Experimental and Numerical Studies of the Temperature Field in a Dielectrophoretic Cell Separation Device Subject to Joule Heating
Abstract
1. Introduction
2. Thermofluidic Numerical Simulation
2.1. Thermofluidic Governing Equations
2.2. Thermofluidic Boundary Conditions
2.3. Governing Equation for Electric Field
2.4. Boundary Conditions for the Electric Field
2.5. Numerical Simulation Schemes
3. Experimental
3.1. Device Fabrication
3.2. Sample Solution Preparation
3.3. Experimental Setup
3.4. Image Processing
3.5. Temperature Calibration
4. Results and Discussion
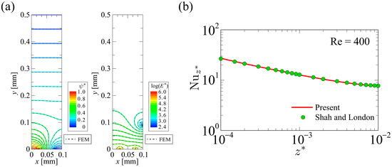
4.1. Developed Code Verification
4.1.1. Developed Code Verification
4.1.2. Thermal Structure of the Device
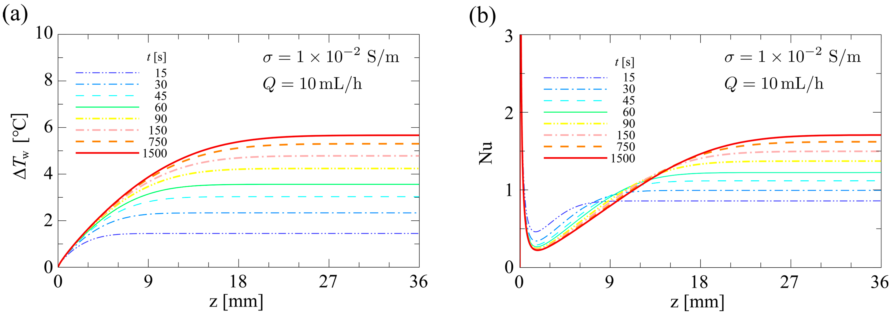
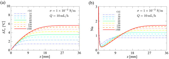
4.1.3. Influence of Flow Rate and Conductivity on Temperature
4.1.4. Influence of Flow Rate and Conductivity on the Nusselt Number
4.2. Experimental Results and Comparison with Numerical Simulation
5. Conclusions
Author Contributions
Funding
Institutional Review Board Statement
Informed Consent Statement
Data Availability Statement
Acknowledgments
Conflicts of Interest
References
- Mustafa, A.; Pedone, E.; Marucci, L.; Moschou, D.; Di Lorenzo, M. A flow-through microfluidic chip for continuous dielec-trophoretic separation of viable and non-viable human T-cells. Electrophoresis 2022, 43, 501–508. [Google Scholar] [CrossRef] [PubMed]
- Puri, P.; Kumar, V.; Belgamwar, S.U.; Ananthasubramanian, M.; Sharma, N.N. Microfluidic platform for dielectrophoretic separation of bio-particles using serpentine microelectrodes. Microsyst. Technol. 2019, 25, 2813–2820. [Google Scholar] [CrossRef]
- Yildizhan, Y.; Erdem, N.; Islam, M.; Martinez-Duarte, R.; Elitas, M. Dielectrophoretic separation of live and dead monocytes using 3D carbon-electrodes. Sensors 2017, 17, 2691. [Google Scholar] [CrossRef] [PubMed]
- Jones, T.B. Basic theory of dielectrophoresis and electrorotation. IEEE Eng. Med. Biol. Mag. 2003, 22, 33–42. [Google Scholar] [CrossRef]
- Aghaamoo, M.; Aghilinejad, A.; Chen, X.L.; Xu, J. On the design of deterministic dielectrophoresis for continuous separation of circulating tumor cells from peripheral blood cells. Electrophoresis 2019, 40, 1486–1493. [Google Scholar] [CrossRef]
- Ayala-Mar, S.; Perez-Gonzalez, V.H.; Mata-Gomez, M.A.; Gallo-Villanueva, R.C.; Gonzalez-Valdez, J. Electrokinetically driven exosome separation and concentration using dielectrophoretic-enhanced PDMS-based microfluidics. Anal. Chem. 2019, 91, 14975–14982. [Google Scholar] [CrossRef]
- Jiang, A.Y.L.; Yale, A.R.; Aghaamoo, M.; Lee, D.H.; Lee, A.P.; Adams, T.N.G.; Flanagan, L.A. High-throughput continuous dielectrophoretic separation of neural stem cells. Biomicrofluidics 2019, 13, 064111. [Google Scholar] [CrossRef]
- Guerin, N.; Lévesque, M.; Therriault, D. Helical dielectrophoretic particle separator fabricated by conformal spindle printing. J. Biomed. Sci. Eng. 2014, 7, 641–650. [Google Scholar] [CrossRef]
- Martinez-Duarte, R. Microfabrication technologies in dielectrophoresis applications—A review. Electrophoresis 2012, 33, 3110–3132. [Google Scholar] [CrossRef]
- Natu, R.; Martinez-Duarte, R. Numerical model of streaming DEP for stem cell sorting. Micromachines 2016, 7, 217. [Google Scholar] [CrossRef]
