A Circular Touch Mode Capacitive Rainfall Sensor: Analytical Solution and Numerical Design and Calibration
Abstract
1. Introduction
2. Materials and Methods
2.1. Analytical Solution to Elastic Behavior of Deflected Movable Electrode Plate in Touch Mode
2.2. Derivation of Input–Output Analytical Relationship of the Rainfall Sensor
3. Results and Discussion
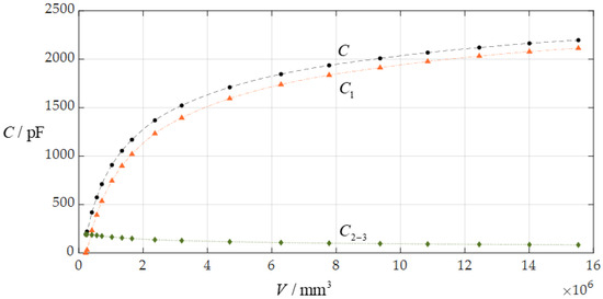
3.1. Numerical Design and Calibration of the Rainfall Sensor
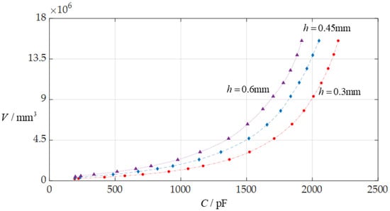
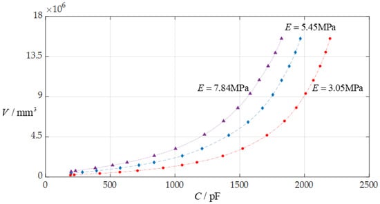
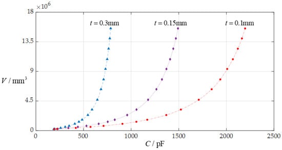
3.2. The Effect of Changing Design Parameters on the C–V Relationship of the Rainfall Sensor
4. Concluding Remarks
Author Contributions
Funding
Institutional Review Board Statement
Informed Consent Statement
Data Availability Statement
Conflicts of Interest
Appendix A
References
- Jing, S.; Gao, N.; Tang, Z.; Wu, K.; Sun, J.; Cai, M.; Zhao, T.; Yang, C.; Xing, H.; Ye, W. Capacitive-type liquid crystal temperature sensor. Liq. Cryst. 2021, 48, 1103–1110. [Google Scholar] [CrossRef]
- Riyazi, S.; Azim Araghi, M.E. Performance of interdigitated capacitive-type CO2 sensor based on polypyrrole/copper phthalocyanine nanocomposite. J. Mater. Sci. Mater. Electron. 2020, 31, 3539–3548. [Google Scholar] [CrossRef]
- Zargar, Z.H.; Akram, K.J.; Biswal, G.R.; Islam, T. A linear capacitive sensor for ppm moisture measurement in SF6 gas-insulated switchgear. IEEE Trans. Instrum. Meas. 2021, 70, 1–8. [Google Scholar] [CrossRef]
- Mishra, R.B.; El-Atab, N.; Hussain, A.M.; Hussain, M.M. Recent progress on flexible capacitive pressure sensors: From design and materials to applications. Adv. Mater. Technol. 2021, 6, 2001023. [Google Scholar] [CrossRef]
- Qiu, A.; Jia, Q.; Yu, H.; Oh, J.A.; Li, D.; Hsu, H.Y.; Kawashima, N.; Zhuge, Y.; Ma, J. Highly sensitive and flexible capacitive elastomeric sensors for compressive strain measurements. Mater. Today Commun. 2021, 26, 102023. [Google Scholar] [CrossRef]
- Yoo, D.; Won, D.J.; Cho, W.; Lim, J.; Kim, J. Double Side Electromagnetic Interference-Shielded Bending-Insensitive Capacitive-Type Flexible Touch Sensor with Linear Response over a Wide Detection Range. Adv. Mater. Technol. 2021, 6, 2100358. [Google Scholar] [CrossRef]
- Zhang, Z.; Chen, M.; Alem, S.; Tao, Y.; Chu, T.Y.; Xiao, G.; Ramful, C.; Griffin, R. Printed flexible capacitive humidity sensors for field application. Sens. Actuators B Chem. 2022, 359, 131620. [Google Scholar] [CrossRef]
- Zhou, H.; Wang, M.; Jin, X.; Liu, H.; Lai, J.; Du, H.; Chen, W.; Ma, A. Capacitive pressure sensors containing reliefs on solution-processable hydrogel electrodes. ACS Appl. Mater. Interfaces 2021, 13, 1441–1451. [Google Scholar] [CrossRef] [PubMed]
- Kapić, A.; Tsirou, A.; Verdini, P.G.; Carrara, S. Robust analog multisensory array system for lossy capacitive sensors over long distances. IEEE Trans. Instrum. Measurement. 2023, 72, 1–8. [Google Scholar]
