Abstract
Underwater object detection (UOD) presents substantial challenges due to the complex visual conditions and the physical properties of light in underwater environments. Small aquatic creatures often congregate in large groups, further complicating the task. To address these challenges, we develop Aqua-DETR, a tailored end-to-end framework for UOD. Our method includes an align-split network to enhance multi-scale feature interaction and fusion for small object identification and a distinction enhancement module using various attention mechanisms to improve ambiguous object identification. Experimental results on four challenging datasets demonstrate that Aqua-DETR outperforms most existing state-of-the-art methods in the UOD task, validating its effectiveness and robustness.
1. Introduction
Nowadays, the utilization of marine ecological resources has predominantly shifted from relying solely on human diving operations to employing remotely operated vehicles and autonomous underwater vehicles equipped with underwater cameras, as referenced in [1]. Imagery underwater object detection (UOD) is crucial for these technologies to effectively perceive and interact with the underwater environment, enabling informed decision-making. With the rapid advancement of artificial intelligence, these devices have been evolving to be more intelligent and capable, facilitating a range of marine tasks, such as underwater garbage collection, ecological monitoring, and wreck exploration [2].
Due to the more complicated underwater environments, generic object detection (GOD) approaches indeed perform unsatisfactorily [3]. In water, light is easy to scatter and be absorbed; underwater images thus often suffer from degradation issues of reduced contrast, color distortion, and fuzziness. The images with low quality make it difficult for object detectors, even for humans, to accurately detect objects from the background [4]. Also, a great number of aquatic creatives have a camouflage habitus to make their texture close to the surroundings, which brings more difficulties to the task. As illustrated in Figure 1, the echinus in the yellow box exhibits a similar texture with the background, and the one in the purple box conceals itself in the crevices, which are ambiguous objects. The minimal visual distinction between ambiguous objects and their surrounding backgrounds complicates the extraction of discriminative and subtle semantic features for these objects. Consequently, this challenge diminishes the accuracy in identifying ambiguous targets. For that, researchers have conducted extensive explorations in recent years. For example, ROIMIX [5] uses data augmentation to simulate occluded and blurred objects, thereby improving performance on such objects. GCC-Net [6] employs an underwater image enhancement model to improve the detection accuracy in complex underwater environments. Dai et al. [7] developed a sophisticated network, ERL-Net, to make clearer differentiation from the background by extracting edge information of underwater objects [7]. However, most existing methods incorporate a cross-scale information exchange module without fully considering the characteristics and relationships of features across different layers. This oversight limits their ability to effectively distinguish ambiguous objects from the background.
Figure 1.
Due to the unavoidable environmental factors such as lighting and water, these aquatic organisms exhibit colors and textures that closely resemble the background. Coupled with low contrast or blurred imagery, they become ambiguous to detect, such as the echinus in the yellow box that presents the similar texture with the rock and the one in the purple box that conceals itself in the crevice. Furthermore, underwater organisms often occupy small areas within the images, such as echini and starfish, aggravating the detection difficulty.
Moreover, a common phenomenon that exists in the wild is the clustering of small creatures in large groups. In underwater imagery, the majority of objects typically occupy very small areas. As shown in Figure 1, most of the echinus and starfish only occupy small areas of the image. It leads detectors to lack sufficient information to capture these small and clustered objects and to learn their feature representation. Unfortunately, the degraded quality of underwater images exacerbates this issue. Consequently, the prevalence of small and ambiguous objects in underwater images continues to pose significant challenges for underwater object detection.
In this paper, we propose an end-to-end underwater object detection framework based on Transformer called Aqua-DETR, for ambiguous and small objects. To address the shortcomings of Transformer-based detectors in small object detection in the underwater environment, we design an align-split network (ASN). The network aligns the features in different layers extracted by the backbone network to the same layer, which can interact with each other fully. After the interaction, the features are split and processed to the subsequent network for further fusion. In addition, leveraging cross-attention, channel attention, and graph attention mechanisms, we design a distinction enhancement module (DEM). The module injects detailed appearance information into deep semantic features to find ambiguous objects. Finally, we conduct experiments on four challenging datasets, comparing our method against other state-of-the-art detectors. The experimental results, including ablation analysis, demonstrate the superior performance and generalizability of the proposed framework across various datasets.
The contributions of this paper are summarized as follows:
- We introduce an end-to-end real-time Transformer-based detection framework for underwater small and ambiguous objects.
- We design an align-split network (ASN) for identifying small objects via reinforcing multi-scale feature interaction and fusion. We also develop a distinction enhancement module based on different attention mechanisms to enhance the sensitivity of the model on ambiguous objects.
- The experiment results on four challenging underwater datasets, DUO, Brackish, TranshCan, and WPBB, demonstrate that our method outperforms most other object detection methods in underwater environments.
The rest of the paper is organized as follows: Section 2 reviews related work in underwater object detection. Section 3 provides a detailed description of the proposed method. Section 4 gives the experiments conducted and analysis of the proposed method. Finally, the concluding section summarizes the findings and contributions of this work.
2. Related Works
In recent years, advancements in marine robotics have opened up new avenues for ocean exploration. Coupled with advanced machine vision techniques, marine robots demonstrate significant potential for exploring the underwater environment. Underwater object detection plays a pivotal role in ocean exploration by identifying objects in digital images, which provides essential information for subsequent tasks [8]. Driven by deep learning techniques, a rapid evolution of image-based object detection techniques has sprung up over the past two decades [9]. Generic object detection approaches have proven effective in many atmospheric scenarios. However, compared to the atmospheric environment, the underwater environment is more complicated. Images captured in the water often suffer from the quality degradation issue due to the absorption and scattering properties of light within the aquatic environment [10]. Consequently, most generic object detection methods fall short of underwater images, and many researchers have turned their eyes to underwater object detection. Most existing underwater object detection approaches are based on neural network architectures, and they can be categorized into two groups: CNN-based approaches and Transformer-based ones.
2.1. CNN-Based Methods
Convolutional neural networks (CNNs) are a class of neural networks that have been used in various image processing tasks. These networks operate by conducting convolution operations through a moving window mechanism, coupled with subsequent pooling operations, which collectively introduce an inductive bias. This approach capitalizes on local spatial correlations within the image data, enabling CNNs to extract features with both effectiveness and efficiency. R-CNN [11] has been the pioneering CNN-based approach for object detection, which divides the task into two stages. Specifically, it first generates region proposals, which is a set of candidate objects, which further classifies and localizes these candidate objects. R-CNN has yielded a series of powerful variants, such as Faster R-CNN [12] and Mask R-CNN [13]. Due to their stable and generic performance, they have been widely adopted in underwater object detection [14]. For instance, ROIMIX [5], an enhancement of Faster R-CNN, introduces a data augmentation technique to simulate overlapping, occluded, and blurred objects. Subsequently, Qi et al. introduced USTD [15], a two-stage R-CNN-like detector incorporating a Deformable Convolutional Pyramid module to address deformation and occlusion challenges. Additionally, Boosting R-CNN [16] was developed to extract more precise region proposals and to emphasize challenging examples through reweighting. Recently, Li et al. [17] improved the feature pyramid network by incorporating a regression strategy based on a tailored cornerness loss to find more accurate bounding boxes. However, the above-mentioned detectors, which are based on the R-CNN framework, often face efficiency challenges and may not meet the real-time requirements for underwater object detection. In contrast, the design of our method, such as the selection alignment layer, meticulously balances prediction accuracy with computational efficiency.
