A Three-Stage Cellular Automata Model of Complex Large Roundabout Traffic Flow, with a Flow-Efficiency- and Safety-Enhancing Strategy
Abstract
1. Introduction
- A roundabout traffic flow model is proposed to replicate the complex interactions between vehicles in large roundabouts, simulating three stages: entrance, following, and exit.
- A multi-lane vehicle motion model for large roundabouts was developed.
- A study was conducted on the traffic flow efficiency in large roundabouts.
- Multiple optimization strategies for enhancing traffic efficiency are proposed, based on the spatial and vehicular behavior characteristics of large roundabouts.
2. Model
2.1. Empirical Research
2.1.1. Research Scenario
2.1.2. Empirical Analysis
- (1)
- There is a distinct relationship between and lane choice behavior, as described in the Table 1 and Table 2. Specifically, vehicles with smaller are more likely to choose lanes farther from the center of the roundabout (e.g., when , vehicles tend to choose R3 or R4); conversely, as increases, vehicles are more likely to select lanes closer to the center (e.g., when , vehicles tend to choose R1).
- (2)
- Vehicles engage in continuous lane changing from their initial entry positions, and the closer the target lane is to the center of the roundabout, the longer the required driving distance to complete this process (i.e., before starting the following stage). Qualitatively, the average driving distances for vehicles targeting lanes R1, R2, and R3 are approximately 28 m, 16 m, and 10 m, respectively (the straight-line distance between the initial entry position and the final position, where the vehicle is fully aligned in the target lane, is defined as the driving distance; these positions are measured using calibration points (Figure 1) and supplementary location data from Google Maps, including distinctive markers (e.g., lane markings, streetlights) surrounding the vehicle); vehicles with R4 as the target lane do not exhibit lane-changing behavior.
- (3)
- Before initiating continuous lane changing, vehicles must check for the traffic status behind the perpendicular line formed by the initial entry positions and the target lane. The lane-changing process can only begin if other vehicles behind this line are at distances approximately greater than 24 m, 17 m, and 13 m for R1, R2, and R3, respectively.
- (4)
- During the lane-changing process, successful execution can only occur if the distance between other behind vehicles and the intended position of the lane-changing vehicle in the target lane exceeds 12 m.
- (5)
- For the entrances of Roads A, C, D, and E, which contain two lanes, when two vehicles are simultaneously waiting to enter the roundabout, the vehicle on the right moves first if both are competing for the same position.
- (6)
- Vehicles tend to maintain their current lane throughout the following stage unless they encounter congestion. In the event of congestion, vehicles in R3 and R4 typically remain in their current lane, while approximately 60% and 45% of vehicles in R1 and R2, respectively, will choose to change lanes.
- (7)
- Similar to (4), for vehicles in the following stage intending to change lanes, the lane change can only be executed if the distance between the vehicles behind in the target lane and the intended position of the lane-changing vehicle is greater than 12 m.
- (8)
- Except for lane changes due to congestion, about 86% of vehicles in R1 will change to R2 in advance when there is one exit remaining between their current position and the target exit, in preparation for leaving the roundabout.
- (9)
- For vehicles in R1 and R2 intending to exit, difficulties may arise in executing continuous lane-changing behaviors due to the surrounding traffic flow, which primarily consists of vehicles in the following stage moving at relatively high speeds. Instead, they typically follow a pattern of lane change→drive straight→lane change, to move from inner lanes (i.e., R1 and R2) to outer lanes (i.e., R3 and R4). Specifically, the conditions for lane changing must adhere to Assertion (7), and the follow-up drive-straight distance after a lane change is approximately 4 m.
- (10)
- For vehicles in R3 and R4, they have direct access to exits, and if their target exit roads are with two lanes (i.e., Roads A, C, D, and E), they tend to choose the exit lane closer to their current position.
- (11)
- If conflicts arise when vehicles in R3 and R4 compete for the same position on the exit road, the vehicle in R4 typically secures the intended position successfully. In contrast, the vehicle in R3 will either opt for the other, more distant exit lane on the same road or wait until the intended closer exit lane becomes available.
- (12)
- Vehicles in R1, R2, and R3 typically travel 32 m, 18 m, and 10 m, respectively, to exit the roundabout (note that the distance is measured from the initial position at the start of the exit process to the final position on the exit road, similar to the definition in point (2)). Vehicles in lane R4, however, continue along R4 until the intended exit position becomes available.
2.2. Introduction of a Three-Stage Cellular Automata (TSCA) Model
- (1)
- Vehicles cannot overlap in space.
