A Fuzzy-PI Clock Servo with Window Filter for Compensating Queue-Induced Delay Asymmetry in IEEE 1588 Networks
Abstract
1. Introduction
- We propose a time offset estimation algorithm based on the minimum window filter. It has two improvements over ref. [35]. One is to use a single observation window to complete the frequency offset estimation without constructing a second window. Another is that the estimation is optimal bidirectional estimation, effectively reducing the estimation error.
- We propose a method to determine PI coefficients according to the damping ratio and natural frequency under the discrete system model. After adding fuzzy logic, the system can adaptively adjust PI coefficients at different stages, ensuring rapid convergence and high synchronization accuracy. The physical and fuzzy domains of the fuzzy controller are separated by scaling factors, improving the design flexibility.
- We optimize the algorithm parameters and evaluate the performance of the clock servo based on the broadcast traffic model. In a 100 Mbps network with BG traffic of less than 70 Mbps, the maximum absolute time error does not exceed 0.35 μs, which is improved hundreds of times compared with other clock servos [27,28,31,33].
2. Related Works
2.1. QIDA Compensation Methods
2.2. Design Methods of the Clock Servo
3. Background and Problem Statement
3.1. Delay Asymmetry Analysis
3.2. Frequency Compensation Clock
4. Design of the Clock Servo
4.1. Minimum Window Filter
| Algorithm 1: Time offset estimation using the minimum window filter |
![]() |
4.2. Fuzzy-PI Controller
- If and are large, a large should be selected to speed up the system response and ensure rapid convergence.
- If and are moderate, a moderate should be chosen so that the system has smaller overshoot.
- If and are small, a small should be taken so that the system has good steady-state performance and anti-noise ability.
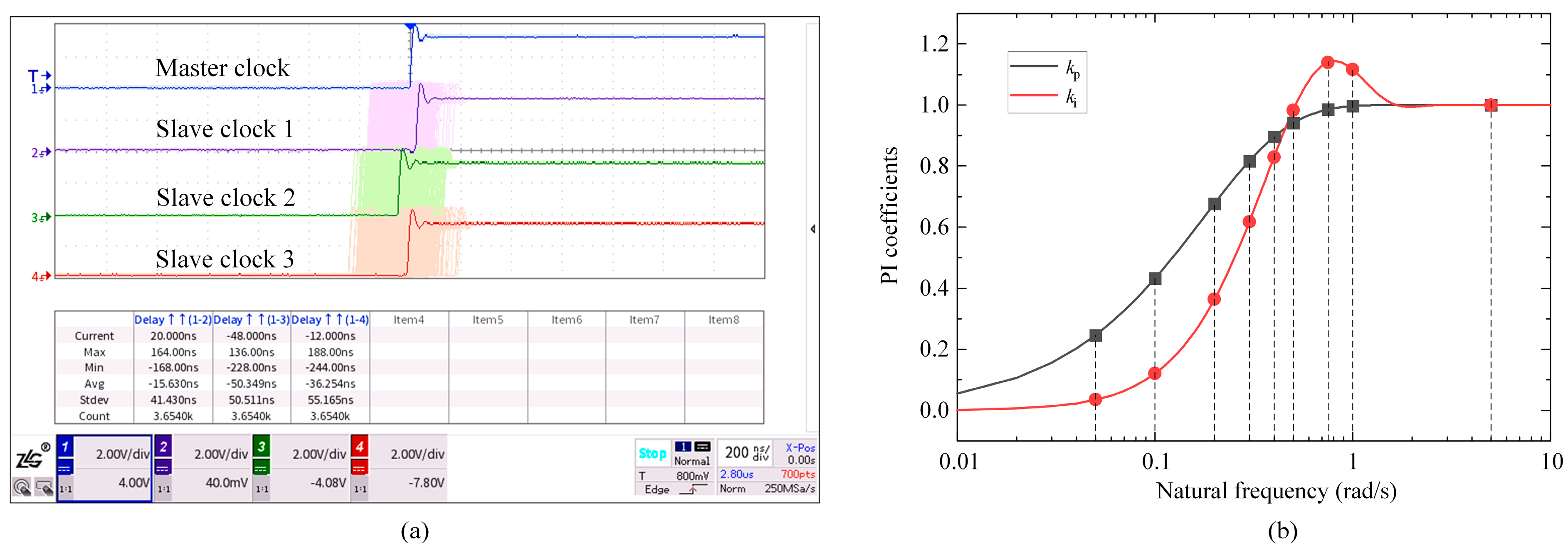
5. Experimental Platform
5.1. System Introduction
5.2. BG Traffic Model
6. Results and Discussion
6.1. Effect of Different Parameters on Synchronization Performance
6.1.1. PI Coefficients
6.1.2. BG Traffic
6.1.3. Switch Hop Count
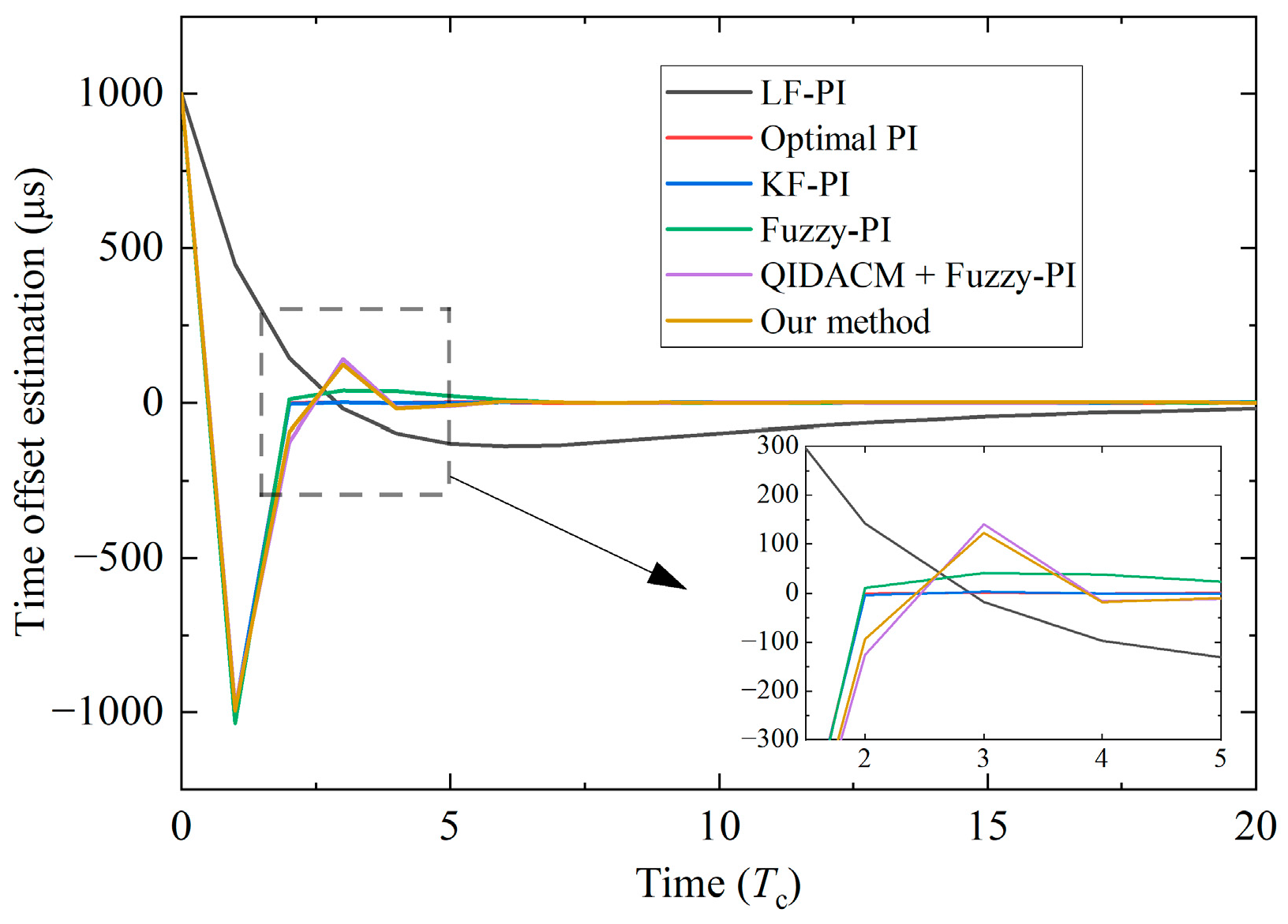
6.2. Comparison with Other Methods
- Dedicated switches for PTPv2 are expensive.
