GNSS Spoofing Detection via the Intersection Angle between Two Directions of Arrival in a Single Rotating Antenna
Abstract
1. Introduction
2. System Model
2.1. Single Rotating Antenna Model
2.2. Parameter Estimation Based on CNR
2.3. Parameter Estimation Based on Carrier Phase
3. Spoofing Detection Method
3.1. Hypothesis Test
- (1)
- Collect the CNR data of satellite i, defined as , where represents the satellite number, and represents the time of the data.
- (2)
- Collect the carrier phase measurement value of satellite i, defined as . Calculate the carrier phase change value caused by the satellite’s motion relative to the origin O. Then, perform forward and backward differentiation on the carrier phase measurement value to obtain the CPSD, denoted as .
- (1)
- According to Formulas (8) and (9), calculate the estimated values and variances of the parameters and for the satellites i and j.
- (2)
- Calculate the estimated values and variances of parameters and for satellites i and j according to Formulas (18) and (20), and calculate the estimated values and variances of parameters and for satellites i and j according to Formulas (19) and (21).
- (3)
- Calculate the arrival angle difference and elevation angles and for satellites i and j based on ephemeris information.
- (1)
- Determine the monitoring threshold based on the set detection and false alarm probability.
- (2)
- According to Formula (25), calculate the SSE. If the SSE is lower than the threshold, the signals of satellites i and j are real signals. Otherwise, at least one of the signals is a spoofing signal.
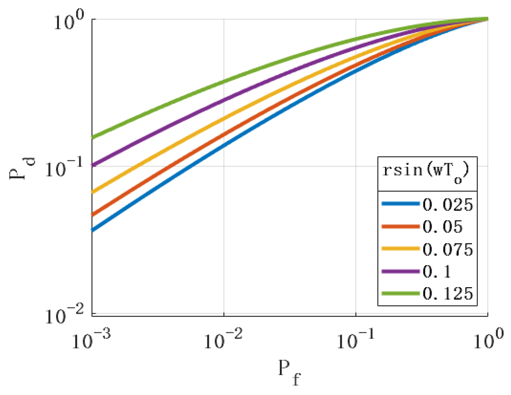
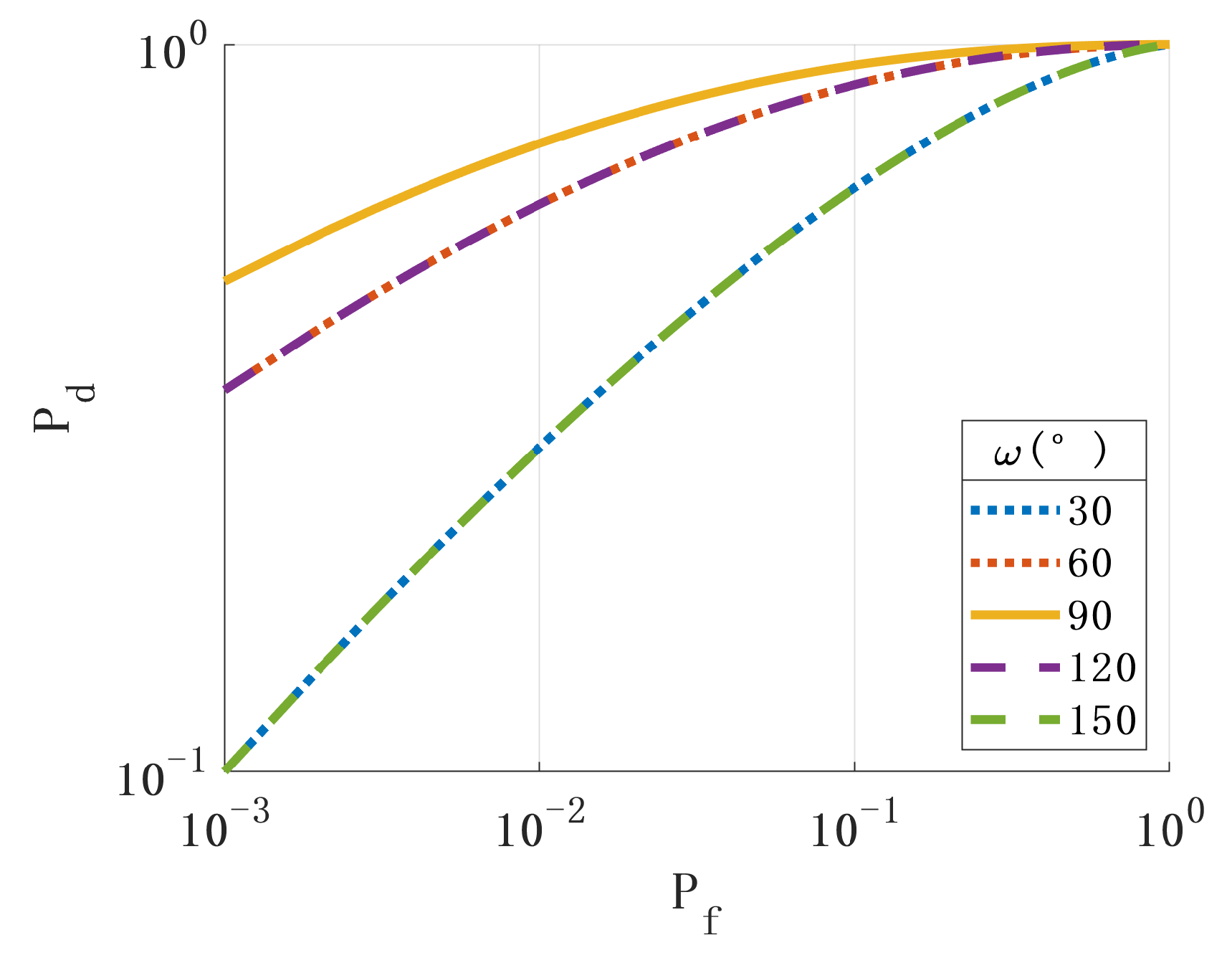
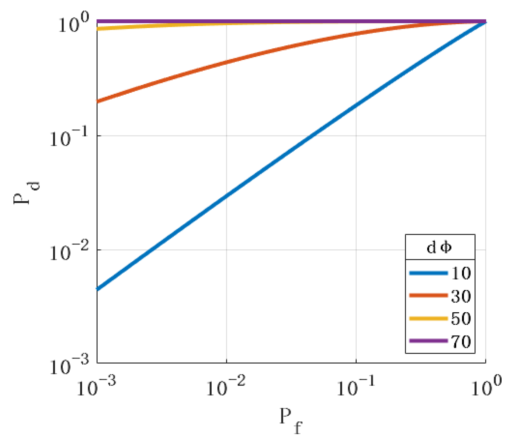
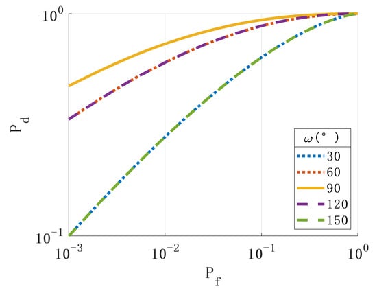
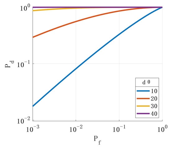
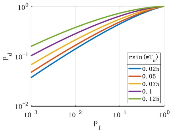
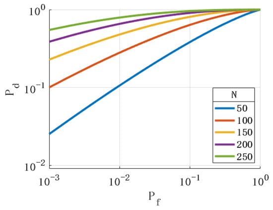
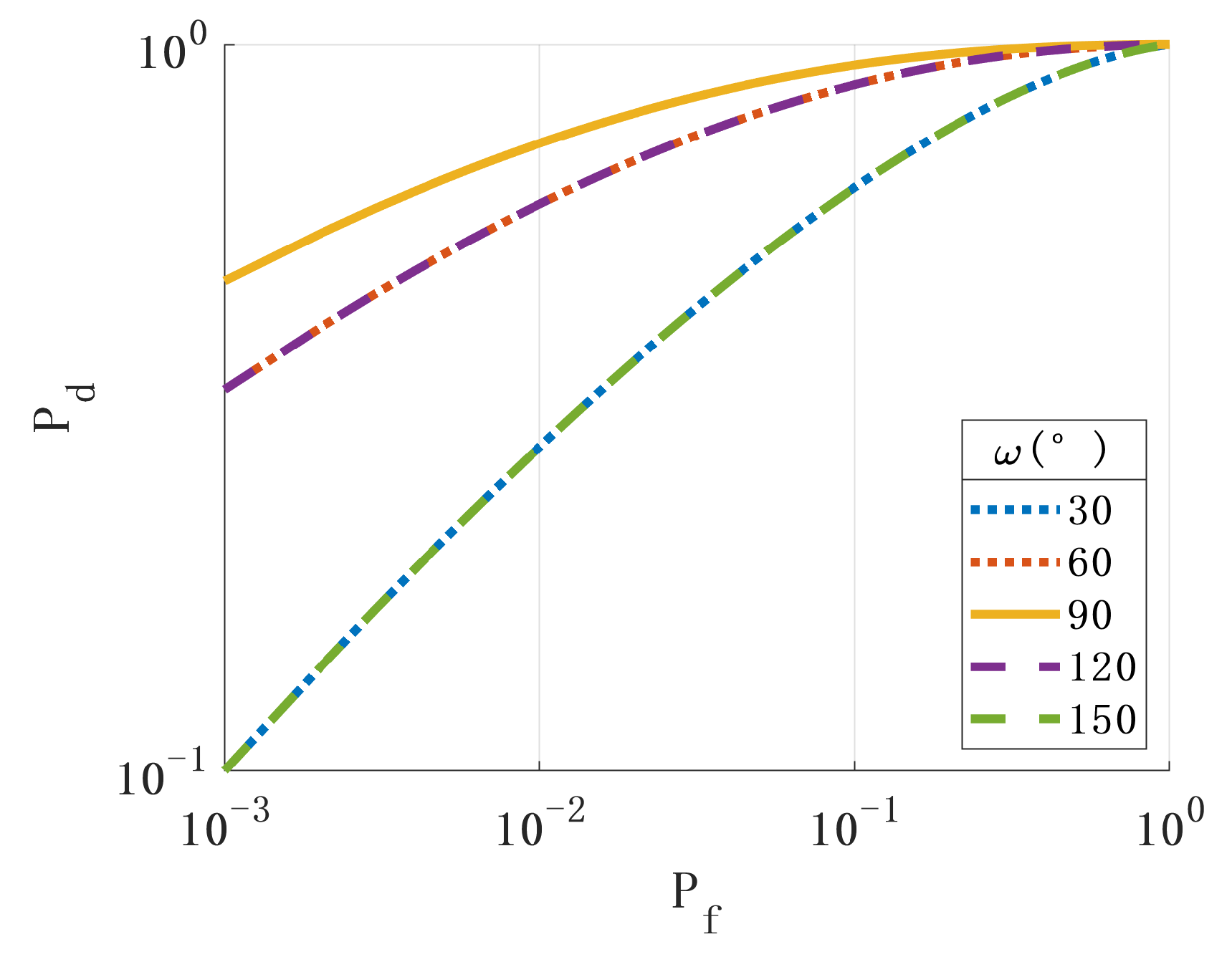
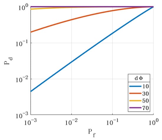
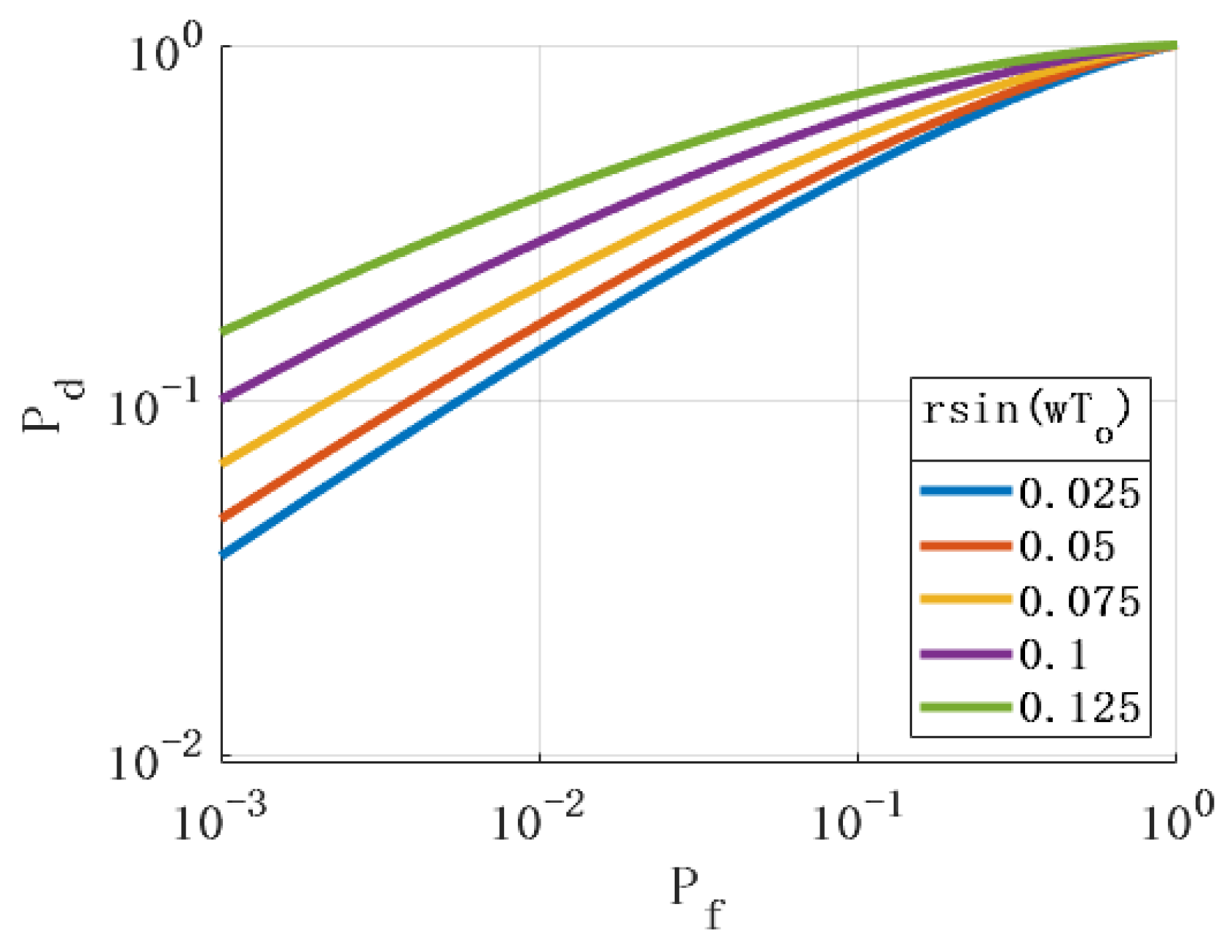
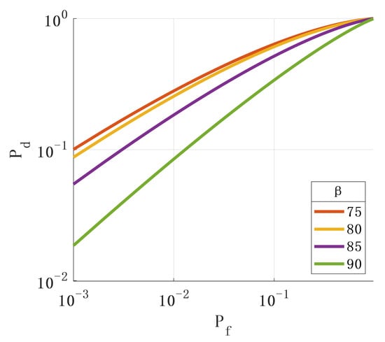
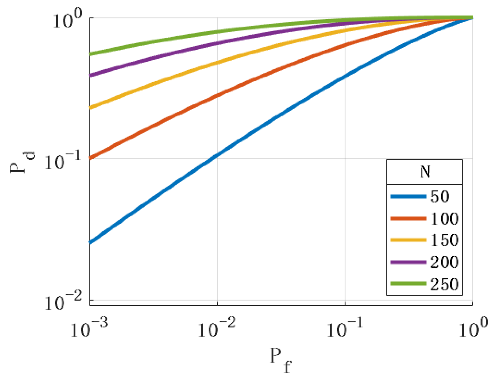
3.2. Performance Analysis
4. Experimental Results
4.1. Environment Setup and Parameter Setting
4.2. Method Validation and Performance Analysis
5. Conclusions
Author Contributions
Funding
Institutional Review Board Statement
Informed Consent Statement
Data Availability Statement
Acknowledgments
Conflicts of Interest
Abbreviations
| GNSS | Global Navigation Satellite System |
| IA-DOA | intersection angle between two directions of arrival |
| CNR | carrier-to-noise ratio |
| CPSD | carrier phase single difference |
| GLRT | generalized likelihood ratio testing |
References
- Kai, J.; Matthias, S.; Daniel, M.; Vincent, L. Crowd-GPS-Sec: Leveraging Crowdsourcing to Detect and Localize GPS Spoofing Attacks. In Proceedings of the IEEE Symposimu on Security and Privacy, San Francisco, CA, USA, 20–24 May 2018. [Google Scholar]
