A Method for Compensating Hemoglobin Interference in Total Serum Bilirubin Measurement Using a Simple Two-Wavelength Reflectance Photometer
Abstract
1. Introduction
2. Materials and Methods
2.1. The Measuring Setup
2.2. Test Samples
2.3. Hemoglobin Interference Compensation Algorithm
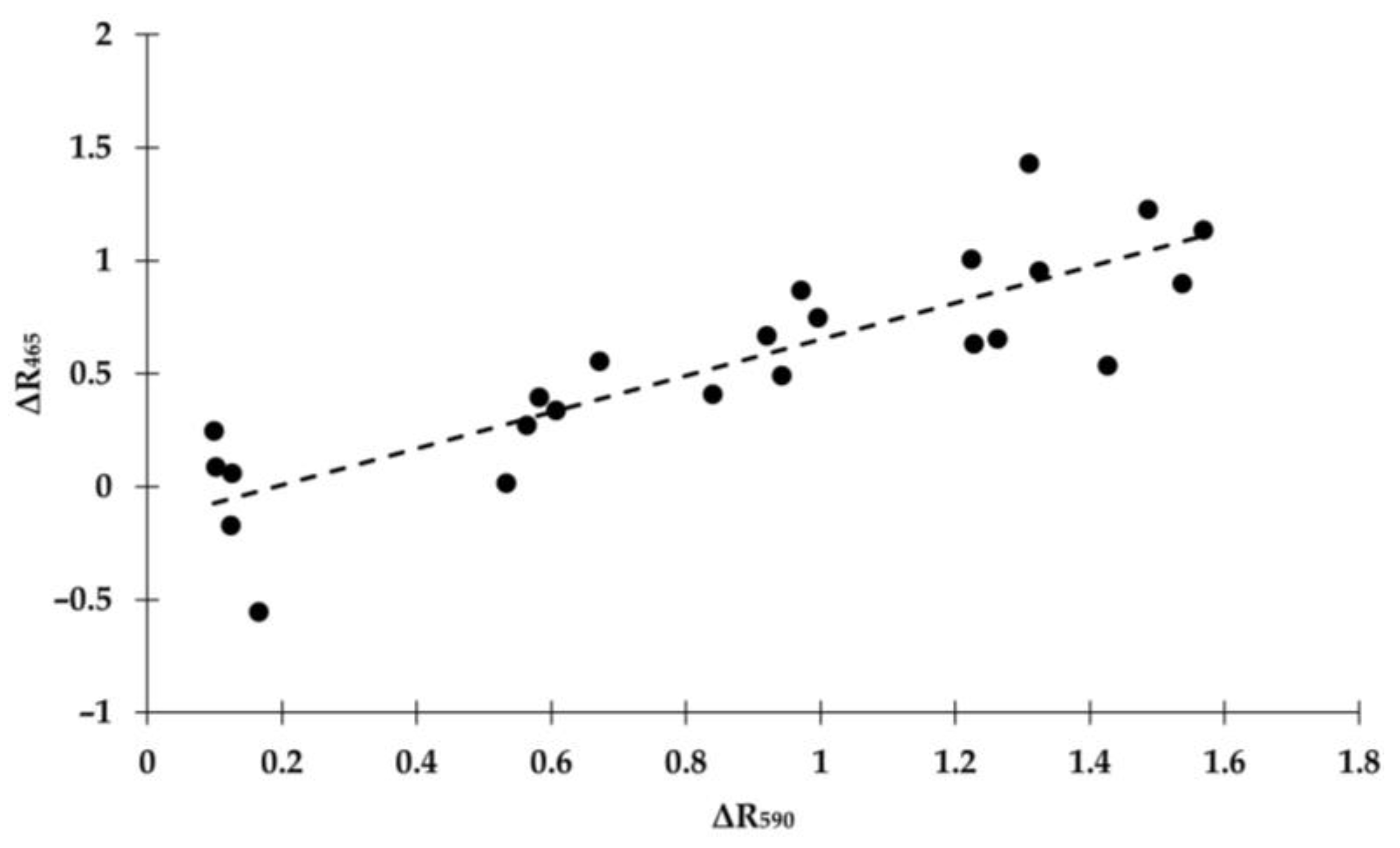
3. Results
4. Discussion
5. Conclusions
Author Contributions
Funding
Institutional Review Board Statement
Informed Consent Statement
Data Availability Statement
Conflicts of Interest
References
- Fevery, J. Bilirubin in Clinical Practice: A Review: Bilirubin in Clinical Practice. Liver Int. 2008, 28, 592–605. [Google Scholar] [CrossRef] [PubMed]
- Olusanya, B.O.; Kaplan, M.; Hansen, T.W.R. Neonatal Hyperbilirubinaemia: A Global Perspective. Lancet Child Adolesc. Health 2018, 2, 610–620. [Google Scholar] [CrossRef] [PubMed]
- Greco, C.; Arnolda, G.; Boo, N.-Y.; Iskander, I.F.; Okolo, A.A.; Rohsiswatmo, R.; Shapiro, S.M.; Watchko, J.; Wennberg, R.P.; Tiribelli, C.; et al. Neonatal Jaundice in Low- and Middle-Income Countries: Lessons and Future Directions from the 2015 Don Ostrow Trieste Yellow Retreat. Neonatology 2016, 110, 172–180. [Google Scholar] [CrossRef] [PubMed]
- Mitra, S.; Rennie, J. Neonatal Jaundice: Aetiology, Diagnosis and Treatment. Br. J. Hosp. Med. 2017, 78, 699–704. [Google Scholar] [CrossRef] [PubMed]
- Zhang, M.; Tang, J.; He, Y.; Li, W.; Chen, Z.; Xiong, T.; Qu, Y.; Li, Y.; Mu, D. Systematic Review of Global Clinical Practice Guidelines for Neonatal Hyperbilirubinemia. BMJ Open 2021, 11, e040182. [Google Scholar] [CrossRef]
- Olusanya, B.O.; Osibanjo, F.B.; Slusher, T.M. Risk Factors for Severe Neonatal Hyperbilirubinemia in Low and Middle-Income Countries: A Systematic Review and Meta-Analysis. PLoS ONE 2015, 10, e0117229. [Google Scholar] [CrossRef]
- Bhutani, V.K.; Zipursky, A.; Blencowe, H.; Khanna, R.; Sgro, M.; Ebbesen, F.; Bell, J.; Mori, R.; Slusher, T.M.; Fahmy, N.; et al. Neonatal Hyperbilirubinemia and Rhesus Disease of the Newborn: Incidence and Impairment Estimates for 2010 at Regional and Global Levels. Pediatr. Res. 2013, 74, 86–100. [Google Scholar] [CrossRef]
- Naghavi, M.; Wang, H.; Lozano, R.; Davis, A.; Liang, X.; Zhou, M.; Vollset, S.E.; Abbasoglu Ozgoren, A.; Abdalla, S.; Abd-Allah, F.; et al. Global, Regional, and National Age–Sex Specific All-Cause and Cause-Specific Mortality for 240 Causes of Death, 1990–2013: A Systematic Analysis for the Global Burden of Disease Study 2013. Lancet 2015, 385, 117–171. [Google Scholar] [CrossRef]