- Sending probing packets causes major changes to PTP. Controlled packet departure has strict timing requirements. Their compatibility and applicability are not strong.
- PTP-LP has a high computational cost and is also not suitable for the STM32 platform.
- Optimal estimation algorithm requires an oscilloscope to provide input, which is not easy to implement in practical applications.
7. Conclusions
Author Contributions
Funding
Institutional Review Board Statement
Informed Consent Statement
Data Availability Statement
Acknowledgments
Conflicts of Interest
References
- Ge, X.; Yang, F.; Han, Q.-L. Distributed networked control systems: A brief overview. Inform. Sci. 2017, 380, 117–131. [Google Scholar] [CrossRef]
- Lévesque, M.; Tipper, D. A survey of clock synchronization over packet-switched networks. IEEE Commun. Surv. Tut. 2016, 18, 2926–2947. [Google Scholar] [CrossRef]
- Yang, T.; Niu, Y.; Yu, J. Clock synchronization in wireless sensor networks based on Bayesian estimation. IEEE Access 2020, 8, 69683–69694. [Google Scholar] [CrossRef]
- Ganeriwal, S.; Kumar, R.; Srivastava, M.B. Timing-Sync Protocol for Sensor Networks. In Proceedings of the 1st International Conference on Embedded Networked Sensor Systems, Los Angeles, CA, USA, 5–7 November 2003; pp. 138–149. [Google Scholar]
- Elson, J.; Girod, L.; Estrin, D. Fine-grained network time synchronization using reference broadcasts. ACM SIGOPS Oper. Syst. Rev. 2002, 36, 147–163. [Google Scholar] [CrossRef]
- Maróti, M.; Kusy, B.; Simon, G.; Lédeczi, A. The Flooding Time Synchronization Protocol. In Proceedings of the 2nd International Conference on Embedded Networked Sensor Systems, Baltimore, MD, USA, 3–5 November 2004; pp. 39–49. [Google Scholar]
- Industrial Network Market Shares. 2023. Available online: https://www.hms-networks.com/news-and-insights/news-from-hms/2023/05/05/industrial-network-market-shares-2023 (accessed on 25 December 2023).
- Hou, T.-C.; Liu, L.-H.; Lan, Y.-K.; Chen, Y.-T.; Chu, Y.-S. An Improved Network Time Protocol for Industrial Internet of Things. Sensors 2022, 22, 5021. [Google Scholar] [CrossRef] [PubMed]
- IEEE Std. 1588-2008; IEEE Standard for a Precision Clock Synchronization Protocol for Networked Measurement and Control Systems. IEEE: Piscataway, NJ, USA, 2008; pp. 1–269. [CrossRef]
- Son, K.J.; Chang, T.G.; Kang, S.H. The Effect of Time Synchronization Error in LAN-Based Digital Substation. Sensors 2019, 19, 2044. [Google Scholar] [CrossRef] [PubMed]
- Shinohara, M.; Yamada, T.; Uehira, K.; Sakai, S.I.; Shiobara, H.; Kanazawa, T. Development and Operation of an Ocean Bottom Cable Seismic and Tsunami (OBCST) Observation System in the Source Region of the Tohoku-oki Earthquake. Earth Space Sci. 2021, 8, e2020EA001359. [Google Scholar] [CrossRef]
- Kim, H.J.; Lee, U.; Kim, M.; Lee, S. Time-synchronization method for CAN–Ethernet networks with gateways. Appl. Sci. 2020, 10, 8873. [Google Scholar] [CrossRef]
- Hongna, J.; Hongwei, J.; Zhongfei, B. The application strategy for intelligent wireless sensor network in flight test. In Proceedings of the 2019 14th IEEE International Conference on Electronic Measurement & Instruments (ICEMI), Changsha, China, 1–3 November 2019; pp. 815–819. [Google Scholar]
