Application of Bivariate Reproducing Kernel-Based Best Interpolation Method in Electrical Tomography
Abstract
1. Introduction
2. Related Work
2.1. ET Measurement Principles and Related Imaging Methods
2.2. Interpolation Approximation Based on Bivariate Reproducing Kernels
- (1)
- From Equation (21), it can be seen that {Rj(M)}1n is a linearly independent set of functions. By orthogonalizing it using the Schemidt method, we obtain a standard orthogonal function system {aiΦ(M)}1n, such that:
- (2)
- For any u ∈ W21, noting that ai (M) ∈ XnΦ, we have:
- (3)
- Let {Xi}1∞ be dense in [a, b]. From the previous proofs, the standard orthogonal function system in {ai*(M)}1∞, is as follows:where Rj(M) ∈ W21. For u ∈ W21, the following holds:
3. Optimal Interpolation Approximation for ERT Measurements
3.1. Interpolation Approximation of the Measurement Distribution Function
3.2. Analysis of the Optimality of Interpolation Approximation
| Input: A set of actual measurements in the sensitive field Ω: {(xi, yi), ui} Output: Reconstructed conductivities of all cells in Ω: {σj} |
| Step 1: Obtain a set of actual measurements in the sensitive field Ω; Step 2: Determine the number of inserted numerical measurements and their positional coordinates relative to the original electrodes in the sensitive field Ω; |
| Step 3: Perform interpolation using Equation (47) to obtain a set of numerical measurements; |
| Step 4: Partition the detection field Ω into cells, with the total number of cells being three times the total number of measurements. |