More and more researchers have focused on single-stage CNN-based approaches to address the limitations of the aforementioned methods. These methods directly predict the localization and category of objects to improve the reasoning time. In 2016, the initial YOLO [18] was proposed, which stands out as a real-time framework for its exceptional balance between speed and accuracy. Due to its success in object detection, YOLO has developed into the tenth generation [19]. The YOLO family has also given rise to several variants specifically tailored for the underwater environment. For example, TC-YOLO integrates adaptive histogram equalization and optimal transport, incorporating transformer self-attention and coordinate attention into YOLOv5s to enhance feature extraction for underwater objects [20]. Zhao et al. [21] proposed YOLOv7-CHS, which adopts three novel modules in the detection network to address the color deviation and low illumination issues in harsh underwater conditions [21]. In addition, Shen et al. [22] improved YOLO with a multiple information perception-based attention module for low-quality underwater images. However, most YOLO variants for UOD are anchor-based and require hand-designed components such as non-maximum suppression or anchor generation. The design of these components typically requires prior knowledge about the application scenarios, which limits their generalizability, as discussed in [23]. In contrast, our method is designed as a one-stage, anchor-free approach, thereby requiring fewer hand-designed components and enhancing its versatility.
2.2. Transformer-Based Methods
Transformers originally developed in the field of natural language processing and have significantly advanced computer vision in recent years. These methods divide images into non-overlapping patches, which are then linearly projected into token sequences. The self-attention mechanism is applied to these sequences to learn the relationships among patches. Unlike CNNs, which primarily focus on capturing local information, Transformers excel at capturing global context within images, as discussed in [24]. For instance, Dai et al. [6] introduced GCC-Net, which integrates a real-time image enhancement method. It initially generates an enhanced image and then employs the Swin-Transformer architecture to facilitate interaction between the original and the augmented image [6]. Later, Gao, et al. [25] improved CSWin-Transformer and devised a local path detection information scheme to enhance the semantic representation of distinctive features of small-scale underwater objects [25]. Besides, the detection transformer (DETR) [26], which is a one-stage and anchor-free method, has garnered considerable research interest in recent years. It views the object detection task as a direct set prediction problem and utilizes the Hungarian algorithm to assign predicted bounding boxes with ground truth objects. Based on this matching strategy, DETR is a completely end-to-end detection framework, which differs from the CNN-based approaches that require anchor generation and post-processing. Because of its strategy, more and more variants of DETR have been proposed, such as deformable DETR [27] and Co-DETR [28]. In many scenarios of object detection, DETR approaches have achieved state-of-the-art performance. However, a notable drawback of most DETR-like methods is their high computational cost. To address this issue, the real-time detection transformer framework (RT-DETR) was developed, incorporating an efficient hybrid encoder and an uncertainty-minimal query selection scheme, enabling real-time and high-quality detection, as detailed in [29]. The aforementioned approaches primarily concentrate on generic objects, neglecting ambiguous objects concealed within the background. In contrast, our framework is specifically designed to differentiate such objects from their backgrounds.
3. Methodology
3.1. Model Overview
The architecture of Aqua-DETR is depicted in Figure 2. Similar to RT-DETR, Aqua-DETR comprises three principal components: a backbone network, a hybrid encoder, and a Transformer-based decoder with auxiliary prediction heads. In Aqua-DETR, the feature maps in different stages of the backbone network actually capture semantic information across various layers. To effectively detect more small objects without ignoring larger ones, we design an align-split network in the hybrid encoder. This network aligns multi-scale features from different layers, facilitating their interaction and fusion, and then splits them into two distinct layers. Next, the output features are further fused in the following network, the cross-scale fusion enhancement network. In the network, we design a distinction enhancement module to incorporate the detailed appearance features into the deep semantic information for ambiguous objects. Subsequently, the encoder features are processed through an uncertainty-minimal query selection module, which filters out low-quality object queries. Ultimately, utilizing a decoder in conjunction with an inference head, the filtered object queries are transformed into bounding boxes along with their corresponding categories.
Figure 2.
The overview of Aqua-DETR. It takes the feature maps of the last four stages (, , , ) from the backbone network as the input to the hybrid encoder. The hybrid encoder contains two main networks: the align-split network (ASN) and the cross-scale feature fusion enhancement network (CFFEN). Then the features processed by these networks are fed as object queries to a query selection module, followed by the decoder and the prediction head. Finally, the head predicts bounding boxes of objects in the image and their corresponding categories.
3.2. Align-Split Network (ASN)
As mentioned above, in the natural underwater environment, commonly, creatives are small and clustered in groups, which brings a big challenge to image-based UOD. In an underwater image, small objects generally occupy limited areas, which are easy to be misunderstood as noise by detectors. On the other hand, when it comes to a close-up image, small objects occupy more areas. It suggests taking a balance among objects of different sizes. For that, we design an align-split mechanism to better understand features in different scales and develop an align-split network (ASN) in the hybrid encoder.
The visual features of an image are extracted by a backbone network layer by layer, and the feature maps of each layer are denoted by , , , and in sequence. Generally, the shallow layer outputs larger feature maps that capture low-dimensional texture details and the positions of smaller objects. In other words, to better identify underwater small objects, it is advisable to take the features of shallow layers, such as or , into account. However, larger feature maps mean a higher computation burden, and we need to take a balance between accuracy and efficiency. Inspired by Gold-YOLO [30], we collect , , , and feature maps and align them into the size of via upsampling or downsampling to acquire higher-resolution features and preserve small object details at the same time. Specifically, to minimize the information loss of small objects during downsampling, we employ the space-to-depth (SPD) operation [31] to reduce the feature map to align with . As shown in Figure 2, the SPD operation first slices out a sequence of sub-feature maps by a factor of 2 from the feature map and then concatenates them along the channel dimension to obtain a new feature map of the same height and width with . On the other hand, feature maps and are resized through interpolation-based upsampling to match the dimensions of . So far, these feature maps have the same width and height. Then we concatenate them in channel dimension and obtain . The motivation to align the feature maps with is to reduce the computational burden and preserve small object information as possible. It can be formulated as follows:
where means upsampling with a factor of 2 and means a factor of 4.
Then, by applying a convolution, is fed into Squeeze Aggregated Excitation (SaE) [32] module to get a better fusion representation. The SaE module combines the squeeze and excitation operation in SENet [33] with dense layers to capture channel patterns and learn a global representation. As illustrated in Figure 2, after average pooling, the input feature is linearized and then divided into four branches by fully connected layers. The outputs from the four branches are concatenated and then forwarded to a fully connected layer, which is finally applied with Hadamard production to restore a feature map with the same sizes as the aligned feature map . This process can be denoted as follows:
Subsequently, the feature map is split in the channel dimension into and . To take full advantage of the features extracted by the backbone network, we inject and into the respective branch by element-wise addition operation, and we obtain two feature maps and . To align with , we also adopt the SPD downsampling operation by a scale factor of 2. The formulization is shown as follows:
where ⊕ is the element-wise addition.