- (2)
- Each vehicle is assigned a different desired speed and occupies two cells in its direction of movement (note: the definition of cells is detailed in Section 2.2.1).
- (3)
- Each vehicle needs to undergo entrance, following, and exiting stages, with movement rules and features varying across these stages (Section 2.2.4, Section 2.2.5 and Section 2.2.6).
- (4)
- Vehicle lane-changing behavior is detailed as encompassing both vertical and horizontal movements relative to the direction of travel; thus, this behavior impacts a broader area of the neighborhood compared to simple following behavior.
- (5)
- For each position update, a vehicle’s maximum movement distance is limited to one cell.
- (6)
- When vehicles compete for the same intended position simultaneously, those in the following stage take priority over those in entrance and exit stages. If more than two vehicles in the same movement stage are competing, the order of their updates is determined randomly.
2.2.1. Transformation of the Guanggu Roundabout into a Modeling Scenario
2.2.2. A Sequential Update Scheme with Stage-Aware Priority Orders
2.2.3. Basic Model of Vehicle Movement
2.2.4. Motion on the Entrance Stage
- (1)
- Entry vehicles in the entry cell need to ensure, before initiating continuous lane changes, that there are no other vehicles within the distance behind the perpendicular line formed by the entry vehicle and the lanes between the target lane (Figure 4a). In R1, R2, and R3, this distance is four, six, and seven cells, respectively. R4 is not considered in this scenario.
- (2)
- Vehicles coming from the entry cell enter R4 and then move within the buffer zone (shown as the yellow area in Figure 4b) in the entrance stage. For a dual-lane entrance (i.e., entrance of Road A, Road C, Road D, Road E), the cell number of the buffer zone in different lanes is as follows: seven cells (R2), four cells (R3), and three cells (R4). For a single-lane entrance (i.e., entrance of Road B, Road F), the value is decreased by one. The position of the buffer zone is determined by the left boundary (Figure 4b).
- (3)
- In the buffer zone, each time vehicles complete a lane-changing behavior, if they have not yet entered the target lane, they prioritize continuing to change lanes rather than moving horizontally at the next update time step. However, when a vehicle completes a lane change to enter R2 and the target lane is R1, it needs to move one cell horizontally before choosing a lane-changing behavior again (Figure 4b).
- (4)
- For the same aim cell at the same update time step, for the dual-lane entry (i.e., entrance of Road A, Road C, Road D, Road E), the vehicle in the right entry cell has priority to occupy that aim cell (shown as the vehicle in Figure 4c). Other vehicles, preparing to move horizontally and complete a lane-changing behavior, will wait until the competition is resolved (shown as the vehicle in Figure 4c).
- (5)
- In the case of a vehicle preparing to change lanes in a vertical movement at the update time step, it needs to consider the position and movement status of other vehicles in the adjacent lane behind it. Specifically, when the distance is greater than three cells (Figure 3a) and the adjacent cell in the other lane is unoccupied, the vehicle can change lanes vertically at this update time step.
2.2.5. Motion in the Following Stage
- (1)
- For the vehicle, if it has remained stationary for two consecutive updates, there is a 60% chance of it changing lanes if it is in R1, a 45% chance if it is in R2 (with a 5% chance of moving to R1, and a 40% chance of moving to R3), and the vehicle will remain in its current lane if it is in R3 or R4. Lane changing will not be chosen if the adjacent cell in the other lane is occupied.
- (2)
- When the vehicle in R1 passes the advanced lane-changing cell (shown as the green block in Figure 5), there is an 86% chance that it will opt to switch to R2 in subsequent movements; otherwise, it will proceed straight. For the single-lane previous exit (i.e., exit of Road B, Road F), advanced lane-changing cells are positioned in R1 at locations aligned with the previous exit cell; for a dual-lane previous exit (i.e., exit of Road A, Road C, Road D, Road E), they are aligned with the left exit cell (shown as the purple block in Figure 5).
- (3)
- In the following stage, the vehicle cannot process a vertical movement of lane change at the update time step unless the distances and are greater than three and two cells, respectively (Figure 3a).
2.2.6. Motion in the Exit Stage
- (1)
- Vehicles coming from the following stage enter the checkpoint of the exit stage, and then they move within the buffer zone (shown as the yellow area in Figure 6a). is the cell number of the buffer zone in different lanes. For dual-lane exit (i.e., exit of Road A, Road C, Road D, Road E), the values are as follows: 10 cells (R1), 7 cells (R2), 5 cells (R3), and 3 cells (R4); for single-lane exit (i.e., exit of Road B, Road F), the values are decreased by one. The position of the buffer zone is determined by the right boundary (Figure 6a). The checkpoint is the left boundary cell of the buffer zone, and the position is determined by the length of in different lanes.