- Lipiński, M.; van der Bij, E.; Serrano, J.; Włostowski, T.; Daniluk, G.; Wujek, A.; Rizzi, M.; Lampridis, D. White Rabbit Applications and Enhancements. In Proceedings of the 2018 IEEE International Symposium on Precision Clock Synchronization for Measurement, Control, and Communication (ISPCS), Geneva, Switzerland, 30 September–5 October 2018; pp. 1–7. [Google Scholar]
- IEEE Std 1588-2019; IEEE Standard for a Precision Clock Synchronization Protocol for Networked Measurement and Control Systems. IEEE: Piscataway, NJ, USA, 2020; pp. 1–499. [CrossRef]
- Loschmidt, P.; Gaderer, G.; Simanic, N.; Hussain, A.; Moreira, P. White Rabbit-Sensor/Actuator Protocol for the CERN LHC Particle Accelerator. In Proceedings of the 2009 IEEE Sensors, Christchurch, New Zealand, 25–28 October 2009; pp. 781–786. [Google Scholar]
- Sánchez-Garrido, J.; Jurado, A.; Jiménez-López, M.; Balzer, A.; Prokoph, H.; Stephan, M.; Berge, D.; Rodríguez-Álvarez, M.; Díaz, J. A white rabbit-synchronized accurate time-stamping solution for the small-sized cameras of the Cherenkov telescope array. IEEE Trans. Instrum. Meas. 2020, 70, 2000314. [Google Scholar] [CrossRef]
- IEEE Std 1588-2002; IEEE Standard for a Precision Clock Synchronization Protocol for Networked Measurement and Control Systems. IEEE: Piscataway, NJ, USA, 2002; pp. 1–154. [CrossRef]
- Han, J.; Jeong, D.-K. A practical implementation of IEEE 1588-2008 transparent clock for distributed measurement and control systems. IEEE Trans. Instrum. Meas. 2009, 59, 433–439. [Google Scholar]
- EDS-405A-PTP. Available online: https://moxastore.express-inc.com/EDS_405A_PTP_p/eds-405a-ptp.htm (accessed on 25 December 2023).
- IGS-804SM-SE-E. Available online: https://www.megatelindustries.com/ig8x4xsfpgbe.html (accessed on 25 December 2023).
- Liang, Y.; Wang, X.; Li, J.; Zhang, H.; Tan, Y.; Wu, F.; Gao, D. IEEE 1588-Based Timing and Triggering Prototype for Distributed Power Supplies in HIAF. IEEE Trans. Instrum. Meas. 2022, 71, 5502309. [Google Scholar] [CrossRef]
- Zhang, J.; Zhang, W. A Disturbance Rejection Control Approach for Clock Synchronization in IEEE 1588 Networks. J. Syst. Sci. Complex. 2018, 31, 1437–1448. [Google Scholar] [CrossRef]
- Ye, K.; Yan, Y.; Wu, H. Time synchronization algorithm for networked control systems based on stochastic search. IEEE Trans. Ind. Inform. 2021, 18, 26–34. [Google Scholar] [CrossRef]
- Eidson, J.C. Practical Issues in Implementing IEEE 1588. In Measurement, Control, and Communication Using IEEE 1588; Grimble, M., Johnson, M., Eds.; Springer Science & Business Media: Berlin/Heidelberg, Germany, 2006; pp. 146–147. [Google Scholar]
- Correll, K.; Barendt, N.; Branicky, M. Design Considerations for Software Only Implementations of the IEEE 1588 Precision Time Protocol. In Proceedings of the 2004 Conference on IEEE 1588, Standard for a Precision Clock Synchronization Protocol for Networked Measurement and Control Systems, Gaithersburg, MD, USA, 27–29 September 2004. [Google Scholar]
