CoFe2O4 on Mica Substrate as Flexible Ethanol Gas Sensor in Self-Heating Mode
Abstract
1. Introduction
2. Experimental Section
2.1. Sample Preparation
2.2. Characterizations
2.3. Gas-Sensing Tests
3. Results and Discussion
3.1. Characterization Studies
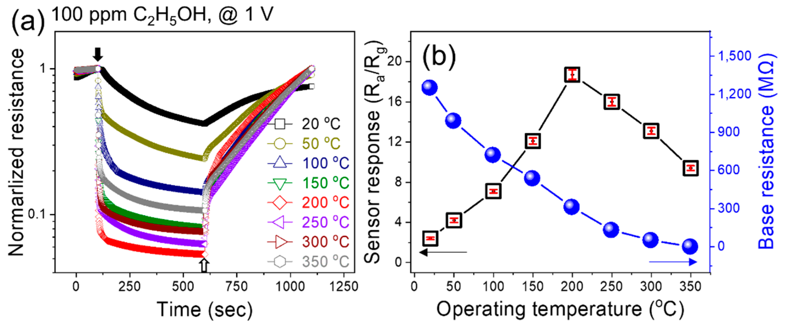
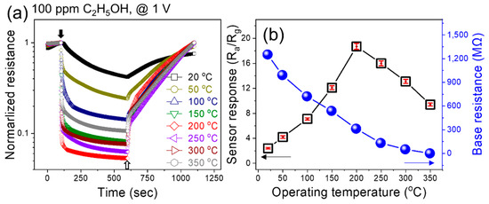
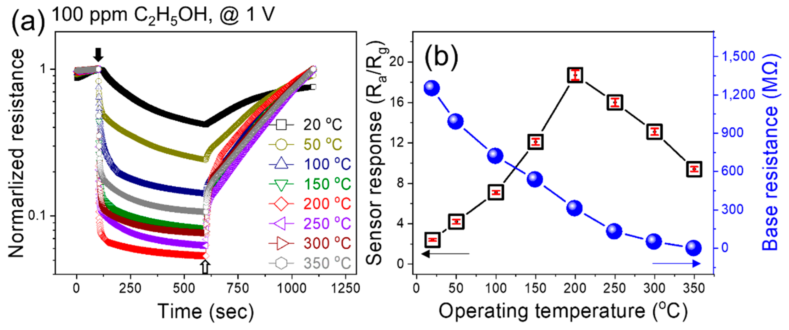
3.2. Gas-Sensing Studies
3.3. Gas-Sensing Mechanism
4. Conclusions
Author Contributions
Funding
Institutional Review Board Statement
Informed Consent Statement
Data Availability Statement
Conflicts of Interest
References
- Jiang, B.; Zhou, T.; Zhang, L.; Han, W.; Yang, J.; Wang, C.; Sun, Y.; Liu, F.; Sun, P.; Lu, G. Construction of Mesoporous In2O3-ZnO Hierarchical Structure Gas Sensor for Ethanol Detection. Sens. Actuators B 2023, 393, 134203. [Google Scholar] [CrossRef]
- Feng, Y.; Chen, H.; Liu, Y.; Xu, B.; Jin, S.; Wang, Y. A Reusable Optical Fiber Sensor for Ethanol Gas Detection with a Large Concentration Range. Opt. Fiber Technol. 2023, 80, 103474. [Google Scholar] [CrossRef]
- Shi, Y.; Li, X.; Sun, X.F.; Shao, X.; Wang, H.Y. Strategies for Improving the Sensing Performance of In2O3-Based Gas Sensors for Ethanol Detection. J. Alloys Compd. 2023, 963, 171190. [Google Scholar] [CrossRef]
- Phan, T.T.N.; Dinh, T.T.M.; Nguyen, M.D.; Li, D.; Phan, C.N.; Pham, T.K.; Nguyen, C.T.; Pham, T.H. Hierarchically Structured LaFeO3 with Hollow Core and Porous Shell as Efficient Sensing Material for Ethanol Detection. Sens. Actuators B 2022, 354, 131195. [Google Scholar] [CrossRef]
- Mirzaei, A.; Janghorban, K.; Hashemi, B.; Bonyani, M.; Leonardi, S.G.; Neri, G. Highly Stable and Selective Ethanol Sensor Based on α-Fe2O3 Nanoparticles Prepared by Pechini Sol–Gel Method. Ceram. Int. 2016, 42, 6136–6144. [Google Scholar] [CrossRef]
- Hussain, A.; Lakhan, M.N.; Soomro, I.A.; Ahmed, M.; Hanan, A.; Maitlo, A.A.; Zehra, I.; Liu, J.; Wang, J. Preparation of Reduced Graphene Oxide Decorated Two-Dimensional WSe2 Nanosheet Sensor for Efficient Detection of Ethanol Gas. Phys. E 2023, 147, 115574. [Google Scholar] [CrossRef]
- Jiang, B.; Zhou, T.; Zhang, L.; Yang, J.; Han, W.; Sun, Y.; Liu, F.; Sun, P.; Zhang, H.; Lu, G. Separated Detection of Ethanol and Acetone Based on SnO2-ZnO Gas Sensor with Improved Humidity Tolerance. Sens. Actuators B 2023, 393, 134257. [Google Scholar] [CrossRef]
- Wang, X.; Wang, X.; Wei, W.; Jiang, H.; Li, X.; Liu, G.; Zhu, Z.; Li, B.; Sheng, Y.; Zhou, J.; et al. Humidity-Resistant Ethanol Gas Sensors Based on Electrospun Tungsten-Doped Cerium Oxide Hollow Nanofibers. Sens. Actuators B 2023, 393, 134210. [Google Scholar] [CrossRef]