- Chowdhury, N.K.; Bhowmik, B. Sensing performance of Ti/TiO2 nanosheets/Au capacitive device: Implication of resonant frequency. Solid-State Electron. 2022, 194, 108383. [Google Scholar] [CrossRef]
- Rahman, M.Z.U.; Aldossary, O.M.; Islam, T. A constant phase impedance sensor for measuring conducting liquid level. ISA Trans. 2021, 115, 250–258. [Google Scholar] [CrossRef] [PubMed]
- Thouti, E.; Nagaraju, A.; Chandran, A.; Prakash, P.V.B.S.S.; Shivanarayanamurthy, P.; Lal, B.; Kumar, P.; Kothari, P.; Panwar, D. Tunable flexible capacitive pressure sensors using arrangement of polydimethylsiloxane micro-pyramids for bio-signal monitoring. Sens. Actuators A Phys. 2020, 314, 112251. [Google Scholar] [CrossRef]
- Ma, J.; Huang, H.; Li, B. Wavy-shaped flexible capacitive strain sensor for multiple deformations recognition. Sens. Actuators A Physical. 2024, 366, 115025. [Google Scholar] [CrossRef]
- Xie, Y.; Lin, L.; Lu, L.; Liang, Q.; Zhang, B. Flexible interfacial capacitive pressure sensor based on randomly distributed micro-pits electrode. IEEE Trans. Instrum. Meas. 2022, 71, 1–9. [Google Scholar] [CrossRef]
- Xu, J.; Wang, H.; Ma, T.; Wu, Y.; Xue, R.; Cui, H.; Wu, X.; Wang, Y.; Huang, X.; Yao, W. A graphite nanoplatelet-based highly sensitive flexible strain sensor. Carbon 2020, 166, 316–327. [Google Scholar] [CrossRef]
- Li, K. Investigation of ring touch mode capacitive pressure sensor with an electrothermomechanical coupling contact model. IEEE Sens. J. 2019, 19, 9641–9652. [Google Scholar] [CrossRef]
- Kang, M.C.; Chan, R.; Choe, J.H. Capacitance response of concave well substrate touch-mode capacitive pressure sensor: Mathematical analysis and simulation. Microelectron. J. 2021, 114, 105118. [Google Scholar] [CrossRef]
- Jindal, S.K.; Varma, M.A.; Thukral, D. Study of MEMS touch-mode capacitive pressure sensor utilizing flexible sic circular diaphragm: Robust design, theoretical modeling, numerical simulation and performance comparison. J. Circuits Syst. Comput. 2019, 28, 1950206. [Google Scholar] [CrossRef]
- Daigle, M.; Corcos, J.; Wu, K. An analytical solution to circular touch mode capacitor. IEEE Sens. J. 2007, 7, 502–505. [Google Scholar] [CrossRef]
- Berger, C.; Phillips, R.; Pasternak, I.; Sobieski, J.; Strupinski, W.; Vijayaraghavan, A. Touch-mode capacitive pressure sensor with graphene-polymer heterostructure membrane. 2D Mater. 2018, 5, 015025. [Google Scholar] [CrossRef]
- Li, X.; Sun, J.Y.; Shi, B.B.; Zhao, Z.H.; He, X.T. A theoretical study on an elastic polymer thin film-based capacitive wind-pressure sensor. Polymers 2020, 12, 2133. [Google Scholar] [CrossRef] [PubMed]
- Plaut, R.H. Effect of pressure on pull-off of flat cylindrical punch adhered to circular membrane. J. Adhesion. 2022, 98, 1438–1460. [Google Scholar] [CrossRef]
