Sensor-Acquired Reachable Workspace (RWS) Correlates with Activities of Daily Living (ADL) Function in Stroke as Measured by Functional Independence Measure (FIM) Self-Care
Abstract
1. Introduction
2. Materials and Methods
2.1. Overall Study Protocol
2.2. Study Participants
2.3. Outcome Measures
2.3.1. Functional Independence Measure (FIM Self-Care)
2.3.2. NeuroQoL (Upper Extremity Function)
2.3.3. Upper Extremity Reachable Workspace Protocol and Analysis
2.4. Statistical Analysis
3. Results
3.1. Study Participants Demographics
3.2. Reachable Workspace (At Admission, Discharge, and 3 Months Post Stroke)
3.3. Reachable Workspace Measure (RSA) Correlation with FIM Self-Care and NeuroQoL
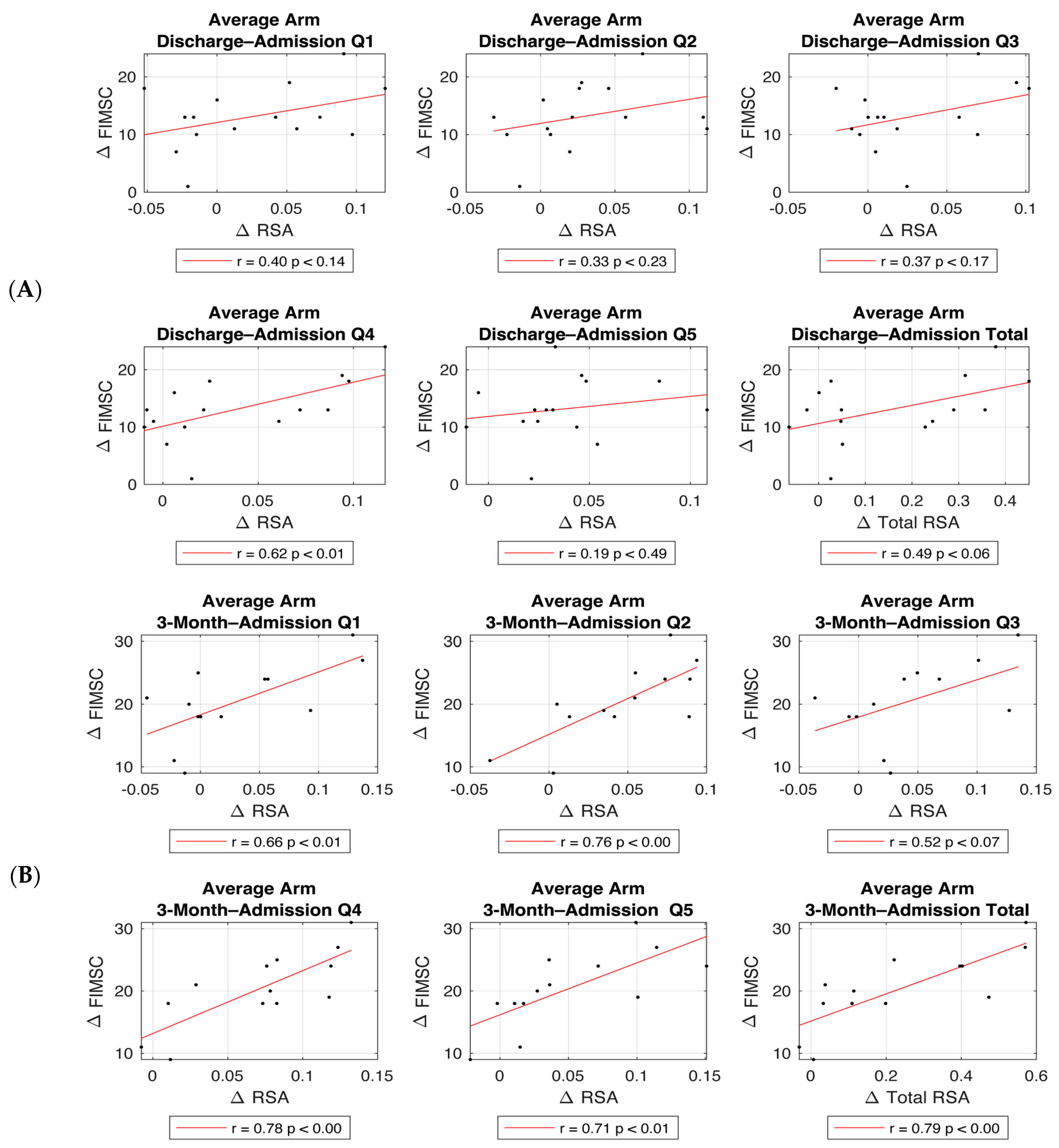
3.4. Regression Analyses Evaluating Longitudinal RSA Change Compared to FIM Self-Care Change
| FIM Self-Care at Admission (n = 17) | RSA Q1 | RSA Q2 | RSA Q3 | RSA Q4 | RSA Q5 | Total RSA Q1–Q5 | ||||||
| ρ | p value | ρ | p value | ρ | p value | ρ | p value | ρ | p value | ρ | p value | |
| Eating | 0.133 | 0.611 | 0.500 | 0.041 * | 0.098 | 0.707 | 0.331 | 0.194 | 0.496 | 0.043 * | 0.304 | 0.236 |
| Grooming | 0.740 | 0.777 | 0.226 | 0.384 | 0.050 | 0.848 | 0.281 | 0.274 | 0.318 | 0.213 | 0.196 | 0.450 |
| Bathing | 0.395 | 0.117 | 0.516 | 0.034 * | 0.645 | 0.005 *† | 0.740 | <0.001 *† | 0.538 | 0.026 * | 0.650 | 0.005 *† |
| UB Dressing | 0.535 | 0.027 * | 0.813 | <0.001 *† | 0.452 | 0.068 | 0.859 | <0.001 *† | 0.858 | <0.001 *† | 0.782 | <0.001 *† |
| LB Dressing | 0.500 | 0.041 * | 0.700 | 0.002 *† | 0.542 | 0.025 | 0.854 | <0.001 *† | 0.611 | 0.009 *† | 0.763 | <0.001 *† |
| Toileting | 0.508 | 0.037 * | 0.716 | 0.001 *† | 0.630 | 0.007 *† | 0.737 | <0.001 *† | 0.678 | 0.003 *† | 0.693 | 0.002 *† |
| r | p value | r | p value | r | p value | r | p value | r | p value | r | p value | |
| Total FIM Self-Care | 0.574 | 0.016 * | 0.833 | <0.001 *† | 0.636 | 0.006 *† | 0.822 | <0.001 *† | 0.821 | <0.001 *† | 0.812 | <0.001 *† |
| Total UE NeuroQoL | 0.245 | 0.343 | 0.468 | 0.058 | 0.276 | 0.284 | 0.235 | 0.363 | 0.360 | 0.156 | 0.342 | 0.180 |
| FIM Self-Care at Discharge (n = 15) | RSA Q1 | RSA Q2 | RSA Q3 | RSA Q4 | RSA Q5 | Total RSA Q1–Q5 | ||||||
| ρ | p value | ρ | p value | ρ | p value | ρ | p value | ρ | p value | ρ | p value | |
| Eating | 0.394 | 0.146 | 0.318 | 0.248 | 0.377 | 0.166 | 0.468 | 0.078 | 0.537 | 0.039 * | 0.485 | 0.067 |
