Fast Prediction Method for Scattering Parameters of Rigid-Flex PCBs Based on ANN
Abstract
1. Introduction
2. Prediction of Rigid-Flex Printed Circuit Board’s Scattering Parameters
2.1. Rigid-Flex Printed Circuit Boards and Problems of Infrared InGaAs Detection Links
2.2. BP Neural Network
2.3. Modeling of Rigid-Flex PCB S-Parameters Based on BP Neural Network
2.3.1. Network Parameter Settings
2.3.2. Model Training
3. Simulation
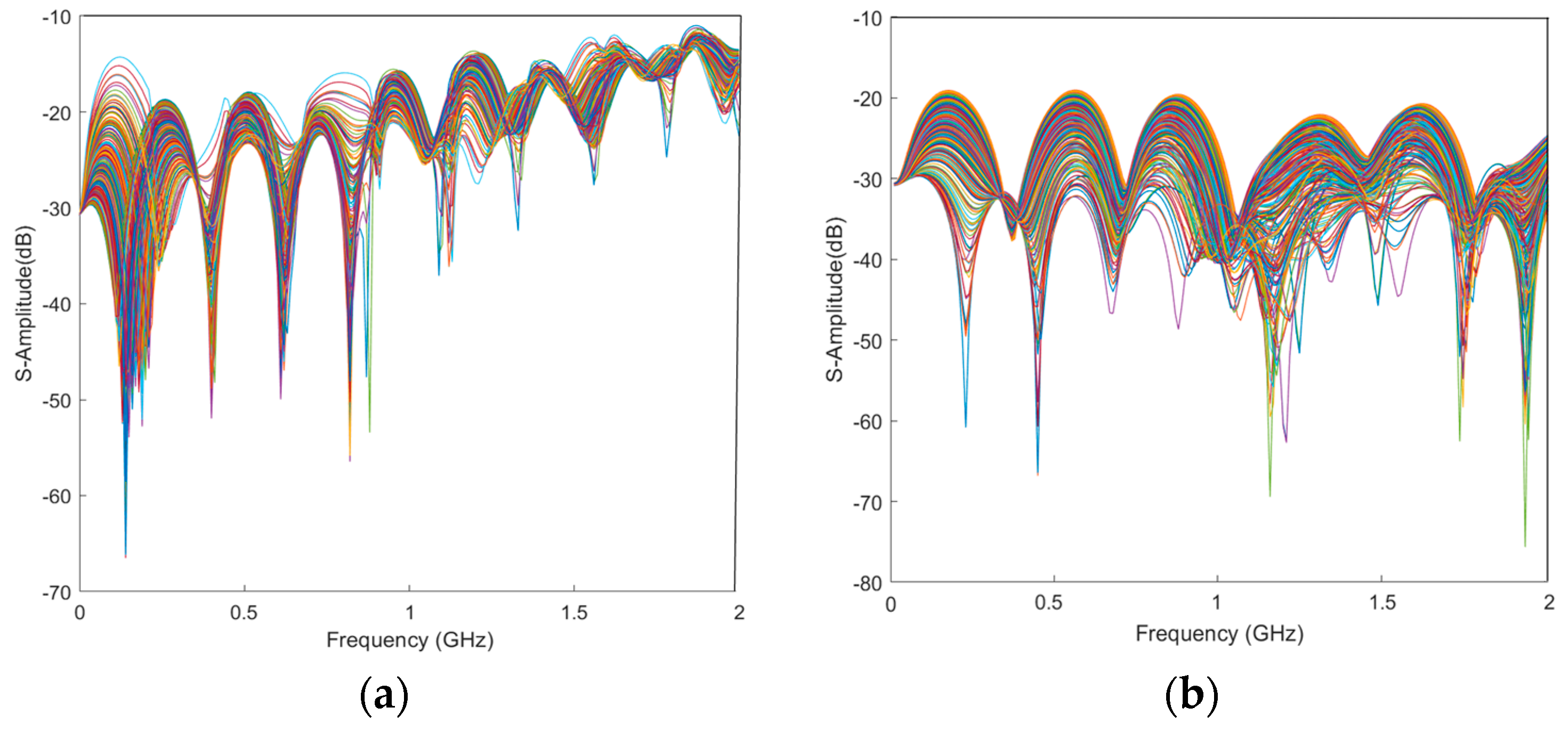
3.1. Data Acquisition and Analysis
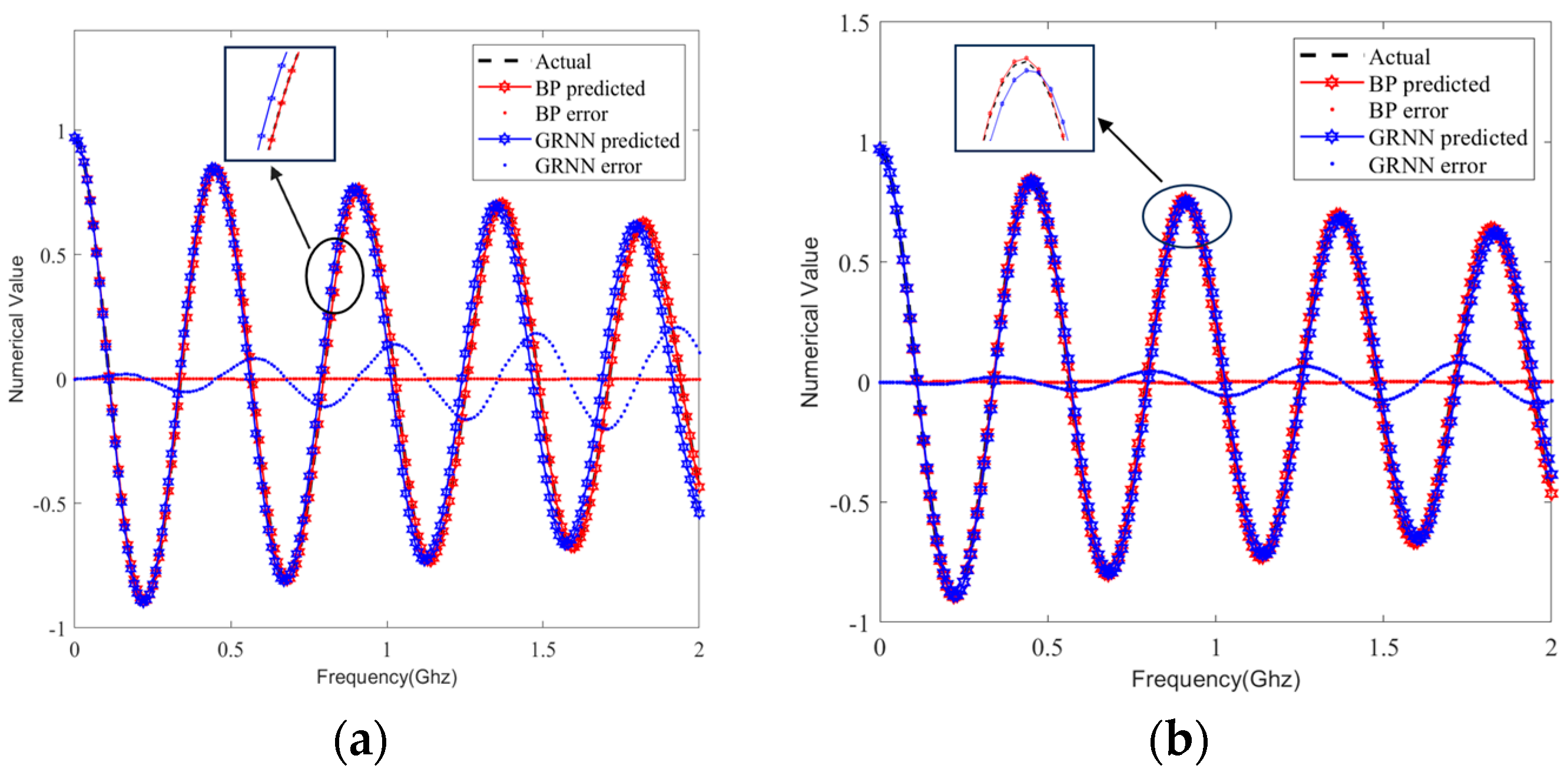
3.2. Prediction Results and Analysis
3.2.1. Overfitting, Robustness and Generalization Ability Analysis
3.2.2. Comparison of Goodness-of-Fit between BP Model and GRNN Model
3.2.3. Time Efficiency
3.2.4. Errors in Eye Height and Eye Width
4. Discussion
5. Conclusions
Author Contributions
Funding
Institutional Review Board Statement
Informed Consent Statement
Data Availability Statement
Acknowledgments
Conflicts of Interest
Abbreviations
| 3D | Three-dimensional |
| ANN | Artificial Neural Network |
| BP | Backpropagation |
| EDA | Electronic Design Automation |
| EMC | Electromagnetic Magnetic Compatibility |
| EMI | Electromagnetic Interference |
| GRNN | Generalized Regression Neural Network |
| LM | Levenberg–Marquardt |
| ML | Machine Learning |
| MSE | Mean Squared Error |
| RMSE | Root Mean Squared Error |
| PCB | Rigid-flex Printed Circuit Board |
| PRBS | Pseudo-random Binary Sequence |
| S-parameters | Scattering Parameters |
| SVM | Support Vector Machine |
| VF | Vector Fitting |
References
- Mu, Y.; Zhang, Z.; Chen, C.; Yuan, D.; Wang, J.; Gao, H.; Chi, Y. The Design of a Low-Noise, High-Speed Readout-Integrated Circuit for Infrared Focal Plane Arrays. Sensors 2023, 23, 8715. [Google Scholar] [CrossRef] [PubMed]
- Ma, Y.; Wu, H.; Wang, L.; Huang, B.; Ranjan, R.; Zomaya, A.Y.; Jie, W. Remote Sensing Big Data Computing: Challenges and Opportunities. Future Gener. Comput. Syst. 2015, 51, 47–60. [Google Scholar] [CrossRef]