- Adam, C.G.; Ethan, M.T.; Hendrik, J.V.; Tina, M.S. Neonatal Hyperbilirubinemia in Low-Income African Countries. Int. J. Pediatr. Res. 2021, 7. [Google Scholar] [CrossRef]
- Slusher, T.M.; Zamora, T.G.; Appiah, D.; Stanke, J.U.; Strand, M.A.; Lee, B.W.; Richardson, S.B.; Keating, E.M.; Siddappa, A.M.; Olusanya, B.O. Burden of Severe Neonatal Jaundice: A Systematic Review and Meta-Analysis. BMJ Paediatr. Open 2017, 1, e000105. [Google Scholar] [CrossRef]
- Satrom, K.M.; Farouk, Z.L.; Slusher, T.M. Management Challenges in the Treatment of Severe Hyperbilirubinemia in Low- and Middle-Income Countries: Encouraging Advancements, Remaining Gaps, and Future Opportunities. Front. Pediatr. 2023, 11, 1001141. [Google Scholar] [CrossRef]
- Olusanya, B.O.; Ogunlesi, T.A.; Slusher, T.M. Why Is Kernicterus Still a Major Cause of Death and Disability in Low-Income and Middle-Income Countries? Arch. Dis. Child. 2014, 99, 1117–1121. [Google Scholar] [CrossRef] [PubMed]
- Iskander, I.; Gamaleldin, R.; Kabbani, M. Root Causes for Late Presentation of Severe Neonatal Hyperbilirubinaemia in Egypt. East. Mediterr. Health J. 2012, 18, 882–887. [Google Scholar] [CrossRef] [PubMed]
- Iskander, I.; Gamaleldin, R. Acute Bilirubin Encephalopathy: Some Lessons Learned. Semin. Perinatol. 2021, 45, 151353. [Google Scholar] [CrossRef] [PubMed]
- Erdeve, O. Management of Neonatal Jaundice in Low-Income and Middle-Income Countries. BMJ Paediatr. Open 2020, 4, e000845. [Google Scholar] [CrossRef]
- Bhutani, V.K.; Johnson, L.; Sivieri, E.M. Predictive Ability of a Predischarge Hour-Specific Serum Bilirubin for Subsequent Significant Hyperbilirubinemia in Healthy Term and Near-Term Newborns. Pediatrics 1999, 103, 6–14. [Google Scholar] [CrossRef]
- Subcommittee on Hyperbilirubinemia. Management of Hyperbilirubinemia in the Newborn Infant 35 or More Weeks of Gestation. Pediatrics 2004, 114, 297–316. [Google Scholar] [CrossRef]
- Sgro, M.; Kandasamy, S.; Shah, V.; Ofner, M.; Campbell, D. Severe Neonatal Hyperbilirubinemia Decreased after the 2007 Canadian Guidelines. J. Pediatr. 2016, 171, 43–47. [Google Scholar] [CrossRef]
- Kemper, A.R.; Newman, T.B.; Slaughter, J.L.; Maisels, M.J.; Watchko, J.F.; Downs, S.M.; Grout, R.W.; Bundy, D.G.; Stark, A.R.; Bogen, D.L.; et al. Clinical Practice Guideline Revision: Management of Hyperbilirubinemia in the Newborn Infant 35 or More Weeks of Gestation. Pediatrics 2022, 150, e2022058859. [Google Scholar] [CrossRef]