- (2)
- When vehicles change lanes towards the exit from R1 and R2, they must move horizontally at least two cells after completing a lane-changing behavior before they can change lanes again (shown as the vehicle in Figure 6a). At this stage, the conditions required for the vehicle to change lanes are the same as those in the following stage.
- (3)
- For the same aim cell at the same time step, the vehicle in R4 to the exit cell has priority to occupy that cell over other vehicles (shown as vehicle d in Figure 6b). Other vehicles, in R3, will wait until the competition is resolved (in single-lane exit) or detour (in dual-lane exit) to exit the system (shown as vehicle c in Figure 6b).
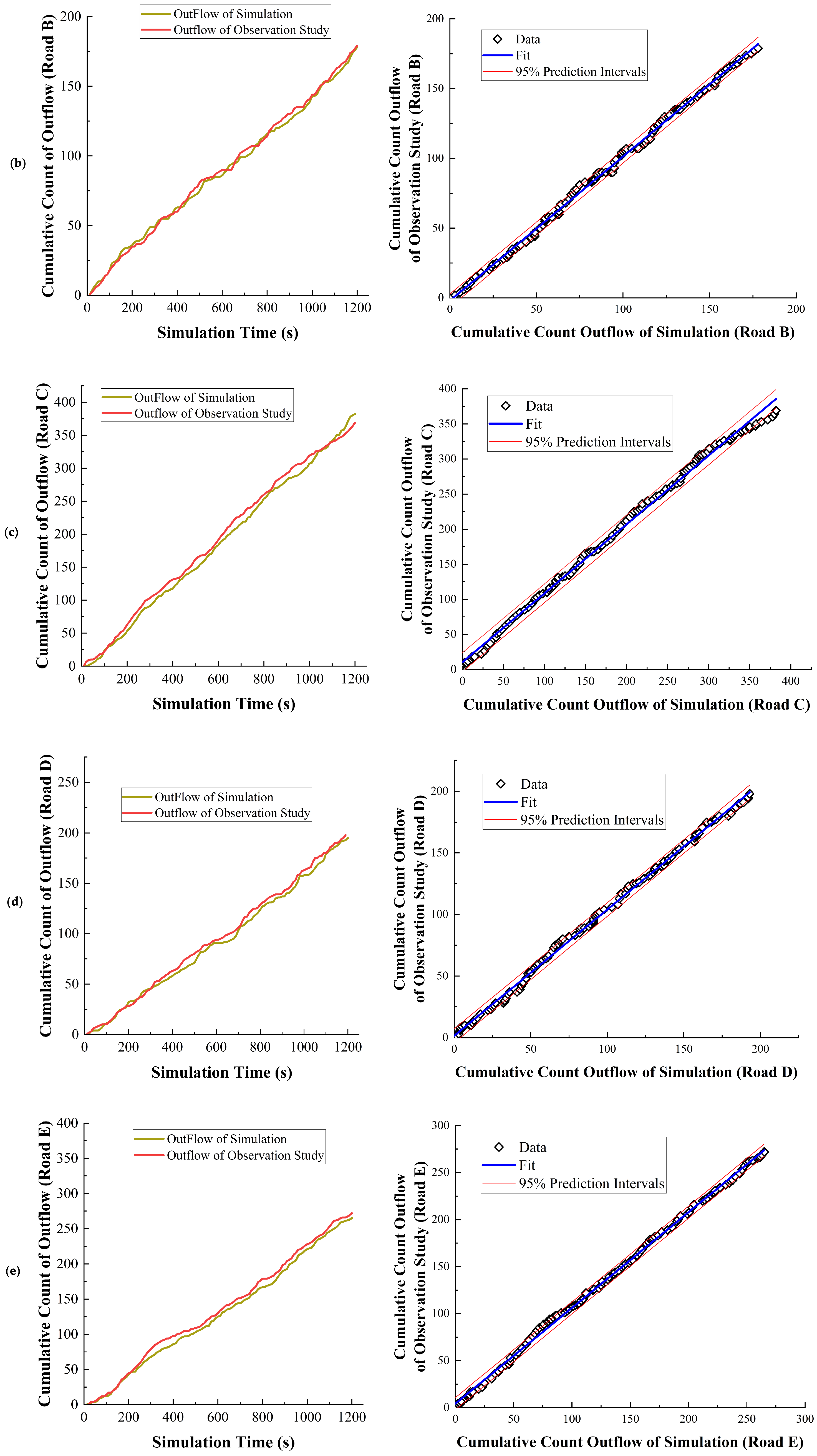
3. Validation of the Model and Results
3.1. Fundamental Diagram
3.2. The Relationship Between Traffic Flow and Time
3.3. Simulation Results’ Analysis
3.3.1. Interaction Situation
3.3.2. Congested Areas Within the Roundabout
4. Management and Optimization Strategies
4.1. Entrance Facility Optimization Strategy (Simulation 1)
- (a)
- All vehicles aiming for the adjacent right road are prioritized to exit the roundabout on the outermost lane based on the updated rules.