- Liang, X.; Caixia, X.; Minghui, M.; Weihua, Z. User-Centric View of Unmanned Aerial Vehicle Transmission Against Smart Attacks. IEEE Trans. Veh. Technol. 2018, 67, 3420–3430. [Google Scholar]
- Jafarnia, J.A.; Broum, A.; Nielsen, J.; Lachapelle, G. Pre-Despreading Authenticity Verification for GPS L1 C/A Signals. Navig. J. Inst. Navig. 2014, 61, 1–11. [Google Scholar] [CrossRef]
- Hu, Y.; Bian, S.; Cao, K.; Ji, B. GNSS spoofing detection based on new signal quality assessment model. GPS Solut. 2018, 22, 28. [Google Scholar] [CrossRef]
- Sun, C.; Cheong, J.W.; Dempster, A.G. Moving variance-based signal quality monitoring method for spoofing detection. GPS Solut. 2018, 22, 83. [Google Scholar] [CrossRef]
- Broum, A.; Lachapelle, G. Spoofing detection using GNSS/INS/Odometer coupling for vehicular navigation. Sensors 2018, 5, 1305. [Google Scholar]
- Kwon, K.C.; Shim, D.S. Performance Analysis of Direct GNSS Spoofing Detection with Accelerometers for Constant Velocity. Int. J. Control. Autom. Syst. 2022, 20, 2749–2758. [Google Scholar] [CrossRef]
- European Commission. Galileo Navigation Message Authentication Specification for Signal-In-Space Testing–v1.1; European Commission: Brussels, Belgium, 2018. [Google Scholar]
- Fernández-Hernández, I.; Ashur, T.; Rijmen, V. Analysis and Recommendations for MAC and Key Lengths in Delayed Disclosure GNSS Authentication Protocols. IEEE Trans. Aerosp. Electron. Syst 2021, 57, 1827–1839. [Google Scholar] [CrossRef]