- Mojumder, S.; Das, T.; Das, S.; Chakraborty, N.; Saha, D.; Pal, M. Y and Al Co-Doped ZnO-Nanopowder Based Ultrasensitive Trace Ethanol Sensor: A Potential Breath Analyzer for Fatty Liver Disease and Drunken Driving Detection. Sens. Actuators B 2022, 372, 132611. [Google Scholar] [CrossRef]
- Arakawa, T.; Aota, T.; Iitani, K.; Toma, K.; Iwasaki, Y.; Mitsubayashi, K. Skin Ethanol Gas Measurement System with a Biochemical Gas Sensor and Gas Concentrator toward Monitoring of Blood Volatile Compounds. Talanta 2020, 219, 121187. [Google Scholar] [CrossRef]
- Goel, N.; Kunal, K.; Kushwaha, A.; Kumar, M. Metal Oxide Semiconductors for Gas Sensing. Eng. Rep. 2023, 5, e12604. [Google Scholar] [CrossRef]
- Mirzaei, A.; Leonardi, S.G.; Neri, G. Detection of Hazardous Volatile Organic Compounds (VOCs) by Metal Oxide Nanostructures-Based Gas Sensors: A Review. Ceram. Int. 2016, 42, 15119–15141. [Google Scholar] [CrossRef]
- Betty, C.A.; Choudhury, S.; Shah, A. Nanostructured Metal Oxide Semiconductors and Composites for Reliable Trace Gas Sensing at Room Temperature. Surf. Interfaces 2023, 36, 102560. [Google Scholar] [CrossRef]
- Park, H.; Kim, J.-H.; Vivod, D.; Kim, S.; Mirzaei, A.; Zahn, D.; Park, C.; Kim, S.S.; Halik, M. Chemical-Recognition-Driven Selectivity of SnO2-Nanowire-Based Gas Sensors. Nano Today 2021, 40, 101265. [Google Scholar] [CrossRef]
- Katoch, G.; Himanshi; Jasrotia, R.; Prakash, J.; Verma, A.; Kandwal, A.; Godara, S.K.; Verma, R.; Raja, V.; Kumar, G. Crystal Structure, Synthesis, Properties and Potential Applications of Cobalt Spinel Ferrite: A Brief Review. Mater. Today Proc. 2023; in press. [Google Scholar] [CrossRef]
- Ahmad, S.I. Nano Cobalt Ferrites: Doping, Structural, Low-Temperature, and Room Temperature Magnetic and Dielectric Properties—A Comprehensive Review. J. Magn. Magn. Mater. 2022, 562, 169840. [Google Scholar] [CrossRef]
- Prasad, P.D.; Hemalatha, J. Enhanced Magnetic Properties of Highly Crystalline Cobalt Ferrite Fibers and Their Application as Gas Sensors. J. Magn. Magn. Mater. 2019, 484, 225–233. [Google Scholar] [CrossRef]
- Joshi, S.; Kamble, V.B.; Kumar, M.; Umarji, A.M.; Srivastava, G. Nickel Substitution Induced Effects on Gas Sensing Properties of Cobalt Ferrite Nanoparticles. J. Alloys Compd. 2016, 654, 460–466. [Google Scholar] [CrossRef]
- Wei, K.; Huai, H.-X.; Zhao, B.; Zheng, J.; Gao, G.-Q.; Zheng, X.-Y.; Wang, C.-C. Facile Synthesis of CoFe2O4 Nanoparticles and Their Gas Sensing Properties. Sens. Actuators B 2022, 369, 132279. [Google Scholar] [CrossRef]
- Le, D.T.T.; Long, N.D.H.; Xuan, C.T.; Toan, N.V.; Hung, C.M.; Duy, N.V.; Theu, L.T.; Dinh, V.A.; Hoa, N.D. Porous CoFe2O4 Nanorods: VOC Gas-Sensing Characteristics and DFT Calculation. Sens. Actuators B 2023, 379, 133286. [Google Scholar] [CrossRef]
