Image Processing Techniques for Improving Quality of 3D Profile in Digital Holographic Microscopy Using Deep Learning Algorithm
Abstract
1. Introduction
2. Theory
2.1. Principle of Digital Holographic Microscopy (DHM)
2.2. Image Processing of DHM
2.3. Improved Denoising Diffusion Probabilistic Models (IDDPM)
2.4. High-Variance Pixel Averaging (HiVA)
2.5. Problem of the HiVA and the Proposed Method
3. Experimental Setup
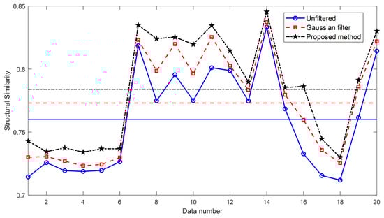
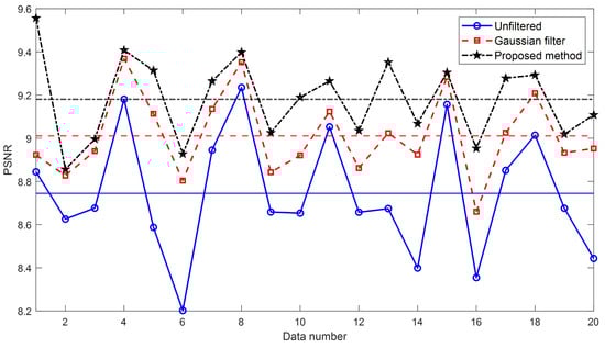
4. Experimental Result
5. Conclusions
Author Contributions
Funding
Institutional Review Board Statement
Informed Consent Statement
Data Availability Statement
Conflicts of Interest
Abbreviations
| 3D | Three-dimensional |
| CT | Computed tomography |
| DC | Direct current |
| DH | Digital holography |
| DHM | Digital holographic microscopy |
| HiVA | High-Variance Pixel Averaging |
| IDDPM | Improved Denoising Diffusion Probabilistic Models |
| KL | Kullback–Leibler |
| MSE | Mean square error |
| MRI | Magnetic resonance imaging |
| NA | Numerical aperture |
| PSNR | Peak signal-to-noise ratio |
| SAM | Segment anything model |
| SSIM | Structure similarity |
| VLB | Variational lower bound |
References
- Situ, G. Deep holography. Light Adv. Manuf. 2022, 3, 278–300. [Google Scholar] [CrossRef]
- Zeng, C.; Gao, H.; Liu, J. Latest development of dynamic holographic 3d display. Acta Phys. Sin. 2015, 64, 47–54. [Google Scholar]
- Zaw Thin, M.; Moore, C.; Snoeks, T.; Kalber, T.; Downward, J.; Behrens, A. Micro-CT acquisition and image processing to track and characterize pulmonary nodules in mice. Nat. Protoc. 2023, 18, 990–1015. [Google Scholar] [CrossRef]
- Chen, Z.; Pawar, K.; Ekanayake, M.; Pain, C.; Zhong, S.; Egan, G.F. Deep learning for image enhancement and correction in magnetic resonance imaging—State-of-the-art and challenges. J. Digital Imaging 2023, 36, 204–230. [Google Scholar] [CrossRef]
- Al Khalil, Y.; Amirrajab, S.; Lorenz, C.; Weese, J.; Pluim, J.; Breeuwer, M. On the usability of synthetic data for improving the robustness of deep learning-based segmentation of cardiac magnetic resonance images. Med. Image Anal. 2023, 84, 102688. [Google Scholar] [CrossRef] [PubMed]
- Goodman, J.W. Digital image formation from electronically detected holograms. In Proceedings of the SPIE 0010, Computerized Imaging Techniques, Washington, DC, USA, 1 July 1967. [Google Scholar]
- Zhou, X.; Yu, L.; Zhou, M.; Hou, P.; Yi, L.; Mi, M. Dihydromyricetin ameliorates liver fibrosis via inhibition of hepatic stellate cells by inducing autophagy and natural killer cell-mediated killing effect. Nutr. Metab. 2021, 18, 64. [Google Scholar] [CrossRef]
- Doblas, A.; Hayes-Rounds, C.; Isaac, R.; Perez, F. Single-Shot 3D Topography of Transmissive and Reflective Samples with a Dual-Mode Telecentric-Based Digital Holographic Microscope. Sensors 2022, 22, 3793. [Google Scholar] [CrossRef] [PubMed]
- Di Caprio, G.; Gioffre, M.A.; Saffioti, N.; Grilli, S.; Ferraro, P.; Puglisi, R.; Balduzzi, D.; Galli, A.; Coppola, G. Quantitative label-free animal sperm imaging by means of digital holographic microscopy. IEEE J. Sel. Top. Quantum Electron. 2010, 16, 833–840. [Google Scholar] [CrossRef]
- Rekola, H.; Berdin, A.; Fedele, C.; Virkki, M.; Priimagi, A. Digital holographic microscopy for real-time observation of surface-relief grating formation on azobenzene-containing films. Sci. Rep. 2020, 10, 19642. [Google Scholar] [CrossRef] [PubMed]