| Step 5: Compute the sensitivity matrix S corresponding to the number of measurements; |
| Step 6: Reconstruct the conductivities of all cells in Ω using the selected ERT algorithm; |
| Step 7: Validate the algorithm by error assessment according to Equation (50). |
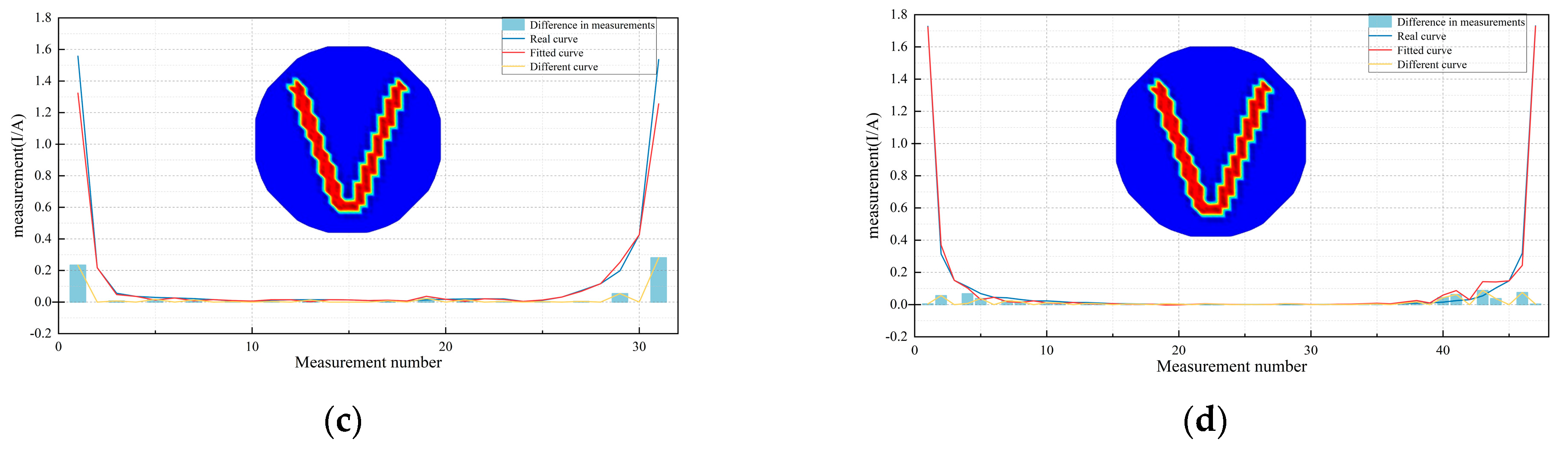
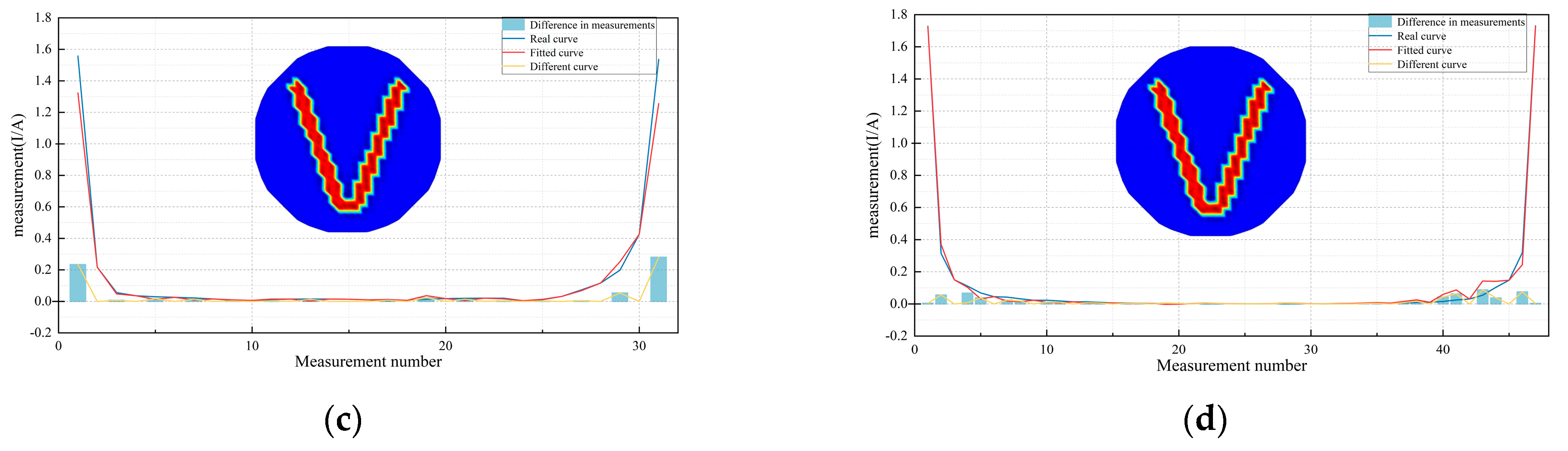
4. Results
4.1. Simulation
4.2. Real Model Measurements
- ➀
- Model 1
- ➁
- Model 2
- ➂
- Model 3
- ➃
- Model 4
| M1–4 | ![]() | ![]() | ![]() | ![]() | |
|---|---|---|---|---|---|
| Total of Number Measurement | |||||
| 240 | Tihonov | ![]() | ![]() | ![]() | ![]() |
| RE | 0.2178 | 0.2339 | 0.2276 | 0.2237 | |
| 496 | RKBI | ![]() | ![]() | ![]() | ![]() |
| RE | 0.2281 | 0.2327 | 0.2154 | 0.2371 | |
| BRKBI | ![]() | ![]() | ![]() | ![]() | |
| RE | 0.2120 | 0.2208 | 0.2061 | 0.2149 | |
| 752 | RKBI | ![]() | ![]() | ![]() | ![]() |
| RE | 0.2081 | 0.2337 | 0.1991 | 0.2403 | |
| BRKBI | ![]() | ![]() | ![]() | ![]() | |
| RE | 0.2076 | 0.2193 | 0.2134 | 0.2178 | |
| 1008 | RKBI | ![]() | ![]() | ![]() | ![]() |
| RE | 0.2176 | 0.2386 | 0.2162 | 0.3484 | |
| BRKBI | ![]() | ![]() | ![]() | ![]() | |
| RE | 0.2105 | 0.2456 | 0.2076 | 0.2109 |
5. Discussion
- Selection of Imaging Algorithms: The choice of imaging algorithm is crucial for image reconstruction results. The same interpolation method yields different final image quality depending on the imaging algorithm used.