- Pace, E.J.; Brown, C.M.; DeGeorge, K.C. Neonatal Hyperbilirubinemia: An Evidence-Based Approach. J. Fam Pract. 2019, 68, E4–E11. [Google Scholar]
- Rennie, J.; Burman-Roy, S.; Murphy, M.S. Neonatal Jaundice: Summary of NICE Guidance. BMJ 2010, 34, c2409. [Google Scholar] [CrossRef] [PubMed]
- Amos, R.C.; Jacob, H.; Leith, W. Jaundice in Newborn Babies under 28 Days: NICE Guideline 2016 (CG98). Arch. Dis. Child.-Educ. Pract. 2017, 102, 207–209. [Google Scholar] [CrossRef] [PubMed]
- Bhardwaj, U.; Kohli, V.; Thukral, A. Management of Hyperbilirubinemia in Newborn Infants 35 or More Weeks of Gestation: American Academy of Pediatrics, 2022. Indian Pediatr. 2023, 60, 63–66. [Google Scholar] [CrossRef] [PubMed]
- El-Beshbishi, S.N.; Shattuck, K.E.; Mohammad, A.A.; Petersen, J.R. Hyperbilirubinemia and Transcutaneous Bilirubinometry. Clin. Chem. 2009, 55, 1280–1287. [Google Scholar] [CrossRef] [PubMed]
- De Luca, D.; Jackson, G.L.; Tridente, A.; Carnielli, V.P.; Engle, W.D. Transcutaneous Bilirubin Nomograms: A Systematic Review of Population Differences and Analysis of Bilirubin Kinetics. Arch. Pediatr. Adolesc. Med. 2009, 163, 1054–1059. [Google Scholar] [CrossRef]
- Thaler, M.; Luppa, P.B.; Schlebusch, H. Bilirubin Measurement—An Updated Survey1. LaboratoriumsMedizin 2008, 32. [Google Scholar] [CrossRef]
- Rolinski, B.; Okorodudu, A.O.; Kost, G.; Roser, M.; Wu, J.; Goerlach-Graw, A.; Kuester, H. Evaluation of Total Bilirubin Determination in Neonatal Whole-Blood Samples by Multiwavelength Photometry on the Roche OMNI S Point-of-Care Analyzer. Point Care 2005, 4, 3. [Google Scholar] [CrossRef]
- Pierre Ndabakuranye, J.; Li, S.; Burchall, G.; Fox, K.; Piva, T.; Xu, Z.; Kavehei, O.; Prawer, S.; Ahnood, A. 70 Years of Bilirubin Sensing: Towards the Point-of-Care Bilirubin Monitoring in Cirrhosis and Hyperbilirubinemia. Sens. Diagn. 2022, 1, 932–954. [Google Scholar] [CrossRef]
- Meites, S.; Hogg, C.K. Direct Spectrophotometry of Total Serum Bilirubin in the Newborn. Clin. Chem. 1960, 6, 421–428. [Google Scholar] [CrossRef]
- Kudavelly, S.; Keswarpu, P.; Balakrishnan, S. A Simple and Accurate Method for Estimating Bilirubin from Blood. In Proceedings of the 2011 IEEE International Instrumentation and Measurement Technology Conference, Hangzhou, China, 10–12 May 2011; pp. 1–4. [Google Scholar] [CrossRef]
- Garber, C.C. Jendrassik—Grof Analysis for Total and Direct Bilirubin in Serum with a Centrifugal Analyzer. Clin. Chem. 1981, 27, 1410–1416. [Google Scholar] [CrossRef]
