Orientation Controllable RCS Enhancement Electromagnetic Surface to Improve the Road Barriers Detectability for Autonomous Driving Radar
Abstract
1. Introduction
2. Principles of RCS Enhancement
2.1. One-Dimensional Retro-Reflective Array
2.2. RCS Enhancement Principle
2.3. Coordinate Transformation
2.4. Calculation and Discussion
3. Design of the Applications
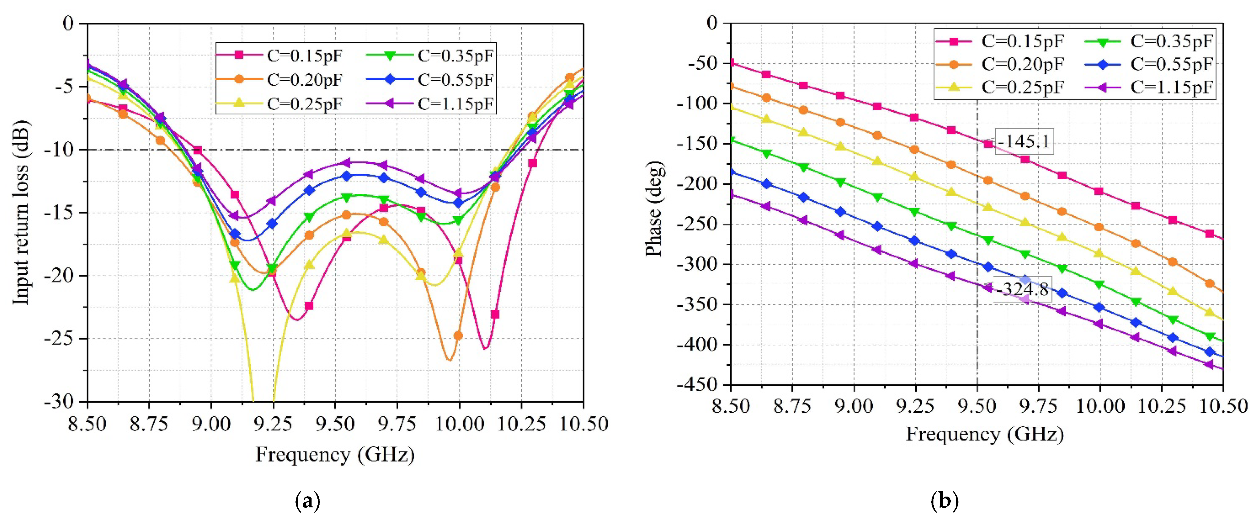
3.1. Unit Design
3.2. One-Dimensional Retro-Reflective Array
3.3. Two-Dimensional Retro-Reflective Array
3.4. Manufacturing and Measurement
4. Conclusions
Author Contributions
Funding
Institutional Review Board Statement
Informed Consent Statement
Data Availability Statement
Conflicts of Interest
References
- Yang, G.-Y.; Zhang, Y.-Y.; Zhu, Y.-Y.; Zheng, Q. Application status and trend of global autonomous vehicle. Auto Maint. Repair. 2024, 62–65. [Google Scholar] [CrossRef]
- Hallbj, P.; Cheng, S. Improvement in 77-ghz radar cross section of road work jacket and side screen by use of planar flexible retrodirective reflectors. IEEE Antennas Wirel. Propag. Lett. 2013, 12, 1085–1088. [Google Scholar]
- Kalaagi, M.; Seetharamdoo, D. Radar cross section enhancement using metasurfaces for road safety applications. In Proceedings of the 2022 16th European Conference on Antennas and Propagation (EuCAP), Madrid, Spain, 27 March–1 April 2022; pp. 1–5. [Google Scholar]
- Charlo, C.; Méric, S.; Gillard, R. RCS-enhancement for improving the detectability of bikes in road safety applications. In Proceedings of the 2020 17th European Radar Conference (EuRAD), Utrecht, The Netherlands, 3–15 January 2021; pp. 222–225. [Google Scholar]
- Vitaz, J.A.; Buerkle, A.M.; Sallin, M.; Sarabandi, K. Enhanced detection of on-metal retro-reflective tags in cluttered environments using a polarimetric technique. IEEE Trans. Antennas Propag. 2012, 60, 3727–3735. [Google Scholar] [CrossRef]
- Vitaz, J.A.; Buerkle, A.M.; Sarabandi, K. Tracking of metallic objects using a retro-reflective array at 26 ghz. IEEE Trans. Antennas Propag. 2010, 58, 3539–3544. [Google Scholar] [CrossRef]
- Miyamoto, R.; Itoh, T. Retrodirective arrays for wireless communications. IEEE Microw. Mag. 2002, 3, 71–79. [Google Scholar] [CrossRef]