- Optimal Number of Measurements: The optimal number of numerical measurements depends on the model type and the imaging algorithm. It is necessary to consider the model type and the imaging algorithm when determining the best number of measurements.
Author Contributions
Funding
Institutional Review Board Statement
Informed Consent Statement
Data Availability Statement
Conflicts of Interest
References
- Cui, Z.Q.; Yang, P.Y.; Li, X.; Wang, H.X. An alternative excitation method for electrical impedance tomography. Rev. Sci. Instruments. 2022, 93, 3380. [Google Scholar] [CrossRef] [PubMed]
- Shi, Y.; Yang, Z.; Xie, F.; Ren, S.; Xu, S. The Research Progress of Electrical Impedance Tomography for Lung Monitoring. Front. Bioeng. Biotechnol. 2021, 9, 726652. [Google Scholar] [CrossRef] [PubMed]
- Tan, Y.; Yue, S.; Cui, Z.; Wang, H. Measurement of Flow Velocity Using Electrical Resistance Tomography and Cross-Correlation Technique. IEEE Sens. J. 2021, 21, 20714–20721. [Google Scholar] [CrossRef]
- Kong, S.; Oh, J.; Yoon, D.; Ryu, D.W.; Kwon, H.S. Integrating Deep Learning and Deterministic Inversion for Enhancing Fault Detection in Electrical Resistivity Surveys. Appl. Sci. 2023, 13, 6250. [Google Scholar] [CrossRef]
- Xu, Z.; Wu, F.; Yang, X.; Li, Y. Measurement of Gas-Oil Two-Phase Flow Patterns by Using CNN Algorithm Based on Dual ECT Sensors with Venturi Tube. Sensors 2020, 20, 1200. [Google Scholar] [CrossRef]
- Lehti-Polojärvi, M.; Räsänen, M.J.; E Viiri, L.; Vuorenpää, H.; Miettinen, S.; Seppänen, A.; Hyttinen, J. Retrieval of the conductivity spectrum of tissues in vitro with novel multimodal tomography. Phys. Med. Biol. 2021, 66, 205016. [Google Scholar] [CrossRef]
- Li, J.; Yue, S.; Ding, M.; Wang, H. Choquet Integral-Based Fusion of Multiple Patterns for Improving EIT Spatial Resolution. IEEE Trans. Appl. Supercond. 2019, 29, 0603005. [Google Scholar] [CrossRef]
- Dong, F.; Yue, S.; Liu, X.; Wang, H. Determination of hyperparameter and similarity norm for electrical tomography algorithm using clustering validity index. Measurement 2023, 216, 112976. [Google Scholar] [CrossRef]
- Wang, J.; Wang, Y.; Deng, J.; Liu, D. Unsupervised Coordinate-Based Neural Network for Electrical Impedance Tomography. IEEE Trans. Comput. Imaging 2023, 9, 1213–1225. [Google Scholar] [CrossRef]
- Wang, W.; Sefiane, K.; Duursma, G.; Liang, X.; Chen, Y. Void Fraction Measurement of Gas-Liquid Two-Phase Flow Based on Empirical Mode Decomposition and Artificial Neural Networks. Heat Transf. Eng. 2019, 40, 1403–1416. [Google Scholar] [CrossRef]
- Li, X.; Wang, D.; Yue, S.; Chen, D.; Li, F.; Wang, H. A New Calculation Method of the Sensitivity Coefficient for the ERT System. IEEE Access 2022, 10, 33005–33014. [Google Scholar] [CrossRef]
- Pereira, J.L.; Gómez-Hernández, J.J.; Zanini, A.; Varouchakis, E.A.; Azevedo, L. Iterative geostatistical electrical resistivity tomography inversion. Hydrogeol. J. 2023, 31, 1627–1645. [Google Scholar] [CrossRef]
