Hierarchical Fusion of Infrared and Visible Images Based on Channel Attention Mechanism and Generative Adversarial Networks
Abstract
1. Introduction
2. Basic Principle
3. Improved Image Fusion Algorithm Design
3.1. Laplace Fusion of Base Layer Histogram Maps
3.1.1. Visible Base Layer Histogram Mapping
3.1.2. Base Layer Laplace Fusion
3.2. Thinning Layer Fusion Algorithm
3.2.1. Network Design
3.2.2. Loss Function Design
3.3. Fusion Image Reconstruction
3.3.1. Attention Mechanism Fusion Network Design
3.3.2. Encoder and Decoder Loss Function
4. Experiment and Result Analysis
4.1. Experimental Setup
4.1.1. Experimental Environment
4.1.2. Evaluation Metrics
4.2. Ablation Experiment
4.3. dCAMN Module Fusion Effect Analysis
4.4. Comparative Experiment and Qualitative Analysis
4.5. Comparative Experiment and Quantitative Analysis
4.6. Network Efficiency Verification Analysis
5. Conclusions
Author Contributions
Funding
Institutional Review Board Statement
Informed Consent Statement
Data Availability Statement
Conflicts of Interest
References
- Zhou, X.; Wang, W.; Liu, R.A. Compressive sensing image fusion algorithm based on directionlets. EURASIP J. Wirel. Commun. Netw. 2014, 2014, 19. [Google Scholar] [CrossRef]
- Smith, M.I.; Ball, A.N.; Hooper, D. Real-Time Image fusion: A vision aid for helicopter pilotage. Proc. SPIE 2002, 4713, 30–41. [Google Scholar]
- Zhou, Z.Q.; Dong, M.J.; Xie, X.Z. Fusion of infrared and visible images for night-vision context enhancement. Appl. Opt. 2016, 55, 6480–6490. [Google Scholar] [CrossRef] [PubMed]
- Li, H.; Wu, X.J.; Durrani, T.S. Infrared and visible image fusion with ResNet and zero-phase component analysis. Infrared Phys. Technol. 2019, 102, 103039. [Google Scholar] [CrossRef]
- Lin, H.; Tian, Y.; Pu, R. Remotely sensing image fusion based on wavelet transform and human vision system. Int. J. Signal Process. Image Process. Pattern Recognit. 2015, 8, 291–298. [Google Scholar] [CrossRef]
- Feng, C.Q.; Li, B.L.; Liu, Y.F.; Zhang, F.; Yue, Y.; Fan, J.S. Crack assessment using multi-sensor fusion simultaneous localization and mapping (SLAM) and image super-resolution for bridge inspection. Autom. Constr. 2023, 155, 105047. [Google Scholar] [CrossRef]
- Luo, Y.; Wang, X.; Wu, Y.; Shu, C. Infrared and Visible Image Homography Estimation Using Multiscale Generative Adversarial Network. Electronics 2023, 12, 788. [Google Scholar] [CrossRef]
- Ji, J.; Zhang, Y.; Lin, Z.; Li, Y.; Wang, C.; Hu, Y.; Huang, F.; Yao, J. Fusion of Infrared and Visible Images Based on Optimized Low-Rank Matrix Factorization with Guided Filtering. Electronics 2022, 11, 2003. [Google Scholar] [CrossRef]
- Li, H.; Gao, J.; Zhang, Y.; Xie, M.; Yu, Z. Haze transfer and feature aggregation network for real-world single image dehazing. Knowl.-Based Syst. 2022, 251, 109309. [Google Scholar] [CrossRef]
- Yang, B.; Li, S. Multifocus image fusion and restoration with sparse representation. IEEE Trans. Instrum. Meas. 2009, 59, 884–892. [Google Scholar] [CrossRef]
- Burt, P.J.; Adelson, E.H. The Laplacian pyramid as a compact image code. In Readings in Computer Vision; Morgan Kaufmann: Burlington, MA, USA, 1987; pp. 671–679. [Google Scholar]
