Optimization of Magnetoplasmonic Behavior in Ag/Fe Bilayer Nanostructures Towards Refractometric Sensing
Abstract
1. Introduction
2. Magneto-Optic Surface Plasmon Resonance
3. Methodology
3.1. Simulation Methodology
3.2. Experimental Methodology
4. Results and Discussion
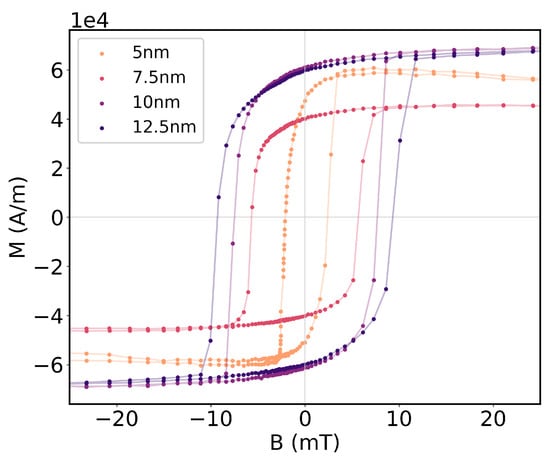
4.1. Magnetic Characterization
4.2. Magnetoplasmonic Characterization
5. Conclusions
Author Contributions
Funding
Data Availability Statement
Acknowledgments
Conflicts of Interest
References
- Maier, S.A. Plasmonics: Fundamentals and Applications, 1st ed.; Springer: New York, NY, USA, 2007; pp. 21–26. [Google Scholar]
- Xu, Y. Optical Refractive Index Sensors with Plasmonic and Photonic Structures: Promising and Inconvenient Truth. Adv. Opt. Mater. 2019, 7, 1801433. [Google Scholar] [CrossRef]
- Yesudasu, V. Recent progress in surface plasmon resonance based sensors: A comprehensive review. Heliyon 2017, 7, 3. [Google Scholar] [CrossRef] [PubMed]
- Wang, Q. Cu/ITO-Coated Uncladded Fiber-Optic Biosensor Based on Surface Plasmon Resonance. IEEE Photonics Technol. Lett. 2019, 31, 1159–1162. [Google Scholar] [CrossRef]
- Mostufa, S. Highly Sensitive TiO2/Au/Graphene Layer-Based Surface Plasmon Resonance Biosensor for Cancer Detection. Biosensors 2022, 12, 603. [Google Scholar] [CrossRef] [PubMed]
- Liu, L. Self-Assembly Silver Nanoparticles Decorated on Gold Nanoislands for Label-Free Localized Surface Plasmon Resonance Biosensing. Adv. Mater. Interfaces 2022, 9, 2200339. [Google Scholar] [CrossRef]
- Omri, M. Highly Sensitive Photonic Sensor Based on V-Shaped Channel Mediated Gold Nanowire. IEEE Sens. J. 2020, 20, 8505–8511. [Google Scholar] [CrossRef]
- Monteiro, J.P. Microfluidic Plasmonic Biosensor for Breast Cancer Antigen Detection. Plasmonics 2016, 11, 45–51. [Google Scholar] [CrossRef]
- Li, C. Sensitivity enhancement by employing BiFeO3 and graphene hybrid structure in surface plasmon resonance biosensors. Opt. Mater. 2021, 121, 111618. [Google Scholar] [CrossRef]
- Wang, Q. Research advances on surface plasmon resonance biosensors. Nanoscale 2022, 14, 564–591. [Google Scholar] [CrossRef] [PubMed]
- Armelles, G. Magnetoplasmonics: Combining Magnetic and Plasmonic Functionalities. Adv. Opt. Mater. 2013, 1, 10–35. [Google Scholar] [CrossRef]
- Temnov, V.V. Active magneto-plasmonics in hybrid metal–ferromagnet structures. Nat. Photonics 2010, 4, 107–111. [Google Scholar] [CrossRef]
- Zvezdin, A.K. Modern Magnetooptics and Magnetooptical Materials, 1st ed.; IOP Publishing: Bristol, UK, 1997; p. 56. [Google Scholar]
- Regatos, D. Au/Fe/Au multilayer transducers for magneto-optic surface plasmon resonance sensing Au/Fe/Au multilayer transducers for magneto-optic surface plasmon resonance sensing. J. Appl. Phys. 2010, 108, 54502. [Google Scholar] [CrossRef]
- Kravets, V.G. Spectral dependence of the magnetic modulation of surface plasmon polaritons in permalloy/noble metal films. JOSA B 2014, 31, 1836–1844. [Google Scholar] [CrossRef]
- Borovkova, O.V. TMOKE as efficient tool for the magneto-optic analysis of ultra-thin magnetic films. Appl. Phys. Lett. 2018, 112, 63101. [Google Scholar] [CrossRef]
- Zheng, Z. A refractive index sensor based on magneto-optical surface plasmon resonance. Superlattices Microstruct. 2019, 135, 106286. [Google Scholar] [CrossRef]
- Youssef, J.B. Magnetoplasmonic nanograting geometry enables optical nonreciprocity sign control. Opt. Express 2018, 26, 31554–31566. [Google Scholar]
- Abbasi, S. Design of a New Type of Magneto-Optical Refractometric Sensors. IEEE Sens. J. 2023, 23, 30278–30285. [Google Scholar] [CrossRef]
