ChartLine: Automatic Detection and Tracing of Curves in Scientific Line Charts Using Spatial-Sequence Feature Pyramid Network
Abstract
1. Introduction
- (1)
- We design a novel curve structure detection network (ChartLine) based on Long Short-Term Memory (LSTM) and self-attention modules, which can enhance the discriminative power of curve feature representations for curve segmentation.
- (2)
- A Spatial-Sequence Attention Feature Pyramid is introduced to ChartLine, which can enhance the network to capture long-range dependence and fully use the multi-channel space for feature representation. It can effectively separate the curve from the background and enhance the continuity of the curve.
- (3)
- A new loss function is proposed to solve the problem of having fewer curve samples in the chart image during training to improve the precision and recall of the model.
- (4)
- Four datasets are collected for model training and performance evaluation, two of which are used for training the network and testing, while the other two are used for testing only. These datasets are shared with the community to facilitate research into line chart parsing and data restoration. A large number of experiments are conducted and prove the effectiveness of the proposed method.
2. Related Work
2.1. Cure/Edge Detection
2.2. Chart Line Detection
3. Method
3.1. Network Architecture
3.2. Spatial-Sequence Fusion (SSF) Module
3.3. Channel Multi-Head Attention (CMA) Module
3.4. Hybrid Loss (HL) Function
4. Experiments and Results
4.1. Implementation Details
4.2. Datasets
- (1)
- ExcelChart400K (EXC) [31]. This dataset was contributed by the work of ChartOCR. It contains a variety of charts including pie charts, bar charts, and line charts and was generated by the data of public Excel files. We selected 60,000 line chart images from the EXC dataset as the training set and 3000 images as the validation set.
- (2)
- CHART2019-S (Chart2019). This dataset was generated using Matplotlib in the 2019 Harvest Primitive Tables competition, which contains six common chart types (e.g., bar, line, pie, etc.).
- (3)
- FigureSeer (FS) [30]. This dataset was crawled from the CiteSeerX website, which contains more than 900 linear chart images. The annotation of FS contains the complete graphical information of the curve, giving the coordinates of each key on the curve, the position information of the text, and the position of the scale symbols, which was used by Clark and Divvala for curve tracing. Due to the limited data, we only used this dataset as a validation set.
- (4)
- ICPR-2020-CHART-UB (PMC). This dataset contains 15 graph types, which were provided by the ICPR2020 CHART-Infographics competition, which are mainly from biomedical, material science, and other journals, and provide some manually annotated test samples. We filtered 1000 images with accurate annotations. Since these data are less annotated, we only use it as an evaluating dataset.
4.3. Evaluation Metrics
4.4. Comparison Methods
- (1)
- HED [17]. HED is an important breakthrough in edge detection, which is based on VGG16 implementation and can fuse multi-scale features. We trained HED on a mixed dataset, including EXC and Chart2019 datasets.
- (2)
- RCF [18]. RCF is a modified version of HED that fuses multi-scale feature maps by convolution. Unlike HED, which chooses to take five side outputs, where each side output is the feature map of the convolution layer before the pooling layer, RCF takes the output feature map of each convolution as the side output, and RCF has a richer convolution feature. We trained RCF on mixed data, including EXC and Chart2019.
- (3)
- FCN [16]. FCN is a multi-category semantic segmentation method. We modified the output layer and loss function of FCN to perform curve detection. The training and test sets are exactly the same as HED and RCF.
- (4)
- SegNet [15]. SegNet builds encoding and decoding structures capable of end-to-end learning and segmentation, and we performed model modifications for curve detection. We trained on mixed data, including EXC and Chart2019.
- (5)
- CS2Net [20]. CS2Net is a network for the linear structure segmentation of medical images that uses a pairwise attention mechanism to adaptively fuse global and local information. We retrained the model on the training set and tested the model effect.