- Guo, Q.; Wang, C.; Pang, R.; Ye, J. A New Truncation Strategy for Regularized D-Bar Method Used for ERT Image Reconstruction. IEEE Sens. J. 2022, 22, 8164–8174. [Google Scholar] [CrossRef]
- Wang, Z.; Jiang, Y.; Huang, J.; Wang, B.; Ji, H.; Huang, Z. A New Image Reconstruction Algorithm for CCERT Based on Improved DPC and K-Means. IEEE Sens. J. 2023, 23, 4476–4485. [Google Scholar] [CrossRef]
- Zhang, W.; Tan, C.; Dong, F. Non-Linear Reconstruction for ERT Inverse Problem Based on Homotopy Algorithm. IEEE Sens. J. 2023, 23, 10404–10412. [Google Scholar] [CrossRef]
- Li, S.; Wang, H.; Liu, T.; Cui, Z.; Chen, J.N.; Xia, Z.; Guo, Q. A fast Tikhonov regularization method based on homotopic mapping for electrical resistance tomography. Rev. Sci. Instrum. 2022, 93, 043709. [Google Scholar] [CrossRef]
- Lan, X.X.; Zou, C.; Peng, C.; Wu, C. Uncertainty Quantification in Intelligent-Based Electrical Resistivity Tomography Image Reconstruction with Monte Carlo Dropout Strategy. IEEE Trans. Geosci. Remote Sens. 2023, 61, 5906116. [Google Scholar] [CrossRef]
- Yan, C.; Zhang, G.; Chen, Y.; Huang, S.; Zhao, Y.; Wang, J. One-dimensional structure reparameterized convolutional neural network for two-phase image reconstruction based on ERT. Meas. Sci. Technol. 2023, 34, 105402. [Google Scholar] [CrossRef]
- Tang, H.; Xu, C.; Han, X. Electrical resistance tomography image reconstruction based on one-dimensional multi-branch convolutional neural network combined with attention mechanism. Flow Meas. Instrum. 2022, 84, 102140. [Google Scholar] [CrossRef]
- Liu, X.; Lu, Q.; Liu, S. Resolution Enhancement of Electrical Resistivity Tomography Based on Deep Learning. IEEE Geo-Sci. Remote. Sens. Lett. 2023, 20, 7505505. [Google Scholar] [CrossRef]
- Huang, Q.; Liang, G.; Tan, C.; Dong, F. Res2-UNet++: A deep learning image post-processing method for electrical resistance tomography. Meas. Sci. Technol. 2024, 35, 105403. [Google Scholar] [CrossRef]
- Bardsley, J.M.; Fox, C. An MCMC method for uncertainty quantification in nonnegativity constrained inverse problems. Inverse Probl. Sci. Eng. 2012, 20, 477–498. [Google Scholar] [CrossRef]
- Sun, B.; Yue, S.; Cui, Z.; Wang, H. A new linear back projection algorithm to electrical tomography based on measuring data decomposition. Meas. Sci. Technol. 2015, 26, 125402. [Google Scholar] [CrossRef]
- Dimas, C.; Alimisis, V.; Uzunoglu, N.; Sotiriadis, P.P. Advances in Electrical Impedance Tomography Inverse Problem Solution Methods: From Traditional Regularization to Deep Learning. IEEE Access 2024, 12, 47797–47829. [Google Scholar] [CrossRef]
- Brannick, J.; Cao, F.; Kahl, K.; Falgout, R.D.; Hu, X. Optimal interpolation and compatible relaxation in classical algebraic multigrid siam. J. Sci. Comput. 2018, 40, A1473–A1493. [Google Scholar] [CrossRef]
- Li, K.; Yue, S.; Tan, Y.; Wang, H.; Zhu, X. Reproducing Kernel-Based Best Interpolation Approximation for Improving Spatial Resolution in Electrical Tomography. IEEE Trans. Instrum. Meas. 2023, 72, 4504913. [Google Scholar] [CrossRef]