- Lao, K.; Yan, G. Implementation and Analysis of IEEE 1588 PTP Daemon Based on Embedded System. In Proceedings of the 2020 39th Chinese Control Conference (CCC), Shenyang, China, 27–29 July 2020; pp. 4377–4382. [Google Scholar]
- Giorgi, G.; Narduzzi, C. Performance analysis of Kalman-filter-based clock synchronization in IEEE 1588 networks. IEEE Trans. Instrum. Meas. 2011, 60, 2902–2909. [Google Scholar] [CrossRef]
- Xu, X.; Xiong, Z.; Sheng, X.; Wu, J.; Zhu, X. A new time synchronization method for reducing quantization error accumulation over real-time networks: Theory and experiments. IEEE Trans. Ind. Inform. 2013, 9, 1659–1669. [Google Scholar] [CrossRef]
- Chen, W.; Sun, J.; Zhang, L.; Liu, X.; Hong, L. An implementation of IEEE 1588 protocol for IEEE 802.11 WLAN. Wirel. Netw. 2015, 21, 2069–2085. [Google Scholar] [CrossRef]
- Xu, X.; Xiong, Z.; Wu, J.; Zhu, X. High-precision time synchronization in real-time Ethernet-based CNC systems. Int. J. Adv. Manuf. Technol. 2013, 65, 1157–1170. [Google Scholar] [CrossRef]
- Liu, J.; Li, X.; Liu, M.; Cui, X.; Xu, D. A new design of clock synchronization algorithm. Adv. Mech. Eng. 2014, 6, 958686. [Google Scholar] [CrossRef]
- Nguyen, V.Q.; Nguyen, T.H.; Jeon, J.W. An adaptive fuzzy-PI clock servo based on IEEE 1588 for improving time synchronization over Ethernet networks. IEEE Access 2020, 8, 61370–61383. [Google Scholar] [CrossRef]
- Zhang, X.; Zhang, S.; Dong, W.; Wang, K. A Novel Time Synchronization Method for Smart Grid Based on Improved Wolf Colony Algorithm-Cuckoo Search Optimized Fuzzy PID Controller. IEEE Access 2022, 10, 116959–116971. [Google Scholar] [CrossRef]
- Freire, I.; Novaes, C.; Almeida, I.; Medeiros, E.; Berg, M.; Klautau, A. Clock synchronization algorithms over PTP-unaware networks: Reproducible comparison using an FPGA testbed. IEEE Access 2021, 9, 20575–20601. [Google Scholar] [CrossRef]
- Lévesque, M.; Tipper, D. Improving the PTP synchronization accuracy under asymmetric delay conditions. In Proceedings of the 2015 IEEE International Symposium on Precision Clock Synchronization for Measurement, Control, and Communication (ISPCS), Beijing, China, 11–16 October 2015; pp. 88–93. [Google Scholar]
- Freire, I.; Sousa, I.; Bemerguy, P.; Klautau, A.; Almeida, I.; Lu, C.; Berg, M. Analysis of Controlled Packet Departure to Support Ethernet Fronthaul Synchronization via PTP. In Proceedings of the 2018 IEEE International Symposium on Precision Clock Synchronization for Measurement, Control, and Communication (ISPCS), Geneva, Switzerland, 30 September–5 October 2018; pp. 1–6. [Google Scholar]
- Hadžić, I.; Morgan, D.R. On Packet Selection Criteria for Clock Recovery. In Proceedings of the 2009 International Symposium on Precision Clock Synchronization for Measurement, Control and Communication, Brescia, Italy, 12–16 October 2009; pp. 1–6. [Google Scholar]
- Hadžić, I.; Morgan, D.R. Adaptive Packet Selection for Clock Recovery. In Proceedings of the 2010 IEEE International Symposium on Precision Clock Synchronization for Measurement, Control and Communication, Portsmouth, NH, USA, 27 September–1 October 2010; pp. 42–47. [Google Scholar]
- Chaloupka, Z.; Alsindi, N.; Aweya, J. Clock synchronization over communication paths with queue-induced delay asymmetries. IEEE Commun. Lett. 2014, 18, 1551–1554. [Google Scholar] [CrossRef]