| Grooming | 0.529 | 0.043 * | 0.523 | 0.045 * | 0.512 | 0.051 | 0.668 | 0.006 *† | 0.427 | 0.113 | 0.589 | 0.021 * |
| Bathing | 0.399 | 0.140 | 0.619 | 0.014 *† | 0.253 | 0.364 | 0.382 | 0.160 | 0.211 | 0.449 | 0.393 | 0.147 |
| UB Dressing | 0.585 | 0.022 * | 0.572 | 0.026 * | 0.572 | 0.026 * | 0.659 | 0.008 *† | 0.723 | 0.002 *† | 0.721 | 0.002 *† |
| LB Dressing | 0.601 | 0.018 * | 0.577 | 0.024 * | 0.573 | 0.026 * | 0.700 | 0.004 *† | 0.704 | 0.003 *† | 0.737 | 0.002 *† |
| Toileting | 0.334 | 0.223 | 0.561 | 0.030 * | 0.202 | 0.470 | 0.504 | 0.055 | 0.370 | 0.175 | 0.457 | 0.087 |
| r | p value | r | p value | r | p value | r | p value | r | p value | r | p value | |
| Total FIM Self-Care | 0.595 | 0.019 * | 0.677 | 0.006 *† | 0.379 | 0.164 | 0.576 | 0.025 * | 0.511 | 0.052 | 0.619 | 0.014 *† |
| Total UE NeuroQoL | 0.582 | 0.023 * | 0.820 | <0.001 *† | 0.384 | 0.158 | 0.618 | 0.014 *† | 0.671 | 0.006 *† | 0.690 | 0.004 *† |
| FIM Self-Care at 3-Month (n = 13) | RSA Q1 | RSA Q2 | RSA Q3 | RSA Q4 | RSA Q5 | Total RSA Q1–Q5 | ||||||
| ρ | p value | ρ | p value | ρ | p value | ρ | p value | ρ | p value | ρ | p value | |
| Eating | 0.759 | 0.003 *† | 0.632 | 0.020 * | 0.585 | 0.036 * | 0.774 | 0.002 *† | 0.774 | 0.002 *† | 0.774 | 0.002 *† |
| Grooming | 0.146 | 0.633 | 0.537 | 0.059 | 0.049 | 0.874 | 0.098 | 0.751 | 0.195 | 0.523 | 0.195 | 0.523 |
| Bathing | 0.491 | 0.089 | 0.668 | 0.012 *† | 0.437 | 0.136 | 0.400 | 0.175 | 0.714 | 0.006 *† | 0.641 | 0.018 * |
| UB Dressing | 0.503 | 0.080 | 0.403 | 0.173 | 0.436 | 0.136 | 0.584 | 0.036 * | 0.725 | 0.005 *† | 0.617 | 0.025 * |
| LB Dressing | 0.309 | 0.304 | 0.528 | 0.064 | 0.225 | 0.459 | 0.494 | 0.086 | 0.595 | 0.032 * | 0.427 | 0.146 |
| Toileting | 0.167 | 0.586 | 0.748 | 0.003 *† | 0.060 | 0.847 | 0.373 | 0.210 | 0.382 | 0.198 | 0.340 | 0.256 |
| r | p value | r | p value | r | p value | r | p value | r | p value | r | p value | |
| Total FIM Self-Care | 0.479 | 0.097 | 0.626 | 0.022 * | 0.420 | 0.154 | 0.667 | 0.013 *† | 0.771 | 0.002 *† | 0.661 | 0.014 *† |
| Total UE NeuroQoL | 0.668 | 0.013 *† | 0.562 | 0.046 * | 0.664 | 0.013 *† | 0.867 | <0.001 *† | 0.828 | <0.001 *† | 0.815 | <0.001 *† |
| ∆ FIM Self-Care | ∆RSA Q1 | ∆RSA Q2 | ∆RSA Q3 | ∆RSA Q4 | ∆RSA Q5 | ∆RSA Q1–Q5 | ||||||
| r | p value | r | p value | r | p value | r | p value | r | p value | r | p value | |