- Chen, X.; Li, Y.; Kong, C.; Dai, L. Unpaired image dehazing with physical-guided restoration and depth-guided reffnement. IEEE Signal Process. Lett. 2022, 29, 587–591. [Google Scholar] [CrossRef]
- Zhang, N.; Nex, F.; Vosselman, G.; Kerle, N. Lite-mono: A lightweight cnn and transformer architecture for self-supervised monocular depth estimation. In Proceedings of the IEEE/CVF Conference on Computer Vision and Pattern Recognition, Vancouver, BC, Canada, 17–24 June 2023; pp. 18537–18546. [Google Scholar]
- He, K.M.; Sun, J.; Tang, X.O. Guided image filtering. IEEE Trans. Pattern Anal. Mach. Intell. 2013, 35, 1397–1409. [Google Scholar] [CrossRef] [PubMed]
- Upla, K.P.; Joshi, M.V.; Gajjar, P.P. An edge preserving multiresolution fusion:use of contourlet transform and MRF Prior. IEEE Trans. Geosci. Remote Sens. 2015, 53, 3210–3220. [Google Scholar] [CrossRef]
- Mitianoudis, N.; Stathaki, T. Pixel-based and region-based image fusion schemes using ICA bases. Inf. Fusion 2007, 8, 131–142. [Google Scholar] [CrossRef]
- Liang, J.; He, Y.; Liu, D. Image fusion using higher order singular value decomposition. IEEE Trans. Image Process. 2012, 21, 2898–2909. [Google Scholar] [CrossRef]
- Zhao, L.; Zhang, Y.; Dong, L.; Zheng, F. Infrared and visible image fusion algorithm based on spatial-domain and image features. PLoS ONE 2022, 17, e0278055. [Google Scholar] [CrossRef]
- Li, C.; Lei, L.; Zhang, X. Infrared and Visible Image Fusion Based on Morphological Image Enhancement of Dual-Tree Complex Wavelet. In Proceedings of the Advances in Natural Computation, Fuzzy Systems and Knowledge Discovery: Volume 2, Xi’an, China, 1–3 August 2020; Springer: Cham, Switzerland, 2020; pp. 743–752. [Google Scholar]
- Ma, J.; Yu, W.; Liang, P. FusionGAN: A generative adversarial network for infrared and visible image fusion. Inf. Fusion 2019, 48, 11–26. [Google Scholar] [CrossRef]
- Zhou, H.; Wu, W.; Zhang, Y.; Ma, J.; Ling, H. Semantic-supervised Infrared and Visible Image Fusion via a Dual-discriminator Generative Adversarial Network. IEEE Trans. Multimed. 2021, 25, 635–648. [Google Scholar] [CrossRef]
- Li, H.; Wu, X.J. DenseFuse: A Fusion Approach to Infrared and Visible Images. IEEE Trans. Image Process. 2019, 28, 2614–2623. [Google Scholar] [CrossRef]
- Liu, J.; Zhou, W.; Cui, Y.; Yu, L.; Luo, T. GCNet: Grid-like context-aware network for RGB-thermal semantic segmentation. Neurocomputing 2022, 506, 60–67. [Google Scholar] [CrossRef]
- Sharma, T.; Verma, N.K. Estimating depth and global atmospheric light for image dehazing using type-2 fuzzy approach. IEEE Trans. Emerg. Top. Comput. Intell. 2020, 6, 93–102. [Google Scholar] [CrossRef]
- Wang, W.; Yuan, X.; Wu, X.; Liu, Y. Fast image dehazing method based on linear transformation. IEEE Trans. Multimed. 2017, 19, 1142–1155. [Google Scholar] [CrossRef]
- Chen, J.; Paris, S.; Durand, F. Real-time edge-aware image processing with the bilateral grid. ACM Trans. Graph. (TOG) 2007, 26, 103–108. [Google Scholar] [CrossRef]
- Toet, A. The TNO multiband image data collection. Data Brief. 2017, 15, 249–251. [Google Scholar] [CrossRef] [PubMed]
- Xu, H. Roadscene Database. 2020. Available online: https://github.com/hanna-xu/RoadScene (accessed on 23 October 2024).
