Directivity Improved Antenna with a Planar Dielectric Lens for Reducing the Physical Size of the On-Vehicle Communication System
Abstract
1. Introduction
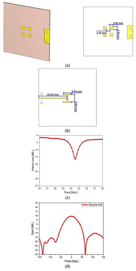
1.1. Design of the Source Antenna
1.2. Design of the Lens
2. Characterizing the Antennas Through RF Measurement
3. Observation of the Strengths of the Lens in View of Wireless Sensing
4. Conclusions
Author Contributions
Funding
Institutional Review Board Statement
Informed Consent Statement
Data Availability Statement
Acknowledgments
Conflicts of Interest
Appendix A

| Fabrication Process | Multi-Layer | Total Size (Volume) | mm Wave | |
|---|---|---|---|---|
| [8,9,10] | PCB etching | Yes | ≥1000 λ3, with horn | Yes |
| [12,13] | PCB etching | Yes | ≥1000 λ3, with horn | Yes |
| [14] | PCB etching | Yes | ≥1000 λ3, with horn | Yes |
| Ours | Extrusion, molding | No | 145 λ3, without horn | Yes |

References
- Fu, Y.; Shan, Y.; Zhu, Q.; Hung, K.; Wu, Y.; Quek, T.Q.S. A Distributed Microservice-aware Paradigm for 6G: Challenges, Principles, and Research Opportunities. IEEE Netw. 2023, 38, 163–170. [Google Scholar] [CrossRef]
- Dong, Y.; Wang, H.; Yang, Z.; Hao, N.; Zhang, C.; Yu, X. Cell-free ISAC massive MIMO systems with capacity-constrained fronthaul links. Digit. Signal Process. 2024, 145, 104341. [Google Scholar] [CrossRef]
- Gao, Z. Integrated Sensing and Communication With mmWave Massive MIMO: A Compressed Sampling Perspective. IEEE Trans. Wirel. Commun. 2023, 22, 1745–1762. [Google Scholar] [CrossRef]
- Kraus, J.D.; Marhefka, R. Antennas for All Applications; McGraw-Hill Science: New York, NY, USA, 2002. [Google Scholar]
- Wheeler, H.A. Simple relations derived fom a phased-array antenna made of an infinite current sheet. IEEE Trans. Antennas Propag. 1965, 13, 506–514. [Google Scholar] [CrossRef]
- Mailloux, R.J.; McIlvenna, J.F.; Kernweis, N. Microstrip array technology. IEEE Trans. Antennas Propag. 1981, 29, 25–37. [Google Scholar] [CrossRef]
- Datthanasombat, S.; Amaro, L.R.; Harrell, J.A.; Spitz, S.; Perret, J. Layered lens antenna. In Proceedings of the IEEE Antennas and Propagation Society International Symposium, Boston, MA, USA, 8–13 July 2001; pp. 777–780. [Google Scholar]
- Kaouach, H.; Baili, G.; Baudoin, G. High-efficiency wideband transmit-array antenna with linear polarization in Q-band. IEEE Trans. Antennas Propag. 2016, 64, 226–230. [Google Scholar] [CrossRef]
- Dussopt, L.; Piazzon, L.; Lesthievent, G.; Ferrari, P. A V-band switched-beam linearly-polarized transmit-array antenna for wireless backhaul applications. IEEE Trans. Antennas Propag. 2019, 67, 5463–5473. [Google Scholar] [CrossRef]
- Yang, Z.Z.; Liang, F.; Zhao, Y.Y.D.; Wang, B.Z. Metasurface-based wideband, low-profile, and high-gain antenna. IET Microw. Antennas Propag. 2019, 13, 436–441. [Google Scholar] [CrossRef]
- Bai, H.; Wang, G.-M.; Wu, T. High-Gain Wideband Metasurface Antenna With Low Profile. IEEE Access 2019, 7, 177266–177273. [Google Scholar] [CrossRef]
- Wang, N.; Talbi, L.; Zeng, Q.; Xu, J. Wideband Fabry-Perot resonator antenna with electrically thin dielectric superstrates. IEEE Access 2018, 6, 14966–14973. [Google Scholar] [CrossRef]
- Liang, J.-J.; Huang, G.-L.; Zhao, J.-N.; Gao, Z.-J.; Yuan, T. Wideband phase-gradient metasurface antenna with focused beams. IEEE Access 2019, 7, 20767–20772. [Google Scholar] [CrossRef]
- Majumder, B.; Kandasamy, K.; Mukherjee, J. Wideband compact directive metasurface enabled pair of slot antennas. Electron. Lett. 2015, 51, 1310–1312. [Google Scholar] [CrossRef]
- Rennings, A.; Otto, S.; Mosig, J.; Caloz, C.; Wolf, I. Extended composite right/left-handed (E-CRLH) metamaterial and its application as quadband quarter-wavelength transmission line. In Proceedings of the 2006 Asia-Pacific Microwave Conference, Yokohama, Japan, 12–15 December 2006. [Google Scholar]
- Jang, G.; Kahng, S. Compact metamaterial zeroth-order resonator bandpass filter for a UHF band and its stopband improvement by transmission zeros. IET Microw. Antennas Propag. 2011, 5, 1175–1181. [Google Scholar] [CrossRef]
- Seo, Y.; Lee, C.; Moon, I.; Ota, K.; Omote, R.; Kahng, S. A Planar Millimeter-Wave Resonator-Array to Sense the Permittivity of COP Film with the 5G Handset Back-Cover. Sensors 2021, 21, 4316. [Google Scholar] [CrossRef] [PubMed]
- Ataloglou, V.G.; Egorov, G.; Kim, J.; Xu, G.; Dorrah, A.H.; Ohadi, A.; Kim, M.; Eleftheriades, G.V. Static and Reconfigurable Huygens’ Metasurfaces. IEEE Antennas Propag. Mag. 2022, 64, 73–84. [Google Scholar] [CrossRef]
- Szymanski, L.; Gok, G.; Grbic, A. Antenna Beamforming With Multiple-Input, Multiplr-Output Metastructures. IEEE Antennas Propag. Mag. 2022, 64, 63–72. [Google Scholar] [CrossRef]