- González-Dias, J.B. Surface-magnetoplasmon nonreciprocity effects in noble-metal/ferromagnetic heterostructures. Phys. Rev. B-Condens. Matter Mater. Phys. 2007, 76, 153402. [Google Scholar] [CrossRef]
- Johnson, P.B. Optical constants of transition metals: Ti, V, Cr, Mn, Fe, Co, Ni, and Pd. Phys. Rev. B 1974, 9, 5056. [Google Scholar] [CrossRef]
- Becerra, D.M. Active Plasmonic Devices: Based on Magnetoplasmonic Nanostructures, 1st ed.; Springer: Berlin/Heidelberg, Germany, 2017; pp. 18–21. [Google Scholar]
- Sepúlveda, B. Highly sensitive detection of biomolecules with the magneto-optic surface-plasmon-resonance sensor. Opt. Lett. 2006, 31, 1085–1087. [Google Scholar] [CrossRef] [PubMed]
- Berreman, D.W. Optics in Stratified and Anisotropic Media: 4 × 4-Matrix Formulation. JOSA 1972, 62, 502–510. [Google Scholar] [CrossRef]
- Bay, M.M. PyLlama: A stable and versatile Python toolkit for the electromagnetic modelling of multilayered anisotropic media. Comput. Phys. Commun. 2022, 273, 108256. [Google Scholar] [CrossRef]
- Dias, B. Refractometric sensitivity of Bloch surface waves: Perturbation theory calculation and experimental validation. Opt. Lett. 2023, 48, 727–730. [Google Scholar] [CrossRef] [PubMed]
- Ciesielski, A. Controlling the optical parameters of self-assembled silver films with wetting layers and annealing. Appl. Surf. Sci. 2017, 421, 349–356. [Google Scholar] [CrossRef]
- Ferguson, P.E. Transverse Kerr Magneto-Optic Effect and Optical Properties of Transition-Rare-Earth Alloys. J. Appl. Phys. 1969, 40, 1236–1238. [Google Scholar] [CrossRef]
- Kim, Y.K. Magnetic properties of sputtered Fe thin films: Processing and thickness dependence. J. Appl. Phys. 1993, 74, 1233–1241. [Google Scholar] [CrossRef]
- Sun, X. Thickness dependence of structure and optical properties of silver films deposited by magnetron sputtering. Thin Solid Film. 2007, 515, 6962–6966. [Google Scholar] [CrossRef]
- Gong, J. Thickness Dispersion of Surface Plasmon of Ag Nano-thin Films: Determination by Ellipsometry Iterated with Transmittance Method. Sci. Rep. 2015, 5, 9279. [Google Scholar] [CrossRef] [PubMed]










Disclaimer/Publisher’s Note: The statements, opinions and data contained in all publications are solely those of the individual author(s) and contributor(s) and not of MDPI and/or the editor(s). MDPI and/or the editor(s) disclaim responsibility for any injury to people or property resulting from any ideas, methods, instructions or products referred to in the content. |
© 2025 by the authors. Licensee MDPI, Basel, Switzerland. This article is an open access article distributed under the terms and conditions of the Creative Commons Attribution (CC BY) license (https://creativecommons.org/licenses/by/4.0/).
Share and Cite
Carvalho, J.P.M.; Dias, B.S.; Coelho, L.C.C.; Almeida, J.M.M.M.d. Optimization of Magnetoplasmonic Behavior in Ag/Fe Bilayer Nanostructures Towards Refractometric Sensing. Sensors 2025, 25, 1419. https://doi.org/10.3390/s25051419
Carvalho JPM, Dias BS, Coelho LCC, Almeida JMMMd. Optimization of Magnetoplasmonic Behavior in Ag/Fe Bilayer Nanostructures Towards Refractometric Sensing. Sensors. 2025; 25(5):1419. https://doi.org/10.3390/s25051419
Chicago/Turabian StyleCarvalho, João Pedro Miranda, Bernardo S. Dias, Luís C. C. Coelho, and José M. M. M. de Almeida. 2025. "Optimization of Magnetoplasmonic Behavior in Ag/Fe Bilayer Nanostructures Towards Refractometric Sensing" Sensors 25, no. 5: 1419. https://doi.org/10.3390/s25051419
APA StyleCarvalho, J. P. M., Dias, B. S., Coelho, L. C. C., & Almeida, J. M. M. M. d. (2025). Optimization of Magnetoplasmonic Behavior in Ag/Fe Bilayer Nanostructures Towards Refractometric Sensing. Sensors, 25(5), 1419. https://doi.org/10.3390/s25051419