- Giorgi, G.; Narduzzi, C. Precision packet-based frequency transfer based on oversampling. IEEE Trans. Instrum. Meas. 2017, 66, 1856–1863. [Google Scholar] [CrossRef]
- Puttnies, H.; Danielis, P.; Timmermann, D. PTP-LP: Using Linear Programming to Increase the Delay Robustness of IEEE 1588 PTP. In Proceedings of the 2018 IEEE Global Communications Conference (GLOBECOM), Abu Dhabi, United Arab Emirates, 9–13 December 2018; pp. 1–7. [Google Scholar]
- Ha, Y.; Pak, E.; Park, J.; Kim, T.; Yoon, J.W. Clock Offset Estimation for Systems with Asymmetric Packet Delays. IEEE/ACM Trans. Netw. 2023, 31, 1838–1853. [Google Scholar] [CrossRef]
- Idrees, Z.; Granados, J.; Sun, Y.; Latif, S.; Gong, L.; Zou, Z.; Zheng, L. IEEE 1588 for clock synchronization in industrial IoT and related applications: A review on contributing technologies, protocols and enhancement methodologies. IEEE Access 2020, 8, 155660–155678. [Google Scholar] [CrossRef]
- STM32F4 RM0090. Available online: https://www.st.com/resource/en/reference_manual/dm00031020-stm32f405-415-stm32f407-417-stm32f427-437-and-stm32f429-439-advanced-arm-based-32-bit-mcus-stmicroelectronics.pdf (accessed on 25 December 2023).
- Shan, C.; Chen, Z.; Li, Y.; Yuan, H. All DPLLs based on fuzzy PI control algorithm. In Proceedings of the 2011 Second International Conference on Mechanic Automation and Control Engineering, Hohhot, China, 15–17 July 2011; pp. 7150–7153. [Google Scholar]
- STM32_PTPd. Available online: https://github.com/mpthompson/stm32_ptpd (accessed on 25 December 2023).
- Novaes, C.; Freire, I.; Klautau, A.; Almeida, I.; Medeiros, E. Analysis of Kalman Filtering for Clock Synchronization in PTP-Unaware Networks. In Proceedings of the 2021 IEEE Latin-American Conference on Communications (LATINCOM), Santo Domingo, Dominican Republic, 17–19 November 2021; pp. 1–6. [Google Scholar]
















| Symbols | Definitions |
|---|---|
| , | True value, measurement value, and estimation value of the time offset |
| Four timestamps obtained through PTP packet exchanges | |
| Forward and backward timestamp differences | |
| Forward and backward timestamp difference vectors | |
| Forward and backward delays | |
| Forward and backward static delays | |
| Forward and backward queue delays | |
| Measurement noise of the time offset | |
| n | PTP synchronization process index |
| V | Constant value in the frequency compensation clock model |
| Initial value and compensation value of the addend | |
| System clock frequency and slave clock frequency | |
| Slave clock period | |
| k | Observation window index |
| Forward and backward frequency offset estimations | |
| Final frequency offset estimation | |
| N | Observation window length |
| Minimum timestamp differences | |
| Index of the minimum timestamp differences in the observation window | |
| Operator of mathematical statistics | |
| PTP synchronization period and frequency correction period | |
| Master and slave clock time | |
| , | Time offset and its derivative |
| Remaining estimation error after window filtering | |
| Transfer function of the PI controller and the clock | |