- Buchanan, N.B.; Fusco, V.F.; van der Vorst, M. Satcom retrodirective array. IEEE Trans. Microw. Theory Tech. 2016, 64, 1614–1621. [Google Scholar] [CrossRef]
- Li, Y.; Jandhyala, V. Design of retrodirective antenna arrays for short-range wireless power transmission. IEEE Trans. Antennas Propag. 2012, 60, 206–211. [Google Scholar] [CrossRef]
- Li, X.-F.; Ban, Y.-L.; Sun, Q.; Che, Y.-X.; Hu, J.; Nie, Z. A planar 2-d 8 × 8 van atta retrodirective array for RCS enhancement in a wide angular range. IEEE Trans. Antennas Propag. 2022, 70, 12364–12369. [Google Scholar] [CrossRef]
- Xue, R.-D. Design and Research of Wide-Angle Van Atta Antenna Array. Master’s Thesis, Xidian University, Xi’an, China, 2021. [Google Scholar]
- Khoder, K.; Le Roy, M.; Pérennec, A. An all-pass topology to design a 0–360° continuous phase shifter with low insertion loss and constant differential phase shift. In Proceedings of the 2014 44th European Microwave Conference, Rome, Italy, 6–9 October 2014; pp. 1556–1559. [Google Scholar]
- Zhang, Z.; Wang, D.; Lei, Y.; Wang, P.; Zhao, Y.; Zhang, R. Design of RCS enhancer based on metamaterials. Radio Eng. 2017, 47, 67–70. [Google Scholar]
- Tang, J.; Xu, S.; Yang, F.; Li, M. Design and measurement of a reconfigurable transmitarray antenna with compact varactor-based phase shifters. IEEE Antennas Wirel. Propag. Lett. 2021, 20, 1998–2002. [Google Scholar] [CrossRef]
- Re, P.D.H.; Podilchak, S.K.; Constantinides, C.; Goussetis, G.; Lee, J. An active retrodirective antenna element for circularly polarized wireless power transmission. In Proceedings of the 2016 IEEE Wireless Power Transfer Conference (WPTC), Aveiro, Portugal, 5–6 May 2016; pp. 1–4. [Google Scholar]
- Han, T.; Wang, Y.; Li, X.; You, H.; Xu, M. RCS design and simulation of a flying wing layout target drone loaded with a longbo lens reflector. China Sci. Technol. Inf. 2023, 60–63. Available online: https://kns.cnki.net/kcms2/article/abstract?v=qvsDeM7pbdmHprguMaiGtF0JvWv5rCbhtDBJVdwatoNotZDGwKFZ8dyyEq22nTdCBgSlusR81-Y6aW4ZlFmNeXlWCZw3QZ_dqmoL4jjVrEFXvJJyxw4cDAnYLPPJSrx7oJA2JPGltxbbOnrHPd09sYHhbiD_hMAwLxl-qiil2t32FHS2qyx_-g==&uniplatform=NZKPT&language=CHS (accessed on 23 June 2025).