- (b)
- Vehicles traveling in R3 and aiming for the adjacent right road are allowed to change lanes outward at any time.
4.2. Road B Traffic Island Optimization Strategy (Simulation 2)
4.3. Threshold Control Strategy (Simulation 3)
- (a)
- When exceeds 0.24, vehicle entry to the roundabout is prohibited.
- (b)
- For between 0.18 and 0.24, the entry rate at each entrance is reduced by half, to 1.5 s.
- (c)
- When is below 0.18, vehicles enter the roundabout without restrictions.
4.4. Path Selection Based on Road Occupancy Rate Recognition Strategy (Simulation 4)
- (a)
- The vehicle’s behavior is based on the original model.
- (b)
- During the entrance stage, if a vehicle enters a congested lane, it will opportunistically switch to the inner lane (closer to the center).
- (c)
- During the following stage, except for the innermost lane (R1), all vehicles consider changing lanes to the outer side when faced with congestion. If the vehicle in R1 has not yet reached the advanced lane-changing cell (the green block in Figure 5), it will continue changing lanes to avoid congestion.
5. Discussion and Conclusions
Author Contributions
Funding
Data Availability Statement
Acknowledgments
Conflicts of Interest
Appendix A
Appendix A.1. Probability of Vehicles Choosing Exit Roads
- When the initial road is Road A:
- (1)
- The probability of a fast car appearing is 67.7%.
- (2)
- The probabilities of choosing Road A, Road B, Road C, Road D, Road E, and Road F as the aim roads are 2.1%, 22.6%, 27.8%, 7.2%, 33.0%, and 8.2%, respectively.
- (3)
- When these roads are the aim roads, the probabilities of vehicles entering the roundabout from the right lane of Road A are 5.0%, 81.0%, 0%, 0%, 36.3%, and 0%.
- No vehicles exit from Road B; hence, the probabilities are all 0.
- When the initial road is Road C:
- (1)
- The probability of a fast car appearing is 61.8%.
- (2)
- The probabilities of choosing Road A, Road B, Road C, Road D, Road E, and Road F as the aim roads are 15.0%, 6.5%, 7.5%, 26.2%, 15.9%, and 29.0%, respectively.
- (3)
- When these roads are the aim roads, the probabilities of vehicles entering the roundabout from the right lane of Road C are 0%, 0%, 0%, 90.9%, 76.9%, and 100.0%.
- When the initial road is Road D:
- (1)
- The probability of a fast car appearing is 68.8%.
- (2)
- The probabilities of choosing Road A, Road B, Road C, Road D, Road E, and Road F as the aim roads are 11.9%, 6.0%, 32.8%, 0%, 20.9%, and 28.4%, respectively.
- (3)
- When these roads are the aim roads, the probabilities of vehicles entering the roundabout from the right lane of Road D are 100.0%, 100.0%, 60.0%, 50.0%, 100.0%, and 100.0%.
- When the initial road is Road E:
- (1)
- The probability of a fast car appearing is 55.3%.
- (2)
- The probabilities of choosing Road A, Road B, Road C, Road D, Road E, and Road F as the aim roads are 38.9%, 7.8%, 27.8%, 11.1%, 1.1%, and 13.3%, respectively.
- (3)
- When these roads are the aim roads, the probabilities of vehicles entering the roundabout from the right lane of Road E are 75.0%, 54.5%, 55.5%, 50.0%, 50.0%, and 0%.
- When the initial road is Road F:
- (1)
- The probability of a fast car appearing is 83.3%.
- (2)
- The probabilities of choosing Road A, Road B, Road C, Road D, Road E, and Road F as the aim roads are 22.7%, 11.4%, 50.0%, 11.4%, 4.5%, and 0%, respectively.
- (3)
- When these roads are the aim roads, the probabilities of vehicles entering the roundabout from the right lane of Road F are 100.0%, 100.0%, 100.0%, 100.0%, 100.0%, and 100.0%.
