Dielectric Properties of Materials Used for Microwave-Based NOx Gas Dosimeters
Abstract
1. Introduction
2. The Working Principle of the RF-Based NOx Gas Dosimeter
3. Development of Sensor Materials
3.1. Sensor Substrate
3.2. NOx Storage Materials
3.3. The Determination of Dielectric Properties Using the MCP Method
4. Dielectric Properties of Sensor Materials
4.1. LTCC Substrate
4.2. Barium-Based Gas Dosimeter Material
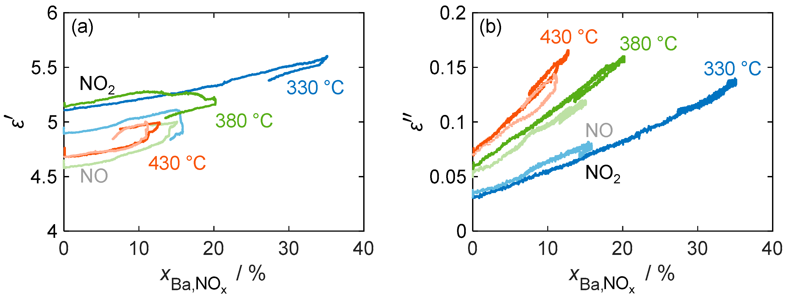
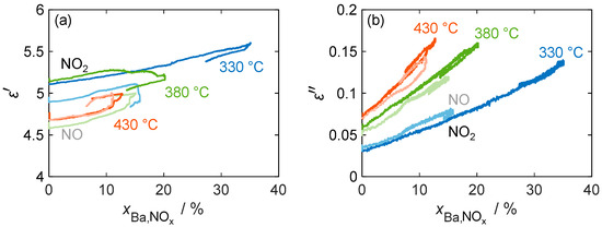
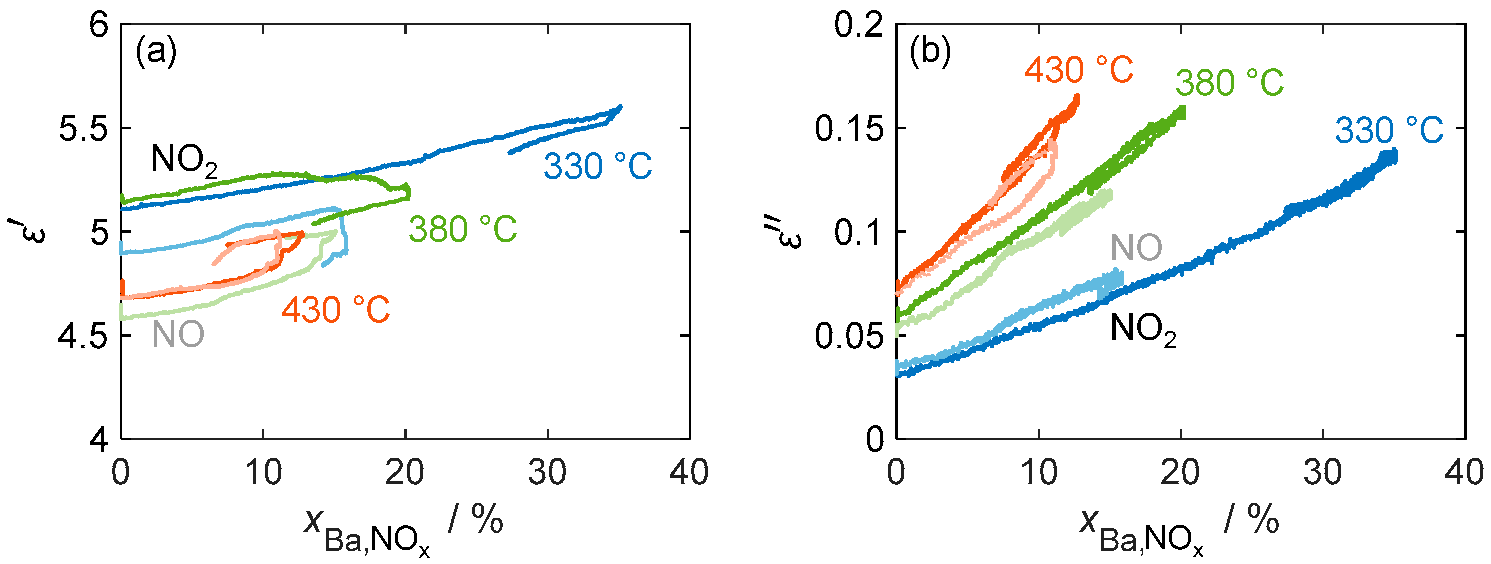
4.2.1. Pure Barium Carbonate
4.2.2. Barium-Coated Alumina
5. Conclusions
Author Contributions
Funding
Data Availability Statement
Conflicts of Interest
References
- European Parliament, Council of the European Union. Directive 2008/50/EC of the European Parliament and of the Council of 21 May 2008 on ambient air quality and cleaner air for Europe. Off. J. Eur. Union 2008, 152, 1–44. [Google Scholar]
- Umweltbundesamt. Available online: https://www.umweltbundesamt.de/daten/luft/stickstoffdioxid-belastung (accessed on 6 March 2024).