- Lian, Y.S.; Sun, J.Y.; Ge, X.M.; Yang, Z.X.; He, X.T.; Zheng, Z.L. A theoretical study of an improved capacitive pressure sensor: Closed-form solution of uniformly loaded annular membranes. Measurement 2017, 111, 84–92. [Google Scholar] [CrossRef]
- Yashaswini, P.R.; Mamatha, N.; Srikanth, P.C. Circular diaphragm-based MOEMS pressure sensor using ring resonator. Int. J. Inf. Technol. 2020, 13, 213–220. [Google Scholar] [CrossRef]
- Li, F.Y.; Zhang, Q.; Li, X.; He, X.T.; Sun, J.Y. Polymer conductive membrane-based non-touch mode circular capacitive pressure sensors: An analytical solution-based method for design and numerical calibration. Polymers 2022, 14, 3087. [Google Scholar] [CrossRef]
- Yim, H.; Kang, H.; Moon, S.; Kim, Y.; Nguyen, T.D.; Choi, H.R. Multi-functional safety sensor coupling capacitive and inductive measurement for physical human–robot interaction. Sens. Actuators A Physical 2023, 354, 114285. [Google Scholar] [CrossRef]
- Nur, R.; Matsuhisa, N.; Jiang, Z.; Nayeem, M.O.G.; Yokota, T.; Someya, T. A highly sensitive capacitive-type strain sensor using wrinkled ultrathin gold films. Nano Lett. 2018, 18, 5610–5617. [Google Scholar] [CrossRef]
- Teixeira, J.; Correia dos Santos, R. Exploring the applicability of low-cost capacitive and resistive water content sensors on compacted soils. Geotech. Geol. Eng. 2021, 39, 2969–2983. [Google Scholar] [CrossRef]
- Chen, Y.; Zhang, L. Structure design and application of all-fiber-based capacitive sensor. J. Text. Inst. 2023, 114, 645–655. [Google Scholar] [CrossRef]
- Oommen, B.A.; Philip, J. Soil moisture evaluation with spiral fringing field capacitive sensors. Int. J. Environ. Sci. Technol. 2024, 21, 3735–3746. [Google Scholar] [CrossRef]
- Wolffenbuttel, R.F.; Van Kampen, R.P. An integrable capacitive angular displacement sensor with improved linearity. Sens. Actuators A Phys. 1991, 25–27, 835–843. [Google Scholar] [CrossRef]
- Pu, M.; Luo, Q.; Liang, Q.; Zhang, J. Modeling for elastomer displacement analysis of capacitive six-axis force/torque sensor. IEEE Sens. J. 2021, 22, 1356–1365. [Google Scholar] [CrossRef]
- Liu, T. Design of a three-dimensional capacitor-based six-axis force sensor for human-robot interaction. Sens. Actuators A Phys. 2021, 331, 112939. [Google Scholar]
- Kim, Y.B.; Kim, U.; Seok, D.Y.; So, J.; Lee, Y.H.; Choi, H.R. Torque sensor embedded actuator module for robotic applications. IEEE/ASME Trans. Mechatron. 2018, 23, 1662–1672. [Google Scholar] [CrossRef]
- Tran Thi Thuy, H.; Dinh, T.D.; Vu Quoc, T.; Pham Quoc, T.; Aoyagi, M.; Bui Ngoc, M.; Dau, V.T.; Bui, T.T. A robust two-axis tilt angle sensor based on air/liquid two-phase dielectric capacitive sensing structure. IETE J. Res. 2020, 66, 685–696. [Google Scholar] [CrossRef]
- Tairych, A.; Anderson, I.A. Capacitive stretch sensing for robotic skins. Soft Robot. 2019, 6, 389–398. [Google Scholar] [CrossRef]