- Kazmierczak, S.C. Interferences of Hemolysis, Lipemia and High Bilirubin on Laboratory Tests. In Accurate Results in the Clinical Laboratory; Elsevier: Amsterdam, The Netherlands, 2019; pp. 57–67. [Google Scholar] [CrossRef]
- Kazmierczak, S.C.; Robertson, A.F.; Catrou, P.G.; Briley, K.P.; Kreamer, B.L.; Gourley, G.R. Direct Spectrophotometric Method for Measurement of Bilirubin in Newborns: Comparison with HPLC and an Automated Diazo Method. Clin. Chem. 2002, 48, 1096–1097. [Google Scholar] [CrossRef] [PubMed]
- Colombo, G.; Szoke, D.; Aloisio, E.; Cavigioli, F.; Dolci, A.; Panteghini, M. Clinicians at Crossroads for a Dangerous Interference in Neonatal Bilirubin Determination at the Point-of-Care. Clin. Chem. 2022, 68, 887–891. [Google Scholar] [CrossRef] [PubMed]
- Algeciras-Schimnich, A.; Cook, W.J.; Milz, T.C.; Saenger, A.K.; Karon, B.S. Evaluation of Hemoglobin Interference in Capillary Heel-Stick Samples Collected for Determination of Neonatal Bilirubin. Clin. Biochem. 2007, 40, 1311–1316. [Google Scholar] [CrossRef] [PubMed]
- Jiang, J.; Gong, Q.; Zou, D.; Xu, K. Influence of Hemoglobin on Non-Invasive Optical Bilirubin Sensing. Prog. Biomed. Opt. Imaging-Proc. SPIE 2012, 8222, 19. [Google Scholar] [CrossRef]
- de Alarcón, P.A.; Werner, E.J.; Christensen, R.D.; Sola-Visner, M.C. Neonatal Hematology: Pathogenesis, Diagnosis, and Management of Hematologic Problems; Cambridge University Press: Cambridge, UK, 2021. [Google Scholar]
- Christensen, R.D.; Nussenzveig, R.H.; Yaish, H.M.; Henry, E.; Eggert, L.D.; Agarwal, A.M. Causes of Hemolysis in Neonates with Extreme Hyperbilirubinemia. J. Perinatol. 2014, 34, 616–619. [Google Scholar] [CrossRef]
- Heireman, L.; Van Geel, P.; Musger, L.; Heylen, E.; Uyttenbroeck, W.; Mahieu, B. Causes, Consequences and Management of Sample Hemolysis in the Clinical Laboratory. Clin. Biochem. 2017, 50, 1317–1322. [Google Scholar] [CrossRef]
- O’Hara, M.; Wheatley, E.G.; Kazmierczak, S.C. The Impact of Undetected In Vitro Hemolysis or Sample Contamination on Patient Care and Outcomes in Point-of-Care Testing: A Retrospective Study. J. Appl. Lab. Med. 2020, 5, 332–341. [Google Scholar] [CrossRef]
- Simundic, A.-M.; Baird, G.; Cadamuro, J.; Costelloe, S.J.; Lippi, G. Managing Hemolyzed Samples in Clinical Laboratories. Crit. Rev. Clin. Lab. Sci. 2020, 57, 1–21. [Google Scholar] [CrossRef]
- Tian, G.; Wu, Y.; Jin, X.; Zeng, Z.; Gu, X.; Li, T.; Chen, X.; Li, G.; Liu, J. The Incidence Rate and Influence Factors of Hemolysis, Lipemia, Icterus in Fasting Serum Biochemistry Specimens. PLoS ONE 2022, 17, e0262748. [Google Scholar] [CrossRef]
