Sound Sensing: Generative and Discriminant Model-Based Approaches to Bolt Loosening Detection
Abstract
1. Introduction
2. Methodology
2.1. Audio Signal Preprocessing
2.1.1. Denoising
2.1.2. Segmenting
2.1.3. Smooth Filtering
2.2. Cumulative Energy Entropy and MFCCs
2.2.1. Cumulative Energy Entropy
2.2.2. Mel Frequency Cepstrum Coefficients
2.3. Machine Learning Techniques: GDA and SVM
2.3.1. Gaussian Discriminant Analysis
2.3.2. Support Vector Machine
3. The Proposed Sound Sensing Method for Bolt Loosening Detection Using GDA and SVM
4. Experimental Apparatus and Procedures
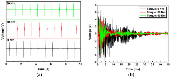
5. Experimental Research
6. Conclusions and Discussion
- (1)
- Specific preprocessing procedures for audio signals are presented in the paper including denoising, segmenting and smooth filtering. This method enhances the performance of the percussion-based method and can provide standard audio templates for follow-up studies.
- (2)
- The concepts of CEE and CEEM are proposed for the first time; they can be viewed as a kind of modified signal energy index to reflect signal characteristics in the time domain. The feature vectors of CEE and CEEM in the time domain and the feature vectors of MFCCs in the frequency domain are recommended for the extraction of bolt loosening indices. Furthermore, a novel feature selection method based on IGR is introduced in this paper.
- (3)
- Through the combination of two different supervised learning algorithms, i.e., GDA and SVM, three different torque levels of the bolt were successfully identified and experimental testing results validated the effectiveness and reliability of the proposed method.
Author Contributions
Funding
Institutional Review Board Statement
Informed Consent Statement
Data Availability Statement
Acknowledgments
Conflicts of Interest
References
- Zhang, Z.; Liu, M.; Su, Z.; Xiao, Y. Quantitative evaluation of residual torque of a loose bolt based on wave energy dissipation and vibroacoustic modulation: A comparative study. J. Sound Vibr. 2016, 383, 156–170. [Google Scholar] [CrossRef]
- Nichols, J.M.; Trickey, S.T.; Seaver, M.; Motley, S.R. Using roc curves to assess the efficacy of several detectors of damage-induced nonlinearities in a bolted composite structure. Mech. Syst. Signal Proc. 2008, 22, 1610–1622. [Google Scholar] [CrossRef]
- Lacayo, R.; Pesaresi, L.; Groß, J.; Fochler, D.; Armand, J.; Salles, L.; Schwingshackl, C.; Allen, M.; Brake, M. Nonlinear modeling of structures with bolted joints: A comparison of two approaches based on a time-domain and frequency-domain solver. Mech. Syst. Signal Proc. 2019, 114, 413–438. [Google Scholar] [CrossRef]
- Nikravesh, S.M.Y.; Goudarzi, M. A review paper on looseness detection methods in bolted structures. Lat. Am. J. Solids Struct. 2017, 14, 2153–2176. [Google Scholar] [CrossRef]
- Wang, T.; Song, G.; Liu, S.; Li, Y.; Xiao, H. Review of bolted connection monitoring. Int. J. Distrib. Sens. Netw. 2013, 9, 871213. [Google Scholar] [CrossRef]
- Todd, M.D.; Nichols, J.M.; Nichols, C.J.; Virgin, L.N. An assessment of modal property effectiveness in detecting bolted joint degradation: Theory and experiment. J. Sound Vibr. 2004, 275, 1113–1126. [Google Scholar] [CrossRef]
- Huda, F.; Kajiwara, I.; Hosoya, N.; Kawamura, S. Bolt loosening analysis and diagnosis by non-contact laser excitation vibration tests. Mech. Syst. Signal Proc. 2013, 40, 589–604. [Google Scholar] [CrossRef]