- Rathore, D.; Kurchania, R.; Pandey, R.K. Gas Sensing Properties of Size Varying CoFe2O4 Nanoparticles. IEEE Sens. J. 2015, 15, 4961–4966. [Google Scholar] [CrossRef]
- Chu, X.; Jiang, D.; Guo, Y.; Zheng, C. Ethanol Gas Sensor Based on CoFe2O4 Nano-Crystallines Prepared by Hydrothermal Method. Sens. Actuators B 2006, 120, 177–181. [Google Scholar] [CrossRef]
- Yun, J.; Cho, M.; Lee, K.; Kang, M.; Park, I. A Review of Nanostructure-Based Gas Sensors in a Power Consumption Perspective. Sens. Actuators B 2022, 372, 132612. [Google Scholar] [CrossRef]
- Fàbrega, C.; Casals, O.; Hernández-Ramírez, F.; Prades, J.D. A Review on Efficient Self-Heating in Nanowire Sensors: Prospects for Very-Low Power Devices. Sens. Actuators B 2018, 256, 797–811. [Google Scholar] [CrossRef]
- Alrammouz, R.; Podlecki, J.; Abboud, P.; Sorli, B.; Habchi, R. A Review on Flexible Gas Sensors: From Materials to Devices. Sens. Actuators A 2018, 284, 209–231. [Google Scholar] [CrossRef]
- Bag, A.; Lee, N.-E. Recent Advancements in Development of Wearable Gas Sensors. Adv. Mater. Technol. 2021, 6, 2000883. [Google Scholar] [CrossRef]
- Liu, J.; Feng, Y.; Tang, R.; Zhao, R.; Gao, J.; Shi, D.; Yang, H. Mechanically Tunable Magnetic Properties of Flexible SrRuO3 Epitaxial Thin Films on Mica Substrates. Adv. Electron. Mater. 2018, 4, 1700522. [Google Scholar] [CrossRef]
- Hyeon, D.Y.; Park, K.-I. Piezoelectric Flexible Energy Harvester Based on BaTiO3 Thin Film Enabled by Exfoliating the Mica Substrate. Energy Technol. 2019, 7, 1900638. [Google Scholar] [CrossRef]
- Haider, A.J.; Alawsi, T.; Haider, M.J.; Taha, B.A.; Marhoon, H.A. A Comprehensive Review on Pulsed Laser Deposition Technique to Effective Nanostructure Production: Trends and Challenges. Opt. Quantum Electron. 2022, 54, 488. [Google Scholar] [CrossRef]
- Oh, K.L.; Kwak, Y.M.; Kong, D.S.; Ryu, S.; Kim, H.; Jeen, H.; Choi, S.; Jung, J.H. Mechanical Stability of Ferrimagnetic CoFe2O4 Flexible Thin Films. Curr. Appl. Phys. 2021, 31, 87–92. [Google Scholar] [CrossRef]
- Geramilla, M.; Balakrishnan, R.; Natarajan, S.T.; Rao, M.S.R. Nanoscale studies of magnetoelectric coupling in multiferroic BTO-CFO composite. Appl. Phys. A 2019, 125, 39. [Google Scholar] [CrossRef]
- Garai, M.; Reka, A.A.; Karmakar, B.; Molla, A.R. Microstructure-mechanical properties of Ag0/Au0 doped K-Mg-Al-Si-O-F glass-ceramic. RSC Adv. 2021, 11, 11415. [Google Scholar] [CrossRef]
- Ma, Z.; Skumryev, V.; Gich, M. Magnetic properties of synthetic fluorophlogopite mica crystals. Mater. Adv. 2020, 1, 1464–1471. [Google Scholar] [CrossRef]
- Barlow, S.G.; Manning, D.A.C. Influence of Time and Temperature on Reactions and Transformations of Muscovite Mica. Br. Ceram. Trans. 1999, 98, 122–126. [Google Scholar] [CrossRef]