- Reddy, E.; Reddy, R. Dynamic clipped histogram equalization technique for enhancing low contrast images. Proc. Natl. Acad. Sci. India Sect. A Phys. Sci. 2019, 89, 673–698. [Google Scholar] [CrossRef]
- Ma, J.; Chen, C.; Li, C. Infrared and visible image fusion via gradient transfer and total variation minimization. Inf. Fusion 2016, 31, 100–109. [Google Scholar] [CrossRef]
- Xu, H.; Ma, J.; Le, Z. Fusiondn: A unified densely connected network for image fusion. Proc. AAAI Conf. Artif. Intell. 2020, 34, 12484–12491. [Google Scholar] [CrossRef]
- Tang, L.; Xiang, X.; Zhang, H.; Gong, M.; Ma, J. DIVFusion: Darkness-free infrared and visible image fusion. Inf. Fusion. 2023, 9, 477–493. [Google Scholar] [CrossRef]
- Zhao, Z.; Bai, H.; Zhang, J.; Zhang, Y.; Xu, S.; Lin, Z.; Timofte, R.; Van Gool, L. CDDFuse: Correlation-Driven Dual-Branch Feature Decomposition for Multi-Modality Image Fusion. In Proceedings of the IEEE/CVF Conference on Computer Vision and Pattern Recognition, Vancouver, BC, Canada, 10 April 2023; pp. 14461–14490. [Google Scholar]
- Li, H.; Wu, X.J.; Kittler, J. Rfn-nest: An end-to-end residual fusion network for infrared and visible images. Inf. Fusion 2021, 73, 72–86. [Google Scholar] [CrossRef]
- Ma, J.; Zhang, H.; Shao, Z.; Liang, P.; Xu, H. GANMcC: A Generative Adversarial Network with Multiclassification Constraints for Infrared and Visible Image Fusion. IEEE Trans. Instrum. Meas. 2021, 70, 5005014. [Google Scholar] [CrossRef]