- Wu, Z.; Zhang, Y.; Liu, R. BD-II NMA and SSI: An scheme of antispoofing and open BeiDou II D2 navigation message authentication. IEEE Access 2020, 8, 23759–23775. [Google Scholar] [CrossRef]
- Zhang, J.; Cui, X.; Xu, H. A two-stage interference suppression scheme based on antenna array for GNSS jamming and spoofing. Sensors 2019, 19, 3870. [Google Scholar] [CrossRef] [PubMed]
- He, L.; Li, H.; Lu, M. A Dual-antenna GNSS spoofing-detection method based on Doppler frequency difference of arrival. GPS Solut. 2019, 23, 78. [Google Scholar] [CrossRef]
- Chen, Z.; Li, H.; Wei, Y. GNSS antispoofing method using the intersection angle between two directions of arrival (IA-DOA) for multi-antenna receivers. GPS Solut. 2023, 1, 11. [Google Scholar] [CrossRef]
- Seo, S.H.; Lee, B.H.; Im, S.H. Efficient spoofing identification using baseline vector information of multiple receivers. GPS Solut. 2018, 22, 115. [Google Scholar] [CrossRef]
- Li, H.; Hong, L.; Mingquan, L. Global navigation satellite system spoofing-detection technique based on the Doppler ripple caused by vertical reciprocating motion. IET Radar Sonar Navig. 2019, 13, 1655–1664. [Google Scholar] [CrossRef]
- Chang, H.; Pang, C.; Zhang, L. Rotating Single-Antenna Spoofing Signal Detection Method Based on IPNN. Sensors 2022, 19, 7141. [Google Scholar] [CrossRef] [PubMed]