- Umweltbundesamt. Available online: https://www.umweltbundesamt.de/themen/luftmessnetz-wo-wie-wird-gemessen (accessed on 6 March 2024).
- Schütze, A.; Pieper, N.; Zacheja, J. Quantitative ozone measurement using a phthalocyanine thin-film sensor and dynamic signal evaluation. Sens. Actuators B 1995, 23, 215–217. [Google Scholar] [CrossRef]
- Chang, I.-S.; Byun, S.-W.; Lim, T.-B.; Park, G.-M. A Study of Drift Effect in a Popular Metal Oxide Sensor and Gas Recognition Using Public Gas Datasets. IEEE Access 2023, 11, 26383–26392. [Google Scholar] [CrossRef]
- Dennler, N.; Rastogi, S.; Fonollosa, J.; van Schaik, A.; Schmuker, M. Drift in a popular metal oxide sensor dataset reveals limitations for gas classification benchmarks. Sens. Actuators B 2022, 361, 131668. [Google Scholar] [CrossRef]
- Marr, I.; Groß, A.; Moos, R. Overview on conductometric solid-state gas dosimeters. J. Sens. Sens. Syst. 2014, 3, 29–46. [Google Scholar] [CrossRef]
- Groß, A.; Bishop, S.R.; Yang, D.J.; Tuller, H.L.; Moos, R. The electrical properties of NOx-storing carbonates during NOx exposure. Solid State Ion. 2012, 225, 317–323. [Google Scholar] [CrossRef]
- Alias, N.; Zaini, M.; Kamaruddin, M.J.; You, K.Y. Dielectric properties of potassium carbonate-impregnated cempedak peel for microwave-assisted activation. Asia-Pac. J. Chem. Eng. 2017, 12, 173–181. [Google Scholar] [CrossRef]
- Walter, S.; Ruwisch, L.; Göbel, U.; Hagen, G.; Moos, R. Radio Frequency-Based Determination of the Oxygen and the NOx Storage Level of NOx Storage Catalysts. Top. Catal. 2019, 62, 157–163. [Google Scholar] [CrossRef]
- Bailly, G.; Rossignol, J.; de Fonseca, B.; Pribetich, P.; Stuerga, D. Microwave Gas Sensing with Hematite: Shape Effect on Ammonia Detection Using Pseudocubic, Rhombohedral, and Spindlelike Particles. ACS Sens. 2016, 1, 656–662. [Google Scholar] [CrossRef]
- Bogner, A.; Steiner, C.; Walter, S.; Kita, J.; Hagen, G.; Moos, R. Planar Microstrip Ring Resonators for Microwave-Based Gas Sensing: Design Aspects and Initial Transducers for Humidity and Ammonia Sensing. Sensors 2017, 17, 2422. [Google Scholar] [CrossRef]
- Zarifi, M.H.; Sohrabi, A.; Shaibani, P.M.; Daneshmand, M.; Thundat, T. Detection of Volatile Organic Compounds Using Microwave Sensors. IEEE Sens. J. 2015, 15, 248–254. [Google Scholar] [CrossRef]
- Gugliandolo, G.; Naishadham, K.; Crupi, G.; Donato, N. Design and Characterization of a Microwave Transducer for Gas Sensing Applications. Chemosensors 2022, 10, 127. [Google Scholar] [CrossRef]
- Javadian-Saraf, A.; Hosseini, E.; Wiltshire, B.D.; Zarifi, M.H.; Arjmand, M. Graphene oxide/polyaniline-based microwave split-ring resonator: A versatile platform towards ammonia sensing. J. Hazard. Mater. 2021, 418, 126283. [Google Scholar] [CrossRef] [PubMed]
- Krudpun, W.; Chudpooti, N.; Lorwongtragool, P.; Seewattanapon, S.; Akkaraekthalin, P. PSE-Coated Interdigital Resonator for Selective Detection of Ammonia Gas Sensor. IEEE Sens. J. 2019, 19, 11228–11235. [Google Scholar] [CrossRef]