- Wu, T.; Wu, F.; Qiu, C.; Redouté, J.-M.; Yuce, M.R. A Rigid-Flex Wearable Health Monitoring Sensor Patch for IoT-Connected Healthcare Applications. IEEE Internet Things J. 2020, 7, 6932–6945. [Google Scholar] [CrossRef]
- Cao, F.; Liu, L.; Li, L. Short-Wave Infrared Photodetector. Mater. Today 2023, 62, 327–349. [Google Scholar] [CrossRef]
- Ngamakeur, K.; Yongchareon, S.; Yu, J.; Sheng, Q.Z. Deep CNN-LSTM Network for Indoor Location Estimation Using Analog Signals of Passive Infrared Sensors. IEEE Internet Things J. 2022, 9, 22582–22594. [Google Scholar] [CrossRef]
- Pan, G.; Zhu, X.; Gilbert, B.K. Analysis of Transmission Lines of Finite Thickness above a Periodically Perforated Ground Plane at Oblique Orientations. IEEE Trans. Microw. Theory Tech. 1995, 43, 383–393. [Google Scholar] [CrossRef]
- Wu, S.; Shi, H.; Herndon, M.; Cornelius, B.; Halligan, M.; Fan, J. Modeling and Analysis of a Trace Referenced to a Meshed Ground Plane. In Proceedings of the 2011 IEEE International Symposium on Electromagnetic Compatibility, Long Beach, CA, USA, 14–19 August 2011; pp. 137–141. [Google Scholar] [CrossRef]
- Cicchetti, R.; Faraone, A. A Full-Wave Radiation Model for a Class of Gridded Ground Interconnecting Structures. IEEE Trans. Antennas Propag. 1999, 47, 212–213. [Google Scholar] [CrossRef]
- Yu, S.; Kam, D.-G. Improving Signal Integrity by Reducing Mode Conversion in Differential Pairs on a Meshed Ground in Flexible Printed Circuit Boards. J. Electromagn. Eng. Sci. 2022, 22, 229–235. [Google Scholar] [CrossRef]
- Xiao, F.; Murano, K.; Kami, Y. Modeling of Differential Line Referenced to a Meshed Ground Plane. In Proceedings of the 2014 International Symposium on Electromagnetic Compatibility, Gothenburg, Sweden, 1–4 September 2014; pp. 735–740. [Google Scholar] [CrossRef]
- Xiao, F.; Nakada, Y.; Murano, K.; Kami, Y. Crosstalk Analysis Model for Traces Crossing Split Ground Plane and Its Reduction by Stitching Capacitor. Electron. Commun. Jpn. 2007, 90, 26–34. [Google Scholar] [CrossRef]