Appendix A.2. Probability of Vehicles Choosing Target Lanes
- (1)
- When the :
- (2)
- When the :
- (3)
- When the :
- (4)
- When the :
- (5)
- When the :
- (6)
- When the :
References
- Alaba, F.A.; Oluwadare, A.; Sani, U.; Oriyomi, A.A.; Lucy, A.O.; Najeem, O. Enabling Sustainable Transportation Through IoT and AIoT Innovations. In Artificial Intelligence of Things for Achieving Sustainable Development Goals; Springer Nature: Cham, Switzerland, 2024; pp. 273–291. [Google Scholar]
- New Infrastructure Is a Strategic Cornerstone to Support the Development of New Formats, New Ind. New Serv. Available online: https://www.jfdaily.com/staticsg/res/html/web/newsDetail.html?id=720954&sid=300 (accessed on 29 February 2024).
- Chen, S.; Hu, X.; Zhao, J.; Wang, R.; Qiao, M. A Review of Decision-Making and Planning for Autonomous Vehicles in Intersection Environments. World Electr. Veh. J. 2024, 15, 99. [Google Scholar] [CrossRef]
- Gorrini, A.; Crociani, L.; Vizzari, G.; Bandini, S. Observation Results on Pedestrian-Vehicle Interactions at Non-Signalized Intersections Towards Simulation. Transp. Res. Part F Traffic Psychol. Behav. 2018, 59, 269–285. [Google Scholar] [CrossRef]
- Chen, L.; Qiao, C.; Zhang, J.; Xie, C.Z.T.; Tang, T.Q.; Chen, Y. Behavioral Patterns of Children During Emergency Evacuations: A Comparative Analysis of Experimental Observations and Simulation Results. J. Stat. Mech. Theory Exp. 2024, 2024, 043402. [Google Scholar] [CrossRef]
- Wang, F.; Di, Z.; Zhang, N.; Ruan, Y.; Luo, B.; Wang, Y.; Liu, X. Analysis of Construction Process and Configuration Automatic Monitoring for the Spoke-Type Single-Layer Cable Net Structure. Buildings 2024, 14, 2523. [Google Scholar] [CrossRef]
- Wang, L.; Ding, M.; Ruan, Y.; Luo, B.; Guo, J. Error Influence Simulation of the 500 m Aperture Spherical Radio Telescope Cable-Net Structure Based on Random Combinations. Sustainability 2023, 15, 15061. [Google Scholar] [CrossRef]
- Fu, L.; Zhang, Y.; Qin, H.; Shi, Q.; Chen, Q.; Chen, Y.; Shi, Y. A modified social force model for studying nonlinear dynamics of pedestrian-e-bike mixed flow at a signalized crosswalk. Chaos Solitons Fractals 2023, 174, 113813. [Google Scholar] [CrossRef]
- Fu, L.; Zhang, Y.; Chen, Q.; He, Y.; Shen, C.; Shi, Y. Behavioral characteristics of bidirectional pedestrian-e-bike mixed flow at a signalized crosswalk: An experimental study. Travel Behav. Soc. 2025, 38, 100897. [Google Scholar] [CrossRef]
- Ahmed, A.; Rizvi, S.F.A.; Ahmad, F. Modelling Merging Behaviour of Drivers in Heterogeneous Traffic at Roundabouts. Eur. Transp./Trasp. Eur. 2024, 98, 6. [Google Scholar] [CrossRef]
- Rossi, R.; Meneguzzer, C.; Orsini, F.; Gastaldi, M. Gap-Acceptance Behavior at Roundabouts: Validation of a Driving Simulator Environment Using Field Observations. Transp. Res. Procedia. 2020, 47, 27–34. [Google Scholar] [CrossRef]
- Silvano, A.P.; Ma, X.; Koutsopoulos, H.N. When Do Drivers Yield to Cyclists at Unsignalized Roundabouts? Empirical Evidence and Behavioral Analysis. Transp. Res. Rec. 2015, 2520, 25–31. [Google Scholar] [CrossRef]
- Li, C.; Liu, S.; Xu, G.; Cen, X. Influence of Driver’s Yielding Behavior on Pedestrian-Vehicle Conflicts at a Two-Lane Roundabout Using Fuzzy Cellular Automata. J. Cent. South Univ. 2022, 29, 346–358. [Google Scholar] [CrossRef]
- Patnaik, A.K.; Rao, S.; Krishna, Y.; Bhuyan, P.K. Empirical Capacity Model for Roundabouts Under Heterogeneous Traffic Flow Conditions. Transp. Lett. 2017, 9, 152–165. [Google Scholar] [CrossRef]
- Yoshioka, K.; Hnakamura, H.; Shimokawa, S.; Morita, H. An Analysis on the Impact of Roundabout Geometric Elements on Driving Behavior. J. East. Asia Soc. Transp. Stud. 2017, 12, 1783–1796. [Google Scholar]
- Guerrieri, M.; Mauro, R.; Parla, G.; Tollazzi, T. Analysis of Kinematic Parameters and Driver Behavior at Turbo Roundabouts. J. Transp. Eng. Part A Syst. 2018, 144, 04018020. [Google Scholar] [CrossRef]
- Zhou, L.; Zhang, L.; Liu, C.S. Comparing Roundabouts and Signalized Intersections Through Multiple- Model Simulation. IEEE Trans. Intell. Transp. Syst. 2022, 23, 7931–7940. [Google Scholar] [CrossRef]
- Lihejiang Roundabout Frequently Experiences Traffic Congestion During Peak Periods. Qinzhou City Government. Available online: http://zmqzcyyq.gxzf.gov.cn/gzhd/rdhf/t8100519.shtml (accessed on 13 November 2024).