- Wang, F.; Ho, S.C.M.; Huo, L.; Song, G. A novel fractal contact-electromechanical impedance model for quantitative monitoring of bolted joint looseness. IEEE Access 2018, 6, 40212–40220. [Google Scholar] [CrossRef]
- Ramana, L.; Choi, W.; Cha, Y.-J. Fully automated vision-based loosened bolt detection using the viola-jones algorithm. Struct. Health Monit. 2019, 18, 422–434. [Google Scholar] [CrossRef]
- Wang, C.; Wang, N.; Ho, M.; Chen, X.; Song, G. Design of a new vision-based method for the bolts looseness detection in flange connections. IEEE Trans. Ind. Electron. 2020, 67, 1366–1375. [Google Scholar] [CrossRef]
- Jing, X.; Wang, C.; Li, H.; Zhang, C.; Hao, J.; Fan, S. Health monitoring of bolted spherical joint connection based on active sensing technique using piezoceramic transducers. Sensors 2018, 18, 1727. [Google Scholar] [CrossRef] [PubMed]
- Parvasi, S.M.; Ho, S.C.M.; Kong, Q.; Mousavi, R.; Song, G. Real time bolt preload monitoring using piezoceramic transducers and time reversal technique—A numerical study with experimental verification. Smart Mater. Struct. 2016, 25, 085015. [Google Scholar] [CrossRef]
- Amerini, F.; Meo, M. Structural health monitoring of bolted joints using linear and nonlinear acoustic/ultrasound methods. Struct. Health Monit. 2011, 10, 659–672. [Google Scholar] [CrossRef]
- Yuan, R.; Lv, Y.; Kong, Q.; Song, G. Percussion-based bolt looseness monitoring using intrinsic multiscale entropy analysis and bp neural network. Smart Mater. Struct. 2019, 28, 125001. [Google Scholar] [CrossRef]
- Hu, Z.; Xiang, Z.; Lu, Q. Passive tap-scan damage detection method for beam structures. Struct. Control Health Monit. 2020, 27, e2510. [Google Scholar] [CrossRef]
- Xu, C.; Huang, C.; Zhu, W. Bolt loosening detection in a jointed beam using empirical mode decomposition–based nonlinear system identification method. Int. J. Distrib. Sens. Netw. 2019, 15, 155014771987565. [Google Scholar] [CrossRef]
- Fierro, G.P.M.; Meo, M. Structural health monitoring of the loosening in a multi-bolt structure using linear and modulated nonlinear ultrasound acoustic moments approach. Struct. Health Monit. 2018, 17, 1349–1364. [Google Scholar] [CrossRef]
- Tao, W.; Shaopeng, L.; Junhua, S.; Yourong, L. Health monitoring of bolted joints using the time reversal method and piezoelectric transducers. Smart Mater. Struct. 2016, 25, 025010. [Google Scholar] [CrossRef]
- Wu, G.; Xu, C.; Du, F.; Zhu, W. A modified time reversal method for guided wave detection of bolt loosening in simulated thermal protection system panels. Complexity 2018, 12, 8210817. [Google Scholar] [CrossRef]
- Hei, C.; Luo, M.; Gong, P.; Song, G. Quantitative evaluation of bolt connection using a single piezoceramic transducer and ultrasonic coda wave energy with the consideration of the piezoceramic aging effect. Smart Mater. Struct. 2020, 29, 027001. [Google Scholar] [CrossRef]
- Shin, S.W.; Popovics, J.S.; Oh, T. Cost effective air-coupled impact-echo sensing for rapid detection of delamination damage in concrete structures. Adv. Struct. Eng. 2012, 15, 887–895. [Google Scholar] [CrossRef]
- Cawley, P.; Adams, R.D. The mechanics of the coin-tap method of nondestructive testing. J. Sound Vibr. 1988, 122, 299–316. [Google Scholar] [CrossRef]