- Geng, Z.; Nie, J.; Xiao, Z. A GNSS spoofing detection technique based on signal spatial correlation. In Proceedings of the China Satellite Navigation Conference (CSNC) 2017 Proceedings, Shanghai, China, 23–25 May 2017; Volume 1, pp. 959–969. [Google Scholar]
- Wang, F.; Li, H.; Lu, M. GNSS spoofing countermeasure with a single rotating antenna. IEEE Access 2017, 5, 8039–8047. [Google Scholar] [CrossRef]















| Parameter | Value |
|---|---|
| 0.2 | |
| 30 | |
| 1 | |
| 70 | |
| N | 100 |
| 1 | |
| 0.02 | |
| 10 | |
| 10 |
| Parameter setting of the receiver | |||
| Rotating radius | 0.15 m | ||
| Tilt angle | 30° | ||
| Rotational angular velocity | 18 °/s | ||
| Sampling frequency | 10 Hz | ||
| Position coordinates | (0,0,0) | ||
| Number of samples in MLE | 400 | ||
| Parameter setting of spoofers | |||
| Spoofer A | Spoofer B | ||
| Position coordinates | (0,2,0.5) | Position coordinates | (0,−2,0.5) |
| PRN of spoofing | 10,12,15 | PRN of spoofing | 18,23,24 |
| Parameter setting of spoofing | |||
| Start time of experiment | 2023/09/11 06:12:05 (UTC) | ||
| Experiment duration | 490 s | ||
| Start time of spoofing | 80th second | ||
| Type of spoofing | Time spoofing | ||
| Detection Variables | ||||
|---|---|---|---|---|
| Optimal detection probability | 0.8874 | 0.8853 | 0.7917 | 0.9545 |
| Optimal false alarm probability | 0.0258 | 0.0523 | 0.0321 | 0.0206 |
