Error Characteristic Analysis and Filtering Algorithm for GNSS Time-Series Data
Abstract
1. Introduction
2. Materials and Methods
3. Results
3.1. Establish a Filtering Model
Multivariate Polynomial Regression Algorithm
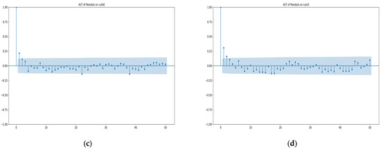
3.2. Residual Analysis
- Definition of ResidualsA residual is the difference between the actual observed value and the model’s predicted value. For an observed value and its corresponding predicted value , the residual is defined as
- 2.
- Steps of Residual Analysis
- Common Tools for Residual Analysis
3.3. Model Evaluation
4. Discussion
Author Contributions
Funding
Data Availability Statement
Conflicts of Interest
References
- Gleason, S.; GebreEgziabher, D. (Eds.) GNSS Applications and Methods; Artech House GNSS Technology and Applications Library; Artech House: Norwood, MA, USA, 2009; pp. 1–508. ISBN 978-1-59693-329-3. [Google Scholar]
- Osterman, A.; Godesa, T.; Hocevar, M. Introducing Low-Cost Precision Gps/Gnss to Agriculture. In Actual Tasks on Agricultural Engineering, Proceedings of the 41st International Symposium on Agricultural Engineering, Opatija, Croatia, 19–22 February 2013; Kosutic, S., Ed.; Agronomski Fakultet Sveucilista U Zagrebu: Zagreb, Croatia, 2013; Volume 41, pp. 229–239. [Google Scholar]
- Wang, Y.; Qian, C.; Liu, H. WHU-Smartphone: A Large-Scale Multi-Traffic Scene GNSS Dataset of Android Smartphones and a Low-Cost GNSS Module. IEEE Trans. Intell. Transp. Syst. 2024, 25, 17993–18005. [Google Scholar] [CrossRef]
- Zhao, L.; Yang, Y.; Xiang, Z.; Zhang, S.; Li, X.; Wang, X.; Ma, X.; Hu, C.; Pan, J.; Zhou, Y.; et al. A Novel Low-Cost GNSS Solution for the Real-Time Deformation Monitoring of Cable Saddle Pushing: A Case Study of Guojiatuo Suspension Bridge. Remote Sens. 2022, 14, 5174. [Google Scholar] [CrossRef]
- Tana, W.; Gonzalez, E.; Montano, M.; Gomez, O. Efficient Implementation of a GNSS Base Station with RTK Receiver for Topography. In Good Practices and New Perspectives in Information Systems and Technologies, Volume 1, Proceedings of the WorldCIST 2024, Lodz, Poland, 26–28 March 2024; Rocha, A., Adeli, H., Dzemyda, G., Moreira, F., Poniszewska-Maranda, A., Eds.; Springer International Publishing Ag: Cham, Switzerland, 2024; Volume 985, pp. 82–91. [Google Scholar]
- Famiglietti, N.A.; Cecere, G.; Grasso, C.; Memmolo, A.; Vicari, A. A Test on the Potential of a Low Cost Unmanned Aerial Vehicle RTK/PPK Solution for Precision Positioning. Sensors 2021, 21, 3882. [Google Scholar] [CrossRef] [PubMed]
- Memmolo, A.; Famiglietti, N.A.; Moschillo, R.; Grasso, C.; Vicari, A. UAS-LC-GNSS: Precision Surveying with a Low-Cost GNSS System for Commercial Drones. Rend. Online Soc. Geol. Ital. 2023, 60, 134–139. [Google Scholar] [CrossRef]
- Xu, Q.; Zhu, F.; Hu, J.; Liu, W.; Zhang, X. An Enhanced Positioning Algorithm Module for Low-Cost GNSS/MEMS Integration Based on Matching Straight Lane Lines in HD Maps. GPS Solut. 2023, 27, 22. [Google Scholar] [CrossRef]
- Lim, J.; Yoo, W.J.; Kim, L.W.; Lee, Y.D.; Lee, H.K. Augmentation of GNSS by Low-Cost MEMS IMU, OBD-II, and Digital Altimeter for Improved Positioning in Urban Area. Sensors 2018, 18, 3830. [Google Scholar] [CrossRef] [PubMed]
- Raza, S.; Al-Kaisy, A.; Teixeira, R.; Meyer, B. The Role of GNSS-RTN in Transportation Applications. Encyclopedia 2022, 2, 1237–1249. [Google Scholar] [CrossRef]
- Pillai, A.S.; Mahato, S.; Goswami, M.; Banerjee, P.; Bose, A. Potential of GNSS Post Processing Kinematic (PPK) Technique for Test Range Surveying Applications Using Compact, Low Cost GNSS Modules. In Proceedings of the 2022 URSI Regional Conference on Radio Science, USRI-RCRS, Indore, India, 1–4 December 2022; IEEE: New York, NY, USA, 2022; pp. 199–202. [Google Scholar]
- Tucikesic, S.; Bozic, B.; Mulic, M. Absolute Time Series GNSS Point Positioning-Data Cleaning and Noise Characterization. Teh. Vjesn. 2020, 27, 1229–1236. [Google Scholar] [CrossRef]