- Cheng, W.; Zhu, X.; Song, X. Research on Capacity Model for Large Signalized Roundabouts. Procedia Eng. 2016, 137, 352–361. [Google Scholar] [CrossRef]
- Xie, C.Z.; Tang, T.Q.; Zhang, B.T.; Xiang, H.J. Experiment, Model, and Simulation of Pedestrian Flow Around a Training School Classroom During the After-Class Period. Simulation 2022, 98, 63–82. [Google Scholar] [CrossRef]
- Wang, R.; Ruskin, H.J. Modelling Traffic Flow at Multi-Lane Urban Roundabouts. Int. J. Mod. Phys. C 2006, 17, 693–710. [Google Scholar] [CrossRef]
- Bie, J.; Lo, H.K.; Wong, S.C. Capacity Evaluation of Multi-Lane Traffic Roundabout. J. Adv. Transp. 2010, 44, 245–255. [Google Scholar] [CrossRef]
- Tumminello, M.L.; Macioszek, E.; Granà, A. Insights into Simulated Smart Mobility on Roundabouts: Achievements, Lessons Learned, and Steps Ahead. Sustainability 2024, 16, 4079. [Google Scholar] [CrossRef]
- Gan, J.; Zhang, J.; Liu, Y. Research on Behavioral Decision at an Unsignalized Roundabout for Automatic Driving Based on Proximal Policy Optimization Algorithm. Appl. Sci. 2024, 14, 2889. [Google Scholar] [CrossRef]
- Asia’s Largest Transportation Complex: Wuhan Optics Valley Plaza. Available online: https://www.163.com/dy/article/EO2SSR6D051480KF.html (accessed on 2 September 2019).
- The Traffic Volume of Guanggu Roundabout Is Overloaded During Peak Hours. Available online: https://hb.sina.com.cn/news/b/2015-04-09/detail-iavxeafs4882667.shtml (accessed on 9 April 2015).
- Harsono, T.; Arai, K. Modeling Micro Traffic Flow Phenomena Based on Vehicle Types and Driver Characteristics Using Cellular Automata and Monte Carlo. Int. J. Adv. Comput. Sci. Appl. 2024, 15, 973. [Google Scholar] [CrossRef]
- Qiao, Y.; Xue, Y.; Wang, X.; Cen, B.-l.; Wang, Y.; Pan, W.; Zhang, Y.-x. Investigation of PM Emissions in Cellular Automata Model with Slow-to-Start Effect. Phys. A Stat. Mech. Its Appl. 2021, 574, 125996. [Google Scholar] [CrossRef]
- Xue, W.; Zhao, Y.; Jia, J. Study on Characteristics of Multi-Speed Mixed Traffic Flow at a Single-Loop Roundabout. In Proceedings of the International Conference on Frontiers of Electronics, Information and Computation Technologies, Changsha, China, 21–23 May 2021; pp. 1–5. [Google Scholar]
- Ez-zahar, A.; Lakouari, N.; Oubram, O.; Aguilar, J.G.V.; Ez-zahraouy, H. Simulation Analysis of Traffic Management in Roundabout Systems. In Proceedings of the International Conference on Frontiers of Electronics, Information and Computation Technologies, Fez, Morocco, 16–17 May 2024; pp. 1–7. [Google Scholar]
- Tang, T.Q.; Xie, C.Z.; Chen, L. Modeling and Simulating the Pedestrian Flow in a Training School Classroom During the Pickup Period. Phys. A Stat. Mech. Its Appl. 2019, 528, 121281. [Google Scholar] [CrossRef]
- Marzoug, R.; Lakouari, N.; Pérez Cruz, J.R.; Vega Gómez, C.J. Cellular Automata Model for Analysis and Optimization of Traffic Emission at Signalized Intersection. Sustainability 2022, 14, 14048. [Google Scholar] [CrossRef]