- Hallemann, H.; Putz, K.; Schweiger, G.; Spitzer, S.; Strohmeier, M. Technical Aspects of Bilirubin Determination in Whole Blood. Point Care J. Near-Patient Test. Technol. 2005, 4, 9–10. [Google Scholar] [CrossRef]
- Westwood, A. The Analysis of Bilirubin in Serum. Ann. Clin. Biochem. 1991, 28, 119–130. [Google Scholar] [CrossRef] [PubMed]
- Murray, L.P.; Mace, C.R. Usability as a Guiding Principle for the Design of Paper-Based, Point-of-Care Devices—A Review. Anal. Chim. Acta 2020, 1140, 236–249. [Google Scholar] [CrossRef] [PubMed]
- Smith, S.; Land, K.; Joubert, T.-H. Emerging Technology Solutions Towards REASSURED Point-of-Need Diagnostics. In Proceedings of the 2021 IEEE 21st International Conference on Nanotechnology (NANO), Montreal, QC, Canada, 28–30 July 2021; pp. 265–268. [Google Scholar] [CrossRef]
- Howard, M. A Market for Diagnostic Devices for Extreme Point-of-Care Testing: Are We ASSURED of an Ethical Outcome? Dev. World Bioeth. 2024, 24, 84–96. [Google Scholar] [CrossRef] [PubMed]
- Lee, K.-S.; Gartner, L.M. Spectrophotometric Characteristics of Bilirubin. Pediatr. Res. 1976, 10, 782–788. [Google Scholar] [CrossRef] [PubMed]
- Zucchini, L.; Ajčević, M.; Accardo, A. A Novel Algorithm for the Compensation of Hemoglobin Interference on Bilirubin Measurement Applied to a Two-Wavelengths Reflectance Photometer. In 19th Nordic-Baltic Conference on Biomedical Engineering and Medical Physics; Dekhtyar, Y., Saknite, I., Eds.; IFMBE Proceedings; Springer Nature: Cham, Switzerland, 2023; pp. 18–24. [Google Scholar] [CrossRef]
- Zucchini, L.; Zabetta, C.D.C.; Ajčević, M.; Accardo, A. Optimization of an Algorithm for Hemoglobin Interference Compensation on a Simple Photometer for Bilirubin Measurement. In Proceedings of the 2024 IEEE International Symposium on Medical Measurements and Applications (MeMeA), Eindhoven, The Netherlands, 26–28 June 2024; pp. 1–6. [Google Scholar] [CrossRef]
- Keahey, P.A.; Simeral, M.L.; Schroder, K.J.; Bond, M.M.; Mtenthaonnga, P.J.; Miros, R.H.; Dube, Q.; Richards-Kortum, R.R. Point-of-Care Device to Diagnose and Monitor Neonatal Jaundice in Low-Resource Settings. Proc. Natl. Acad. Sci. USA 2017, 114, E10965–E10971. [Google Scholar] [CrossRef]
- Tan, W.; Zhang, L.; Doery, J.C.G.; Shen, W. Study of Paper-Based Assaying System for Diagnosis of Total Serum Bilirubin by Colorimetric Diazotization Method. Sens. Actuators B Chem. 2020, 305, 127448. [Google Scholar] [CrossRef]




| Sample # | Bilirubin Concentration [mg/dL] | Hemoglobin Concentration [g/dL] |
|---|---|---|