- Luor, D.-C. Reproducing kernel hilbert spaces of fractal interpolation functions for curve fitting problems. Fractals-Complex Geom. Patterns Scaling Nat. Soc. 2022, 30, 2250037. [Google Scholar] [CrossRef]
- Tan, C.; Huang, S.; Liang, G.; Silva, M.J.D.; Dong, F. Electrical Resistance/Capacitance Dual-Mode Tomography Based on Dual-Frequency Response. IEEE Trans. Instrum. Meas. 2023, 72, 4505511. [Google Scholar] [CrossRef]
- Tian, W.; Liang, X.; Qu, X.; Sun, J.; Gao, S.; Xu, L.; Yang, W. Investigation of Multi-Plane Scheme for Compensation of Fringe Effect of Electrical Resistance Tomography Sensor. Sensors 2019, 19, 3132. [Google Scholar] [CrossRef]
- Youngquist, R.C.; Storey, J.M.; Nurge, M.A.; Biagi, C.J. A derivation of the electrical capacitance tomography sensitivity matrix. Meas. Sci. Technol. 2023, 34, 025404. [Google Scholar] [CrossRef]
- Liu, X.; Liu, Z.; Zhu, S. The Modified Landweber Iteration Algorithm in the Reconstruction of Electromagnetic Tomography Image Reconstruction. Proc. Chin. Soc. Electr. Eng. 2019, 39, 3971–3980. [Google Scholar]
- Li, J.; Yue, S.; Ding, M.; Cui, Z.; Wang, H. Adaptive $L_{p}$ Regularization for Electrical Impedance Tomography. IEEE Sens. J. 2019, 19, 12297–12305. [Google Scholar] [CrossRef]
- Cui, Z.; Qu, H.; Liu, X.; Wang, H. Design and Implementation of a Linear Resistor Mesh Phantom for Evaluating the Linear ERT System. IEEE Sens. J. 2023, 23, 25189–25197. [Google Scholar] [CrossRef]
- Chen, Y.; Han, Y.; Yang, W.; Li, K. A New Iterative Algorithm Based on Correction of Sensitivity Matrix for Electrical Resistance Tomography. Math. Probl. Eng. 2019, 2019, 6384132. [Google Scholar] [CrossRef]
- Cui, M.G. Solutions to the Definite Solution Problem of Differential Equations in Space W2l. Adv. Math. 1988, 17, 327–329. [Google Scholar]
- Wang, Z.; Yue, S.; Li, Q.; Liu, X.; Wang, H.; McEwan, A. Unsupervised Evaluation and Optimization for Electrical Impedance Tomography. IEEE Trans. Instrum. Meas. 2021, 70, 4506312. [Google Scholar] [CrossRef]







| M1–7 | ![]() | ![]() | ![]() | ![]() | ![]() | ![]() | ![]() | |
|---|---|---|---|---|---|---|---|---|
| Total of Number Measurement | ||||||||
| 240 | LBP | ![]() | ![]() | ![]() | ![]() | ![]() | ![]() | ![]() |
| RE | 0.2951 | 0.1865 | 0.1960 | 0.2577 | 0.2600 | 0.2876 | 0.2683 | |
| 496 | RKBI | ![]() | ![]() | ![]() | ![]() | ![]() | ![]() | ![]() |
| RE | 0.3072 | 0.2451 | 0.2371 | 0.1607 | 0.1862 | 0.2814 | 0.2322 | |
| BRKBI | ![]() | ![]() | ![]() | ![]() | ![]() | ![]() | ![]() | |
| RE | 0.2530 | 0.1518 | 0.1856 | 0.1764 | 0.1144 | 0.2270 | 0.2055 | |
| 752 | RKBI | ![]() | ![]() | ![]() | ![]() | ![]() | ![]() | ![]() |
| RE | 0.2755 | 0.1379 | 0.1496 | 0.3179 | 0.3621 | 0.3272 | 0.2560 | |
| BRKBI | ![]() | ![]() | ![]() | ![]() | ![]() | ![]() | ![]() | |
| RE | 0.2749 | 0.1310 | 0.1412 | 0.2144 | 0.2499 | 0.3227 | 0.2635 | |
| 1008 | RKBI | ![]() | ![]() | ![]() | ![]() | ![]() | ![]() | ![]() |
| RE | 0.3520 | 0.2263 | 0.2339 | 0.2844 | 0.3616 | 0.3511 | 02367 | |