- Silva, T.M.d.A.; Mayrink, G.d.O.; Valente, D.S.M.; Queiroz, D.M. Integration of a Low-Cost Global Navigation Satellite System to a Single-Board Computer Using Kalman Filtering. Eng. Agric. 2019, 39, 323–330. [Google Scholar] [CrossRef]
- Akram, M.A.; Liu, P.; Wang, Y.; Qian, J. GNSS Positioning Accuracy Enhancement Based on Robust Statistical MM Estimation Theory for Ground Vehicles in Challenging Environments. Appl. Sci. 2018, 8, 876. [Google Scholar] [CrossRef]
- Zhang, J.; Yu, G.; Pan, S.; Liu, G.; Shen, F. Low-Cost Receiver Robust-RTD Algorithm Based on the Constraints of Velocity. In Proceedings of the China Satellite Navigation Conference (CSNC) 2018: Volume I, Harbin, China, 23–25 May 2018; Sun, J., Yang, C., Guo, S., Eds.; Springer: New York, NY, USA, 2018; Volume 497, pp. 443–454. [Google Scholar]
- Mahato, S.; Santra, A.; Dan, S.; Banerjee, P.; Kundu, S.; Bose, A. Point Positioning Capability of Compact, Low-Cost GNSS Modules: A Case Study. IETE J. Res. 2023, 69, 4099–4112. [Google Scholar] [CrossRef]
- Nguyen, H.V.; Pham, K.C.; Nguyen, D.B.; Nguyen, L.Q. Application of the GNSS Method in the Monitoring of Mine Surface Displacement: A Systemic Review. Inz. Miner. 2024, 2, 247–255. [Google Scholar]
- Shinmura, T.; Nasu, M. Construction and Verification of Precise Survey System Using Low-Cost Receivers for Local-Area Rtk-Gnss and the Internet. In Proceedings of the 18th Annual Meeting of the Asia Oceania Geosciences Society, AOGS 2021, Virtual, 1–6 August 2021; Liong, S.Y., Satoh, M., Eds.; World Scientific Publ Co Pte Ltd.: Singapore, 2022; pp. 150–152. [Google Scholar]
- Saghaei, H. Design and Implementation of a Fleet Management System Using Novel GPS/GLONASS Tracker and Web-Based Software. arXiv 2016, arXiv:1610.02667. [Google Scholar]
- Sirisha, V.; Srinivas, V.S.; Rajini, P. Statistical Modelling of GNSS Multipath Error Using Triple-Frequency Linear Combination. In Proceedings of the 2019 URSI Asia-Pacific Radio Science Conference (AP-RASC), New Delhi, India, 9–15 March 2019; IEEE: New York, NY, USA, 2019. [Google Scholar]
- Lu, Y.; Deng, Z.; Di, Z.; Hu, E. Quality Assessment Method of GNSS Signals Base on Multivariate Dilution of Precision. In Proceedings of the 2016 European Navigation Conference (ENC), Helsinki, Finland, 30 May–2 June 2016; IEEE: New York, NY, USA, 2016. [Google Scholar]
- Robustelli, U.; Cutugno, M.; Pugliano, G. Low-Cost GNSS and PPP-RTK: Investigating the Capabilities of the u-Blox ZED-F9P Module. Sensors 2023, 23, 6074. [Google Scholar] [CrossRef] [PubMed]
- Ren, A.; Xu, K. Time Domain Signal Extraction from GNSS Time Series with Colored Noise. Chin. J. Geophys.-Chin. Ed. 2023, 66, 518–529. [Google Scholar] [CrossRef]
- Rapinski, J.; Kowalczyk, K. Detection of Discontinuities in the Height Component of Gnss Time Series. Acta Geodyn. Geomater. 2016, 13, 315–320. [Google Scholar] [CrossRef]
- Konatowski, S.; Kaczmarek, B. Effectiveness of Position Estimating in Nonlinear Filtering Approximation. Prz. Elektrotechniczny 2009, 85, 15–21. [Google Scholar]
- Liu, N.; Dai, W.; Santerre, R.; Kuang, C. A MATLAB-Based Kriged Kalman Filter Software for Interpolating Missing Data in GNSS Coordinate Time Series. GPS Solut. 2018, 22, 25. [Google Scholar] [CrossRef]
- Dvulit, P.; Savchuk, S.; Sosonka, I. Accuracy Estimation of Site Coordinates Derived from GNSS-Observations by Non-Classical Error Theory of Measurements. J. Geod. Geodyn. 2021, 12, 347–355. [Google Scholar] [CrossRef]
- Lu, X.; Zhao, X.; Sun, J. A Novel Maneuvering Target Tracking Algorithm Using Polynomial Filter. In Proceedings of the 2020 13th International Congress on Image and Signal Processing, Biomedical Engineering and Informatics (CISP-BMEI 2020), Chengdu, China, 17–19 October 2020; Zheng, Q., Zheng, X., Zhao, X., Yan, W., Zhang, N., Wang, L., Eds.; IEEE: New York, NY, USA, 2020; pp. 526–530. [Google Scholar]