- Bogatin, E. Signal and Power Integrity—Simplified; Prentice Hall International: Upper Saddle River, NJ, USA, 2009. [Google Scholar]
- Cho, K.; Kim, Y.; Lee, D.; Song, J.; Park, J.; Lee, S.; Kim, S.; Park, G.; Son, K.; Kim, J. Signal Integrity Design and Analysis of Differential High-Speed Serial Links in Silicon Interposer with Through-Silicon Via. IEEE Trans. Compon. Packag. Manuf. Technol. 2019, 9, 107–121. [Google Scholar] [CrossRef]
- Cho, K.; Kim, Y.; Lee, D.; Kim, H.; Choi, S.; Song, J.; Kim, S.; Park, J.; Lee, S.; Kim, J. Signal Integrity Design and Analysis of Silicon Interposer for GPU-Memory Channels in High-Bandwidth Memory Interface. IEEE Trans. Compon. Packag. Manuf. Technol. 2018, 8, 1658–1671. [Google Scholar] [CrossRef]
- Yu, S.; Kam, D.G. Offset Mesh in FPCB for Better Impedance Control. Electron. Lett. 2018, 54, 812–813. [Google Scholar] [CrossRef]
- Kuhlmann, K.; Gellersen, F.; Tschauder, M. Comparison of S-Parameter Measurement Methods for Adapters. Adv. Radio Sci. 2023, 20, 1–8. [Google Scholar] [CrossRef]
- Stokes, D.; Gellersen, F.; Allal, D.; Skinner, J.F.; Phung, G.N.; Kuhlmann, K. Traceable S-Parameter Measurements up to 90 GHz in 1.35 Mm Coaxial. Meas. Sci. Technol. 2023, 34, 064006. [Google Scholar] [CrossRef]
- Pham, T.D.; Allal, D.; Ziadé, F.; Bergeault, E. On-Wafer Coplanar Waveguide Standards for S-Parameter Measurements of Balanced Circuits up to 40 GHz. IEEE Trans. Instrum. Meas. 2019, 68, 2160–2167. [Google Scholar] [CrossRef]
- Zhao, W.; Cheng, C.; Li, L. Sensitivity Analysis of S-Parameter Measurements Due to Nonideal SOLR Calibration Standards. IEEE Trans. Instrum. Meas. 2021, 70, 1002910. [Google Scholar] [CrossRef]
- Gupta, K.C.; Garg, R.; Bahl, I.; Bhartia, P. Microstrip Lines and Slotlines; Artech House: Norwood, MA, USA, 1996. [Google Scholar]
- Mariani, E.A.; Heinzman, C.P.; Agrios, J.P.; Cohn, S.B. Slot Line Characteristics. IEEE Trans. Microw. Theory Tech. 1969, 17, 1091–1096. [Google Scholar] [CrossRef]