- (6)
- (7)
4.5. Experimental Results
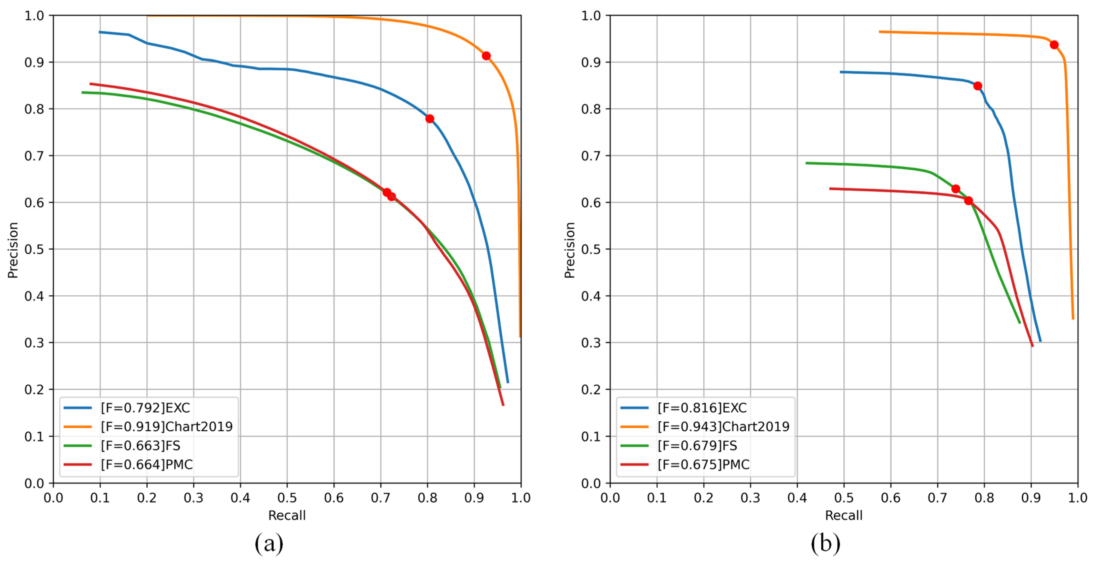
- (1)
- EXC: As shown in Figure 5a, ChartLine has the best F-measure. The performance of HED and RCF are very similar, and the graphs show a large variation in accuracy and recall for both algorithms. A similar situation is observed for FCN and SegNet, where HED shows the lowest performance in deep learning for curve detection, suggesting that richer convolution features can improve curve detection performance. It can also be seen in Figure 5 that the decoder structure can significantly improve the performance of the model compared to models like HED and RCF, which have no decoding structure. In addition, by fusing the global and local information of the image, the curve detection performance can be effectively improved.
- (2)
- Chart2019: The Chart2019 image was generated using matplotlib, which has a cleaner background than the EXC dataset and a greater degree of curve differentiation; so, the semantic segmentation-based algorithm performs significantly better on the Chart2019 dataset than on the other three datasets, where ChartLine achieves the best performance. From Table 1, we observe that while FCN achieved the best results compared to HED, RCF, CS2Net, and SegNet, it is still 2.28% lower than our method in ODS and 2.39% lower in OIS. The ODSs of HED, RCF, CS2Net, and SegNet are 9.49%, 11.09%, 2.28%, and 4.4% lower than the results of ChartLine, respectively.
- (3)
- FS: The images in this dataset are more difficult to extract than the previously mentioned datasets, and there is more noise near the curve, resulting in a lower detection accuracy than in the previous tests. As shown in Figure 5c and Table 1, ChartLine achieves the best performance, and the ODS reaches 67.94%. Compared to HED, RCF, FCN, SegNet, and CS2Net, the ODS of ChartLine is 7.82%, 7.21%, 3.62%, 3.13%, and 2.7% higher, respectively.
- (4)
- PMC: The images in this test dataset are similar to the FS dataset in that they are all real images collected from papers, and the curves are more difficult to extract. Similar to the test results of FS, our method achieves the best ODS, which reaches 67.53%.