- Zang, H.; Zhang, X.; Zhu, B.; Fatikow, S. Recent advances in non-contact force sensors used for micro/nano manipulation. Sens. Actuators A Phys. 2019, 296, 155–177. [Google Scholar] [CrossRef]
- Do Nascimento Wrasse, A.; dos Santos, E.N.; da Silva, M.J.; Wu, H.; Tan, C. Capacitive sensors for multiphase flow measurement: A review. IEEE Sens. J. 2022, 22, 21391–21409. [Google Scholar] [CrossRef]
- Sandra, K.R.; George, B.; Kumar, V.J. A nonintrusive magnetically coupled sensor for measuring liquid level. IEEE Trans. Instrum. Meas. 2020, 69, 7716–7724. [Google Scholar] [CrossRef]
- Li, Z.; Li, X.; Lin, J.; Pang, Y.; Yang, D.; Zhong, L.; Guo, J. Design and application of multidimensional force/torque sensors in surgical robots: A review. IEEE Sens. J. 2023, 23, 12441–12454. [Google Scholar] [CrossRef]
- Zhang, Q.; Li, F.Y.; Li, X.; He, X.T.; Sun, J.Y. Polymer conductive membrane-based circular capacitive pressure sensors from non-touch mode of operation to touch mode of operation: An analytical solution-based method for design and numerical calibration. Polymers 2022, 14, 3850. [Google Scholar] [CrossRef] [PubMed]
- Hu, X.; Yang, F.; Wu, M.; Sui, Y.; Guo, D.; Li, M.; Kang, Z.; Sun, J.; Liu, J. A super-stretchable and highly sensitive carbon nanotube capacitive strain sensor for wearable applications and soft robotics. Adv. Mater. Technol. 2022, 7, 2100769. [Google Scholar] [CrossRef]
- Zhou, Q.; Ji, B.; Wei, Y.; Hu, B.; Gao, Y.; Xu, Q.; Zhou, J.; Zhou, B. A bio-inspired cilia array as the dielectric layer for flexible capacitive pressure sensors with high sensitivity and a broad detection range. J. Mater. Chem. A 2019, 7, 27334–27346. [Google Scholar] [CrossRef]
- Pierre Claver, U.; Zhao, G. Recent progress in flexible pressure sensors based electronic skin. Adv. Eng. Mater. 2021, 23, 2001187. [Google Scholar] [CrossRef]
- Filippidou, M.K.; Chatzichristidi, M.; Chatzandroulis, S. A fabrication process of flexible IDE capacitive chemical sensors using a two step lift-off method based on PVA patterning. Sens. Actuators B Chem. 2019, 284, 7–12. [Google Scholar] [CrossRef]
- Omi, T.; Horibata, K.; Sato, F.; Takeuchi, M. Capacitive pressure sensor with center clamped diaphragm. IEICE Trans. Electron. 1997, E80C, 263–268. [Google Scholar]
- Ko, W.H.; Wang, Q. Touch mode capacitive pressure sensors. Sens. Actuators A Phys. 1999, 75, 242–251. [Google Scholar] [CrossRef]
- Mei, D.; Sun, J.-Y.; Zhao, Z.-H.; He, X.-T. A closed-form solution for the boundary value problem of gas pressurized circular membranes in contact with frictionless rigid plates. Mathematics 2020, 8, 1017. [Google Scholar] [CrossRef]
- Li, F.Y.; Li, X.; Zhang, Q.; He, X.T.; Sun, J.Y. A refined closed-form solution for laterally loaded circular membranes in frictionless contact with rigid flat plates: Simultaneous improvement of out-of-plane equilibrium equation and geometric equation. Mathematics 2022, 10, 3025. [Google Scholar] [CrossRef]