| Closed-loop Transfer function of the clock servo system | |
| General closed-loop Transfer function of a second-order continuous system | |
| Constant coefficient in the clock transfer function | |
| Proportional and integral coefficients | |
| Damping ratio | |
| Natural frequency | |
| Equivalent noise bandwidth | |
| Values of the input and output on the fuzzy domain | |
| Scaling factors of the fuzzy controller | |
| , | Boundary of the physical domain |
| Boundary of the fuzzy domain | |
| BG traffic | |
| BG traffic packet length | |
| Switch hop count | |
| Ambient temperature |
| QIDACMs | Accuracy | Hardware Support | Cost | Computational Complexity | Extra Packet Exchange | Compatibility | Applicability |
|---|---|---|---|---|---|---|---|
| PTPv2 [9] | 1 μs | Yes, dedicated switch | High | Low | No | Poor | Good |
| Probing packets [36] | 100 μs | No | Low | Low | Yes | Poor | Moderate |
| Controlled packet departure [37] | N/A | No | Low | Low | No | Poor | Poor |
| Filter [27,28] | 1 ms | No | Low | Low | No | Good | Good |
| Packet selection algorithm [35,38,39,40,41] | 1 μs | No | Low | Moderate | Yes | Good | Good |
| PTP-LP [42] | 100 μs | No | Low | High | No | Good | Good |
| Optimal estimation algorithm [43] | 1 μs | Yes, oscilloscope | Moderate | Moderate | No | Good | Poor |
| |e|/|ec| | NB | NS | ZO | PS | PB |
|---|---|---|---|---|---|
| NB | NB | NB | NB | NS | ZO |
| NS | NB | NS | NS | ZO | PS |
| ZO | NS | NS | ZO | PS | PS |
| PS | ZO | ZO | PS | PS | PB |
| PB | PS | PS | PS | PB | PB |
| Types | Parameters | Values |
|---|---|---|
| Algorithm parameters | Slave clock period | 7 ns |
| 125 ms | ||
| Observation window length N | 32 | |
| PI coefficients , | Calculated by the fuzzy controller | |
| External parameters | BG traffic | From 0 to 100 Mbps |
| BG traffic packet length | 512, 1024, and 1518 Bytes | |
| Switch hop count | From 1 to 5 | |
| Ambient temperature | Room Temperature |
| (rad/s) | Time Error (μs) | ) | |||||||||||
|---|---|---|---|---|---|---|---|---|---|---|---|---|---|
| Slave Clock 1 | Slave Clock 2 | Slave Clock 3 | Slave Clock 1 | Slave Clock 2 | Slave Clock 3 | ||||||||
| Mean | STD | Max |TE| | Mean | STD | Max |TE| | Mean | STD | Max |TE| | |||||
| 0.707 | 0.05 | 0.011 | 0.129 | 0.476 | −0.087 | 0.188 | 0.656 | −0.031 | 0.208 | 0.664 | 46 | 46 | 46 |
| 0.1 | 0.010 | 0.065 | 0.228 | −0.051 | 0.087 | 0.292 | −0.022 | 0.087 | 0.304 | 23 | 23 | 23 | |
| 0.2 | −0.016 | 0.041 | 0.168 | −0.050 | 0.051 | 0.228 | −0.036 | 0.055 | 0.244 | 12 | 12 | 12 | |
| 0.3 | −0.007 | 0.038 | 0.188 | −0.034 | 0.040 | 0.208 | −0.022 | 0.055 | 0.260 | 10 | 10 | 10 | |
| 0.4 | 0.017 | 0.049 | 0.292 | −0.020 | 0.047 | 0.228 | −0.015 | 0.058 | 0.288 | 8 | 8 | 7 | |
| 0.5 | 0.006 | 0.053 | 0.300 | −0.012 | 0.052 | 0.268 | −0.003 | 0.061 | 0.248 | 8 | 8 | 8 | |
| 0.75 | −0.033 | 0.070 | 0.460 | −0.018 | 0.062 | 0.352 | −0.035 | 0.071 | 0.344 | 7 | 7 | 7 | |
| 1 | 0.005 | 0.057 | 0.360 | −0.006 | 0.063 | 0.532 | 0.008 | 0.061 | 0.304 | 7 | 7 | 8 | |
| 5 | −0.024 | 0.064 | 0.432 | −0.018 | 0.054 | 0.364 | −0.018 | 0.059 | 0.316 | 7 | 7 | 7 | |
