2019, 32, 5321–5331. [Google Scholar]
- Lechner, M.; Hasani, R. Learning long-term dependencies in irregularly-sampled time series. arXiv 2020, arXiv:2006.04418. [Google Scholar]
- Paoletti, M.E.; Haut, J.M.; Plaza, J.; Plaza, A. Neural ordinary differential equations for hyperspectral image classification. IEEE Trans. Geosci. Remote Sens. 2019, 58, 1718–1734. [Google Scholar] [CrossRef]
- Ayed, I.; de Bézenac, E.; Pajot, A.; Gallinari, P. Modelling spatiotemporal dynamics from Earth observation data with neural differential equations. Mach. Learn. 2022, 111, 2349–2380. [Google Scholar] [CrossRef]
- Qiu, W.; Zhang, W.; Wang, G.; Guo, Z.; Zhao, J.; Ma, K. Combined wind speed forecasting model based on secondary decomposition and quantile regression closed-form continuous-time neural network. Int. J. Green Energy 2024, 21, 1793–1814. [Google Scholar] [CrossRef]
- Raissi, M.; Perdikaris, P.; Karniadakis, G.E. Physics-informed neural networks: A deep learning framework for solving forward and inverse problems involving nonlinear partial differential equations. J. Comput. Phys. 2019, 378, 686–707. [Google Scholar] [CrossRef]
- Zhu, Z.; Woodcock, C.E. Object-based cloud and cloud shadow detection in Landsat imagery. Remote Sens. Environ. 2012, 118, 83–94. [Google Scholar] [CrossRef]
- USGS. Landsat 7. Available online: https://www.usgs.gov/landsat-missions/landsat-7 (accessed on 9 December 2024).
- Qiu, S.; Zhu, Z.; Shang, R.; Crawford, C. Can Landsat 7 preserve its science capability with a drifting orbit? Sci. Remote Sens. 2021, 4, 100026. [Google Scholar] [CrossRef]
- Kingma, D.P. Adam: A method for stochastic optimization. arXiv 2014, arXiv:1412.6980. [Google Scholar]
- Xian, G.Z.; Smith, K.; Wellington, D.; Horton, J.; Zhou, Q.; Li, C.; Auch, R.; Brown, J.F.; Zhu, Z.; Reker, R.R. Implementation of the CCDC algorithm to produce the LCMAP Collection 1.0 annual land surface change product. Earth Syst. Sci. Data 2022, 14, 143–162. [Google Scholar] [CrossRef]
- Frantz, D.; Rufin, P.; Janz, A.; Ernst, S.; Pflugmacher, D.; Schug, F.; Hostert, P. Understanding the robustness of spectral-temporal metrics across the global Landsat archive from 1984 to 2019–a quantitative evaluation. Remote Sens. Environ. 2023, 298, 113823. [Google Scholar] [CrossRef]
- Kovalskyy, V.; Roy, D.P. The global availability of Landsat 5 TM and Landsat 7 ETM+ land surface observations and implications for global 30 m Landsat data product generation. Remote Sens. Environ. 2013, 130, 280–293. [Google Scholar] [CrossRef]






















| Season | Spring | Summer | Fall | Winter |
|---|---|---|---|---|
| Months | March, April May | June, July, August | September, October, November | December, January, February |
| Number of test images | 25 | 49 | 35 | 6 |
| Number of training images with more than 60% of clear observation | 179 | 328 | 234 | 40 |
| Number of training images with less than 60% of clear observation | 98 | 84 | 49 | 38 |
| Band | RMSE of Image Reconstruction Using CCD | RMSE of Image Reconstruction Using CFC | Improvement of CFC Over CCD |
|---|---|---|---|
| Blue | 0.01492 | 0.00983 | 34% |
| Green | 0.01876 | 0.01228 | 35% |
| Red | 0.0255 | 0.01488 | 42% |
| NIR | 0.03201 | 0.01978 | 38% |
| SWIR1 | 0.03928 | 0.02574 | 34% |
| SWIR2 | 0.03927 | 0.02262 | 42% |
Disclaimer/Publisher’s Note: The statements, opinions and data contained in all publications are solely those of the individual author(s) and contributor(s) and not of MDPI and/or the editor(s). MDPI and/or the editor(s) disclaim responsibility for any injury to people or property resulting from any ideas, methods, instructions or products referred to in the content. |
© 2025 by the authors. Licensee MDPI, Basel, Switzerland. This article is an open access article distributed under the terms and conditions of the Creative Commons Attribution (CC BY) license (https://creativecommons.org/licenses/by/4.0/).
Share and Cite
Babadi Ataabadi, M.; Pouliot, D.; Chen, D.; Oluwadare, T.S. Landsat Time Series Reconstruction Using a Closed-Form Continuous Neural Network in the Canadian Prairies Region. Sensors 2025, 25, 1622. https://doi.org/10.3390/s25051622
Babadi Ataabadi M, Pouliot D, Chen D, Oluwadare TS. Landsat Time Series Reconstruction Using a Closed-Form Continuous Neural Network in the Canadian Prairies Region. Sensors. 2025; 25(5):1622. https://doi.org/10.3390/s25051622
Chicago/Turabian StyleBabadi Ataabadi, Masoud, Darren Pouliot, Dongmei Chen, and Temitope Seun Oluwadare. 2025. "Landsat Time Series Reconstruction Using a Closed-Form Continuous Neural Network in the Canadian Prairies Region" Sensors 25, no. 5: 1622. https://doi.org/10.3390/s25051622
APA StyleBabadi Ataabadi, M., Pouliot, D., Chen, D., & Oluwadare, T. S. (2025). Landsat Time Series Reconstruction Using a Closed-Form Continuous Neural Network in the Canadian Prairies Region. Sensors, 25(5), 1622. https://doi.org/10.3390/s25051622