| Admission to Discharge | 0.397 | 0.143 | 0.329 | 0.231 | 0.375 | 0.169 | 0.617 | 0.014 *† | 0.195 | 0.486 | 0.492 | 0.063 |
| Admission to 3-Month | 0.663 | 0.013 *† | 0.762 | 0.002 *† | 0.523 | 0.067 | 0.782 | 0.002 *† | 0.714 | 0.006 *† | 0.786 | 0.001 *† |

| ∆RSA from Admission to 3-Month (n = 13) | ∆Eating | ∆Grooming | ∆Bathing | ∆UB Dressing | ∆LB Dressing | ∆Toileting | ∆FIM SelfCare | |||||||
|---|---|---|---|---|---|---|---|---|---|---|---|---|---|---|
| β | p value | β | p value | β | p value | β | p value | β | p value | β | p value | β | p value | |
| ∆Bilateral Q1 | 0.705 | 0.097 | −0.060 | 0.810 | 0.817 | 0.269 | 1.327 | 0.112 | 1.468 | 0.056 | 0.415 | 0.515 | 5.813 | 0.046 * |
| ∆Bilateral Q2 | 0.920 | 0.174 | −0.015 | 0.967 | 1.682 | 0.165 | 1.972 | 0.281 | 1.956 | 0.128 | 0.432 | 0.672 | 12.918 | 0.014 *† |
| ∆Bilateral Q3 | 0.424 | 0.391 | −0.092 | 0.729 | 0.821 | 0.319 | 1.126 | 0.175 | 1.532 | 0.063 | 0.563 | 0.399 | 4.918 | 0.118 |
| ∆Bilateral Q4 | 0.313 | 0.581 | −0.026 | 0.932 | 1.919 | 0.066 | 1.974 | 0.097 | 2.465 | 0.014 *† | 0.823 | 0.384 | 10.305 | 0.010 *† |
| ∆Bilateral Q5 | 0.894 | 0.058 | 0.141 | 0.614 | 1.615 | 0.035 * | 2.077 | 0.007 *† | 1.822 | 0.021 | 0.690 | 0.300 | 7.662 | 0.006 *† |
| ∆Bilateral Q1+3 | 0.306 | 0.194 | −0.040 | 0.764 | 0.436 | 0.277 | 0.650 | 0.129 | 0.796 | 0.050 | 0.258 | 0.442 | 2.854 | 0.066 |
| ∆Bilateral Q2+4 | 0.290 | 0.564 | 0.055 | 0.832 | 0.348 | 0.672 | 0.361 | 0.674 | 0.653 | 0.457 | 0.110 | 0.874 | 2.238 | 0.495 |
| ∆Bilateral Q1+2 | 0.415 | 0.002 *† | −0.066 | 0.473 | 0.321 | 0.247 | 0.321 | 0.235 | 0.345 | 0.221 | 0.040 | 0.856 | 1.486 | 0.147 |
| ∆Bilateral Q3+4+5 | 0.300 | 0.010 *† | 0.017 | 0.829 | 0.413 | 0.046 * | 0.445 | 0.032 * | 0.466 | 0.028 * | 0.158 | 0.371 | 1.908 | 0.012 *† |
| ∆Bilateral Total RSA Q1 to Q5 | 0.169 | 0.147 | −0.004 | 0.954 | 0.328 | 0.099 | 0.497 | 0.031 * | 0.470 | 0.017 * | 0.159 | 0.362 | 2.011 | 0.008 *† |
4. Discussion
5. Conclusions
Author Contributions
Funding
Institutional Review Board Statement
Informed Consent Statement
Data Availability Statement
Conflicts of Interest
List of Abbreviations
| 3D | Three-dimensional |
| ADL | Activities of daily living |
| ClinRO | Clinician-reported outcome |
| FIM | Functional Independence Measure |
| ICC | Intraclass Correlation Coefficient |
| IRB | Institutional Review Board |
| NeuroQoL | Quality of Life in Neurological Disorders |