As the smallest feature map carries the deepest semantic information, we employ the attention-based intra-scale feature interaction (AIFI) operation [29] on it to better capture the relationships between conceptual entities in the image. After the operation, we can obtain a feature map of the same size, which is designated as . Thus, the formula is shown as follows:
In ASM, we adopt an align and split mechanism to aggregate multi-level features by complementing two larger features, which facilitates the detection of smaller objects without reducing the ability to detect bigger objects.
3.3. Cross-Scale Feature Fusion Enhancement Network (CFFEN)
After ASM, we employ a cross-scale fusion enhancement network (CFFEN) to further fuse the features across various levels and a distinction enhancement module (DEM) to improve the distinguishment between objects and backgrounds. Inspired by the feature pyramid network (FPN) [34] and path aggregation network (PAN) [35], in CFFEN we adopt a top-down path strategy to fuse cross-scale features and a bottom-up path strategy to augment semantic information from the shallow layers. As shown in Figure 2, a feature fusion path from to is implemented in a top-down manner via convolution, upsampling, and the fusion block. After feature fusion, an opposite fusion path is implemented where the fused features in the shallow layer are used to augment the features in deeper layers. To connect these two paths, the fusion block and the DEM are employed. Specifically, the fusion block consists of two convolution and three Repblocks [36].
While the graph convolution network (GCN) and the graph attention network (GAT) have demonstrated success in various computer vision tasks, as evidenced in [37,38], we have developed a distinction enhancement module that builds upon GCN and GAT. By constructing the relation between regions in an image as a graph structure, the features that are not close are related, which helps to find more ambiguous objects.
In CFFEN, we design a distinction enhancement module based on graph structures to inject detailed appearance features into the deep semantic feature map. Initially, DEM takes a shallow feature map and a deep feature map as input. Figure 3 illustrates the architecture of DEM. For the shallow feature map , we first employ two independent convolutions with average pooling to obtain two reduced feature maps Q and K. After flattening and element-wise multiplication operations, we employ a softmax function on them to obtain a correlation attention map f. Formally, they can be denoted as
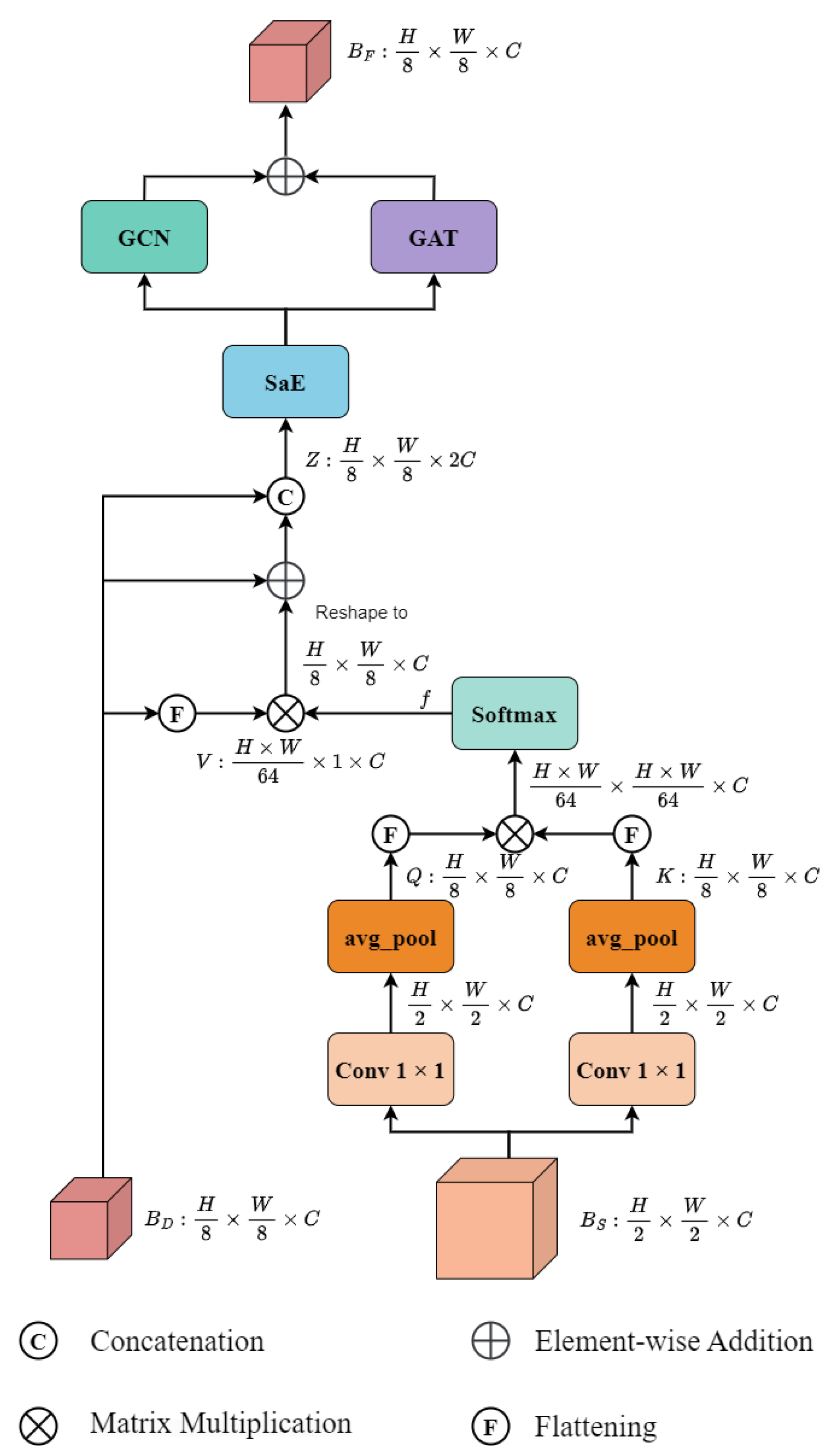
Figure 3.
The illustration of the Distinction Enhancement Module (DEM). It takes two feature maps and as input. In the attention mechanism, generates a query Q and a key K, while generates a value V. Their multiplication, coupled with a residual of , to generate a feature map Z. Subsequently, it is applied by a channel-wise SaE, followed by GCN and GAT respectively. Finally, these two branches are combined via element-wise addition to produce a feature map .
To inject the shallow features into the deep feature map , we multiply the attention map f with the flattened feature map . Subsequently, the resulting feature map is reshaped to the same size as and added with as a residual connection. Next we concatenate it with and call the resulting feature map . It is formulated as follows:
where ⊗ is the inner product.
Subsequently, we forward Z into the SaE module to optimize it in terms of channels to get a global representation. Following this, the output features of the SaE module undergo two branches to take advantage of spatial features: the graph convolution network (GCN) and the graph attention network (GAT) [39]. In these two networks, features are projected into vertices, and the edges among them capture their spatial relations. Those features with similar information are aggregated to reconstruct connections, even though they are distributed sparsely in the space. It helps us to generate more discriminative features to detect ambiguous objects. The ramification of GCN and GAT offers two perspectives to explore high-order semantic relations between image patches and identify discriminative features. As a result, we employ an element-wise addition on their output and obtain a resulting feature map . Formally,
The output feature map carries deep semantic information with detailed appearance information and is fused into the bottom-up path of CFFEN. Finally, the feature maps , and output by the hybrid encoder are concatenated to generation object queries.