4.6. Ablation Study
- Spatial-Sequence Fusion (SSF) module: In Table 2, we can see that our proposed SSF module can significantly improve the performance of the curve detection. Compared to the baseline, SSF improves the ODS on the EXC, Chart2019, FS, and PMC datasets by 1.8%, 3.9%, 1.21%, and 0.58%, respectively.
- Channel Multi-Head Attention (CMA) module: From Table 2, we can see that the Channel Multi-Head Attention (CMA) module also enhances the baseline performance. On the synthetic datasets EXC and Chart2019, ODS improved by 1.59% and 3.71%, respectively, while on the real datasets FS and PMC, ODS increased by 0.95% and 0.22%, respectively.
- Hybrid loss (HL) function: Compared to ChartLine-BCE, we can see that our proposed hybrid loss function can effectively improve the performance of the model, compared to the common cross-entropy loss function, with a 1–2% performance improvement on the four test datasets. In addition, we have also visualized the different P-R curves, and Figure 7 fully demonstrates that our proposed loss function has a stable precision and recall due to the ability of the model to adjust for incorrectly predicted samples during the training process.

4.7. Running Efficiency
5. Conclusions
Author Contributions
Funding
Institutional Review Board Statement
Informed Consent Statement
Data Availability Statement
Conflicts of Interest
References
- Chen, J.; Kong, L.; Wei, H.; Liu, C.; Ge, Z.; Zhao, L.; Sun, J.; Han, C.; Zhang, X. OneChart: Purify the Chart Structural Extraction via One Auxiliary Token. arXiv 2024, arXiv:2404.09987. [Google Scholar]
- Chai, C.; Li, G.; Fan, J.; Luo, Y. Crowdsourcing-based Data Extraction from Visualization Charts. In Proceedings of the 2020 IEEE 36th International Conference on Data Engineering (ICDE), Dallas, TX, USA, 20–24 April 2020; pp. 1814–1817. [Google Scholar]
- Liu, X.; Klabjan, D.; NBless, P. Data extraction from charts via single deep neural network. arXiv 2019, arXiv:1906.11906. [Google Scholar]
- Kato, H.; Nakazawa, M.; Yang, H.K.; Chen, M.; Stenger, B. Parsing Line Chart Images Using Linear Programming. In Proceedings of the 2022 IEEE/CVF Winter Conference on Applications of Computer Vision (WACV), Waikoloa, HI, USA, 3–8 January 2022; pp. 1917–1925. [Google Scholar]
- Tshitoyan, V.; Dagdelen, J.; Weston, L.; Dunn, A.; Rong, Z.; Kononova, O.; Persson, K.A.; Ceder, G.; Jain, A. Unsupervised word embeddings capture latent knowledge from materials science literature. Nature 2019, 571, 95–98. [Google Scholar] [CrossRef]
- Alexiou, M.S.; Bourbakis, N.G. Abax: Extracting Mathematical Formulas from Chart Images Using Spatial Pixel Information. Int. J. Artif. Intell. Tools 2024, 33, 2450007. [Google Scholar] [CrossRef]
- Tang, B.; Liu, X.; Lei, J.; Song, M.; Tao, D.; Sun, S.; Dong, F. DeepChart: Combining deep convolutional networks and deep belief networks in chart classification. Signal Process 2016, 124, 156–161. [Google Scholar] [CrossRef]
- Bajić, F.; Job, J. Review of chart image detection and classification. Int. J. Doc. Anal. Recognit. (IJDAR) 2023, 26, 453–474. [Google Scholar] [CrossRef]