- Ma, J.; Xu, H.; Jiang, J. Ddcgan: A dual-discriminator conditional generative adversarial network for multi-resolution image fusion. IEEE Trans. Image Process. 2020, 29, 4980–4995. [Google Scholar] [CrossRef] [PubMed]












| Models | EN | SD | NMI | SSIM | Nabf | PSNR |
|---|---|---|---|---|---|---|
| No GFM | 6.463 | 29.985 | 0.654 | 0.795 | 0.135 | 62.374 |
| No DFTM | 6.534 | 32.273 | 0.698 | 0.865 | 0.135 | 61.345 |
| No dCAMN | 6.874 | 30.483 | 0.764 | 0.875 | 0.134 | 60.094 |
| all | 6.963 | 35.453 | 0.796 | 0.895 | 0.075 | 64.346 |
| Models | EN | SD | NMI | SSIM | Nabf | PSNR |
|---|---|---|---|---|---|---|
| No GFM | 6.776 | 28.434 | 0.624 | 0.746 | 0.143 | 63.628 |
| No DFTM | 6.915 | 31.467 | 0.658 | 0.812 | 0.197 | 62.322 |
| No dCAMN | 6.977 | 29.965 | 0.723 | 0.864 | 0.101 | 58.265 |
| all | 7.285 | 34.264 | 0.821 | 0.891 | 0.081 | 66.591 |
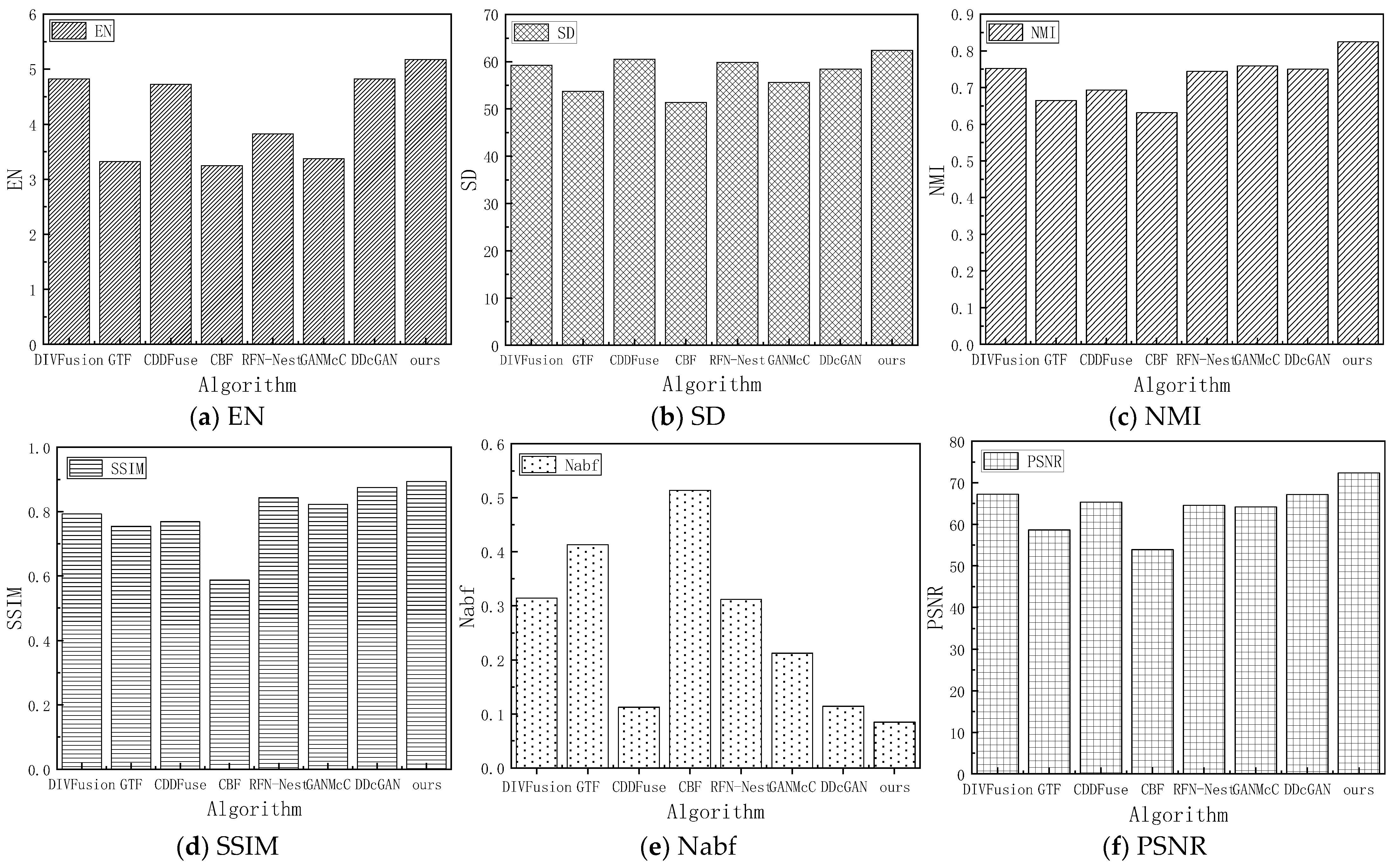
| Metric | CBF | GTF | DIVFusion | CDDFuse | RFN-Nest | GANMcC | DDcGAN | Ours |
|---|---|---|---|---|---|---|---|---|
| EN | 3.137 | 3.227 | 4.211 | 4.875 | 3.923 | 3.736 | 4.355 | 5.653 |
| SD | 51.238 | 53.823 | 57.245 | 60.157 | 58.322 | 55.323 | 58.433 | 59.932 |
| NMI | 0.642 | 0.653 | 0.683 | 0.695 | 0.752 | 0.735 | 0.763 | 0.794 |