- Cong, D.-W.; Xu, Q.-F. Low Altitude Photogrammetry Positioning Technology in Evaluation of GNSS Dynamic Positioning Accuracy. In Proceedings of the 2015 Chinese Intelligent Automation Conference: Intelligent Automation, Fuzhou, China, 8–10 May 2015; Deng, Z., Li, H., Eds.; Springer: New York, NY, USA, 2015; Volume 337, pp. 541–549. [Google Scholar]
- Kazmi, D.R.; Jeelani, F.A.; Ahmed, U.; Naqvi, N.A. Evaluation of Code & Carrier Based GNSS Positioning Techniques for Positioning Accuracy Using Low Cost GNSS Receivers. In Proceedings of the 2024 14th International Conference on Electrical Engineering, ICEENG 2024, Cairo, Egypt, 21–23 May 2024; IEEE: New York, NY, USA, 2024; pp. 96–101. [Google Scholar]
- Siejka, Z. Accuracy Evaluation of Precise Multi-Gnss Positioning, in the Real Time Using Rtk Corrections. In Proceedings of the Geographic Information Systems Conference and Exhibition (GIS ODYSSEY 2017), Vattaro, Italy, 4–8 September 2017; Adamczyk, T., Debinska, E., Eds.; Croatian Information Soc-Gis Forum: Zagreb, Croatia, 2017; pp. 341–345. [Google Scholar]
- Ochalek, A.; Niewiem, W.; Puniach, E.; Cwiakala, P. Accuracy Evaluation of Real-Time Gnss Precision Positioning with Rtx Trimble Technology. Civ. Environ. Eng. Rep. 2018, 28, 49–61. [Google Scholar] [CrossRef]
- Oguma, H.; Norishima, K.; Suehiro, K.; Kameda, S.; Suematsu, N.; Takagi, T.; Tsubouchi, K. Measured Evaluation of Positioning Accuracy on GNSS for Heterogeneous Wireless System. In Proceedings of the 2015 International Conference on ICT Convergence (ICTC), Jeju Island, Republic of Korea, 28–30 October 2015; IEEE: New York, NY, USA, 2015; pp. 442–445. [Google Scholar]




















| Indicator | Before Filtering | After Filtering | Improvement Percentage |
|---|---|---|---|
| RMSE | 5.87 | 0.92 | 84.4% |
| 95% Confidence Interval | 0.18 | 0.07 | 61.5% |
| Indicator | Before Filtering | After Filtering | Improvement Percentage |
|---|---|---|---|
| RMSE | 11.08 | 0.46 | 95.9% |
| 95% Confidence Interval | 0.13 | 0.03 | 73.2% |
| Indicator | Before Filtering | After Filtering | Improvement Percentage |
|---|---|---|---|
| RMSE | 6.88 | 0.82 | 88% |
| 95% Confidence Interval | 0.15 | 0.06 | 58.2% |
| Indicator | Before Filtering | After Filtering | Improvement Percentage |
|---|---|---|---|
| RMSE | 10.39 | 0.52 | 95% |
| 95% Confidence Interval | 0.11 | 0.04 | 67.1% |
Disclaimer/Publisher’s Note: The statements, opinions and data contained in all publications are solely those of the individual author(s) and contributor(s) and not of MDPI and/or the editor(s). MDPI and/or the editor(s) disclaim responsibility for any injury to people or property resulting from any ideas, methods, instructions or products referred to in the content. |
© 2025 by the authors. Licensee MDPI, Basel, Switzerland. This article is an open access article distributed under the terms and conditions of the Creative Commons Attribution (CC BY) license (https://creativecommons.org/licenses/by/4.0/).
Share and Cite
Zhang, H.; Chen, Y.; Li, K.; Wang, Y. Error Characteristic Analysis and Filtering Algorithm for GNSS Time-Series Data. Sensors 2025, 25, 361. https://doi.org/10.3390/s25020361
Zhang H, Chen Y, Li K, Wang Y. Error Characteristic Analysis and Filtering Algorithm for GNSS Time-Series Data. Sensors. 2025; 25(2):361. https://doi.org/10.3390/s25020361
Chicago/Turabian StyleZhang, Hongli, Yijin Chen, Kemeng Li, and Yinggang Wang. 2025. "Error Characteristic Analysis and Filtering Algorithm for GNSS Time-Series Data" Sensors 25, no. 2: 361. https://doi.org/10.3390/s25020361
APA StyleZhang, H., Chen, Y., Li, K., & Wang, Y. (2025). Error Characteristic Analysis and Filtering Algorithm for GNSS Time-Series Data. Sensors, 25(2), 361. https://doi.org/10.3390/s25020361