Disclaimer/Publisher’s Note: The statements, opinions and data contained in all publications are solely those of the individual author(s) and contributor(s) and not of MDPI and/or the editor(s). MDPI and/or the editor(s) disclaim responsibility for any injury to people or property resulting from any ideas, methods, instructions or products referred to in the content. |
© 2024 by the authors. Licensee MDPI, Basel, Switzerland. This article is an open access article distributed under the terms and conditions of the Creative Commons Attribution (CC BY) license (https://creativecommons.org/licenses/by/4.0/).
Share and Cite
Seo, S.; Kim, W.; Park, H.; Seo, Y.; Park, D.; Kim, H.; Lee, K.; Lee, H.; Kahng, S. Directivity Improved Antenna with a Planar Dielectric Lens for Reducing the Physical Size of the On-Vehicle Communication System. Sensors 2024, 24, 6831. https://doi.org/10.3390/s24216831
Seo S, Kim W, Park H, Seo Y, Park D, Kim H, Lee K, Lee H, Kahng S. Directivity Improved Antenna with a Planar Dielectric Lens for Reducing the Physical Size of the On-Vehicle Communication System. Sensors. 2024; 24(21):6831. https://doi.org/10.3390/s24216831
Chicago/Turabian StyleSeo, Seongbu, Woogon Kim, Hongsik Park, Yejune Seo, Dohyun Park, Hyoungjong Kim, Kwonhee Lee, Hosub Lee, and Sungtek Kahng. 2024. "Directivity Improved Antenna with a Planar Dielectric Lens for Reducing the Physical Size of the On-Vehicle Communication System" Sensors 24, no. 21: 6831. https://doi.org/10.3390/s24216831
APA StyleSeo, S., Kim, W., Park, H., Seo, Y., Park, D., Kim, H., Lee, K., Lee, H., & Kahng, S. (2024). Directivity Improved Antenna with a Planar Dielectric Lens for Reducing the Physical Size of the On-Vehicle Communication System. Sensors, 24(21), 6831. https://doi.org/10.3390/s24216831