3.4. Decoder
As the hybrid encoder would generate numbers of object queries, we adopt the uncertainty-minimal query selection module in RT-DETR to optimize the epistemic uncertainty of the encoder features to filter out low-quality queries. Intuitively, the object queries whose predicted distributions of localization differ significantly from those of classification would not be forwarded to the decoder. It helps to reduce computational cost and memory consumption. Ultimately, the decoder with auxiliary prediction heads predicts the categories and bounding boxes of objects from the filtered object queries.
In addition to the loss function of the uncertainty-minimal query selection module, we employ the L1 loss and GIOU loss [40] for box regression and the focal loss [41] for classification, following other DETR-style detectors.
4. Experiments
4.1. Datasets
To evaluate the performance of our method, we conducted experiments on four underwater object detection datasets: DUO [42], Brackish [43], TrashCan [44], and WPBB [45].
The DUO dataset [42] is derived from the re-annotation of UDD [46] and multiple versions of datasets from the Underwater Robot Professional Contest (URPC). It comprises a total of 7782 images, divided into 6671 for training and 1111 for testing, with 74,515 annotated objects. The dataset includes four categories of underwater objects: holothurian, echinus, scallop, and starfish. Specifically, there are 7887 holothurian objects, 50,156 echinus objects, 1924 scallop objects, and 14,548 starfish objects.
The Brackish dataset [43] is a publicly available underwater dataset containing annotated image sequences of fish, crabs, and starfish in brackish water, with varying levels of visibility. It consists of 14,518 frames with 25,613 annotations randomly split into the training set of 9967 images, the validation set of 1239 images, and the testing set of 1238 images.
The TrashCan dataset [44] comprises a total of 7212 images of underwater trash, including observations of trash, remotely operated vehicles, and diverse undersea flora and fauna, which contains 22 categories. The dataset is divided into 6008 training images and 1204 testing images.
The WPBB dataset [45] focuses on the detection of in-water plastic bags and bottles. It includes 900 fully annotated images, with 500 ones of bags and 400 ones of bottles, split into 720 training images and 180 test images.
4.2. Implementation Details
We implemented the proposed approach based on the backbone network Resnet50, utilizing the open-source MMDetection toolbox [47]. We conducted our experiments in the Ubuntu 22.04 system with PyTorch 2.0.1, CUDA 11.3, and Python 3.10. Our method was trained on a single NVIDIA RTX A6000 GPU with 48 GB of memory. Following GCC-Net [6], we use a total batch size of 4 for training. The training schedule for all datasets was set to 36 epochs. We followed the same settings of the hyperparameters in RT-DETR [29]. Optimization was performed using AdamW, with an initial learning rate of 0.0001 and a weight decay of 0.0001. Traditional random flip and resize techniques were applied for data augmentation during training. All other hyperparameters were set as the default settings in the MMDetection toolbox.
4.3. Evaluation Metrics
In this paper, we evaluate our method using the standard COCO-format metrics (average precision, AP) [48], which includes AP, , and . AP is the mean average precision (mAP) calculated by averaging across various thresholds of Intersection over Union (IoU), ranging from to with an incremental step of 0.05, while is mAP at IoU = and is mAP at IoU = . We also pay attention to object sizes. Specifically, , , and mean the AP for objects whose area is smaller than 32 × 32, between 32 × 32 and 96 × 96, larger than 96 × 96, respectively. For the efficiency evaluation, we adopt three metrics: Param., FLOPs, and FPS. Param. is the parameter of a detector. FLOPs means floating-point operations per second, and FPS means the number of frames per second.
4.4. State-of-the-Art Comparison
We compare our method, Aqua-DETR, against other state-of-the-art methods in the four datasets.
We categorize the detectors into two classes: generic object detectors and underwater object detectors. The first class comprises detectors that are directly applied to the UOD task without any modifications. This class includes generic two-stage detectors like Faster R-CNN [12] and Cascade R-CNN [49], a real-time single-stage detector such as YOLOv7 [50], and two single-stage anchor-free approaches, Deformable DETR [27] and AutoAssign [51].
The second class consists of detectors specifically designed for the UOD task. These detectors optimize various components and training strategies to address issues unique to underwater images, such as data augmentation (ROIMIX [5]), ROI feature enhancement (RoIAttn [52] and Boosting R-CNN [16]), training paradigms (SWIPENet [53]), and the integration of attention mechanisms (ERL-Net [7]). Additionally, GCC-Net [6], YOLOX-S with UnitModule [54], and DJL-Net [51] incorporate underwater image enhancement techniques to mitigate issues with degraded image quality. Our method focuses on enhancing the features of the images and introduces an end-to-end training paradigm tailored for the UOD task. We compare with the methods, which are mainly trained in 36 epochs.
4.4.1. Results on DUO
In Table 1, Aqua-DETR achieves 69.3% in AP, 87.6% in , and 76.4% in , outperforming most of the approaches in Table 1. Specifically, our method surpasses the renowned generic object detector YOLOv7 [50] by 3.0% in AP. When comparing against the state-of-the-art underwater object detector GCC-Net [6], Aqua-DETR outperforms it by 0.2% in AP but loses by 0.2% in . Moreover, Aqua-DETR performs 0.1% in higher than GCC-Net [6], indicating that our method generates more high-quality bounding boxes to locate underwater objects.
Table 1.
Comparisons with other state-of-the-art methods on the DUO dataset. The results highlighted in red and blue indicate the best and second-best outcomes in each column, respectively.
4.4.2. Results on Brackish, TrashCan and WPBB
In addition, we validate the superior performance of our method on the Brackish, TrashCan, and WPBB datasets. The experimental results are presented in Table 2. In the Brackish dataset, Aqua-DETR achieves an average precision (AP) of 82.8% and an of 98.9%, outperforming all other methods in terms of . It also ranks second in AP, only slightly below the ERL-Net model [7]. The Brackish dataset was collected in brackish water, which is of high turbidity. This results in images with low contrast and a hazy appearance. It is important to note that some of the approaches, such as GCC-Net, employ an underwater image enhancement algorithm as part of the data preprocessing stage. While our method still performs well in the blurry scenario even without the help of image enhancement.
Table 2.
Comparisons with other state-of-the-art methods on the Brackish, TrashCan, WPBB datasets. The results highlighted in red and blue indicate the best and second-best outcomes in each column, respectively.
For the TrashCan dataset, our method achieves 42.9% in AP and 63.0% in , which are both the top performance. Compared with other datasets, TrashCan has the most categories to be detected. The excellent performance of Aqua-DETR demonstrates that our method is robust in multi-class underwater detection tasks.
In the WPBB dataset, our method outperforms all other methods, with 83.8% in AP and 100.0% in , demonstrating that Aqua-DETR can generate more reliable predictions than any other detectors.
Notably, both TrashCan and WPBB include various types of small underwater objects, such as debris. The top performance of our method indicates its excellent potential in detecting small underwater objects. The results on these three datasets also demonstrate that our method has outstanding performance and generalizability in various underwater environments.