- Gibson, A.; Popovics, J.S. Lamb wave basis for impact-echo method analysis. J. Eng. Mech. 2005, 131, 438–443. [Google Scholar] [CrossRef]
- Georgeson, G.E.; Lea, S.; Hansen, J. Electronic tap hammer for composite damage assessment. Proc. SPIE Int. Soc. Opt. Eng. 1996, 2945, 328–338. [Google Scholar]
- Becht, P.; Deckers, E.; Claeys, C.; Pluymers, B.; Desmet, W. Loose bolt detection in a complex assembly using a vibro-acoustic sensor array. Mech. Syst. Signal Proc. 2019, 130, 433–451. [Google Scholar] [CrossRef]
- Wang, F.; Ho, S.C.M.; Song, G. Monitoring of early looseness of multi-bolt connection: A new entropy-based active sensing method without saturation. Smart Mater. Struct. 2019, 28, 10LT01. [Google Scholar] [CrossRef]
- Kong, Q.; Zhu, J.; Ho, S.C.M.; Song, G. Tapping and listening: A new approach to bolt looseness monitoring. Smart Mater. Struct. 2018, 27, 07LT02. [Google Scholar] [CrossRef]
- Wang, F.; Ho, S.C.M.; Song, G. Modeling and analysis of an impact-acoustic method for bolt looseness identification. Mech. Syst. Signal Proc. 2019, 133, 106249. [Google Scholar] [CrossRef]
- Zhang, Y.; Zhao, X.; Sun, X.; Su, W.; Xue, Z. Bolt loosening detection based on audio classification. Adv. Struct. Eng. 2019, 22, 2882–2891. [Google Scholar] [CrossRef]
- Yella, S.; Gupta, N.K.; Dougherty, M.S. Comparison of pattern recognition techniques for the classification of impact acoustic emissions. Transp. Res. Pt. C-Emerg. Technol. 2007, 15, 345–360. [Google Scholar] [CrossRef]
- Williams, S.; Smith, J. An intelligent tap test as an inspection tool for corrosion in chequer plate floors. J. Sound Vibr. 2002, 257, 857–867. [Google Scholar] [CrossRef]
- Huo, L.; Wang, F.; Li, H.; Song, G. A fractal contact theory based model for bolted connection looseness monitoring using piezoceramic transducers. Smart Mater. Struct. 2017, 26, 104010. [Google Scholar] [CrossRef]
- Li, N.; Wang, F.; Song, G. Monitoring of bolt looseness using piezoelectric transducers: Three-dimensional numerical modeling with experimental verification. J. Intell. Mater. Syst. Struct. 2020, 31, 911–918. [Google Scholar] [CrossRef]
- Abboud, D.; Elbadaoui, M.; Smith, W.A.; Randall, R.B. Advanced bearing diagnostics: A comparative study of two powerful approaches. Mech. Syst. Signal Proc. 2019, 114, 604–627. [Google Scholar] [CrossRef]
- Yang, J.; Chang, F.K. Detection of bolt loosening in C–C composite thermal protection panels: I. diagnostic principle. Smart Mater. Struct. 2006, 15, 581. [Google Scholar] [CrossRef]
- Wang, F.; Chen, Z.; Song, G. Monitoring of multi-bolt connection looseness using entropy-based active sensing and genetic algorithm-based least square support vector machine. Mech. Syst. Signal Proc. 2020, 136, 106507. [Google Scholar] [CrossRef]
- Shannon, C.E. A mathematical theory of communication. Bell Syst. Tech. J. 1948, 27, 379–423. [Google Scholar] [CrossRef]
- Sahidullah, M.; Saha, G. Design, analysis and experimental evaluation of block based transformation in MFCC computation for speaker recognition. Speech Commun. 2012, 54, 543–565. [Google Scholar] [CrossRef]
- Dai, J.; Xu, Q. Attribute selection based on information gain ratio in fuzzy rough set theory with application to tumor classification. Appl. Soft. Comput. 2013, 13, 211–221. [Google Scholar] [CrossRef]