| NIHSS | National Institutes of Health Stroke Scale |
| PRO | Patient-reported outcome |
| QI | Quality Indicator |
| RWS | Reachable workspace |
| ROM | Range of motion |
| RSA | Relative surface area |
| STROBE | Strengthening the Reporting of Observational Studies in Epidemiology |
References
- Jørgensen, H.S.; Nakayama, H.; Raaschou, H.O.; Olson, T.S. Stroke: Neurologic and functional recovery, the Copenhagen stroke study. Phys. Med. Rehabil. Clin. N. Am. 1999, 10, 887–906. [Google Scholar] [PubMed]
- Nichols-Larsen, D.S.; Clark, P.C.; Zeringue, A.; Greenspan, A.; Blanton, S. Factors influencing stroke survivors’ quality of life during subacute recovery. Stroke 2005, 36, 1480–1484. [Google Scholar] [CrossRef] [PubMed]
- Jette, D.U.; Warren, R.L.; Wirtalla, C. The relation between therapy intensity and outcomes of rehabilitation in skilled nursing facilities. Arch. Phys. Med. Rehabil. 2005, 86, 373–379. [Google Scholar] [CrossRef] [PubMed]
- Keith, R.A.; Granger, C.V.; Hamilton, B.B.; Sherwin, F.S. The functional independence measure: A new tool for rehabilitation. Adv. Clin. Rehabil. 1987, 1, 6–18. [Google Scholar]
- Westby, M.D.; Klemm, A.; Li, L.C.; Jones, C.A. Emerging Role of Quality Indicators in Physical Therapist Practice and Health Service Delivery. Phys. Ther. 2016, 96, 90–100. [Google Scholar] [CrossRef]
- Vaughn, R.M.; Gangwani, R.; Mark, J.I.; Cassidy, J.M. Preliminary Associations Between Quality Indicators, Motor Status, And Self-efficacy in Early Stroke Rehabilitation. Stroke 2022, 53, ATP70. [Google Scholar] [CrossRef]
- Kozlowski, A.J.; Cella, D.; Nitsch, K.P.; Heinemann, A.W. Evaluating Individual Change With the Quality of Life in Neurological Disorders (Neuro-QoL) Short Forms. Arch. Phys. Med. Rehabil. 2016, 97, 650–654. [Google Scholar] [CrossRef]
- Kurillo, G.; Chen, A.; Bajcsy, R.; Han, J.J. Evaluation of upper extremity reachable workspace using Kinect camera. Technol. Health Care 2013, 21, 641–656. [Google Scholar] [CrossRef]
- Han, J.J.; Kurillo, G.; Abresch, R.T.; De Bie, E.; Nicorici, A.; Bajcsy, R. Upper extremity 3-dimensional reachable workspace analysis in dystrophinopathy using Kinect. Muscle Nerve 2015, 52, 344–355. [Google Scholar] [CrossRef]
- Hatch, M.N.; Kurillo, G.; Chan, V.; Han, J.J. Motion sensor-acquired reachable workspace correlates with patient-reported upper extremity activities of daily living (ADL) function in facioscapulohumeral dystrophy. Muscle Nerve 2021, 63, 250–257. [Google Scholar] [CrossRef]