- Wang, X.; Xue, Y.; Cen, B.; Zhang, P.; He, H.D. Study on pollutant emissions of mixed traffic flow in cellular automaton. Phys. A Stat. Mech. Its Appl. 2020, 537, 122686. [Google Scholar] [CrossRef]
- Lakouari, N.; Oubram, O.; Bassam, A.; Hernandez, S.E.P.; Marzoug, R.; Ez-Zahraouy, H. Modeling and simulation of CO2 emissions in roundabout intersection. J. Comput. Sci. 2020, 40, 101072. [Google Scholar] [CrossRef]
- Huang, D. Modeling Gridlock at Roundabout. Comput. Phys. Commun. 2015, 189, 72–76. [Google Scholar] [CrossRef]
- Dong, R.H.; Xue, W.D.; Zhu, C.S. Study on the Mixing Traffic in a Single-Lane Roundabout with Open Boundary Condition. Adv. Mater. Res. 2014, 926, 3657–3660. [Google Scholar] [CrossRef]
- Xie, C.Z.; Tang, T.Q.; Zhang, B.T.; Nicolas, A. Adult–Child Pairs Walking Down Stairs: Empirical Analysis and Optimal-Step-Based Modeling of a Complex Pedestrian Flow, with an Exploration of Flow-Improvement Strategies. J. Stat. Mech. Theory Exp. 2023, 2023, 013404. [Google Scholar] [CrossRef]
- Laarej, A.; Karakhi, A.; Khallouk, A.; Lakouari, N.; Ez-Zahraouy, H. Dissipation Energy and Satisfaction Rate for a Two-Lane Traffic Model with Two Types of Vehicles. Chin. J. Phys. 2021, 71, 62–71. [Google Scholar] [CrossRef]
- Wei, L.; Li, W.; Liang, H.; Luo, F. Traffic Flow Characteristics of Speed Limited Roads Based on Cellular Automata NaSch Traffic Flow Model. In The International Symposium on Computer Science, Digital Economy and Intelligent Systems; Springer Nature: Cham, Switzerland, 2022; pp. 629–638. [Google Scholar]
- Regragui, Y.; Moussa, N. A Cellular Automata Model for Urban Traffic with Multiple Roundabouts. Chin. J. Phys. 2018, 56, 1273–1285. [Google Scholar] [CrossRef]
- Ma, W.; Li, J.; Yu, C. Intersection Control in Mixed Traffic with Connected Automated Vehicles: A Review of Recent Developments and Research Frontiers. China J. Highw. Transp. 2023, 36, 22. [Google Scholar]
- Zhu, H.B.; Zhou, Y.J.; Wu, W.J. Modeling Traffic Flow Mixed with Automated Vehicles Considering Drivers’ Character Differences. Phys. A Stat. Mech. Its Appl. 2020, 549, 124337. [Google Scholar] [CrossRef]
- Wang, C.; Storms, K.; Zhang, N.; Winner, H. Runtime Unknown Unsafe Scenarios Identification for SOTIF of Autonomous Vehicles. Accid. Anal. Prev. 2024, 195, 107410. [Google Scholar] [CrossRef]





















| ΔR = 1 | ΔR = 2 | ΔR = 3 | |||||||||
|---|---|---|---|---|---|---|---|---|---|---|---|
| Entrance Road | Normal Count | Exception Count | Selected Lane | Normal Count | Exception Count | Selected Lane | Normal Count | Exception Count | Selected Lane | ||
| R2 | R3 | R1 | R3 | R2 | |||||||
| Road A | 20→R3&R4 | 1 | 1→R2 | 20→R2 | 7 | 7→R3 | - | 5→R1 | 2 | - | 2→R2 |
| Road B | - | - | - | - | - | - | - | - | - | - | - |
| Road C | 28→R3&R4 | - | - | 14→R2 | 3 | - | 3→R1 | 20→R1 | 11 | - | 11→R2 |
| Road D | 14→R3&R4 | - | - | 18→R2 | 1 | 1→R3 | - | 5→R1 | 3 | - | 3→R2 |
| Road E | 12→R3&R4 | - | - | 25→R2 | 10 | 7→R3 | 3→R1 | 1→R1 | 6 | 1→R3 | 5→R2 |
| Road F | 9→R3&R4 | 1 | 1→R2 | 5→R2 | - | - | - | 10→R1 | 12 | - | 12→R2 |
| ΔR = 4 | ΔR = 5 | ΔR = 6 | |||||||