In particular, our method achieves performance comparable to that of GCC-Net in the DUO dataset while outperforming it in these other datasets. The reason for this difference lies in GCC-Net’s utilization of an underwater image enhancement model, which is particularly effective for the blue or green color distributions prevalent in the DUO dataset. In contrast, images in other datasets often exhibit gray or blackish tones, which may have reduced the efficacy of the enhancement model. It also demonstrates the robustness of our method.
4.5. Ablation Studies
We conducted ablation experiments on DUO and Brackish to verify the effectiveness of our proposed components. We remove the align-split network and the distinction enhancement module from the Aqua-DETR to obtain the baseline where and . For ablations, we add the ASN and DEM into the baseline to get comparison methods, denoted as baseline + ASN and baseline + DEM, respectively.
4.5.1. Analysis of the Align-Split Network
The ablation study results of ASN on DUO are presented in Table 3. It can be observed that the baseline with ASN has improvements of 0.6%, 0.5%, and 0.3% in AP, , and , respectively. It also increases all AP scores across all categories and sizes. In particular, the ASN brings a rise of 2.3% in , which demonstrates its effectiveness in detecting small objects. Generally speaking, the ASN effectively enhances the detection accuracy of small objects in the underwater environment.
Table 3.
Ablation studies of the proposed components in Aqua-DETR on the DUO dataset. The bold and red results indicate the best performance of each column. The metrics , , and are the AP of small (area smaller than 32 × 32), medium (area between 32 × 32 and 96 × 96) and large (area larger than 96 × 96) objects, respectively.
4.5.2. Analysis of the Distinction Enhancement Module
To verify the effectiveness of the distinction enhancement module, we conducted ablation experiments in both datasets as well.
On the DUO dataset, the DEM leads improvements of 0.2% collectively in AP, , and . It primarily enhances the detection for echinus and scallops, with increases of 0.4% and 0.5%, respectively. In the underwater images, echinus and scallops exhibit colors and textures that closely resemble those of rocks and seaweed, enabling them to blend seamlessly with the background. Additionally, the peculiarities of light transmission and water quality further contribute to the ambiguity of these objects. The DEM enhances the ability to discern these ambiguous objects. Based on the baseline with the ASN, the DEM achieves better performances in AP and than other ablated methods.
To further illustrate the effectiveness of the two components, we visualize the prediction results from the test set, as presented in Figure 4. It is evident that the baseline model and its variant with the DEM occasionally misclassify rocks in the background as holothurians or echini. In contrast, the baseline with the ASN tends to more frequently miss the detection of ambiguous objects. The combination of the two components, Aqua-DETR, accurately locates objects with high prediction scores.
Figure 4.
Visual comparison via ablation experiments is presented, showcasing detection results for the baseline, ground truth, and subsequent integration of different components into the baseline model. The white dashed line box indicates the correct detection, while the yellow one indicates the missed detection, and the cyan one indicates the redundant detection.
4.6. Model Complexity Analysis
Next, we analyze the model complexity using the following metrics: model parameters (Params), floating-point operations per second (FLOPs), and frames per second (FPS). The results are presented in Table 4. To keep the same configurations with other detectors, we conduct our method on the DUO dataset with a single GeForce RTX 3090 GPU. The FPS results were tested with a batch size of 1.
Table 4.
Model complexity and inference speed of different methods. The results highlighted in red and blue indicate the best and second-best outcomes in each column, respectively.
As shown in the table, our method attains the second-best inference efficiency, with a rate of 35 in FPS. Only the early generic approach Faster R-CNN beats our method on the inference speed. However, such an early detector is a generic approach and exhibits unsatisfactory performance in the underwater environment. For other metrics, Aqua-DETR operates with 50.36 million parameters and attains 78.33 billion floating-point operations (FLOPs). Although our method does not excel in terms of model metrics, it still outperforms most of the other methods. The design of the proposed components is a balanced outcome, considering both computation latency and prediction accuracy. We contend that our method fulfills the requirements for efficient computing and real-time execution, making it suitable for a wide range of real-world underwater tasks.
4.7. Error Analysis
We utilize the COCO error analysis tool provided by MMDetection [47] toolbox to conduct a detailed analysis of our proposed method on the DUO dataset. It contains several AP metrics under different conditions. Specifically, C75 and C50 indicate the overall AP under the conditions of the strict IoU = 0.75 and the PASCAL IoU = 0.50, respectively. The Loc and Oth metrics are the overall AP, which removes location errors and classification errors, respectively. The BG metric is the overall AP after removing all background and class false positives, while the FN metric is the AP after removing all the remaining errors. We then compare Aqua-DETR with one of the state-of-the-art methods, GCC-Net, in detecting large-scale, medium-scale, and small-scale objects. Figure 5 shows the results. The plots in each sub-image represent a series of precision–recall curves with various evaluation settings.
Figure 5.
Error analysis plots of the state-of-the-art method GCC-Net (top row) and the proposed method Aqua-DETR (bottom row) across three categories, on the large-sized objects (the first column), medium-sized objects (the second column), and small-sized objects (the last column), conducted on the DUO dataset. As defined in the COCO dataset [48], a series of precision–recall curves with different evaluation settings is shown in each sub-image plot.
In the first column, for the large-scale objects, Aqua-DETR obtains 77.1% and 88.1% in both at a strict evaluation metric IoU = 0.75 (i.e., C75) and the PASCAL evaluation metric IoU = 0.50 (i.e., C50), surpassing GCC-Net by 0.9% and 0.2%, respectively. Disregarding either location errors (Loc) or class confusion (Oth), our method, Aqua-DETR, achieves an improvement of 0.5% over GCC-Net. Furthermore, by eliminating false positives associated with background and class confusion (BG), Aqua-DETR reaches an AP of 98.5%, surpassing GCC-Net [6] by 1.2%. Our method performs better in detecting large-sized objects, which suggests that it does not prioritize small objects at the expense of losing the ability to detect large ones.
For the medium scale, Aqua-DETR achieves 98.5% in BG, which is 0.5% higher than GCC-Net, but performs slightly worse than GCC-Net in other metrics. A possible reason should be that the image enhancement module of GCC-Net contributes to the identification of medium-scale objects.
For the small scale, Aqua-DETR achieves 75.6%, 76.2%, and 77.4% in C50, Loc, and Oth, respectively, outperforming GCC-Net by significant margins of 3.9%, 3.9%, and 2.6%. Compared to larger objects, small objects are more sensitive to correctly detect, as small perturbations in bounding boxes may lead to significant drops in IoU. Our method achieves notably higher results in the Loc metric, demonstrating superior performance on locating small objects.
4.8. Qualitative Results
Next, we present several predicted examples of our method and several state-of-the-art methods. Figure 6 shows the visualization of prediction results of the compared methods in DUO. Each column indicates the prediction of the same input. It is not difficult to observe that our method detects more small or ambiguous objects compared to other state-of-the-art methods. In the first column, our method successfully detects a small scallop nestled within the crevice between two rocks. This result aligns with the excellent performance of our model on AP in the scallop category and highlights its strength in identifying small-scale objects. Also, GCC-Net misclassifies a piece of sea-plant as an echinus. In the second column, despite the degraded image quality, our method accurately localizes all instances of echinus. In contrast, other methods exhibit a notable degree of missed detections. In the final two columns, other methods struggle to distinguish ambiguous objects, such as the holothurian that blends with the dusky hues and the echinus situated in the dark area. Our approach, however, excels in differentiating these objects from their backgrounds, even when they share high visual similarities.