- Urdaneta, M.; Smela, E. Multiple frequency dielectrophoresis. Electrophoresis 2007, 28, 3145–3155. [Google Scholar] [CrossRef] [PubMed]
- Park, S.; Koklu, M.; Beskok, A. Particle trapping in high-conductivity media with electrothermally enhanced negative dielec-trophoresis. Anal. Chem. 2009, 81, 2303–2310. [Google Scholar] [CrossRef] [PubMed]
- Nedelcu, O.T. A Thermal study on Joule-heating induced effects in dielectrophoretic microfilters. Rom. J. Inf. Sci. Technol. 2011, 14, 309–323. [Google Scholar]
- Lu, Y.; Ren, Q.L.; Liu, T.T.; Leung, S.L.; Gau, V.; Liao, J.C.; Chan, C.L.; Wong, P.K. Long-range electrothermal fluid motion in microfluidic systems. Int. J. Heat Mass Transf. 2016, 98, 341–349. [Google Scholar] [CrossRef]
- Pethig, R. Dielectrophoresis: Status of the theory, technology, and applications. Biomicrofluidics 2010, 4, 022811. [Google Scholar] [CrossRef]
- Al-Ahdal, S.A.; Kayani, A.B.; Ali, M.A.M.; Chan, J.Y.; Ali, T.; Adnan, N.; Buyong, M.R.; Noor, E.E.M.; Majlis, B.Y.; Sriram, S. Dielectrophoresis of amyloid-beta proteins as a microfluidic template for Alzheimer’s research. Int. J. Mol. Sci. 2019, 20, 3595. [Google Scholar] [CrossRef]
- Seger, U.; Panayiotou, M.; Schnydrig, S.; Jordan, M.; Renaud, P. Temperature measurements in microfluidic systems: Heat dissipation of negative dielectrophoresis barriers. Electrophoresis 2005, 26, 2239–2246. [Google Scholar] [CrossRef]
- Lindquist, S. The heat-shock response. Annu. Rev. Biochem. 1986, 55, 1151–1191. [Google Scholar] [CrossRef]
- Moritz, A.R. Studies of thermal injury: III. The pathology and pathogenesis of cutaneous burns: An experimental study. Am. J. Pathol. 1947, 23, 915–941. [Google Scholar]
- Harmon, B.V.; Corder, A.M.; Collins, R.J.; Gobe, G.C.; Allen, J.; Allan, D.J.; Kerr, J.F.R. Cell-death induced in a murine mastocytoma by 42–47 degrees heating in vitro: Evidence that the form of death changes from apoptosis to necrosis above a critical heat load. Int. J. Radiat. Biol. 1990, 58, 845–858. [Google Scholar] [CrossRef]
- Yamada, K.; Ichikawa, Y.; Okumura, H. Effects of high temperatures on chromosomes of normal and transformed human cells. Hum. Cell 1989, 21, 80–85. [Google Scholar]
- Tay, F.E.H.; Yu, L.M.; Pang, A.J.; Iliescu, C. Electrical and thermal characterization of a dielectrophoretic chip with 3D electrodes for cells manipulation. Electrochim. Acta 2007, 52, 2862–2868. [Google Scholar] [CrossRef]
- Sridharan, S.; Zhu, J.J.; Hu, G.Q.; Xuan, X.C. Joule heating effects on electroosmotic flow in insulator-based dielectrophoresis. Electrophoresis 2011, 32, 2274–2281. [Google Scholar] [CrossRef]
- Nakano, A.; Luo, J.H.; Ros, A. Temporal and spatial temperature measurement in insulator-based dielectrophoretic devices. Anal. Chem. 2014, 86, 6516–6524. [Google Scholar] [CrossRef]
- Williams, S.J.; Chamarthy, P.; Wereley, S.T. Laser-induced Fluorescence Thermometry for Joule Heating in AC Electrokinetic Chips. In Proceedings of the ASME 2008 Fluids Engineering Division Summer Meeting Collocated with the Heat Transfer, Energy Sustainability, and 3rd Energy Nanotechnology Conferences 2008, Jacksonville, FL, USA, 10–14 August 2008. [Google Scholar]
- Chamarthy, P.; Garimella, S.V.; Wereley, S.T. Non-intrusive temperature measurement using microscale visualization tech-niques. Exp. Fluids 2009, 47, 159–170. [Google Scholar] [CrossRef]