- Yang, S.L.L. 3D SiP Simulation Technology and Application. In Proceedings of the 2019 20th International Conference on Electronic Packaging Technology, Hong Kong, China, 12–15 August 2019; pp. 1–4. [Google Scholar] [CrossRef]
- Hackl, H.; Pommerenke, D.; Ibel, M.; Auinger, B. Extraction of Single Cell Impedance from Battery Module Measurement by Simulation-Based De-Embedding. IEEE Trans. Signal Power Integr. 2022, 1, 112–120. [Google Scholar] [CrossRef]
- Grivet-Talocia, S.; Gustavsen, B. Black-box macromodeling and its EMC applications. IEEE Electromagn. Compat. Mag. 2016, 5, 71–78. [Google Scholar] [CrossRef]
- Gustavsen, B.; Semlyen, A. Rational approximation of frequency domain responses by vector fitting. IEEE Trans. Power Deliv. 1999, 14, 1052–1061. [Google Scholar] [CrossRef]
- Leszczynska, N.; Couckuyt, I.; Dhaene, T.; Mrozowski, M. Low-Cost surrogate models for microwave filters. IEEE Microw. Wirel. Compon. Lett. 2016, 26, 969–971. [Google Scholar] [CrossRef][Green Version]
- Kuznetsov, Y.V.; Baev, A.; Shevgunov, T.; Siart, U.; Yordanov, H.; Russen, P. Generation of network models for planar microwave circuits by system identification methods. In Proceedings of the IEEE 2009 International Conference on Electromagnetics in Advanced Applications, Torino, Italy, 14–18 September 2009; pp. 966–969. [Google Scholar] [CrossRef]
- Torun, H.M.; Durgun, A.C.; Aygün, K.; Swaminathan, M. Causal and Passive Parameterization of S-Parameters Using Neural Networks. IEEE Trans. Microw. Theory Tech. 2020, 68, 4290–4304. [Google Scholar] [CrossRef]
- Jin, J.; Feng, F.; Zhang, J.; Yan, S.; Na, W.; Zhang, Q. A Novel Deep Neural Network Topology for Parametric Modeling of Passive Microwave Components. IEEE Access 2020, 8, 82273–82285. [Google Scholar] [CrossRef]
- Zhang, Q.; Gupta, K.C.; Devabhaktuni, V. Artificial Neural Networks for Rf and Microwave Design-from Theory to Practice. IEEE Trans. Microw. Theory Tech. 2003, 51, 1339–1350. [Google Scholar] [CrossRef]
- Trinchero, R.; Larbi, M.; Torun, H.M.; Canavero, F.; Swaminathan, M. Machine Learning and Uncertainty Quantification for Surrogate Models of Integrated Devices with a Large Number of Parameters. IEEE Access 2019, 7, 4056–4066. [Google Scholar] [CrossRef]