- Kim, H.-W.; Cho, M.; Lee, M.-C. A Novel Image Processing Method for Obtaining an Accurate Three-Dimensional Profile of Red Blood Cells in Digital Holographic Microscopy. Biomimetics 2023, 8, 563. [Google Scholar] [CrossRef]
- Kim, H.-W.; Lee, J.; Anand, A.; Cho, M.; Lee, M.-C. Phase Differences Averaging (PDA) Method for Reducing the Phase Error in Digital Holographic Microscopy (DHM). J. Korea Inst. Inf. Commun. Eng. 2023, 21, 90–97. [Google Scholar] [CrossRef]
- Kim, H.-W.; Cho, M.; Lee, M.-C. Noise reduction method using a variance map of the phase differences in digital holographic microscopy. ETRI J. 2023, 45, 131–137. [Google Scholar] [CrossRef]
- Kim, H.-W.; Cho, M.; Lee, M.-C. Noise Filtering Method of Digital Holographic Microscopy for Obtaining an Accurate Three-Dimensional Profile of Object Using a Windowed Sideband Array (WiSA). Sensors 2022, 22, 4844. [Google Scholar] [CrossRef]
- Shin, S.; Yu, Y. Fine metal mask 3-dimensional measurement by using scanning digital holographic microscope. J. Korean Phys. Soc. 2018, 72, 863–867. [Google Scholar] [CrossRef]
- Joo, K.-I.; Lim, S.; Lim, K.-D.; Lee, J.S.; Park, M.-K.; Yoon, S.K.; Lee, K.-H. P-89: Digital Holography Microscope with liquid crystal phase modulator. SID Symp. Dig. Tech. Pap. 2023, 54, 1388–1390. [Google Scholar] [CrossRef]
- Vom Werth, K.L.; Kemper, B.; Kampmeier, S.; Mellmann, A. Application of Digital Holographic Microscopy to Analyze Changes in T-Cell Morphology in Response to Bacterial Challenge. Cells 2023, 12, 762. [Google Scholar] [CrossRef]
- Kumari, V.; Barak, N.; Sharma, A.K.; Anand, A.; Sheoran, G. Telecentric phase imaging at extended depth of focus using digital holographic microscopy. Precis. Eng. 2024, 87, 23–32. [Google Scholar] [CrossRef]
- Hong, Y.; Shi, T.; Wang, X.; Zhang, Y.; Chen, K.; Liao, G. Weighted adaptive spatial filtering in digital holographic microscopy. Opt. Commun. 2017, 382, 624–631. [Google Scholar] [CrossRef]
- Li, J.; Dang, C.; Chen, Y.; Luo, Q.; Zhao, P.; Zhao, J.; Wang, C. Adaptive spatial filtering based on fuzzy C-means and phase in off-axis digital holographic microscopy. Opt. Eng. 2021, 60, 051207. [Google Scholar] [CrossRef]
- Tu, H.-Y.; Hsiao, W.-J.; Lai, X.-J.; Lin, Y.-C.; Cheng, C.-J. Synthetic aperture common-path digital holographic microscopy with spiral phase filter. J. Opt. 2017, 19, 065604. [Google Scholar] [CrossRef]
- Xiao, W.; Wang, Q.; Pan, F.; Cao, R.; Wu, X.; Sun, L. Adaptive frequency filtering based on convolutional neural networks in off-axis digital holographic microscopy. Biomed. Opt. Express 2019, 10, 1613–1626. [Google Scholar] [CrossRef]
- Ho, J.; Jain, A.; Abbeel, P. Denoising diffusion probabilistic models. Adv. Neural Inf. Process. Syst. 2020, 33, 6840–6851. [Google Scholar]
- Nichol, A.Q.; Dhariwal, P. Improved Denoising Diffusion Probabilistic Models. In Proceedings of the International Conference on Machine Learning, Virtual, 18–24 July 2021. [Google Scholar]
- Goodman, J.W. Introduction to Fourier Optics, 3rd ed.; Roberts and Company Publishers: New York, NY, USA, 2005. [Google Scholar]
- Goldstein, R.M.; Zebker, H.A.; Werner, C.L. Satellite radar interferometry: Two-dimensional phase un-wrapping. Radio Sci. 1988, 23, 713–720. [Google Scholar] [CrossRef]
- Wang, Z.; Bovik, A.C.; Sheikh, H.R.; Simoneceil, E.P. Image quality assessment: From error visibility to structural similarity. IEEE Trans. Image Process 2004, 13, 600–612. [Google Scholar] [CrossRef] [PubMed]