| B1H1–B1H5 | 4.96 | 0.06, 0.29, 0.50, 0.75, 0.99 |
| B2H1–B2H5 | 9.67 | 0.06, 0.29, 0.50, 0.75, 0.99 |
| B3H1–B3H5 | 14.47 | 0.06, 0.29, 0.50, 0.75, 0.99 |
| B4H1–B4H5 | 19.33 | 0.06, 0.29, 0.50, 0.75, 0.99 |
| B5H1–B5H5 | 28.00 | 0.06, 0.29, 0.50, 0.75, 0.99 |
| Bilirubin Concentration [mg/dL] | Non-Compensated Bilirubin Measurement [mg/dL] | RMSE [mg/dL] |
|---|---|---|
| 4.96 | 7.52 ± 2.92 | 3.12 |
| 9.67 | 13.09 ± 2.81 | 2.63 |
| 14.47 | 20.07 ± 3.22 | 4.43 |
| 19.33 | 24.27 ± 2.99 | 5.77 |
| 28.00 | 34.27 ± 2.44 | 6.73 |
| Bilirubin Concentration [mg/dL] | Compensated Bilirubin Measurement [mg/dL] | RMSE [mg/dL] |
|---|---|---|
| 4.96 | 5.04 ± 0.95 | 0.95 |
| 9.67 | 9.98 ± 0.50 | 0.59 |
| 14.47 | 15.08 ± 0.35 | 0.70 |
| 19.33 | 18.92 ± 1.26 | 1.33 |
| 28.00 | 26.97 ± 3.17 | 3.33 |
Disclaimer/Publisher’s Note: The statements, opinions and data contained in all publications are solely those of the individual author(s) and contributor(s) and not of MDPI and/or the editor(s). MDPI and/or the editor(s) disclaim responsibility for any injury to people or property resulting from any ideas, methods, instructions or products referred to in the content. |
© 2024 by the authors. Licensee MDPI, Basel, Switzerland. This article is an open access article distributed under the terms and conditions of the Creative Commons Attribution (CC BY) license (https://creativecommons.org/licenses/by/4.0/).
Share and Cite
Zucchini, L.; Coda Zabetta, C.D.; Ajčević, M.; Accardo, A. A Method for Compensating Hemoglobin Interference in Total Serum Bilirubin Measurement Using a Simple Two-Wavelength Reflectance Photometer. Sensors 2024, 24, 6749. https://doi.org/10.3390/s24206749
Zucchini L, Coda Zabetta CD, Ajčević M, Accardo A. A Method for Compensating Hemoglobin Interference in Total Serum Bilirubin Measurement Using a Simple Two-Wavelength Reflectance Photometer. Sensors. 2024; 24(20):6749. https://doi.org/10.3390/s24206749
Chicago/Turabian StyleZucchini, Lorenzo, Carlos Daniel Coda Zabetta, Miloš Ajčević, and Agostino Accardo. 2024. "A Method for Compensating Hemoglobin Interference in Total Serum Bilirubin Measurement Using a Simple Two-Wavelength Reflectance Photometer" Sensors 24, no. 20: 6749. https://doi.org/10.3390/s24206749
APA StyleZucchini, L., Coda Zabetta, C. D., Ajčević, M., & Accardo, A. (2024). A Method for Compensating Hemoglobin Interference in Total Serum Bilirubin Measurement Using a Simple Two-Wavelength Reflectance Photometer. Sensors, 24(20), 6749. https://doi.org/10.3390/s24206749