- Chan, V.; Thai, R.; Vartanian, R.; Kim, M.S.; Hatch, M.N.; Koh, J.; Han, J.J. Sensor acquired reachable workspace in the elderly population: A cross-sectional observational study. Medicine 2022, 101, e29575. [Google Scholar] [CrossRef] [PubMed]
- Lee, Y.M.; Lee, S.; Uhm, K.E.; Kurillo, G.; Han, J.J.; Lee, J. Upper Limb Three-Dimensional Reachable Workspace Analysis Using the Kinect Sensor in Hemiplegic Stroke Patients: A Cross-Sectional Observational Study. Am. J. Phys. Med. Rehabil. 2020, 99, 397–403. [Google Scholar] [CrossRef] [PubMed]
- Okuyama, K.; Kawakami, M.; Tsuchimoto, S.; Ogura, M.; Okada, K.; Mizuno, K.; Ushiba, J.; Liu, M. Depth Sensor-Based Assessment of Reachable Work Space for Visualizing and Quantifying Paretic Upper Extremity Motor Function in People with Stroke. Phys. Ther. 2020, 100, 870–879. [Google Scholar] [CrossRef]
- Vandenbroucke, J.P.; von Elm, E.; Altman, D.G.; Gøtzsche, P.C.; Mulrow, C.D.; Pocock, S.J.; Poole, C.; Schlesselman, J.J.; Egger, M. Strobe Initiative. Strengthening the Reporting of Observational Studies in Epidemiology (STROBE): Explanation and elaboration. PLoS Med. 2007, 4, e297. [Google Scholar] [CrossRef] [PubMed]
- Cassidy, J.M.; Cramer, S.C. Spontaneous and Therapeutic-Induced Mechanisms of Functional Recovery After Stroke. Transl. Stroke Res. 2017, 8, 33–46. [Google Scholar] [CrossRef]
- Ottenbacher, K.J.; Hsu, Y.; Granger, C.V.; Fiedler, R.C. The reliability of the functional independence measure: A quantitative review. Arch. Phys. Med. Rehabil. 1996, 77, 1226–1232. [Google Scholar] [CrossRef]
- Gosman-Hedström, G.; Svensson, E. Parallel reliability of the functional independence measure and the Barthel ADL index. Disabil. Rehabil. 2000, 22, 702–715. [Google Scholar]
- Linacre, J.M.; Heinemann, A.W.; Wright, B.D.; Granger, C.V.; Hamilton, B.B. The structure and stability of the Functional Independence Measure. Arch. Phys. Med. Rehabil. 1994, 75, 127–132. [Google Scholar] [CrossRef]
- Cella, D.; Lai, J.S.; Nowinski, C.J.; Victorson, D.; Peterman, A.; Miller, D.; Bethoux, F.; Heinemann, A.; Rubin, S.; Cavazos, J.E.; et al. Neuro-QOL: Brief measures of health-related quality of life for clinical research in neurology. Neurology 2012, 78, 1860–1867. [Google Scholar] [CrossRef]