Figure 6.
Visual comparison results of different object detection methods on the DUO dataset. Best viewed in color and with zoom. The white dashed line box indicates the correct detection, while the yellow one indicates the missed detection, and the cyan one indicates the redundant detection.
Figure 7 illustrates the visualization results of our proposed method on the Brackish, TrashCan, and WPBB datasets. In Brackish, even in the hazy condition, our method effectively locates organisms in the images, which cluster together densely. In TrashCan, although the images experience interference from the low contrast and low-light conditions, our method still successfully detects and correctly classifies the objects. In WPBB, despite the presence of plastic bags with blurred edges, our method provides high-quality bounding boxes for the objects. It is worth noting that these three datasets were collected from different waters and have different object category numbers and distributions. The promising results demonstrate the generalizability and robustness of our method across various underwater environments.
Figure 7.
Visualization results of Aqua-DETR on the Brackish, TrashCan, and WPBB datasets. Best viewed in color and with zoom.
Indeed, the proposed DEM module demonstrates only a modest enhancement in accuracy. However, the integration of ASN and DEM outperforms the use of either individually, contributing significantly to the overall accuracy improvement. One possible reason is that the features provided by ASN, encompassing deep semantic information and shallow appearance characteristics, are more informative, aiding DEM in identifying distinctive features and enhancing their representation. In fact, DEM still has room to be improved. As shown in Figure 2, to keep the efficiency, DEM is only used to may be insufficient for the identification of distinctive features, as it does not incorporate the mid-level feature map. We contend that a more substantial improvement could be achieved by optimizing the architecture of the encoder in a better way.
5. Conclusions
In this work, we introduce an end-to-end underwater object detector, Aqua-DETR, to tackle the challenges of small objects and ambiguous objects in underwater object detection. To address these challenges, we propose an align-split network and a distinction enhancement module, which are integrated into the hybrid encoder. The align-split network enhances the feature extraction capability for small objects and maintains a balance among objects in different sizes. The distinction enhancement module effectively incorporates detailed appearance features into deep semantic information, ultimately aiding in the identification of ambiguous objects. We compare the proposed method with various popular object methods, including generic object detectors and underwater object detectors on four challenging datasets. The experimental results demonstrate that our method outperforms most detectors in underwater object detection. Furthermore, the real-time and end-to-end nature of our method makes it highly promising for performing real-world underwater tasks, such as trash cleanup and early fault detection.
Imagery underwater object detection still faces numerous challenges, such as degraded optical images. This is due to the unavoidable presence of complex underwater environments, which prevents us from restoring image quality to levels comparable to those in atmospheric environments. One promising avenue is to incorporate additional modal information, such as sonar images, which should not be difficult to obtain. We believe it is promising to leverage a transformer architecture for multi-modal fusion, thereby reducing the impact of underwater noise and enhancing our object detection capabilities.
Author Contributions
Conceptualization, Z.X. and Z.L.; methodology, Z.X. and Z.L.; software, Z.X. and Z.L.; validation, Z.X. and Z.L.; formal analysis, Z.X. and Z.L.; investigation, Z.X. and Z.L.; resources, Z.X. and Z.L.; data curation, Z.X. and Z.L.; writing—original draft preparation, Z.X. and Z.L.; writing—review and editing, H.L. and M.L.; visualization, H.L. and M.L.; supervision, X.L. and Y.K.; funding acquisition, X.L. and Y.K. All authors have read and agreed to the published version of the manuscript.
Funding
This work was supported by the National Natural Science Foundation of China (62172113 and 61906216), Guangdong Basic and Applied Basic Research Foundation(2020A1515010642 and 2022A1515012429), Project of Education Department of Guangdong Province (2022KTSCX068), the Ministry of Education of Humanities and Social Science project (18JDGC012), Guangdong Science and Technology Project (KTP20210197), Guangdong Provincial Department of Education Innovation Team Project (2022WCXTD009), Guangdong Province Graduate Education Innovation Program (2024ANLK_067 and 2024SFKC_042), Guangdong Provincial Key Laboratory Project of Intellectual Property and Big Data (2018B030322016), Guangdong Provincial Department of Education Scientific Research Project-Key Field Special Project (2024ZDZX2088), Guangzhou Science and Technology Program (2024A04J4676 and 2023A04J0360).
Institutional Review Board Statement
Not applicable.
Informed Consent Statement
Not applicable.
Data Availability Statement
The data presented in this study are available on request from the corresponding author.
Conflicts of Interest
The authors declare that they have no known competing financial interests or personal relationships that could have appeared to influence the work reported in this paper.
References
- Xu, S.; Zhang, M.; Song, W.; Mei, H.; He, Q.; Liotta, A. A systematic review and analysis of deep learning-based underwater object detection. Neurocomputing 2023, 527, 204–232. [Google Scholar] [CrossRef]
- Chen, G.; Mao, Z.; Wang, K.; Shen, J. HTDet: A hybrid transformer-based approach for underwater small object detection. Remote Sens. 2023, 15, 1076. [Google Scholar] [CrossRef]
- Fu, C.; Liu, R.; Fan, X.; Chen, P.; Fu, H.; Yuan, W.; Zhu, M.; Luo, Z. Rethinking general underwater object detection: Datasets, challenges, and solutions. Neurocomputing 2023, 517, 243–256. [Google Scholar] [CrossRef]
- Mu, P.; Xu, H.; Liu, Z.; Wang, Z.; Chan, S.; Bai, C. A generalized physical-knowledge-guided dynamic model for underwater image enhancement. In Proceedings of the 31st ACM International Conference on Multimedia, Ottawa, ON, Canada, 29 October–3 November 2023; pp. 7111–7120. [Google Scholar]