- Mohammadi, S.; Zarifi, M.H. Differential Microwave Resonator Sensor for Real-Time Monitoring of Volatile Organic Compounds. IEEE Sens. J. 2021, 21, 6105–6114. [Google Scholar] [CrossRef]
- Singh, S.K.; Tiwari, N.K.; Yadav, A.K.; Akhtar, M.J.; Kar, K.K. Design of ZnO/N-Doped Graphene Nanohybrid Incorporated RF Complementary Split Ring Resonator Sensor for Ammonia Gas Detection. IEEE Sens. J. 2019, 19, 7968–7975. [Google Scholar] [CrossRef]
- Wang, N.; Zhang, N.; Wang, T.; Liu, F.; Wang, X.; Yan, X.; Wang, C.; Liu, X.; Sun, P.; Lu, G. Microwave gas sensor for detection of ammonia at room-temperature. Sens. Actuators B 2022, 350, 130854. [Google Scholar] [CrossRef]
- Mohammed, G.N.A.; Savarimuthu, K.; Erattaiselvam, V.; Rapuru, S.; Yarasi, T.; Dommalapati, N. A compact tri-band microwave resonator for ethanol gas detection. Int. J. RF Microw. Comput. Aided Eng. 2019, 29, e21895. [Google Scholar] [CrossRef]
- Rossignol, J.; Barochi, G.; de Fonseca, B.; Brunet, J.; Bouvet, M.; Pauly, A.; Markey, L. Microwave-based gas sensor with phthalocyanine film at room temperature. Sens. Actuators B 2013, 189, 213–216. [Google Scholar] [CrossRef]
- Rydosz, A.; Maciak, E.; Wincza, K.; Gruszczynski, S. Microwave-based sensors with phthalocyanine films for acetone, ethanol and methanol detection. Sens. Actuators B 2016, 237, 876–886. [Google Scholar] [CrossRef]
- Sorocki, J.; Rydosz, A.; Staszek, K. Wideband microwave multiport-based system for low gas concentration sensing and its application for acetone detection. Sens. Actuators B 2020, 323, 128710. [Google Scholar] [CrossRef]
- Walter, S.; Kita, J.; Schönauer-Kamin, D.; Hagen, G.; Moos, R. Dielectric Properties of Materials used for a Radio-Frequency based NOx Dosimeter. In Proceedings of the SMSI 2023, Nuremberg, Germany, 8–11 May 2023; pp. 114–115. [Google Scholar] [CrossRef]
- Wagner, R.; Schönauer-Kamin, D.; Moos, R. Influence of Humidity and Different Gases on a Resistive Room Temperature NO2 Gas Dosimeter Based on Al-Doped ZnO for ppb-Concentration Detection. J. Electrochem. Soc. 2020, 167, 167516. [Google Scholar] [CrossRef]
- Seitz, C.; Beck, G.; Hennemann, J.; Kandzia, C.; Hering, K.P.; Polity, A.; Klar, P.J.; Paul, A.; Wagner, T.; Russ, S.; et al. H2S dosimeter with controllable percolation threshold based on semi-conducting copper oxide thin films. J. Sens. Sens. Syst. 2017, 6, 163–170. [Google Scholar] [CrossRef]
- Rodríguez-González, L.; Rodríguez-Castellón, E.; Jiménez-López, A.; Simon, U. Correlation of TPD and impedance measurements on the desorption of NH3 from zeolite H-ZSM-5. Solid State Ion. 2008, 179, 1968–1973. [Google Scholar] [CrossRef]
- Ji, Y.; Toops, T.J.; Crocker, M. Effect of Ceria on the Storage and Regeneration Behavior of a Model Lean NOx Trap Catalyst. Catal. Lett. 2007, 119, 257–264. [Google Scholar] [CrossRef]