- Chamarthy, P.; Garimella, S.V.; Wereley, S.T. Measurement of the temperature non-uniformity in a microchannel heat sink using microscale laser-induced fluorescence. Int. J. Heat Mass Transf. 2010, 53, 3275–3283. [Google Scholar] [CrossRef]
- Erickson, D.; Sinton, D.; Li, D.Q. Joule heating and heat transfer in poly (dimethylsiloxane) microfluidic systems. Lab. Chip 2003, 3, 141–149. [Google Scholar] [CrossRef]
- Williams, S.J.; Chamarthy, P.; Wereley, S.T. Comparison of experiments and simulation of joule heating in ac electrokinetic chips. Trans. ASME J. Fluids Eng. 2010, 132, 021103. [Google Scholar] [CrossRef]
- Tang, G.Y.; Yang, C. Numerical modeling of Joule heating-induced temperature gradient focusing in microfluidic channels. Electrophoresis 2008, 29, 1006–1012. [Google Scholar] [CrossRef]
- Rasmussen, A.; Mavriplis, C.; Zaghloul, M.E.; Mikulchenko, O.; Mayaram, K. Simulation and optimization of a microfluidic flow sensor. Sens. Actuators A 2001, 88, 121–132. [Google Scholar] [CrossRef]
- Gallo-Villanueva, R.C.; Perez-Gonzalez, V.H.; Cardenas-Benitez, B.; Jind, B.; Martinez-Chapa, S.O.; Lapizco-Encinas, B.H. Joule heating effects in optimized insulator-based dielectrophoretic devices: An interplay between post geometry and temper-ature rise. Electrophoresis 2019, 40, 1408–1416. [Google Scholar] [CrossRef] [PubMed]
- Kwak, T.J.; Hossen, I.; Bashir, R.; Chang, W.J.; Lee, C.H. Localized dielectric loss heating in dielectrophoresis devices. Sci. Rep. 2019, 9, 18977. [Google Scholar] [CrossRef] [PubMed]
- Wang, Q.R.; Dingari, N.N.; Buie, C.R. Nonlinear electrokinetic effects in insulator-based dielectrophoretic systems. Electro-phoresis 2017, 38, 2576–2586. [Google Scholar] [CrossRef] [PubMed]
- Khoshmanesh, K.; Akagi, J.; Nahavandi, S.; Skommer, J.; Baratchi, S.; Cooper, J.M.; Kalantar-Zadeh, K.; Williams, D.E.; Wlodkowic, D. Dynamic analysis of drug-induced cytotoxicity using chip-based dielectrophoretic cell immobilization technology. Anal. Chem. 2011, 83, 2133–2144. [Google Scholar] [CrossRef]
- Nagasaka, A.; Seki, Y.; Tomiyama, N.; Mori, U.; Eguchi, M.; Tada, S. Development of High-throughput Cell Separation Micro-fluidic Device Using Dielectrophoresis. In Proceedings of the 9th World Congress of Biomechanics 2022 Taipei, Taipei, Taiwan, 10–14 July 2022. [Google Scholar]
- Wu, J.; Lian, M.; Yang, K. Micropumping of biofluids by alternating current electrothermal effects. Appl. Phys. Lett. 2007, 90, 3. [Google Scholar] [CrossRef]
- Ren, Y.K.; Liu, W.Y.; Tao, Y.; Hui, M.; Wu, Q.S. On AC-field-induced nonlinear electroosmosis next to the sharp cor-ner-field-singularity of leaky dielectric blocks and its application in on-chip micro-mixing. Micromachines 2018, 9, 102. [Google Scholar] [CrossRef]
- Akutsu, D.; Motosuke, M.; Honami, S. A Study on Particle Manipulation in Microchannel with High Frequency AC Electrokinetics. In Proceedings of the Japan Society of Mechanical Engineers; the Fluids Engineering Conference 2009, Nagoya, Japan, 7–8 November 2009. [Google Scholar]
- McAdams, W.H. Heat Transmission, 3rd ed.; McGraw-Hill Book Company: New York, NY, USA, 1954. [Google Scholar]
- Fishenden, M.; Saunders, O.A. An Introduction to Heat Transfer; Oxford University Press: Oxford, UK, 1950. [Google Scholar]