- Lin, W.H.; Zhong, J.X.; Liu, S.; Li, T.; Li, G. Roimix: Proposal-fusion among multiple images for underwater object detection. In Proceedings of the ICASSP 2020—2020 IEEE International Conference on Acoustics, Speech and Signal Processing (ICASSP), Barcelona, Spain, 4–8 May 2020; pp. 2588–2592. [Google Scholar]
- Dai, L.; Liu, H.; Song, P.; Liu, M. A gated cross-domain collaborative network for underwater object detection. Pattern Recognit. 2024, 149, 110222. [Google Scholar] [CrossRef]
- Dai, L.; Liu, H.; Song, P.; Tang, H.; Ding, R.; Li, S. Edge-guided representation learning for underwater object detection. CAAI Trans. Intell. Technol. 2024, 9, 1078–1091. [Google Scholar] [CrossRef]
- Er, M.J.; Chen, J.; Zhang, Y.; Gao, W. Research challenges, recent advances, and popular datasets in deep learning-based underwater marine object detection: A review. Sensors 2023, 23, 1990. [Google Scholar] [CrossRef]
- Zou, Z.; Chen, K.; Shi, Z.; Guo, Y.; Ye, J. Object detection in 20 years: A survey. Proc. IEEE 2023, 111, 257–276. [Google Scholar] [CrossRef]
- Anwar, S.; Li, C. Diving deeper into underwater image enhancement: A survey. Signal Process. Image Commun. 2020, 89, 115978. [Google Scholar] [CrossRef]
- Girshick, R.; Donahue, J.; Darrell, T.; Malik, J. Rich feature hierarchies for accurate object detection and semantic segmentation. In Proceedings of the IEEE Conference on Computer Vision and Pattern Recognition, Columbus, OH, USA, 23–28 June 2014; pp. 580–587. [Google Scholar]
- Ren, S.; He, K.; Girshick, R.; Sun, J. Faster r-cnn: Towards real-time object detection with region proposal networks. IEEE Trans. Pattern Anal. Mach. Intell. 2017, 39, 1137–1149. [Google Scholar] [CrossRef]
- He, K.; Gkioxari, G.; Dollár, P.; Girshick, R. Mask r-cnn. In Proceedings of the IEEE International Conference on Computer Vision, Venice, Italy, 22–29 October 2017; pp. 2961–2969. [Google Scholar]
- Mandal, R.; Connolly, R.M.; Schlacher, T.A.; Stantic, B. Assessing fish abundance from underwater video using deep neural networks. In Proceedings of the 2018 International Joint Conference on Neural Networks (IJCNN), Rio de Janeiro, Brazil, 8–13 July 2018; pp. 1–6. [Google Scholar] [CrossRef]
- Qi, S.; Du, J.; Wu, M.; Yi, H.; Tang, L.; Qian, T.; Wang, X. Underwater small target detection based on deformable convolutional pyramid. In Proceedings of the ICASSP 2022-2022 IEEE International Conference on Acoustics, Speech and Signal Processing (ICASSP), Virtual, 7–13 May 2022; pp. 2784–2788. [Google Scholar]
- Song, P.; Li, P.; Dai, L.; Wang, T.; Chen, Z. Boosting R-CNN: Reweighting R-CNN samples by RPN’s error for underwater object detection. Neurocomputing 2023, 530, 150–164. [Google Scholar] [CrossRef]
- Li, X.; Yu, H.; Chen, H. Multi-scale aggregation feature pyramid with cornerness for underwater object detection. Vis. Comput. 2024, 40, 1299–1310. [Google Scholar]
- Redmon, J.; Divvala, S.; Girshick, R.; Farhadi, A. You only look once: Unified, real-time object detection. In Proceedings of the IEEE Conference on Computer Vision and Pattern Recognition, Las Vegas, NV, USA, 27–30 June 2016; pp. 779–788. [Google Scholar]
- Terven, J.; Córdova-Esparza, D.M.; Romero-González, J.A. A comprehensive review of yolo architectures in computer vision: From yolov1 to yolov8 and yolo-nas. Mach. Learn. Knowl. Extr. 2023, 5, 1680–1716. [Google Scholar] [CrossRef]
- Liu, K.; Peng, L.; Tang, S. Underwater object detection using TC-YOLO with attention mechanisms. Sensors 2023, 23, 2567. [Google Scholar] [CrossRef] [PubMed]
- Zhao, L.; Yun, Q.; Yuan, F.; Ren, X.; Jin, J.; Zhu, X. YOLOv7-CHS: An Emerging Model for Underwater Object Detection. J. Mar. Sci. Eng. 2023, 11, 1949. [Google Scholar] [CrossRef]
- Shen, X.; Wang, H.; Cui, T.; Guo, Z.; Fu, X. Multiple information perception-based attention in YOLO for underwater object detection. Vis. Comput. 2024, 40, 1415–1438. [Google Scholar] [CrossRef]
- Carion, N.; Massa, F.; Synnaeve, G.; Usunier, N.; Kirillov, A.; Zagoruyko, S. End-to-end object detection with transformers. In Proceedings of the European Conference on Computer Vision (ECCV 2020), Glasgow, UK, 23–28 August 2020; Springer: New York, NY, USA, 2020; pp. 213–229. [Google Scholar]
- Shah, S.; Tembhurne, J. Object detection using convolutional neural networks and transformer-based models: A review. J. Electr. Syst. Inf. Technol. 2023, 10, 54. [Google Scholar] [CrossRef]
- Gao, J.; Zhang, Y.; Geng, X.; Tang, H.; Bhatti, U.A. PE-Transformer: Path enhanced transformer for improving underwater object detection. Expert Syst. Appl. 2024, 246, 123253. [Google Scholar] [CrossRef]
- Rekavandi, A.M.; Rashidi, S.; Boussaid, F.; Hoefs, S.; Akbas, E.; Bennamoun, M. Transformers in small object detection: A benchmark and survey of state-of-the-art. arXiv 2023, arXiv:2309.04902. [Google Scholar]
- Zhu, X.; Su, W.; Lu, L.; Li, B.; Wang, X.; Dai, J. Deformable detr: Deformable transformers for end-to-end object detection. arXiv 2020, arXiv:2010.04159. [Google Scholar]
- Zong, Z.; Song, G.; Liu, Y. Detrs with collaborative hybrid assignments training. In Proceedings of the IEEE/CVF International Conference on Computer Vision, Paris, France, 2–6 October 2023; pp. 6748–6758. [Google Scholar]
- Zhao, Y.; Lv, W.; Xu, S.; Wei, J.; Wang, G.; Dang, Q.; Liu, Y.; Chen, J. Detrs beat yolos on real-time object detection. In Proceedings of the IEEE/CVF Conference on Computer Vision and Pattern Recognition, Seattle, WA, USA, 16–22 June 2024; pp. 16965–16974. [Google Scholar]
- Wang, C.; He, W.; Nie, Y.; Guo, J.; Liu, C.; Wang, Y.; Han, K. Gold-YOLO: Efficient object detector via gather-and-distribute mechanism. In Proceedings of the 37th International Conference on Neural Information Processing Systems, New Orleans, LA, USA, 10–16 December 2023; Curran Associates Inc.: Red Hook, NY, USA, 2023; pp. 51094–51112. [Google Scholar]
- Sunkara, R.; Luo, T. No more strided convolutions or pooling: A new CNN building block for low-resolution images and small objects. In Proceedings of the Joint European Conference on Machine Learning and Knowledge Discovery in Databases, Grenoble, France, 19–23 September 2022; pp. 443–459. [Google Scholar]
- Narayanan, M. SENetV2: Aggregated dense layer for channelwise and global representations. arXiv 2023, arXiv:2311.10807. [Google Scholar]