- Chang, K.; Hsieh, L.-H. Microwave Ring Circuits and Related Structures, 2nd ed.; Wiley-Interscience: Hoboken, NJ, USA, 2004; ISBN 978-0-471-44474-9. [Google Scholar]
- Pozar, D.M. Microwave Engineering, 4th ed.; Wiley: Hoboken, NJ, USA, 2012; ISBN 978-0-470-63155-3. [Google Scholar]
- Svacina, J. Analysis of multilayer microstrip lines by a conformal mapping method. IEEE Trans. Microw. Theory Techn. 1992, 40, 769–772. [Google Scholar] [CrossRef]
- Cohn, S.B. Characteristic Impedance of the Shielded-Strip Transmission Line. IEEE Trans. Microw. Theory Techn. 1954, 2, 52–57. [Google Scholar] [CrossRef]
- Reinecke, T.; Walter, J.-G.; Kobelt, T.; Ahrens, A.; Scheper, T.; Zimmermann, S. Design and evaluation of split-ring resonators for aptamer-based biosensors. J. Sens. Sens. Syst. 2018, 7, 101–111. [Google Scholar] [CrossRef]
- Walter, S.; Bogner, A.; Hagen, G.; Moos, R. Novel radio-frequency-based gas sensor with integrated heater. J. Sens. Sens. Syst. 2019, 8, 49–56. [Google Scholar] [CrossRef]
- DuPont. DuPont GreenTape 951. Datasheet. Available online: https://www.etsmtl.ca/Unites-de-recherche/LTCC/Services-offerts/Dupont_951.pdf (accessed on 21 February 2024).
- DuPont. DuPont GreenTape 9K7. Datasheet. Available online: https://www.etsmtl.ca/Unites-de-recherche/LTCC/Services-offerts/Dupont_9K7.pdf (accessed on 21 February 2024).
- Crolla, D.; Foster, D.E.; Kobayashi, T.; Vaughan, N. (Eds.) Encyclopedia of Automotive Engineering; John Wiley & Sons, Ltd.: Chichester, UK, 2014; ISBN 9781118354179. [Google Scholar]
- Fridell, E.; Skoglundh, M.; Westerberg, B.; Johansson, S.; Smedler, G. NOx Storage in Barium-Containing Catalysts. J. Catal. 1999, 183, 196–209. [Google Scholar] [CrossRef]
- Theis, J.R.; Lambert, C.K. An assessment of low temperature NOx adsorbers for cold-start NOx control on diesel engines. Catal. Today 2015, 258, 367–377. [Google Scholar] [CrossRef]
- Maizak, D.; Wilberforce, T.; Olabi, A.G. DeNOx removal techniques for automotive applications—A review. Environ. Adv. 2020, 2, 100021. [Google Scholar] [CrossRef]
- Epling, W.S.; Campbell, L.E.; Yezerets, A.; Currier, N.W.; Parks, J.E. Overview of the Fundamental Reactions and Degradation Mechanisms of NOx Storage/Reduction Catalysts. Catal. Rev. 2004, 46, 163–245. [Google Scholar] [CrossRef]
- Roy, S.; Baiker, A. NOx storage-reduction catalysis: From mechanism and materials properties to storage-reduction performance. Chem. Rev. 2009, 109, 4054–4091. [Google Scholar] [CrossRef] [PubMed]
- AL-Harbi, M.; Epling, W.S. Investigating the Effect of NO Versus NO2 on the Performance of a Model NOx Storage/Reduction Catalyst. Catal. Lett. 2009, 130, 121–129. [Google Scholar] [CrossRef]
- Harold, M.P. NOx storage and reduction in lean burn vehicle emission control: A catalytic engineer’s playground. Curr. Opin. Chem. Eng. 2012, 1, 303–311. [Google Scholar] [CrossRef]