- Li, H.; Qi, X.; Zhou, T.; Xu, Z.; Denidni, T.A. Wideband recon-figurable reflectarray based on reflector-backed second-order bandpass frequency selective surface. IEEE Trans. Antennas Propag. 2022, 70, 12334–12339. [Google Scholar] [CrossRef]
- Kang, Y.; Lin, X.Q.; Li, Y.; Wang, B. Dual-frequency retrodirective antenna array with wide dynamic range for wireless power transfer. IEEE Antennas Wirel. Propag. Lett. 2023, 22, 427–431. [Google Scholar] [CrossRef]
- Sharp, E.; Diab, M. Van atta reflector array. IRE Trans. Antennas Propag. 1960, 8, 436–438. [Google Scholar] [CrossRef]
- Han, Z.-J.; Song, W.; Sheng, X.-Q. In-band RCS reduction and gain enhancement for a patch antenna array by using a 1-D periodic metasurface reflector. IEEE Trans. Antennas Propag. 2019, 67, 4269–4274. [Google Scholar] [CrossRef]
- Chepala, A.; Fusco, V.; Buchanan, N. Active circular retro-directive array. IEEE Trans. Antennas Propag. 2019, 67, 6677–6679. [Google Scholar] [CrossRef]
- Zhang, T.; Pang, X.; Zhang, H.; Zheng, Q. Ultrabroadband RCS reduction and gain enhancement of patch antennas by phase gradient metasurfaces. IEEE Antennas Wirel. Propag. Lett. 2023, 22, 665–669. [Google Scholar] [CrossRef]
- Han, K.; Wei, G.; Zhang, C.; Fan, Q.; Yao, L. A broadband active van atta array system for monostatic RCS modulation at x-band. IEEE Microw. Wirel. Compon. Lett. 2020, 30, 840–842. [Google Scholar] [CrossRef]
- Zeng, X.; Zhong, X.; Cheng, Y.; Fang, C.; Wu, W. Wideband RCS enhancement based on phase gradient metasurface. In Proceedings of the 2022 IEEE 5th International Conference on Electronic Information and Communication Technology (ICEICT), Hefei, China, 21–23 August 2022; pp. 934–936. [Google Scholar]
- Runqiang, J. Research on Target RCS Measurement Method Based on Radar Imaging. Master’s Thesis, Xidian University, Xi’an, China, 2023. [Google Scholar]
- Gu, L.; Cao, W.; Wang, Y.; Mo, J. Obtuse dihedral corner rcsenhancement technique using curved active phase gradient metasurface. In Proceedings of the 2022 International Conference on Microwave and Millimeter Wave Technology (ICMMT), Harbin, China, 12–15 August 2022; pp. 1–3. [Google Scholar]
- Forsyth, W.; Shiroma, W. A retrodirective antenna array using a spatially fed local oscillator. IEEE Trans. Antennas Propag. 2002, 50, 638–640. [Google Scholar] [CrossRef]
- Battaglia, G.M.; Isernia, T.; Palmeri, R.; Morabito, A.F. Four-Beams-Reconfigurable Circular-Ring Array Antennas for Monopulse Radar Applications. Radio Sci. 2023, 58, 1–14. [Google Scholar] [CrossRef]
- Shang, Y.; Shen, Z. Polarization-independent backscattering en-hancement of cylinders based on conformal gradient metasurfaces. IEEE Trans. Antennas Propag. 2017, 65, 2386–2396. [Google Scholar] [CrossRef]
- Zhou, H.; Hong, W.; Tian, L.; Jiang, X.; Zhu, X.-C.; Jiang, M.; Cheng, L.; Zhuang, J.-X. A retrodirective antenna array with polarization rotation property. IEEE Trans. Antennas Propag. 2014, 62, 4081–4088. [Google Scholar] [CrossRef]
- Wang, Y.; Piao, D.; Zuo, J. A wide-angle and fully polarimetric retrodirective array based on tri-polarized antennas with pattern comple-mentation. IEEE Trans. Antennas Propag. 2022, 70, 4518–4525. [Google Scholar] [CrossRef]
