- He, X.-T.; Wang, X.; Li, F.-Y.; Sun, J.-Y. An improved theory for designing and numerically calibrating circular touch mode capacitive pressure sensors. Sensors 2024, 24, 907. [Google Scholar] [CrossRef]
- Sun, J.-Y.; Zhang, Q.; Wu, J.; Li, X.; He, X.-T. Large Deflection Analysis of Peripherally Fixed Circular Membranes Subjected to Liquid Weight Loading: A Refined Design Theory of Membrane Deflection-Based Rain Gauges. Materials 2021, 14, 5992. [Google Scholar] [CrossRef] [PubMed]
- Sun, J.-Y.; Li, N.; He, X.-T. An improved mathematical theory for designing membrane deflection-based rain gauges. Mathematics 2023, 11, 3438. [Google Scholar] [CrossRef]
- Colli, M.; Lanza, L.G.; La Barbera, P. Performance of a weighing rain gauge under laboratory simulated time-varying reference rainfall rates. Atmos. Res. 2013, 131, 3–12. [Google Scholar] [CrossRef]
- Colli, M.; Lanza, L.G.; La Barbera, P.; Chan, P.W. Measurement accuracy of weighing and tipping-bucket rainfall intensity gauges under dynamic laboratory testing. Atmos. Res. 2014, 144, 186–194. [Google Scholar] [CrossRef]
- Humphrey, M.D.; Istok, J.D.; Lee, J.Y.; Hevesi, J.A.; Flint, A.L. A new method for automated dynamic calibration of tipping-bucket rain gauges. J. Atmos. Ocean. Technol. 1997, 14, 1513–1519. [Google Scholar] [CrossRef]
- Habib, E.; Krajewski, W.F.; Kruger, A. Sampling errors of tipping-bucket rain gauge measurements. J. Hydrol. Eng. 2001, 6, 159–166. [Google Scholar] [CrossRef]
- Molini, A.; Lanza, L.G.; La Barbera, P. Improving the accuracy of tipping-bucket rain records using disaggregation techniques. Atmos. Res. 2005, 77, 203–217. [Google Scholar] [CrossRef]
- Vasvári, V. Calibration of tipping bucket rain gauges in the Graz urban research area. Atmos. Res. 2005, 77, 18–28. [Google Scholar] [CrossRef]
- Habib, E.; Meselhe, E.A.; Aduvala, A.V. Effect of local errors of tipping-bucket rain gauges on rainfall-runoff simulations. J. Hydrol. Eng. 2008, 13, 488–496. [Google Scholar] [CrossRef]
- Schwamback, D.; Anache, J.A.A.; Wendland, E.C. Calibration and error investigation of large tipping bucket flow meters. Catena 2022, 209, 105834. [Google Scholar] [CrossRef]
- Liao, M.; Liao, A.; Liu, J.; Cai, Z.; Liu, H.; Ma, T. A novel method and system for the fast calibration of tipping bucket rain gauges. J. Hydrol. 2021, 597, 125782. [Google Scholar] [CrossRef]
- Segovia-Cardozo, D.A.; Rodriguez-Sinobas, L.; Diez-Herrero, A.; Zubelzu, S.; Canales-Ide, F. Understanding the Mechanical Biases of Tipping-Bucket Rain Gauges: A Semi-Analytical Calibration Approach. Water 2021, 13, 2285. [Google Scholar] [CrossRef]
- Bergmann, H.; Breinhllter, H.; Hahle, O.; Krainer, R. Calibration of tipping bucket hyetographs. Phys. Chem. Earth (C) 2001, 26, 731–736. [Google Scholar] [CrossRef]