- Koma, A. Van Der Waals Epitaxy—A New Epitaxial Growth Method for a Highly Lattice-Mismatched System. Thin Solid Films 1992, 216, 72–76. [Google Scholar] [CrossRef]
- Ueno, K.; Saiki, K.; Shimada, T.; Koma, A. Epitaxial Growth of Transition Metal Dichalcogenides on Cleaved Faces of Mica. J. Vac. Sci. Technol. A 1990, 8, 68–72. [Google Scholar] [CrossRef]
- Zheng, K.; Yuan, Y.; Zhao, L.; Chen, Y.; Zhang, F.; Song, J.; Qu, J. Ultra-Compact, Low-Loss Terahertz Waveguide Based on Graphene Plasmonic Technology. 2D Mater. 2019, 7, 015016. [Google Scholar] [CrossRef]
- Kim, J.-H.; Mirzaei, A.; Sakaguchi, I.; Hishita, S.; Ohsawa, T.; Suzuki, T.T.; Kim, S.S.; Saito, N. Decoration of Pt/Pd Bimetallic Nanoparticles on Ru-Implanted WS2 Nanosheets for Acetone Sensing Studies. Appl. Surf. Sci. 2023, 641, 158478. [Google Scholar] [CrossRef]
- Kim, J.-H.; Sakaguchi, I.; Hishita, S.; Ohsawa, T.; Suzuki, T.T.; Saito, N. Self-heated CO gas sensor based on Au-decorated Sb-implanted WS2 nanosheets. Sens. Actuators B 2023, 382, 133501. [Google Scholar] [CrossRef]
- Yu, D.J.; Oum, W.; Mirzaei, A.; Shin, K.Y.; Kim, E.B.; Kim, H.M.; Kim, S.S.; Kim, H.W. Enhancement of xylene gas sensing by using Au core structures in regard to Au@ SnO2 core-shell nanocomposites. Sens. Actuators B 2023, 392, 134018. [Google Scholar] [CrossRef]
- Zheng, C.; Zhang, C.; Zhang, K.; Zhang, J.; Jin, L.; Asiri, A.M.; Alamry, K.A.; He, L.; Chu, X. Growth of ZnFe2O4 nanosheets on reduced graphene oxide with enhanced ethanol sensing properties. Sens. Actuators B 2021, 330, 129280. [Google Scholar] [CrossRef]
- Lou, X.; Liu, S.; Shi, D.; Chu, W. Ethanol-sensing characteristics of CdFe2O4 sensor prepared by sol-gel method. Mater. Chem. Phts. 2007, 105, 67–70. [Google Scholar] [CrossRef]
- Min, X.; Qin, W.; Zhang, X.; Fan, J.; Zhu, X.; Zhu, Y.; Wang, X.; Qiu, J.; Wang, Y.; Hu, X.; et al. An ultra-high sensitive ethanol sensor through amending surface-functionalized groups by novel acidic synthesis methods. Sens. Actuators B 2021, 347, 130654. [Google Scholar] [CrossRef]
- Doan, T.L.H.; Kim, J.Y.; Lee, J.H.; Nguyen, L.H.T.; Dang, Y.T.; Bui, K.B.T.; Pham, A.T.T.; Mirzaei, A.; Phan, T.B.; Kim, S.S. Preparation of n-ZnO/p-Co3O4 heterojunctions from zeolitic imidazolate frameworks (ZIF-8/ZIF-67) for sensing low ethanol concentrations. Sens. Actuators B 2021, 348, 130684. [Google Scholar] [CrossRef]
- Liang, Y.C.; Chang, Y.C. The effect of Ni content on gas-sensing behaviors of ZnO–NiO p–n composite thin films grown through radio-frequency cosputtering of ceramic ZnO and NiO targets. CrystEngComm 2020, 22, 2315–2326. [Google Scholar] [CrossRef]
- Huang, B.; Zhang, Z.; Zhao, C.; Cairang, L.; Bai, J.; Zhang, Y.; Mu, X.; Du, J.; Wang, H.; Pan, X.; et al. Enhanced gas-sensing performance of ZnO@In2O3 core@shell nanofibers prepared by coaxial electrospinning. Sens. Actuators B 2018, 255, 2248–2257. [Google Scholar] [CrossRef]