| Symbol | Value | Symbol | Value |
|---|---|---|---|
| 6.77 | 0.62 | ||
| 7.33 | 4.7 | ||
| 15 | 0.64 | ||
| 15 | 0.1 | ||
| 0.7 | 1.12 | ||
| 0.2 | 3.5 | ||
| 1.14 | 1.44 | ||
| 0.88 | |||
| 4.55 | 2.84 | ||
| 0.88 | 1.524 | ||
| 3.35 | 0.508 |
| States | No Phase Compensation | Moderate Compensation | Excessive Compensation | |
|---|---|---|---|---|
| The phase gradient | ||||
| Phase of phase shifter (Unit: degree) | 1 | |||
| 2 | ||||
| 3 | ||||
| 4 | ||||
| 5 | ||||
| 6 | ||||
| 7 | ||||
| 8 | ||||
| RCS Enhancement Scheme | Advantage | Disadvantage | RCS Enhancement Effect |
|---|---|---|---|
| Corner reflector [13] | Simple structure, wide bandwidth [14] | Large volume, single electromagnetic characteristics [15] | 7~10 dB |
| Luneberg lens [16] | Good RCS enhancement effect [17] | 3D structure, large volume [18] | 7~10 dB |
| Van Atta array [10] | Wide bandwidth, wide angle, low profile [19] | Electromagnetic characteristics are uncontrollable [20] | 10~20 dB |
| PON array [21] | Conformal. | Extremely narrow bandwidth [22] | 10 dB |
| Active array with added amplifier [23] | Good RCS enhancement effect [24] | High energy consumption [25] | 20~30 dB |
| Adjustable phase gradient surface [26] | Adjustable direction of RCS enhancement [27] Conformal. | Requires a large number of control channels and high costs [28] | 20 dB |
| The proposed surface [29] | Adjustable direction of RCS enhancement wide bandwidth, low profile, [30] conformal low energy consumption [31] | Need to know the direction of the incoming wave. | 10~15 dB |
Disclaimer/Publisher’s Note: The statements, opinions and data contained in all publications are solely those of the individual author(s) and contributor(s) and not of MDPI and/or the editor(s). MDPI and/or the editor(s) disclaim responsibility for any injury to people or property resulting from any ideas, methods, instructions or products referred to in the content. |
© 2025 by the authors. Licensee MDPI, Basel, Switzerland. This article is an open access article distributed under the terms and conditions of the Creative Commons Attribution (CC BY) license (https://creativecommons.org/licenses/by/4.0/).
Share and Cite
Chen, Y.; Wang, T.; Liu, Q.; Wang, H.; Jin, C. Orientation Controllable RCS Enhancement Electromagnetic Surface to Improve the Road Barriers Detectability for Autonomous Driving Radar. Sensors 2025, 25, 4048. https://doi.org/10.3390/s25134048
Chen Y, Wang T, Liu Q, Wang H, Jin C. Orientation Controllable RCS Enhancement Electromagnetic Surface to Improve the Road Barriers Detectability for Autonomous Driving Radar. Sensors. 2025; 25(13):4048. https://doi.org/10.3390/s25134048
Chicago/Turabian StyleChen, Yanbin, Tong Wang, Qi Liu, Haochen Wang, and Cheng Jin. 2025. "Orientation Controllable RCS Enhancement Electromagnetic Surface to Improve the Road Barriers Detectability for Autonomous Driving Radar" Sensors 25, no. 13: 4048. https://doi.org/10.3390/s25134048
APA StyleChen, Y., Wang, T., Liu, Q., Wang, H., & Jin, C. (2025). Orientation Controllable RCS Enhancement Electromagnetic Surface to Improve the Road Barriers Detectability for Autonomous Driving Radar. Sensors, 25(13), 4048. https://doi.org/10.3390/s25134048