- Muncrief, R.L.; Khanna, P.; Kabin, K.S.; Harold, M.P. Mechanistic and kinetic studies of NOx storage and reduction on Pt/BaO/Al2O3. Catal. Today 2004, 98, 393–402. [Google Scholar] [CrossRef]
- Lietti, L.; Forzatti, P.; Nova, I.; Tronconi, E. NOx Storage Reduction over Pt-Ba/γ-Al2O3 Catalyst. J. Catal. 2001, 204, 175–191. [Google Scholar] [CrossRef]
- Watling, T.C.; Bolton, P.D.; Swallow, D. Comparison of different kinetic models for NOx storage on a lean NOx trap. Can. J. Chem. Eng. 2014, 92, 1506–1516. [Google Scholar] [CrossRef]
- Lietti, L.; Nova, I.; Forzatti, P. Role of ammonia in the reduction by hydrogen of NOx stored over Pt–Ba/Al2O3 lean NOx trap catalysts. J. Catal. 2008, 257, 270–282. [Google Scholar] [CrossRef]
- Dietrich, M.; Rauch, D.; Porch, A.; Moos, R. A Laboratory Test Setup for in Situ Measurements of the Dielectric Properties of Catalyst Powder Samples under Reaction Conditions by Microwave Cavity Perturbation: Set up and Initial Tests. Sensors 2014, 14, 16856–16868. [Google Scholar] [CrossRef] [PubMed]
- Steiner, C.; Walter, S.; Malashchuk, V.; Hagen, G.; Kogut, I.; Fritze, H.; Moos, R. Determination of the Dielectric Properties of Storage Materials for Exhaust Gas Aftertreatment Using the Microwave Cavity Perturbation Method. Sensors 2020, 20, 6024. [Google Scholar] [CrossRef] [PubMed]
- Steiner, C.; Hagen, G.; Kogut, I.; Fritze, H.; Moos, R. Analysis of defect chemistry and microstructural effects of non-stoichiometric ceria by the high-temperature microwave cavity perturbation method. J. Eur. Ceram. Soc. 2022, 42, 499–511. [Google Scholar] [CrossRef]
- Walter, S.; Schwanzer, P.; Steiner, C.; Hagen, G.; Rabl, H.-P.; Dietrich, M.; Moos, R. Mixing Rules for an Exact Determination of the Dielectric Properties of Engine Soot Using the Microwave Cavity Perturbation Method and Its Application in Gasoline Particulate Filters. Sensors 2022, 22, 3311. [Google Scholar] [CrossRef] [PubMed]
- Sihvola, A. Mixing Rules with Complex Dielectric Coefficients. Subsurf. Sens. Technol. Appl. 2000, 1, 393–415. [Google Scholar] [CrossRef]
- Wiener, O. Zur Theorie der Refraktionskonstanten. Math.-Phys. Kl. 1910, 62, 256–277. [Google Scholar]
- Leong, K.; Mazierska, J.; Krupka, J. Measurements of unloaded Q-factor of transmission mode dielectric resonators. In Proceedings of the 1997 IEEE MTT-S International Microwave Symposium Digest, Denver, CO, USA, 8–13 June 1997; pp. 1639–1642. [Google Scholar] [CrossRef]
- Inoue, R.; Miwa, K.; Kitano, H.; Maeda, A.; Odate, Y.; Tanabe, E. Highly Accurate and Real-Time Determination of Resonant Characteristics: Complex Linear Regression of the Transmission Coefficient. IEEE Trans. Microw. Theory Techn. 2004, 52, 2163–2168. [Google Scholar] [CrossRef]
- Niedermayer, A.O.; Voglhuber-Brunnmaier, T.; Sell, J.; Jakoby, B. Methods for the robust measurement of the resonant frequency and quality factor of significantly damped resonating devices. Meas. Sci. Technol. 2012, 23, 85107. [Google Scholar] [CrossRef]