- Zheng, Z.; Liu, K.; Zhou, Y.; Zhang, Z.; Su, H.; Nie, X.; Debliquy, M.; Yu, Z.; Zhang, C. Spinel Type MCo2O4 (M = Mn, Mg, Ni, Cu, Fe and Zn) for Chemoresistance Gas Sensors. Mater. Today Chem. 2024, 36, 101928. [Google Scholar] [CrossRef]
- Cheng, Y.; Shao, T.; Dong, J.; Kou, H.; Zhang, F.; Guo, J.; Liu, X. MOF-Derived SnO2@ZnO Ethanol Sensors with Enhanced Gas Sensing Properties. Vacuum 2023, 216, 112440. [Google Scholar] [CrossRef]








| RH (%) | Response (Ra/Rg) | Reaction Time (s) | Recovery Time (s) |
|---|---|---|---|
| 0 | 19.2 | 35 | 170 |
| 30 | 18.8 | 92 | 202 |
| 60 | 17.4 | 194 | 237 |
| Sensing Materials | Conc. (ppm) | T (°C) | Response (Ra/Rg or Rg/Ra) | Ref. |
|---|---|---|---|---|
| CFO-400 | 100 | 200 | 110 | [19] |
| CoFe2O4 nano-crystallines | 1000 | 150 | 71.9 | [22] |
| ZnFe2O4 nanoparticles assembled nanosheets/RGO | 100 | 210 | 41.5 | [41] |
| CdFe2O4 calcined at 700 °C | 100 | 250 | 55 | [42] |
| ZnO nanoparticles | 100 | 180 | 121.5 | [43] |
| ZnO/Co3O4 nanostructures | 10 | 300 | 34.9 | [44] |
| NiO/ZnO | 100 | 300 | 5.4 | [45] |
| ZnO@In2O3 core@shell nanofibers | 100 | 225 | 31.87 | [46] |
| CFO on a flexible mica substrate (this work) | 100 | 20 (7 V) | 19.2 | This work |
Disclaimer/Publisher’s Note: The statements, opinions and data contained in all publications are solely those of the individual author(s) and contributor(s) and not of MDPI and/or the editor(s). MDPI and/or the editor(s) disclaim responsibility for any injury to people or property resulting from any ideas, methods, instructions or products referred to in the content. |
© 2024 by the authors. Licensee MDPI, Basel, Switzerland. This article is an open access article distributed under the terms and conditions of the Creative Commons Attribution (CC BY) license (https://creativecommons.org/licenses/by/4.0/).
Share and Cite
Kim, J.H.; Choi, Y.U.; Jung, J.H.; Kim, J.-H. CoFe2O4 on Mica Substrate as Flexible Ethanol Gas Sensor in Self-Heating Mode. Sensors 2024, 24, 1927. https://doi.org/10.3390/s24061927
Kim JH, Choi YU, Jung JH, Kim J-H. CoFe2O4 on Mica Substrate as Flexible Ethanol Gas Sensor in Self-Heating Mode. Sensors. 2024; 24(6):1927. https://doi.org/10.3390/s24061927
Chicago/Turabian StyleKim, Jong Hun, Yeong Uk Choi, Jong Hoon Jung, and Jae-Hun Kim. 2024. "CoFe2O4 on Mica Substrate as Flexible Ethanol Gas Sensor in Self-Heating Mode" Sensors 24, no. 6: 1927. https://doi.org/10.3390/s24061927
APA StyleKim, J. H., Choi, Y. U., Jung, J. H., & Kim, J.-H. (2024). CoFe2O4 on Mica Substrate as Flexible Ethanol Gas Sensor in Self-Heating Mode. Sensors, 24(6), 1927. https://doi.org/10.3390/s24061927