- Gonzalez, R.C.; Woods, R.E. Digital Image Processing, 4th ed.; Pearson: New York, NY, USA, 2018. [Google Scholar]
- Mazurowski, M.A.; Dong, H.; Gu, H.; Yang, J.; Konz, N.; Zhang, Y. Segment anything model for medical image analysis: An experimental study. Med. Image Anal. 2023, 89, 102918. [Google Scholar] [CrossRef] [PubMed]














| Hyperparameter | Value |
|---|---|
| Number of image | 2000 |
| Image resolution | 875 (H) × 656 (V) |
| Optimizer | Adam |
| Number of iterations | 80,000 |
| Number of batch size | 8 |
| GPU | RTX 3090 12 GB |
| SSIM | PSNR | |||||
|---|---|---|---|---|---|---|
| Data Number | Unfiltered | Gaussian Filter | Proposed Method | Unfiltered | Gaussian Filter | Proposed Method |
| 1 | 0.7144 | 0.7301 | 0.7429 | 8.844 | 8.923 | 9.556 |
| 2 | 0.7258 | 0.7306 | 0.7345 | 8.626 | 8.827 | 8.856 |
| 3 | 0.7194 | 0.7269 | 0.7375 | 8.677 | 8.941 | 8.996 |
| 4 | 0.7188 | 0.7233 | 0.7341 | 9.181 | 9.369 | 9.408 |
| 5 | 0.7196 | 0.7243 | 0.7368 | 8.587 | 9.113 | 9.314 |
| 6 | 0.7264 | 0.7298 | 0.7368 | 8.202 | 8.804 | 8.927 |
| 7 | 0.8186 | 0.8232 | 0.8349 | 8.945 | 9.135 | 9.265 |
| 8 | 0.7749 | 0.7986 | 0.8241 | 9.235 | 9.352 | 9.399 |
| 9 | 0.7956 | 0.8199 | 0.8254 | 8.658 | 8.843 | 9.026 |
| 10 | 0.7750 | 0.7964 | 0.8197 | 8.653 | 8.921 | 9.190 |
| 11 | 0.8011 | 0.8254 | 0.8346 | 9.053 | 9.124 | 9.265 |
| 12 | 0.7988 | 0.8027 | 0.8146 | 8.657 | 8.862 | 9.035 |
| 13 | 0.7747 | 0.7835 | 0.7899 | 8.674 | 9.024 | 9.352 |
| 14 | 0.8334 | 0.8372 | 0.8456 | 8.399 | 8.923 | 9.068 |
| 15 | 0.7684 | 0.7797 | 0.7854 | 9.156 | 9.284 | 9.305 |
| 16 | 0.7328 | 0.7597 | 0.7863 | 8.355 | 8.659 | 8.953 |
| 17 | 0.7155 | 0.7358 | 0.7446 | 8.851 | 9.025 | 9.278 |
| 18 | 0.7119 | 0.7255 | 0.7298 | 9.014 | 9.208 | 9.293 |
| 19 | 0.7615 | 0.7862 | 0.7913 | 8.676 | 8.933 | 9.019 |
| 20 | 0.8143 | 0.8220 | 0.8301 | 8.443 | 8.952 | 9.108 |
| Average | 0.7600 | 0.7730 | 0.7839 | 8.744 | 9.011 | 9.181 |
Disclaimer/Publisher’s Note: The statements, opinions and data contained in all publications are solely those of the individual author(s) and contributor(s) and not of MDPI and/or the editor(s). MDPI and/or the editor(s) disclaim responsibility for any injury to people or property resulting from any ideas, methods, instructions or products referred to in the content. |
© 2024 by the authors. Licensee MDPI, Basel, Switzerland. This article is an open access article distributed under the terms and conditions of the Creative Commons Attribution (CC BY) license (https://creativecommons.org/licenses/by/4.0/).
Share and Cite
Kim, H.-W.; Cho, M.; Lee, M.-C. Image Processing Techniques for Improving Quality of 3D Profile in Digital Holographic Microscopy Using Deep Learning Algorithm. Sensors 2024, 24, 1950. https://doi.org/10.3390/s24061950
Kim H-W, Cho M, Lee M-C. Image Processing Techniques for Improving Quality of 3D Profile in Digital Holographic Microscopy Using Deep Learning Algorithm. Sensors. 2024; 24(6):1950. https://doi.org/10.3390/s24061950
Chicago/Turabian StyleKim, Hyun-Woo, Myungjin Cho, and Min-Chul Lee. 2024. "Image Processing Techniques for Improving Quality of 3D Profile in Digital Holographic Microscopy Using Deep Learning Algorithm" Sensors 24, no. 6: 1950. https://doi.org/10.3390/s24061950
APA StyleKim, H.-W., Cho, M., & Lee, M.-C. (2024). Image Processing Techniques for Improving Quality of 3D Profile in Digital Holographic Microscopy Using Deep Learning Algorithm. Sensors, 24(6), 1950. https://doi.org/10.3390/s24061950