- Kotsiantis, S.B.; Zaharakis, I.; Pintelas, P. Supervised machine learning: A review of classification techniques. Informatica 2007, 160, 3–24. [Google Scholar]
- Larrosa, C.; Lonkar, K.; Chang, F.-K. In situ damage classification for composite laminates using gaussian discriminant analysis. Struct. Health Monit. 2014, 13, 190–204. [Google Scholar] [CrossRef]
- Meyer, J.J.; Adams, D.E. Theoretical and experimental evidence for using impact modulation to assess bolted joints. Nonlinear Dyn. 2015, 81, 103–117. [Google Scholar] [CrossRef]
- Zhu, J.; Popovics, J.S. Imaging concrete structures using air-coupled impact-echo. J. Eng. Mech. 2007, 133, 628–640. [Google Scholar] [CrossRef]
- Dai, X.; Zhu, J.; Tsai, Y.-T.; Haberman, M.R. Use of parabolic reflector to amplify in-air signals generated during impact-echo testing. J. Acoust. Soc. Am. 2011, 130, EL167–EL172. [Google Scholar] [CrossRef]
- Yang, J.; Chang, F.-K.; Derriso, M.M. Design of a hierarchical health monitoring system for detection of multilevel damage in bolted thermal protection panels: A preliminary study. Struct. Health Monit. 2003, 2, 115–122. [Google Scholar] [CrossRef]
- Wang, F.; Huo, L.; Song, G. A piezoelectric active sensing method for quantitative monitoring of bolt loosening using energy dissipation caused by tangential damping based on the fractal contact theory. Smart Mater. Struct. 2017, 27, 015023. [Google Scholar] [CrossRef]













| Stage | Parameter | Value |
|---|---|---|
| Denoising | Threshold () | 0.3 |
| Framing | Length of window () | 34 ms |
| Smooth filtering | Order | 2 |
| Number of interpolated points () | 10 |
| F1 | PR | RR | AR | ER | |
|---|---|---|---|---|---|
| 0 Nm | 0.80 | 0.80 | 0.80 | ||
| 30 Nm | 0.74 | 0.78 | 0.70 | 0.83 | 0.17 |
| 60 Nm | 0.95 | 0.91 | 1.00 |
Disclaimer/Publisher’s Note: The statements, opinions and data contained in all publications are solely those of the individual author(s) and contributor(s) and not of MDPI and/or the editor(s). MDPI and/or the editor(s) disclaim responsibility for any injury to people or property resulting from any ideas, methods, instructions or products referred to in the content. |
© 2024 by the authors. Licensee MDPI, Basel, Switzerland. This article is an open access article distributed under the terms and conditions of the Creative Commons Attribution (CC BY) license (https://creativecommons.org/licenses/by/4.0/).
Share and Cite
Cheng, L.; Zhang, Z.; Lacidogna, G.; Wang, X.; Jia, M.; Liu, Z. Sound Sensing: Generative and Discriminant Model-Based Approaches to Bolt Loosening Detection. Sensors 2024, 24, 6447. https://doi.org/10.3390/s24196447
Cheng L, Zhang Z, Lacidogna G, Wang X, Jia M, Liu Z. Sound Sensing: Generative and Discriminant Model-Based Approaches to Bolt Loosening Detection. Sensors. 2024; 24(19):6447. https://doi.org/10.3390/s24196447
Chicago/Turabian StyleCheng, Liehai, Zhenli Zhang, Giuseppe Lacidogna, Xiao Wang, Mutian Jia, and Zhitao Liu. 2024. "Sound Sensing: Generative and Discriminant Model-Based Approaches to Bolt Loosening Detection" Sensors 24, no. 19: 6447. https://doi.org/10.3390/s24196447
APA StyleCheng, L., Zhang, Z., Lacidogna, G., Wang, X., Jia, M., & Liu, Z. (2024). Sound Sensing: Generative and Discriminant Model-Based Approaches to Bolt Loosening Detection. Sensors, 24(19), 6447. https://doi.org/10.3390/s24196447