- Alarabi, M.; Elriedy, M.K. Natural-convection heat-transfer from isothermal horizontal plates of different shapes. Int. J. Heat Mass Transf. 1976, 19, 1399–1404. [Google Scholar] [CrossRef]
- Yousef, W.W.; Tarasuk, J.D.; Mckeen, W.J. Free convection heat transfer from upward-facing isothermal horizontal surfaces. Trans. ASME J. Heat Transf. 1982, 104, 493–500. [Google Scholar] [CrossRef]
- Shah, R.K.; London, A.L. Laminar Flow Forced Convection in Ducts, Advances in Heat Transfer, Supplement 1; Academic Press: New York, NY, USA, 1978. [Google Scholar]
- Elengoe, A.; Alitheen, N.B.M.; Hamdan, S.B. Hyperthermia effect on human normal breast (MCF-10A) and cancer (MDA-MB 231 and MCF-7) cells. Asian J. Pharm. Clin. Res. 2019, 12, 512–515. [Google Scholar] [CrossRef]
- Pulavarthy, R.A.; Alam, M.T.; Haque, M.A. Effect of heated zone size on micro and nanoscale convective heat transfer. Int. Commun. Heat Mass Transf. 2014, 52, 56–60. [Google Scholar] [CrossRef]
- Knupp, D.C.; Naveira-Cotta, C.P.; Renfer, A.; Tiwari, M.K.; Cotta, R.M.; Poulikakos, D. Analysis of conjugated heat transfer in micro-heat exchangers via integral transforms and non-intrusive optical techniques. Int. J. Numer. Methods Heat Fluid Flow 2015, 25, 1444–1462. [Google Scholar] [CrossRef]
















| Empirical Formula | Refs. | |
|---|---|---|
| (Top) | McAdams et al. [40] | |
| (Top) (Bottom) | Fishenden et al. [41] | |
| (Top) | Al-Arabi et al. [42] | |
| (Top) | Yousef et al. [43] |
| Parameters | Values |
|---|---|
| Number of grid points | |
| [s] | |
| [m] | |
| [K] | |
| [V] | |
| [S/m] | |
| [mL/h] |
| K)] | [kg/m3] | K)] | [m2/s] | [1/K] | Pr | |
|---|---|---|---|---|---|---|
| Water | ||||||
| Air | ||||||
| Glass | ― | ― | ― |
| Parameters | Values |
|---|---|
| ] | 10 |
| Rhodamine B solution [μM] | 20 |
| [S/m] | |
| [kHz] | 57.6 |
| [mL/h] | 5 |
Disclaimer/Publisher’s Note: The statements, opinions and data contained in all publications are solely those of the individual author(s) and contributor(s) and not of MDPI and/or the editor(s). MDPI and/or the editor(s) disclaim responsibility for any injury to people or property resulting from any ideas, methods, instructions or products referred to in the content. |
© 2024 by the authors. Licensee MDPI, Basel, Switzerland. This article is an open access article distributed under the terms and conditions of the Creative Commons Attribution (CC BY) license (https://creativecommons.org/licenses/by/4.0/).
Share and Cite
Seki, Y.; Tada, S. Experimental and Numerical Studies of the Temperature Field in a Dielectrophoretic Cell Separation Device Subject to Joule Heating. Sensors 2024, 24, 7098. https://doi.org/10.3390/s24217098
Seki Y, Tada S. Experimental and Numerical Studies of the Temperature Field in a Dielectrophoretic Cell Separation Device Subject to Joule Heating. Sensors. 2024; 24(21):7098. https://doi.org/10.3390/s24217098
Chicago/Turabian StyleSeki, Yoshinori, and Shigeru Tada. 2024. "Experimental and Numerical Studies of the Temperature Field in a Dielectrophoretic Cell Separation Device Subject to Joule Heating" Sensors 24, no. 21: 7098. https://doi.org/10.3390/s24217098
APA StyleSeki, Y., & Tada, S. (2024). Experimental and Numerical Studies of the Temperature Field in a Dielectrophoretic Cell Separation Device Subject to Joule Heating. Sensors, 24(21), 7098. https://doi.org/10.3390/s24217098