| Fuzzy-PI | 0.005 | 0.039 | 0.168 | −0.006 | 0.046 | 0.248 | −0.005 | 0.057 | 0.196 | 8 | 7 | 8 | |
| Methods | Parameters | Values |
|---|---|---|
| LF-PI [27] | Time offset filter coefficient | 0.5 |
| PI coefficients | 0.5 and 0.0625 | |
| Optimal PI [31] | PI coefficients | 1 |
| KF-PI [28] | Process noise covariance | 0.1 (μs)2 |
| Measurement noise covariance | Calculated based on the one-way delay measured fifty times before starting the filter | |
| PI coefficients | 1 | |
| Fuzzy-PI [33] | Upper bound of the absolute time offset | 500 μs |
| Upper bound of the absolute offset derivative | 100 μs/s | |
| QIDACM [40] | Clock skew | Value of Equation (12) in this paper, with the opposite sign |
| Exponentially weighted moving average filter factor | 1 | |
| All | Synchronization period | 4 s |
| Methods | Time Error (μs) | |||||||||||
|---|---|---|---|---|---|---|---|---|---|---|---|---|
| Slave Clock 1 | Slave Clock 2 | Slave Clock 3 | Slave Clock 1 | Slave Clock 2 | Slave Clock 3 | |||||||
| Mean | STD | Max |TE| | Mean | STD | Max |TE| | Mean | STD | Max |TE| | ||||
| LF-PI [27] | −10.8 | 34.2 | 157 | −9.73 | 33.1 | 134 | −10.5 | 32.5 | 161 | 40 | 38 | 38 |
| Optimal PI [31] | −9.03 | 98.3 | 507 | −11.0 | 94.5 | 376 | −11.0 | 106 | 465 | 4 | 4 | 3 |
| KF-PI [28] | −12.0 | 44.5 | 100 | −10.0 | 55.1 | 103 | −10.3 | 23.0 | 55.3 | 4 | 4 | 4 |
| Fuzzy-PI [33] | −9.36 | 54.7 | 366 | −9.37 | 53.1 | 264 | −10.2 | 55.4 | 306 | 11 | 11 | 11 |
| QIDACM [40] + Fuzzy-PI | 0.009 | 0.051 | 0.380 | −0.001 | 0.056 | 0.260 | 0.010 | 0.069 | 0.364 | 7 | 7 | 7 |
| Our method | 0.005 | 0.039 | 0.168 | −0.006 | 0.046 | 0.248 | −0.005 | 0.057 | 0.196 | 7 | 7 | 7 |
Disclaimer/Publisher’s Note: The statements, opinions and data contained in all publications are solely those of the individual author(s) and contributor(s) and not of MDPI and/or the editor(s). MDPI and/or the editor(s) disclaim responsibility for any injury to people or property resulting from any ideas, methods, instructions or products referred to in the content. |
© 2024 by the authors. Licensee MDPI, Basel, Switzerland. This article is an open access article distributed under the terms and conditions of the Creative Commons Attribution (CC BY) license (https://creativecommons.org/licenses/by/4.0/).
Share and Cite
Zhang, Y.; Li, H.; Wang, S.; Chen, F. A Fuzzy-PI Clock Servo with Window Filter for Compensating Queue-Induced Delay Asymmetry in IEEE 1588 Networks. Sensors 2024, 24, 2369. https://doi.org/10.3390/s24072369
Zhang Y, Li H, Wang S, Chen F. A Fuzzy-PI Clock Servo with Window Filter for Compensating Queue-Induced Delay Asymmetry in IEEE 1588 Networks. Sensors. 2024; 24(7):2369. https://doi.org/10.3390/s24072369
Chicago/Turabian StyleZhang, Yifeng, Haotian Li, Shixuan Wang, and Feifan Chen. 2024. "A Fuzzy-PI Clock Servo with Window Filter for Compensating Queue-Induced Delay Asymmetry in IEEE 1588 Networks" Sensors 24, no. 7: 2369. https://doi.org/10.3390/s24072369
APA StyleZhang, Y., Li, H., Wang, S., & Chen, F. (2024). A Fuzzy-PI Clock Servo with Window Filter for Compensating Queue-Induced Delay Asymmetry in IEEE 1588 Networks. Sensors, 24(7), 2369. https://doi.org/10.3390/s24072369