Disclaimer/Publisher’s Note: The statements, opinions and data contained in all publications are solely those of the individual author(s) and contributor(s) and not of MDPI and/or the editor(s). MDPI and/or the editor(s) disclaim responsibility for any injury to people or property resulting from any ideas, methods, instructions or products referred to in the content. |
© 2024 by the authors. Licensee MDPI, Basel, Switzerland. This article is an open access article distributed under the terms and conditions of the Creative Commons Attribution (CC BY) license (https://creativecommons.org/licenses/by/4.0/).
Share and Cite
Chen, S.; Ni, S.; Lei, T.; Cheng, L.; Song, X. GNSS Spoofing Detection via the Intersection Angle between Two Directions of Arrival in a Single Rotating Antenna. Sensors 2024, 24, 1116. https://doi.org/10.3390/s24041116
Chen S, Ni S, Lei T, Cheng L, Song X. GNSS Spoofing Detection via the Intersection Angle between Two Directions of Arrival in a Single Rotating Antenna. Sensors. 2024; 24(4):1116. https://doi.org/10.3390/s24041116
Chicago/Turabian StyleChen, Shimiao, Shuyan Ni, Tuofeng Lei, Lingfeng Cheng, and Xin Song. 2024. "GNSS Spoofing Detection via the Intersection Angle between Two Directions of Arrival in a Single Rotating Antenna" Sensors 24, no. 4: 1116. https://doi.org/10.3390/s24041116
APA StyleChen, S., Ni, S., Lei, T., Cheng, L., & Song, X. (2024). GNSS Spoofing Detection via the Intersection Angle between Two Directions of Arrival in a Single Rotating Antenna. Sensors, 24(4), 1116. https://doi.org/10.3390/s24041116