| SSIM | 0.582 | 0.756 | 0.883 | 0.890 | 0.835 | 0.832 | 0.874 | 0.892 |
| Nabf | 0.534 | 0.443 | 0.142 | 0.123 | 0.356 | 0.283 | 0.153 | 0.073 |
| PSNR | 53.656 | 58.345 | 67.854 | 68.434 | 63.576 | 64.865 | 68.544 | 70.543 |
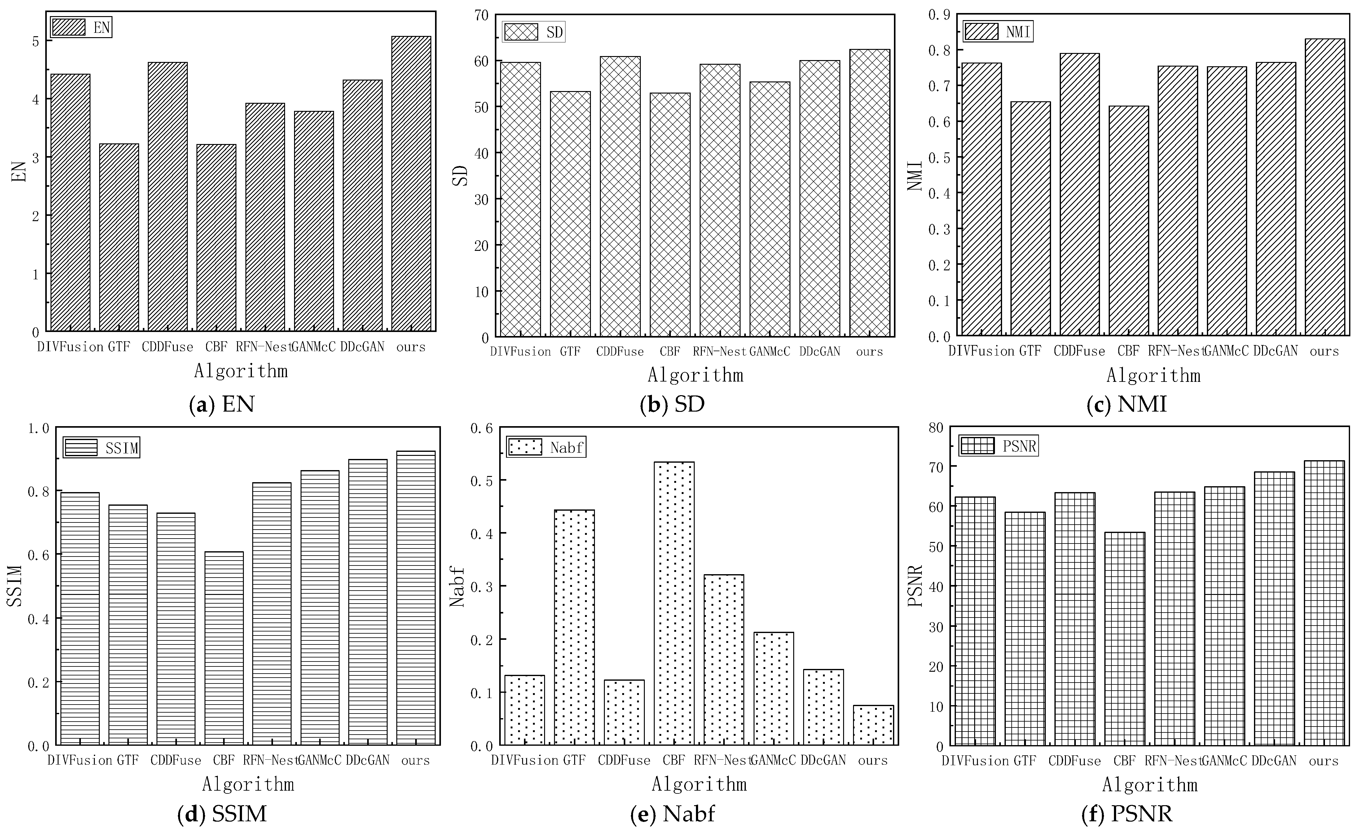
| Metric | CBF | GTF | DIVFusion | CDDFuse | RFN-Nest | GANMcC | DDcGAN | Ours |
|---|---|---|---|---|---|---|---|---|
| EN | 3.342 | 3.587 | 4.343 | 4.756 | 3.873 | 3.836 | 4.134 | 5.756 |
| SD | 50.452 | 52.473 | 57.285 | 59.137 | 57.564 | 54.653 | 58.764 | 58.832 |
| NMI | 0.723 | 0.734 | 0.771 | 0.736 | 0.753 | 0.742 | 0.752 | 0.804 |
| SSIM | 0.598 | 0.726 | 0.787 | 0.812 | 0.826 | 0.863 | 0.863 | 0.898 |
| Nabf | 0.545 | 0.454 | 0.121 | 0.133 | 0.335 | 0.212 | 0.143 | 0.067 |
| PSNR | 54.754 | 58.322 | 67.493 | 68.532 | 64.496 | 67.365 | 69.432 | 71.537 |
| Methods | CBF | GTF | CDDFuse | RFN-Nest | DIVFuison | GANMcC | DDcGAN | Ours |
|---|---|---|---|---|---|---|---|---|
| Roadscene | 1.273 | 2.987 | 0.143 | 0.179 | 0.104 | 0.534 | 0.096 | 0.043 |
| TNO | 2.345 | 3.093 | 0.253 | 0.345 | 0.275 | 0.794 | 0.294 | 0.203 |
Disclaimer/Publisher’s Note: The statements, opinions and data contained in all publications are solely those of the individual author(s) and contributor(s) and not of MDPI and/or the editor(s). MDPI and/or the editor(s) disclaim responsibility for any injury to people or property resulting from any ideas, methods, instructions or products referred to in the content. |