|---|---|---|---|---|---|---|---|---|---|
| Entrance Road | Normal Count | Exception Count | Selected Lane | Normal Count | Exception Count | Selected Lane | Normal Count | Exception Count | Selected Lane |
| R2 | R2 | - | |||||||
| Road A | 27→R1 | 5 | 5→R2 | 7→R1 | 1 | 1→R2 | 2→R1 | - | - |
| Road B | - | - | - | - | - | - | - | - | - |
| Road C | 13→R1 | 3 | 3→R2 | 3→R1 | 4 | 4→R2 | 8→R1 | - | - |
| Road D | 3→R1 | 1 | 1→R2 | 22→R1 | - | - | - | - | - |
| Road E | 16→R1 | 9 | 9→R2 | 8→R1 | 2 | 2→R2 | 1→R1 | - | - |
| Road F | 4→R1 | 1 | 1→R2 | 2→R1 | - | - | - | - | - |
| Data Type | Number of Data Pairs | p-Value | Pearson Correlation |
|---|---|---|---|
| Aggregate | 120 | 0.000 | 0.999876767 |
| Road A | 120 | 0.000 | 0.999400183 |
| Road B | 120 | 0.000 | 0.998861147 |
| Road C | 120 | 0.000 | 0.998166275 |
| Road D | 120 | 0.000 | 0.998830072 |
| Road E | 120 | 0.000 | 0.999191377 |
| Road F | 120 | 0.000 | 0.999070709 |
| Average Speed (m/s) | Delay Time (s) | Count of Dangerous Interactions | Frequency of Dangerous Interactions | |
|---|---|---|---|---|
| Original Model | 6.07 | 209,076 | 7340 | 1.42 |
| Simulation 1 | 6.60 | 182,856 | 7052 | 0.97 |
| Simulation 2 | 6.63 | 201,614 | 7048 | 1.07 |
| Simulation 3 | 6.64 | 187,047 | 6823 | 0.97 |
| Simulation 4 | 7.02 | 195,481 | 5261 | 0.88 |
Disclaimer/Publisher’s Note: The statements, opinions and data contained in all publications are solely those of the individual author(s) and contributor(s) and not of MDPI and/or the editor(s). MDPI and/or the editor(s) disclaim responsibility for any injury to people or property resulting from any ideas, methods, instructions or products referred to in the content. |
© 2024 by the authors. Licensee MDPI, Basel, Switzerland. This article is an open access article distributed under the terms and conditions of the Creative Commons Attribution (CC BY) license (https://creativecommons.org/licenses/by/4.0/).
Share and Cite
Liang, X.; Xie, C.-Z.T.; Song, H.-F.; Guo, Y.-J.; Peng, J.-X. A Three-Stage Cellular Automata Model of Complex Large Roundabout Traffic Flow, with a Flow-Efficiency- and Safety-Enhancing Strategy. Sensors 2024, 24, 7672. https://doi.org/10.3390/s24237672
Liang X, Xie C-ZT, Song H-F, Guo Y-J, Peng J-X. A Three-Stage Cellular Automata Model of Complex Large Roundabout Traffic Flow, with a Flow-Efficiency- and Safety-Enhancing Strategy. Sensors. 2024; 24(23):7672. https://doi.org/10.3390/s24237672
Chicago/Turabian StyleLiang, Xiao, Chuan-Zhi Thomas Xie, Hui-Fang Song, Yong-Jie Guo, and Jian-Xin Peng. 2024. "A Three-Stage Cellular Automata Model of Complex Large Roundabout Traffic Flow, with a Flow-Efficiency- and Safety-Enhancing Strategy" Sensors 24, no. 23: 7672. https://doi.org/10.3390/s24237672
APA StyleLiang, X., Xie, C.-Z. T., Song, H.-F., Guo, Y.-J., & Peng, J.-X. (2024). A Three-Stage Cellular Automata Model of Complex Large Roundabout Traffic Flow, with a Flow-Efficiency- and Safety-Enhancing Strategy. Sensors, 24(23), 7672. https://doi.org/10.3390/s24237672