| BRKBI | ![]() | ![]() | ![]() | ![]() | ![]() | ![]() | ![]() | |
| RE | 0.3059 | 0.1868 | 0.1771 | 0.2322 | 0.2898 | 0.3332 | 0.2847 |
| M1–7 | ![]() | ![]() | ![]() | ![]() | ![]() | ![]() | ![]() | |
|---|---|---|---|---|---|---|---|---|
| Total of Number Measurement | ||||||||
| 240 | Tihonov | ![]() | ![]() | ![]() | ![]() | ![]() | ![]() | ![]() |
| RE | 0.3291 | 0.2176 | 0.3065 | 0.2637 | 0.2580 | 0.3069 | 0.4164 | |
| 496 | RKBI | ![]() | ![]() | ![]() | ![]() | ![]() | ![]() | ![]() |
| RE | 0.3177 | 0.2529 | 0.2480 | 0.3224 | 0.2889 | 0.3565 | 0.2936 | |
| BRKBI | ![]() | ![]() | ![]() | ![]() | ![]() | ![]() | ![]() | |
| RE | 0.2386 | 0.1645 | 0.2773 | 0.2558 | 0.1070 | 0.2852 | 0.2906 | |
| 752 | RKBI | ![]() | ![]() | ![]() | ![]() | ![]() | ![]() | ![]() |
| RE | 0.2865 | 0.1661 | 0.3554 | 0.3391 | 0.4230 | 0.3122 | 0.2882 | |
| BRKBI | ![]() | ![]() | ![]() | ![]() | ![]() | ![]() | ![]() | |
| RE | 0.2631 | 0.1764 | 0.2879 | 0.3033 | 0.2026 | 0.3466 | 0.2303 | |
| 1008 | RKBI | ![]() | ![]() | ![]() | ![]() | ![]() | ![]() | ![]() |
| RE | 0.2293 | 0.1755 | 0.2303 | 0.3496 | 0.4651 | 0.2809 | 0.4251 | |
| BRKBI | ![]() | ![]() | ![]() | ![]() | ![]() | ![]() | ![]() | |
| RE | 0.2102 | 0.1632 | 0.2598 | 0.3114 | 0.4291 | 0.2678 | 0.2511 |
Disclaimer/Publisher’s Note: The statements, opinions and data contained in all publications are solely those of the individual author(s) and contributor(s) and not of MDPI and/or the editor(s). MDPI and/or the editor(s) disclaim responsibility for any injury to people or property resulting from any ideas, methods, instructions or products referred to in the content. |
© 2024 by the authors. Licensee MDPI, Basel, Switzerland. This article is an open access article distributed under the terms and conditions of the Creative Commons Attribution (CC BY) license (https://creativecommons.org/licenses/by/4.0/).
Share and Cite
Tan, Y.; Wang, J.; Yu, J.; Wu, B.; Shen, J.; Guo, X. Application of Bivariate Reproducing Kernel-Based Best Interpolation Method in Electrical Tomography. Sensors 2024, 24, 7165. https://doi.org/10.3390/s24227165
Tan Y, Wang J, Yu J, Wu B, Shen J, Guo X. Application of Bivariate Reproducing Kernel-Based Best Interpolation Method in Electrical Tomography. Sensors. 2024; 24(22):7165. https://doi.org/10.3390/s24227165
Chicago/Turabian StyleTan, Yongguang, Jingqi Wang, Junqi Yu, Boqi Wu, Jinchao Shen, and Xiangchen Guo. 2024. "Application of Bivariate Reproducing Kernel-Based Best Interpolation Method in Electrical Tomography" Sensors 24, no. 22: 7165. https://doi.org/10.3390/s24227165
APA StyleTan, Y., Wang, J., Yu, J., Wu, B., Shen, J., & Guo, X. (2024). Application of Bivariate Reproducing Kernel-Based Best Interpolation Method in Electrical Tomography. Sensors, 24(22), 7165. https://doi.org/10.3390/s24227165
















































































































