- Trinchero, R.; Manfredi, P.; Stievano, I.S.; Canavero, F. Machine Learning for the Performance Assessment of High-Speed Links. IEEE Trans. Electromagn. Compat. 2018, 60, 1627–1634. [Google Scholar] [CrossRef]
- Garbuglia, F.; Reuschel, T.; Schuster, C.; Deschrijver, D.; Dhaene, T.; Spina, D. Modeling Electrically Long Interconnects Using Physics-Informed Delayed Gaussian Processes. IEEE Trans. Electromagn. Compat. 2023, 65, 1715–1723. [Google Scholar] [CrossRef]
- Swaminathan, M.; Torun, H.M.; Yu, H.; Hejase, J.A.; Becker, W.D. Demystifying Machine Learning for Signal and Power Integrity Problems in Packaging. IEEE Trans. Compon. Packag. Manuf. Technol. 2020, 10, 1276–1295. [Google Scholar] [CrossRef]
- Schierholz, M.; Erdin, I.; Balachandran, J.; Yang, C.; Schuster, C. Parametric S-Parameters for PCB Based Power Delivery Network Design Using Machine Learning. In Proceedings of the IEEE 26th Workshop Signal Power Integrity, Siegen, Germany, 22–25 May 2022; pp. 1–4. [Google Scholar] [CrossRef]
- Lin, Q.; Wang, X.; Wu, H. GRNN-Based Scattering Parameter modeling investigation for HBT at different temperature. IEEE Access 2023, 11, 38002–38009. [Google Scholar] [CrossRef]
- Gagnon-Turcotte, G.; Kisomi, A.A.; Ameli, R.; Camaro, C.-O.D.; LeChasseur, Y.; Néron, J.-L.; Bareil, P.B.; Fortier, P.; Bories, C.; De Koninck, Y.; et al. A Wireless Optogenetic Headstage with Multichannel Electrophysiological Recording Capability. Sensors 2015, 15, 22776–22797. [Google Scholar] [CrossRef]
- Mulcahy, J.; Shi, S.; Peters, F.H.; Dai, X. Minimisation of Parasitic Capacitance in Lumped-Element Electro-Absorption Modulators for High-Speed Optical Components. Photonics 2023, 10, 885. [Google Scholar] [CrossRef]
- Qu, Z.; Zhu, Z.; Liu, Y.; Yu, M.; Ye, T.T. Parasitic Capacitance Modeling and Measurements of Conductive Yarns for E-Textile Devices. Nat. Commun. 2023, 14, 2785. [Google Scholar] [CrossRef]