- Sevruk, B. Adjustment of tipping-bucket precipitation gauge measurements. Atmos. Res. 1996, 42, 237–246. [Google Scholar] [CrossRef]
- Fankhauser, R. Influence of systematic errors from tipping bucket rain gauges on recorded rainfall data. Water Sci. Technol. 1998, 37, 121–129. [Google Scholar] [CrossRef]
- Shedekar, V.S.; King, K.W.; Fausey, N.R.; Soboyejo, A.B.O.; Harmel, R.D.; Brown, L.C. Assessment of measurement errors and dynamic calibration methods for three different tipping bucket rain gauges. Atmos. Res. 2016, 178, 445–458. [Google Scholar] [CrossRef]
- Sypka, P. Dynamic real-time volumetric correction for tipping-bucket rain gauges. Agric. For. Meteorol. 2019, 271, 158–167. [Google Scholar] [CrossRef]
- Hoffmann, M.; Schwartengräber, R.; Wessolek, G.; Peters, A. Comparison of simple rain gauge measurements with precision lysimeter data. Atmos. Res. 2016, 174, 120–123. [Google Scholar] [CrossRef]
- Li, X.; Sun, J.-Y.; Lu, X.-C.; Yang, Z.-X.; He, X.-T. Steady fluid–structure coupling interface of circular membrane under liquid weight loading: Closed-form solution for differential-integral equations. Mathematics 2021, 9, 1105. [Google Scholar] [CrossRef]














| V/mm3 | H/mm | β | b0 | c0 | d0 | d1 | σm/MPa | C1/pF | C2-3/pF | C/pF |
|---|---|---|---|---|---|---|---|---|---|---|
| 215,248.882 | 8 | 0.5010245 | 0.0220436 | 0.0193413 | 0.1059553 | −0.1464721 | 0.075 | 0.014 | 192.219 | 192.233 |
| 253,117.905 | 10.0 | 0.5473127 | 0.0234119 | 0.0203047 | 0.1033247 | −0.1617807 | 0.075 | 30.511 | 191.207 | 221.717 |
| 414,157.880 | 20.0 | 0.6303382 | 0.0290129 | 0.0253605 | 0.1029199 | −0.1985574 | 0.091 | 231.547 | 187.294 | 418.840 |
| 561,001.880 | 30.0 | 0.6695382 | 0.0332550 | 0.0295802 | 0.1033055 | −0.2178493 | 0.103 | 391.769 | 181.981 | 573.750 |
| 715,132.156 | 40.0 | 0.6982443 | 0.0365297 | 0.0324075 | 0.1037764 | −0.2423645 | 0.113 | 535.668 | 174.829 | 710.498 |
| 1,028,637.040 | 60.0 | 0.7336455 | 0.0419989 | 0.0375438 | 0.1042676 | −0.2738678 | 0.130 | 744.062 | 164.421 | 908.484 |
| 1,340,303.982 | 80.0 | 0.7567581 | 0.0464284 | 0.0416989 | 0.1045804 | −0.2993594 | 0.143 | 898.552 | 156.153 | 1054.705 |
| 1,650,985.625 | 100.0 | 0.7735285 | 0.0502065 | 0.0452393 | 0.1048003 | −0.3211105 | 0.154 | 1019.765 | 149.426 | 1169.191 |
| 2,364,872.625 | 150.0 | 0.8007285 | 0.0580155 | 0.0524622 | 0.1051548 | −0.3624782 | 0.179 | 1232.662 | 136.431 | 1369.093 |
| 3,198,261.376 | 200.0 | 0.8198436 | 0.0640878 | 0.0582248 | 0.1053642 | −0.4011219 | 0.197 | 1394.344 | 127.949 | 1522.294 |
| 4,689,985.376 | 300.0 | 0.8420126 | 0.0739524 | 0.0670015 | 0.1056242 | −0.4582146 | 0.226 | 1594.333 | 115.743 | 1710.076 |
| 6,283,660.204 | 400.0 | 0.8571290 | 0.0817892 | 0.0747527 | 0.1057796 | −0.5033008 | 0.250 | 1738.381 | 107.279 | 1845.660 |