© 2024 by the authors. Licensee MDPI, Basel, Switzerland. This article is an open access article distributed under the terms and conditions of the Creative Commons Attribution (CC BY) license (https://creativecommons.org/licenses/by/4.0/).
Share and Cite
Wu, J.; Yang, S.; Wang, X.; Pei, Y.; Wang, S.; Song, C. Hierarchical Fusion of Infrared and Visible Images Based on Channel Attention Mechanism and Generative Adversarial Networks. Sensors 2024, 24, 6916. https://doi.org/10.3390/s24216916
Wu J, Yang S, Wang X, Pei Y, Wang S, Song C. Hierarchical Fusion of Infrared and Visible Images Based on Channel Attention Mechanism and Generative Adversarial Networks. Sensors. 2024; 24(21):6916. https://doi.org/10.3390/s24216916
Chicago/Turabian StyleWu, Jie, Shuai Yang, Xiaoming Wang, Yu Pei, Shuai Wang, and Congcong Song. 2024. "Hierarchical Fusion of Infrared and Visible Images Based on Channel Attention Mechanism and Generative Adversarial Networks" Sensors 24, no. 21: 6916. https://doi.org/10.3390/s24216916
APA StyleWu, J., Yang, S., Wang, X., Pei, Y., Wang, S., & Song, C. (2024). Hierarchical Fusion of Infrared and Visible Images Based on Channel Attention Mechanism and Generative Adversarial Networks. Sensors, 24(21), 6916. https://doi.org/10.3390/s24216916