- Hu, J.; Shen, L.; Sun, G. Squeeze-and-excitation networks. In Proceedings of the IEEE Conference on Computer Vision and Pattern Recognition, Salt Lake City, UT, USA, 18–23 June 2018; pp. 7132–7141. [Google Scholar]
- Lin, T.Y.; Dollár, P.; Girshick, R.; He, K.; Hariharan, B.; Belongie, S. Feature pyramid networks for object detection. In Proceedings of the IEEE Conference on Computer Vision and Pattern Recognition, Honolulu, HI, USA, 21–26 July 2017; pp. 2117–2125. [Google Scholar]
- Liu, S.; Qi, L.; Qin, H.; Shi, J.; Jia, J. Path aggregation network for instance segmentation. In Proceedings of the IEEE Conference on Computer Vision and Pattern Recognition, Salt Lake City, UT, USA, 18–23 June 2018; pp. 8759–8768. [Google Scholar]
- Zhu, L.; Wang, X.; Ke, Z.; Zhang, W.; Lau, R.W. Biformer: Vision transformer with bi-level routing attention. In Proceedings of the IEEE/CVF Conference on Computer Vision and Pattern Recognition, Vancouver, BC, Canada, 17–24 June 2023; pp. 10323–10333. [Google Scholar]
- Lian, S.; Li, H.; Cong, R.; Li, S.; Zhang, W.; Kwong, S. WaterMask: Instance Segmentation for Underwater Imagery. In Proceedings of the IEEE/CVF International Conference on Computer Vision, Paris, France, 2–6 October 2023; pp. 1305–1315. [Google Scholar]
- Li, H.; Xiao, X.; Liu, X.; Wen, G.; Liu, L. Learning Cognitive Features as Complementary for Facial Expression Recognition. Int. J. Intell. Syst. 2024, 2024, 7321175. [Google Scholar]
- Velickovic, P.; Cucurull, G.; Casanova, A.; Romero, A.; Lio, P.; Bengio, Y. Graph attention networks. In Proceedings of the 6th International Conference on Learning Representations (ICLR’18), Vancouver, BC, Canada, 30 April–3 May 2018. [Google Scholar]
- Rezatofighi, H.; Tsoi, N.; Gwak, J.; Sadeghian, A.; Reid, I.; Savarese, S. Generalized intersection over union: A metric and a loss for bounding box regression. In Proceedings of the IEEE/CVF Conference on Computer Vision and Pattern Recognition, Long Beach, CA, USA, 15–20 June 2019; pp. 658–666. [Google Scholar]
- Lin, T.Y.; Goyal, P.; Girshick, R.; He, K.; Dollár, P. Focal loss for dense object detection. In Proceedings of the IEEE International Conference on Computer Vision, Venice, Italy, 22–29 October 2017; pp. 2980–2988. [Google Scholar]
- Liu, C.; Li, H.; Wang, S.; Zhu, M.; Wang, D.; Fan, X.; Wang, Z. A dataset and benchmark of underwater object detection for robot picking. In Proceedings of the 2021 IEEE International Conference on Multimedia & Expo Workshops (ICMEW), Shenzhen, China, 5–9 July 2021; pp. 1–6. [Google Scholar]
- Pedersen, M.; Bruslund Haurum, J.; Gade, R.; Moeslund, T.B. Detection of marine animals in a new underwater dataset with varying visibility. In Proceedings of the IEEE/CVF Conference on Computer Vision and Pattern Recognition Workshops, Long Beach, CA, USA, 15–20 June 2019; pp. 18–26. [Google Scholar]
- Hong, J.; Fulton, M.; Sattar, J. Trashcan: A semantically-segmented dataset towards visual detection of marine debris. arXiv 2020, arXiv:2007.08097. [Google Scholar]
- Zocco, F.; Lin, T.C.; Huang, C.I.; Wang, H.C.; Khyam, M.O.; Van, M. Towards more efficient efficientdets and real-time marine debris detection. IEEE Robot. Autom. Lett. 2023, 8, 2134–2141. [Google Scholar] [CrossRef]
- Wang, Z.; Liu, C.; Wang, S.; Tang, T.; Tao, Y.; Yang, C.; Li, H.; Liu, X.; Fan, X. UDD: An underwater open-sea farm object detection dataset for underwater robot picking. arXiv 2020, arXiv:2003.01446. [Google Scholar]
- Chen, K.; Wang, J.; Pang, J.; Cao, Y.; Xiong, Y.; Li, X.; Sun, S.; Feng, W.; Liu, Z.; Xu, J.; et al. MMDetection: Open mmlab detection toolbox and benchmark. arXiv 2019, arXiv:1906.07155. [Google Scholar]
- Lin, T.Y.; Maire, M.; Belongie, S.; Hays, J.; Perona, P.; Ramanan, D.; Dollár, P.; Zitnick, C.L. Microsoft coco: Common objects in context. In Proceedings of the Computer Vision—ECCV 2014: 13th European Conference, Zurich, Switzerland, 6–12 September 2014; Part V. Springer: Cham, Switzerland, 2014; pp. 740–755. [Google Scholar]
- Cai, Z.; Vasconcelos, N. Cascade r-cnn: Delving into high quality object detection. In Proceedings of the IEEE Conference on Computer Vision and Pattern Recognition, Salt Lake City, UT, USA, 18–23 June 2018; pp. 6154–6162. [Google Scholar]
- Wang, C.Y.; Bochkovskiy, A.; Liao, H.Y.M. YOLOv7: Trainable bag-of-freebies sets new state-of-the-art for real-time object detectors. In Proceedings of the IEEE/CVF Conference on Computer Vision and Pattern Recognition, Vancouver, BC, Canada, 17–24 June 2023; pp. 7464–7475. [Google Scholar]
- Wang, B.; Wang, Z.; Guo, W.; Wang, Y. A dual-branch joint learning network for underwater object detection. Knowl.-Based Syst. 2024, 293, 111672. [Google Scholar] [CrossRef]
- Krizhevsky, A.; Sutskever, I.; Hinton, G.E. Imagenet classification with deep convolutional neural networks. In Proceedings of the Advances in Neural Information Processing Systems, Lake Tahoe, NV, USA, 3–6 December 2012; pp. 1106–1114. [Google Scholar]
- Chen, L.; Zhou, F.; Wang, S.; Dong, J.; Li, N.; Ma, H.; Wang, X.; Zhou, H. SWIPENET: Object detection in noisy underwater scenes. Pattern Recognit. 2022, 132, 108926. [Google Scholar] [CrossRef]
- Liu, Z.; Wang, B.; Li, Y.; He, J.; Li, Y. UnitModule: A lightweight joint image enhancement module for underwater object detection. Pattern Recognit. 2024, 151, 110435. [Google Scholar] [CrossRef]
- Zhu, B.; Wang, J.; Jiang, Z.; Zong, F.; Liu, S.; Li, Z.; Sun, J. Autoassign: Differentiable label assignment for dense object detection. arXiv 2020, arXiv:2007.03496. [Google Scholar]
- Liang, X.; Song, P. Excavating roi attention for underwater object detection. In Proceedings of the 2022 IEEE International Conference on Image Processing (ICIP), Bordeaux, France, 16–19 October 2022; pp. 2651–2655. [Google Scholar]
Disclaimer/Publisher’s Note: The statements, opinions and data contained in all publications are solely those of the individual author(s) and contributor(s) and not of MDPI and/or the editor(s). MDPI and/or the editor(s) disclaim responsibility for any injury to people or property resulting from any ideas, methods, instructions or products referred to in the content. |
© 2024 by the authors. Licensee MDPI, Basel, Switzerland. This article is an open access article distributed under the terms and conditions of the Creative Commons Attribution (CC BY) license (https://creativecommons.org/licenses/by/4.0/).