- Savva, M.; Kong, N.; Li, F.-F.; Agrawala, M. ReVision: Automated Classification, Analysis and Redesign of Chart Images. In Proceedings of the 24th Annual ACM Symposium on User Interface Software and Technology, Santa Barbara, CA, USA, 16–19 October 2011; pp. 393–402. [Google Scholar]
- Krizhevsky, A.; Sutskever, I.; Hinton, G.E. ImageNet classification with deep convolutional neural networks. Commun. ACM 2017, 60, 84–90. [Google Scholar] [CrossRef]
- Ren, S.; He, K.; Girshick, R.; Sun, J. Faster R-CNN: Towards Real-Time Object Detection with Region Proposal Networks. IEEE Trans. Pattern Anal. Mach. Intell. 2017, 39, 1137–1149. [Google Scholar] [CrossRef]
- He, K.; Gkioxari, G.; Dollar, P.; Girshick, R. Mask R-CNN. IEEE Trans. Pattern Anal. Mach. Intell. 2020, 42, 386–397. [Google Scholar] [CrossRef]
- Cai, Z.; Vasconcelos, N. Cascade R-CNN: High Quality Object Detection and Instance Segmentation. IEEE Trans. Pattern Anal. Mach. Intell. 2021, 43, 1483–1498. [Google Scholar] [CrossRef]
- Girshick, R. Fast R-CNN. In Proceedings of the 2015 IEEE International Conference on Computer Vision, Santiago, Chile, 7–13 December 2015; pp. 1440–1448. [Google Scholar]
- Badrinarayanan, V.; Kendall, A.; Cipolla, R. SegNet: A Deep Convolutional Encoder-Decoder Architecture for Image Segmentation. IEEE Trans. Pattern Anal. Mach. Intell. 2017, 39, 2481–2495. [Google Scholar] [CrossRef] [PubMed]
- Shelhamer, E.; Long, J.; Darrell, T. Fully Convolutional Networks for Semantic Segmentation. IEEE Trans. Pattern Anal. Mach. Intell. 2017, 39, 640–651. [Google Scholar] [CrossRef] [PubMed]
- Xie, S.; Tu, Z. Holistically-nested edge detection. In Proceedings of the IEEE International Conference on Computer Vision, Santiago, Chile, 7–13 December 2015; pp. 1395–1403. [Google Scholar]
- Liu, Y.; Cheng, M.M.; Hu, X.; Wang, K.; Bai, X. Richer Convolutional Features for Edge Detection. IEEE Trans. Pattern Anal. Mach. Intell. 2019, 41, 1939–1946. [Google Scholar] [CrossRef]
- Khoreva, A.; Benenson, R.; Omran, M.; Hein, M.; Schiele, B. Weakly Supervised Object Boundaries. In Proceedings of the 2016 IEEE Conference on Computer Vision and Pattern Recognition (CVPR), Las Vegas, NV, USA, 27–30 June 2016; pp. 183–192. [Google Scholar]
- Mou, L.; Zhao, Y.; Fu, H.; Liu, Y.; Cheng, J.; Zheng, Y.; Su, P.; Yang, J.; Chen, L.; Frangi, A.F.; et al. CS2-Net: Deep learning segmentation of curvilinear structures in medical imaging. Méd. Image Anal. 2021, 67, 101874. [Google Scholar] [CrossRef]
- Canny, J. A computational approach to edge detection. IEEE Trans. Pattern Anal. Mach. Intell. 1986, PAMI-8, 679–698. [Google Scholar] [CrossRef]
- Arbeláez, P.; Maire, M.; Fowlkes, C.; Malik, J. Contour Detection and Hierarchical Image Segmentation. IEEE Trans. Pattern Anal. Mach. Intell. 2011, 33, 898–916. [Google Scholar] [CrossRef] [PubMed]
- Dollar, P.; Zitnick, C.L. Fast Edge Detection Using Structured Forests. IEEE Trans. Pattern Anal. Mach. Intell. 2015, 37, 1558–1570. [Google Scholar] [CrossRef]