- Cohn, S.B. Problems in Strip Transmission Lines. IEEE Trans. Microw. Theory Techn. 1955, 3, 119–126. [Google Scholar] [CrossRef]
- Rauch, D.; Dietrich, M.; Simons, T.; Simon, U.; Porch, A.; Moos, R. Microwave Cavity Perturbation Studies on H-form and Cu Ion-Exchanged SCR Catalyst Materials: Correlation of Ammonia Storage and Dielectric Properties. Top. Catal. 2017, 60, 243–249. [Google Scholar] [CrossRef]
- Castoldi, L.; Lietti, L.; Forzatti, P.; Morandi, S.; Ghiotti, G.; Vindigni, F. The NOx storage-reduction on PtK/Al2O3 Lean NOx Trap catalyst. J. Catal. 2010, 276, 335–350. [Google Scholar] [CrossRef]
- Wagner, R.; Schönauer-Kamin, D.; Moos, R. Novel Operation Strategy to Obtain a Fast Gas Sensor for Continuous ppb-Level NO2 Detection at Room Temperature Using ZnO-A Concept Study with Experimental Proof. Sensors 2019, 19, 4104. [Google Scholar] [CrossRef] [PubMed]













| LTCC | x,y-Shrinkage | z-Shrinkage | ||
|---|---|---|---|---|
| Measured | In the Literature | Measured | In the Literature | |
| 9K7 | 7.8% ± 0.3% | 9.1% ± 0.3% | 12.2% ± 1.2% | 11.8% ± 0.5% |
| 951 | 12.4% ± 0.2% | 12.7% ± 0.3% | 16.9% ± 1.6% | 15.0% ± 0.5% |
| Material | BET Surface/m2/g |
|---|---|
| BaCO3 | 1.7 |
| 5.6 wt.% BaCO3 @ Al2O3 | 63 |
| 11.2 wt.% BaCO3 @ Al2O3 | 57 |
| 16.9 wt.% BaCO3 @ Al2O3 | 46 |
| γ-Al2O3 | 72 |
Disclaimer/Publisher’s Note: The statements, opinions and data contained in all publications are solely those of the individual author(s) and contributor(s) and not of MDPI and/or the editor(s). MDPI and/or the editor(s) disclaim responsibility for any injury to people or property resulting from any ideas, methods, instructions or products referred to in the content. |
© 2024 by the authors. Licensee MDPI, Basel, Switzerland. This article is an open access article distributed under the terms and conditions of the Creative Commons Attribution (CC BY) license (https://creativecommons.org/licenses/by/4.0/).
Share and Cite
Walter, S.; Baumgärtner, J.; Hagen, G.; Schönauer-Kamin, D.; Kita, J.; Moos, R. Dielectric Properties of Materials Used for Microwave-Based NOx Gas Dosimeters. Sensors 2024, 24, 2951. https://doi.org/10.3390/s24092951
Walter S, Baumgärtner J, Hagen G, Schönauer-Kamin D, Kita J, Moos R. Dielectric Properties of Materials Used for Microwave-Based NOx Gas Dosimeters. Sensors. 2024; 24(9):2951. https://doi.org/10.3390/s24092951
Chicago/Turabian StyleWalter, Stefanie, Johanna Baumgärtner, Gunter Hagen, Daniela Schönauer-Kamin, Jaroslaw Kita, and Ralf Moos. 2024. "Dielectric Properties of Materials Used for Microwave-Based NOx Gas Dosimeters" Sensors 24, no. 9: 2951. https://doi.org/10.3390/s24092951
APA StyleWalter, S., Baumgärtner, J., Hagen, G., Schönauer-Kamin, D., Kita, J., & Moos, R. (2024). Dielectric Properties of Materials Used for Microwave-Based NOx Gas Dosimeters. Sensors, 24(9), 2951. https://doi.org/10.3390/s24092951