- Kozlowski, A.J.; Singh, R.; Victorson, D.; Miskovic, A.; Lai, J.S.; Harvey, R.L.; Cella, D.; Heinemann, A.W. Agreement Between Responses From Community-Dwelling Persons With Stroke and Their Proxies on the NIH Neurological Quality of Life (Neuro-QoL) Short Forms. Arch. Phys. Med. Rehabil. 2015, 96, 1986–1992.e14. [Google Scholar]
- Sangha, R.S.; Caprio, F.Z.; Askew, R.; Corado, C.; Bernstein, R.; Curran, Y.; Ruff, I.; Cella, D.; Naidech, A.M.; Prabhakaran, S. Quality of life in patients with TIA and minor ischemic stroke. Neurology 2015, 85, 1957–1963. [Google Scholar] [CrossRef] [PubMed]
- Benjamini, Y.; Hochberg, Y. Controlling the False Discovery Rate: A Practical and Powerful Approach to Multiple Testing. J. R. Stat. Soc. Ser. B Methodol. 1995, 57, 289–300. [Google Scholar] [CrossRef]
- Safaee-Rad, R.; Shwedyk, E.; Quanbury, A.O.; Cooper, J.E. Normal functional range of motion of upper limb joints during performance of three feeding activities. Arch. Phys. Med. Rehabil. 1990, 71, 505–509. [Google Scholar] [PubMed]
- Norkin, C.; White, D. Measurement of Joint Motion: A Guide to Goniometry, 4th ed.; F.A. Davis Company: Philadelphia, PA, USA, 2009; pp. 85–88. [Google Scholar]



| Admission (n = 17) | Discharge (n = 15) | 3-Month Follow-Up (n = 13) | |
| Age, yrs. (mean ± SD) | 62.76 ± 12.46 | 62.60 ± 12.96 | 65.23 ± 11.68 |
| Age range, yrs. (min, max) | 41, 84 | 41, 84 | 45, 84 |
| Sex (n, %) | 7 (41.2%) male | 6 (40%) male | 6 (46.2%) male |
| 10 (58.8%) female | 9 (60%) female | 7 (53.8%) female | |
| Initial NIHSS, mean (min, max) | 9 (2, 20) * | ||
| Self-care FIM (mean ± SD) | 17.71 ± 5.57 | 30.53 ± 7.03 | 37.15 ± 5.72 |
| NeuroQoL (mean ± SD) | 69.06 ± 16.32 | 76.73 ± 14.45 | 82.15 ± 14.91 |
| LOS rehabilitation (mean ± SD) | 18.87 ± 12.06 | ||
| Type of stroke, n Ischemic | 13 | 12 | 10 |
| Hemorrhagic | 4 | 3 | 3 |
| Hemiplegic side, n | |||
| Right | 7 | 6 | 5 |
| Left | 10 | 9 | 8 |
| (A) | |||
| Affected Side RSA | Admission (n = 17) | Discharge (n = 15) | 3 Month Follow-Up (n = 13) |
| (Mean ± SD) | (Mean ± SD) | (Mean ± SD) | |
| Quadrant 1 | 0.072 ± 0.090 | 0.116 ± 0.075 | 0.139 ± 0.073 |
| Quadrant 2 | 0.063 ± 0.059 | 0.099 ± 0.055 | 0.131 ± 0.036 |
| Quadrant 3 | 0.080 ± 0.100 | 0.130 ± 0.094 | 0.160 ± 0.089 |
| Quadrant 4 | 0.094 ± 0.102 | 0.158 ± 0.088 | 0.205 ± 0.036 |
| Quadrant 5 | 0.035 ± 0.059 | 0.059 ± 0.060 | 0.078 ± 0.060 |