- Valente, N.A.; Mao, Z.; Niezrecki, C. Holistically Nested Edge Detection and particle filtering for subtle vibration extraction. Mech. Syst. Signal Process. 2023, 204, 110753. [Google Scholar] [CrossRef]
- Athar, A.; Hermans, A.; Luiten, J.; Ramanan, D.; Leibe, B. Tarvis: A unified approach for target-based video segmentation. In Proceedings of the IEEE/CVF Conference on Computer Vision and Pattern Recognition, Vancouver, BC, Canada, 17–24 June 2023; pp. 18738–18748. [Google Scholar]
- Qureshi, I.; Yan, J.; Abbas, Q.; Shaheed, K.; Bin Riaz, A.; Wahid, A.; Khan, M.W.J.; Szczuko, P. Medical image segmentation using deep semantic-based methods: A review of techniques, applications and emerging trends. Inf. Fusion 2023, 90, 316–352. [Google Scholar] [CrossRef]
- Viswanath, K.; Kaushik, C.M. Image Processing Based Data Extraction from Graphical Representation. In Proceedings of the 2015 IEEE International Conference on Computer Graphics, Vision and Information Security (CGVIS), Bhubaneshwar, India, 2–3 November 2015; pp. 190–194. [Google Scholar]
- Kanjanawattana, S.; Kimura, M. Extraction of Graph Information Based on Image Contents and the Use of Ontology. In Proceedings of the International Association for Development of the Information Society, Faro, Portugal, 9–11 April 2016; pp. 19–26. [Google Scholar]
- Lu, X.; Kataria, S.; Brouwer, W.J.; Wang, J.Z.; Mitra, P.; Giles, C.L. Automated analysis of images in documents for intelligent document search. Int. J. Doc. Anal. Recognit. 2009, 12, 65–81. [Google Scholar] [CrossRef]
- Siegel, N.; Horvitz, Z.; Levin, R.; Divvala, S.; Farhadi, A. Figureseer: Parsing result-figures in research papers. In Proceedings of the 14th European Conference Computer Vision (ECCV) 2016, Amsterdam, The Netherlands, 11–14 October 2016; Proceedings, Part VII 14. Springer International Publishing: Cham, Switzerland, 2016; pp. 664–680. [Google Scholar]
- Luo, J.; Li, Z.; Wang, J.; Lin, C.-Y. ChartOCR: Data Extraction from Charts Images via a Deep Hybrid Framework. In Proceedings of the 2021 IEEE Winter Conference on Applications of Computer Vision (WACV), Waikoloa, HI, USA, 3–8 January 2021; pp. 1917–1925. [Google Scholar]
- Hassan, M.Y.; Singh, M. LineEX: Data extraction from scientific line charts. In Proceedings of the IEEE/CVF Winter Conference on Applications of Computer Vision, Waikoloa, HI, USA, 2–7 January 2023; pp. 6213–6221. [Google Scholar]
- Vaswani, A.; Noam, N.; Niki, P. Attention Is All You Need. Adv. Neural Inf. Process. Syst. 2017, 2, 5998–6008. [Google Scholar]
- Sanchesa, P.; Meyer, C.; Vigon, V.; Naegel, B. Cerebrovascular Network Segmentation of MRA Images with Deep Learning. In Proceedings of the 2019 IEEE 16th International Symposium on Biomedical Imaging (ISBI 2019), Venice, Italy, 8–11 April 2019; pp. 768–771. [Google Scholar]
- Li, X.; Wang, W.; Hu, X.; Yang, J. Selective Kernel Networks. In Proceedings of the 2019 IEEE/CVF Conference on Computer Vision and Pattern Recognition (CVPR), Long Beach, CA, USA, 15–20 June 2019; pp. 510–519. [Google Scholar]
- Hu, J.; Shen, L.; Albanie, S.; Sun, G.; Wu, E. Squeeze-and-Excitation Networks. IEEE Trans. Pattern Anal. Mach. Intell. 2020, 42, 2011–2023. [Google Scholar] [CrossRef] [PubMed]