- Wang, Z.; Wu, J.; Wang, H.; Wang, H.; Hao, Y. Optimal Underwater Acoustic Warfare Strategy Based on a Three-Layer GA-BP Neural Network. Sensors 2022, 22, 9701. [Google Scholar] [CrossRef]
- Gao, X.; Mou, J.; Banerjee, S.; Zhang, Y. Color-Gray Multi-Image Hybrid Compression–Encryption Scheme Based on BP Neural Network and Knight Tour. IEEE Trans. Cybern. 2023, 53, 5037–5047. [Google Scholar] [CrossRef]
- Chu, J.; Li, X.; Zhang, Z.; Zhang, Y.; He, M. A novel method overcomeing overfitting of artificial neural network for accurate prediction: Application on thermophysical property of natural gas. Case Stud. Therm. Eng. 2021, 28, 101406. [Google Scholar] [CrossRef]
- Shi, J.; Wang, C.; Xi, X.; Yang, X.; Wang, J.; Ding, X. Retrieving fPAR of maize canopy using artificial neural networks with airborne LiDAR and hyperspectral data. Remote Sens. Lett. 2020, 11, 1002–1011. [Google Scholar] [CrossRef]

















| Group Number | w1 (mil) | w2 (mil) | s1 (mil) | s2 (mil) | θ1 (°) | θ2 (°) |
|---|---|---|---|---|---|---|
| 1 | 6~15 | 6 | 6 | 15 | 45 | 135 |
| 2 | 6~15 | 7 | 7 | 14 | 45 | 135 |
| 10 | 6~15 | 15 | 15 | 6 | 45 | 135 |
| 11 | 6~15 | 6 | 15 | 15 | 45 | 135 |
| 12 | 6~15 | 7 | 14 | 14 | 45 | 135 |
| 20 | 6~15 | 15 | 6 | 6 | 45 | 135 |
| 21 | 6~15 | 6 | 6 | 15 | 90 | 180 |
| 22 | 6~15 | 7 | 7 | 14 | 90 | 180 |
| 30 | 6~15 | 15 | 15 | 6 | 90 | 180 |
| 31 | 6~15 | 6 | 15 | 15 | 90 | 180 |
| 32 | 6~15 | 7 | 14 | 14 | 90 | 180 |
| 40 | 6~15 | 15 | 6 | 6 | 90 | 180 |
| 41 | 6~15 | 6 | 8 | 14 | 45 | 135 |
| 42 | 6~15 | 8 | 10 | 12 | 45 | 135 |
| 43 | 6~15 | 10 | 12 | 10 | 45 | 135 |
| 44 | 6~15 | 12 | 14 | 8 | 45 | 135 |
| 45 | 6~15 | 6 | 8 | 14 | 90 | 180 |
| 46 | 6~15 | 8 | 10 | 12 | 90 | 180 |
| 47 | 6~15 | 10 | 12 | 10 | 90 | 180 |
| 48 | 6~15 | 12 | 14 | 8 | 90 | 180 |
| BP | GRNN | |
|---|---|---|
| Real parts of S11 | 0.0107 | 0.0168 |
| Imaginary parts of S11 | 0.0109 | 0.0165 |
| Real parts of S21 | 0.0210 | 0.0214 |
| Imaginary parts of S21 | 0.0219 | 0.0205 |
| Real parts of SDD11 | 0.0042 | 0.0086 |
| Imaginary parts of SDD11 | 0.0041 | 0.0090 |