| Total (Q1–Q5) | 0.345 ± 0.384 | 0.562 ± 0.343 | 0.714 ± 0.275 |
| (B) | |||
| Unaffected Side RSA | Admission (n = 17) | Discharge (n = 15) | 3 Month Follow-Up (n = 13) |
| (Mean ± SD) | (Mean ± SD) | (Mean ± SD) | |
| Quadrant 1 | 0.207 ± 0.032 | 0.211 ± 0.033 | 0.207 ± 0.026 |
| Quadrant 2 | 0.117 ± 0.037 | 0.135 ± 0.030 | 0.134 ± 0.042 |
| Quadrant 3 | 0.225 ± 0.029 | 0.231 ± 0.027 | 0.229 ± 0.023 |
| Quadrant 4 | 0.206 ± 0.024 | 0.217 ± 0.017 | 0.229 ± 0.011 |
| Quadrant 5 | 0.087 ± 0.053 | 0.126 ± 0.039 | 0.131 ± 0.049 |
| Total (Q1–Q5) | 0.842 ± 0.124 | 0.920 ± 0.096 | 0.931 ± 0.103 |
Disclaimer/Publisher’s Note: The statements, opinions and data contained in all publications are solely those of the individual author(s) and contributor(s) and not of MDPI and/or the editor(s). MDPI and/or the editor(s) disclaim responsibility for any injury to people or property resulting from any ideas, methods, instructions or products referred to in the content. |
© 2024 by the authors. Licensee MDPI, Basel, Switzerland. This article is an open access article distributed under the terms and conditions of the Creative Commons Attribution (CC BY) license (https://creativecommons.org/licenses/by/4.0/).
Share and Cite
Chan, V.; Lee, S.A.; Lee, J.M.; Han, J.J. Sensor-Acquired Reachable Workspace (RWS) Correlates with Activities of Daily Living (ADL) Function in Stroke as Measured by Functional Independence Measure (FIM) Self-Care. Sensors 2024, 24, 6786. https://doi.org/10.3390/s24216786
Chan V, Lee SA, Lee JM, Han JJ. Sensor-Acquired Reachable Workspace (RWS) Correlates with Activities of Daily Living (ADL) Function in Stroke as Measured by Functional Independence Measure (FIM) Self-Care. Sensors. 2024; 24(21):6786. https://doi.org/10.3390/s24216786
Chicago/Turabian StyleChan, Vicky, Seungcheol Austin Lee, Jaylen M. Lee, and Jay J. Han. 2024. "Sensor-Acquired Reachable Workspace (RWS) Correlates with Activities of Daily Living (ADL) Function in Stroke as Measured by Functional Independence Measure (FIM) Self-Care" Sensors 24, no. 21: 6786. https://doi.org/10.3390/s24216786
APA StyleChan, V., Lee, S. A., Lee, J. M., & Han, J. J. (2024). Sensor-Acquired Reachable Workspace (RWS) Correlates with Activities of Daily Living (ADL) Function in Stroke as Measured by Functional Independence Measure (FIM) Self-Care. Sensors, 24(21), 6786. https://doi.org/10.3390/s24216786