| Methods | EXC | Chart2019 | FS | PMC | FPS | ||||
|---|---|---|---|---|---|---|---|---|---|
| ODS | OIS | ODS | OIS | ODS | OIS | ODS | OIS | ||
| HED | 0.7388 | 0.7520 | 0.8482 | 0.8619 | 0.6012 | 0.6213 | 0.6003 | 0.6306 | 42 |
| RCF | 0.7419 | 0.7534 | 0.8322 | 0.8435 | 0.6073 | 0.6287 | 0.6042 | 0.6322 | 35 |
| FCN | 0.7838 | 0.8107 | 0.9203 | 0.9292 | 0.6432 | 0.6514 | 0.6592 | 0.6596 | 40 |
| SegNet | 0.7792 | 0.7960 | 0.8991 | 0.9108 | 0.6481 | 0.6621 | 0.6492 | 0.6574 | 25 |
| CS2Net | 0.7892 | 0.8024 | 0.9101 | 0.9212 | 0.5977 | 0.6215 | 0.6503 | 0.6621 | 24 |
| ChartOCR | - | 0.5097 | - | 0.3154 | - | 0.3131 | - | 0.3031 | - |
| LineEX | - | 0.3691 | - | 0.2992 | - | 0.3075 | - | 0.3000 | - |
| ChartLine | 0.8162 | 0.8233 | 0.9431 | 0.9531 | 0.6794 | 0.6892 | 0.6753 | 0.6820 | 20 |
| Methods | Modules | EXC | Chart2019 | FS | PMC | ||||||
|---|---|---|---|---|---|---|---|---|---|---|---|
| SSF | CMA | HL | ODS | OIS | ODS | OIS | ODS | OIS | ODS | OIS | |
| Baseline | × | × | √ | 0.7851 | 0.8014 | 0.9030 | 0.9181 | 0.6575 | 0.6682 | 0.6686 | 0.6712 |
| ChartLine-SSF | √ | × | √ | 0.8031 | 0.8175 | 0.9420 | 0.9528 | 0.6696 | 0.6722 | 0.6744 | 0.6813 |
| ChartLine-CMA | × | √ | √ | 0.8010 | 0.8141 | 0.9401 | 0.9511 | 0.6670 | 0.6812 | 0.6708 | 0.6800 |
| ChartLine-BCE | √ | √ | × | 0.7917 | 0.8015 | 0.9194 | 0.9256 | 0.6630 | 0.6711 | 0.6642 | 0.6794 |
| ChartLine | √ | √ | √ | 0.8162 | 0.8333 | 0.9431 | 0.9531 | 0.6794 | 0.6992 | 0.6753 | 0.6820 |
Disclaimer/Publisher’s Note: The statements, opinions and data contained in all publications are solely those of the individual author(s) and contributor(s) and not of MDPI and/or the editor(s). MDPI and/or the editor(s) disclaim responsibility for any injury to people or property resulting from any ideas, methods, instructions or products referred to in the content. |
© 2024 by the authors. Licensee MDPI, Basel, Switzerland. This article is an open access article distributed under the terms and conditions of the Creative Commons Attribution (CC BY) license (https://creativecommons.org/licenses/by/4.0/).
Share and Cite
Yang, W.; He, J.; Li, Q. ChartLine: Automatic Detection and Tracing of Curves in Scientific Line Charts Using Spatial-Sequence Feature Pyramid Network. Sensors 2024, 24, 7015. https://doi.org/10.3390/s24217015
Yang W, He J, Li Q. ChartLine: Automatic Detection and Tracing of Curves in Scientific Line Charts Using Spatial-Sequence Feature Pyramid Network. Sensors. 2024; 24(21):7015. https://doi.org/10.3390/s24217015
Chicago/Turabian StyleYang, Wenjin, Jie He, and Qian Li. 2024. "ChartLine: Automatic Detection and Tracing of Curves in Scientific Line Charts Using Spatial-Sequence Feature Pyramid Network" Sensors 24, no. 21: 7015. https://doi.org/10.3390/s24217015
APA StyleYang, W., He, J., & Li, Q. (2024). ChartLine: Automatic Detection and Tracing of Curves in Scientific Line Charts Using Spatial-Sequence Feature Pyramid Network. Sensors, 24(21), 7015. https://doi.org/10.3390/s24217015