| Real parts of SDD21 | 0.0106 | 0.0130 |
| Imaginary parts of SDD21 | 0.0105 | 0.0138 |
| BP | GRNN | |
|---|---|---|
| Real parts of S11 | 0.9961 | 0.9899 |
| Imaginary parts of S11 | 0.9958 | 0.9899 |
| Real parts of S21 | 0.9968 | 0.9928 |
| Imaginary parts of S21 | 0.9974 | 0.9932 |
| Real parts of SDD11 | 0.9987 | 0.9932 |
| Imaginary parts of SDD11 | 0.9987 | 0.9926 |
| Real parts of SDD21 | 0.9996 | 0.9971 |
| Imaginary parts of SDD21 | 0.9997 | 0.9972 |
| Error of Eye Width (%) | Error of Eye Height (%) | |
|---|---|---|
| BP method | 0.44 | 0.78 |
| GRNN method | 0.65 | 2.22 |
Disclaimer/Publisher’s Note: The statements, opinions and data contained in all publications are solely those of the individual author(s) and contributor(s) and not of MDPI and/or the editor(s). MDPI and/or the editor(s) disclaim responsibility for any injury to people or property resulting from any ideas, methods, instructions or products referred to in the content. |
© 2024 by the authors. Licensee MDPI, Basel, Switzerland. This article is an open access article distributed under the terms and conditions of the Creative Commons Attribution (CC BY) license (https://creativecommons.org/licenses/by/4.0/).
Share and Cite
Mei, J.; Yuan, H.; Guo, X.; Chu, X.; Ding, L. Fast Prediction Method for Scattering Parameters of Rigid-Flex PCBs Based on ANN. Sensors 2024, 24, 2221. https://doi.org/10.3390/s24072221
Mei J, Yuan H, Guo X, Chu X, Ding L. Fast Prediction Method for Scattering Parameters of Rigid-Flex PCBs Based on ANN. Sensors. 2024; 24(7):2221. https://doi.org/10.3390/s24072221
Chicago/Turabian StyleMei, Jingling, Haiyue Yuan, Xinxin Guo, Xiuqin Chu, and Lei Ding. 2024. "Fast Prediction Method for Scattering Parameters of Rigid-Flex PCBs Based on ANN" Sensors 24, no. 7: 2221. https://doi.org/10.3390/s24072221
APA StyleMei, J., Yuan, H., Guo, X., Chu, X., & Ding, L. (2024). Fast Prediction Method for Scattering Parameters of Rigid-Flex PCBs Based on ANN. Sensors, 24(7), 2221. https://doi.org/10.3390/s24072221