| 7,779,456.204 | 500.0 | 0.8669820 | 0.0883945 | 0.0808515 | 0.1058955 | −0.5422184 | 0.270 | 1835.626 | 100.830 | 1936.456 |
| 9,365,758.565 | 600.0 | 0.8745939 | 0.0942722 | 0.0863970 | 0.1059707 | −0.5753972 | 0.288 | 1912.565 | 96.089 | 2008.653 |
| 10,844,109.565 | 700.0 | 0.8807977 | 0.0993213 | 0.0913549 | 0.1060326 | −0.6028149 | 0.303 | 1976.438 | 91.965 | 2068.404 |
| 12,446,629.010 | 800.0 | 0.8860938 | 0.1042310 | 0.0956829 | 0.1060879 | −0.6329380 | 0.319 | 2031.797 | 88.686 | 2120.483 |
| 14,006,297.102 | 900.0 | 0.8904238 | 0.1085215 | 0.0996215 | 0.1061205 | −0.6598215 | 0.332 | 2077.625 | 85.808 | 2163.433 |
| 15,526,942.340 | 1000.0 | 0.8937901 | 0.1126503 | 0.1035316 | 0.1061697 | −0.6815884 | 0.344 | 2113.607 | 83.198 | 2196.805 |
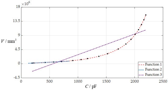
| Functions | C/pF | V/mm3 | Analytical Expressions | Fitted Error (Mean Absolute Error) |
|---|---|---|---|---|
| Function 1 | 192.233~2196.805 | 215,248.882~15,526,942.340 | V = 2.070607 × 10−12C6 − 1.209120 × 10−8C5 + 2.855011 × 10−5C4 − 3.291677 × 10−2C3 + 1.974305 × 10 C2 − 4.781130 × 103C + 6.208878 × 105 | 1.83% |
| Function 2 | 192.233~710.498 | 215,248.882~715,132.156 | V = 938.65C + 34,300.05 | 2.35% |
| Function 3 | 192.233~2196.805 | 215,248.882~15,526,942.340 | V = 6.564548 × 103C − 3.673163 × 106 | 192.58% |
Disclaimer/Publisher’s Note: The statements, opinions and data contained in all publications are solely those of the individual author(s) and contributor(s) and not of MDPI and/or the editor(s). MDPI and/or the editor(s) disclaim responsibility for any injury to people or property resulting from any ideas, methods, instructions or products referred to in the content. |
© 2024 by the authors. Licensee MDPI, Basel, Switzerland. This article is an open access article distributed under the terms and conditions of the Creative Commons Attribution (CC BY) license (https://creativecommons.org/licenses/by/4.0/).
Share and Cite
He, X.-T.; Ran, J.-S.; Wu, J.; Li, F.-Y.; Sun, J.-Y. A Circular Touch Mode Capacitive Rainfall Sensor: Analytical Solution and Numerical Design and Calibration. Sensors 2024, 24, 6291. https://doi.org/10.3390/s24196291
He X-T, Ran J-S, Wu J, Li F-Y, Sun J-Y. A Circular Touch Mode Capacitive Rainfall Sensor: Analytical Solution and Numerical Design and Calibration. Sensors. 2024; 24(19):6291. https://doi.org/10.3390/s24196291
Chicago/Turabian StyleHe, Xiao-Ting, Jun-Song Ran, Ji Wu, Fei-Yan Li, and Jun-Yi Sun. 2024. "A Circular Touch Mode Capacitive Rainfall Sensor: Analytical Solution and Numerical Design and Calibration" Sensors 24, no. 19: 6291. https://doi.org/10.3390/s24196291
APA StyleHe, X.-T., Ran, J.-S., Wu, J., Li, F.-Y., & Sun, J.-Y. (2024). A Circular Touch Mode Capacitive Rainfall Sensor: Analytical Solution and Numerical Design and Calibration. Sensors, 24(19), 6291. https://doi.org/10.3390/s24196291

